Improving Mechanical Coffee Drying with Recycled Insulating Materials: A Thermal Efficiency and Economic Feasibility Analysis
Abstract
1. Introduction
2. Materials and Methods
2.1. Experimental Evaluation
2.1.1. Study Site and Material Collection
2.1.2. Mechanical Dryer Model
2.1.3. Thermal Insulation Material
2.1.4. Data Collection
2.1.5. Performance Parameters
Real System Efficiency
Drying Rate
Real Fuel Consumption
Electrical Energy Demand
2.1.6. Coffee Bulk Parameters
Bulk Diffusion Coefficient
Bulk Specific Heat Capacity and Thermal Conductivity
2.2. Experimental Design and Data Analysis
2.3. Theoretical Model of Thermal Losses
2.3.1. Heat Flow with Thermal Resistances in Series
2.3.2. System Thermal Efficiency and Biofuel Consumption
2.4. Economic Analysis
2.4.1. Estimation of the Annual Operation Costs
2.4.2. Payback Period and Return on Investment
3. Results
3.1. Experimental Evaluation
3.1.1. Evaluation of Drying
3.1.2. Dryer Performance
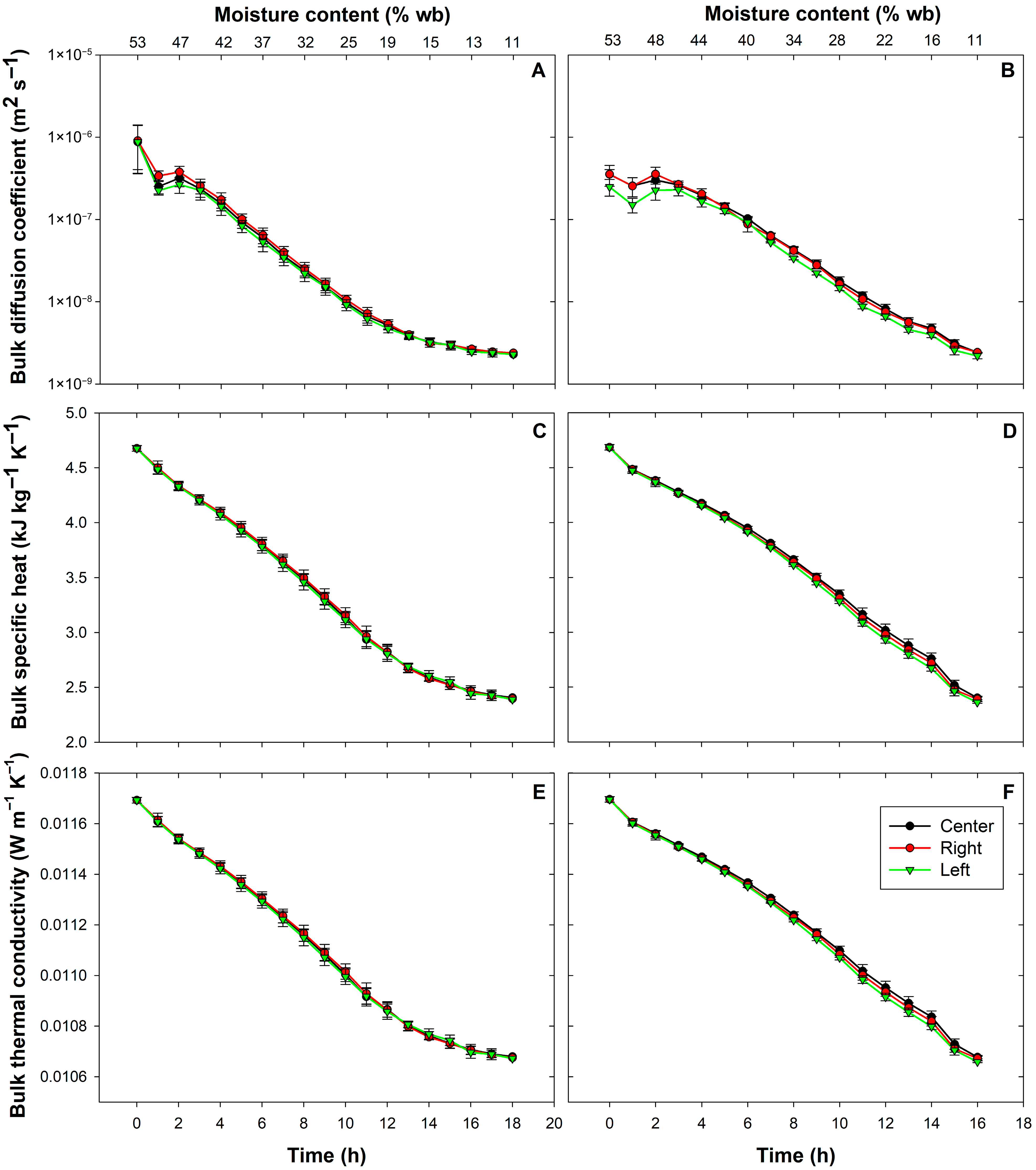
3.1.3. Bulk Thermal Properties
3.2. Theoretical Model
3.3. Economic Analysis
4. Conclusions
Author Contributions
Funding
Institutional Review Board Statement
Informed Consent Statement
Data Availability Statement
Acknowledgments
Conflicts of Interest
Abbreviations
| Moisture Content and Temperature | Energy Demand and Thermal Efficiency | ||
| DR | Drying rate (%) | E | Electricity demand (kW h−1) |
| Moisture content (%) | P | Electric power motor (kW) | |
| Initial moisture content (%) | t | Total drying time (h) | |
| Final moisture content (%) | Useful drying energy (kJ h−1) | ||
| T | Temperature (°C) | Air heating energy (kJ h−1) | |
| Air temperature difference (K) | Heat loss energy (kJ h−1) | ||
| Grains temperature (°C) | Fuel specific energy (kJ kg−1) | ||
| Air mass flow rate (kg h−1) | |||
| Heat and Mass Transfer | Biofuel consumption (kg h−1) | ||
| DC | Bulk diffusion coefficient (m2 s−1) | Combustion efficiency (%) | |
| Specific heat capacity of air (kJ kg−1 K−1) | Theoretical system thermal efficiency (%) | ||
| Bulk specific heat transfer (kJ kg−1K−1) | Experimental efficiency (%) | ||
| Mass transfer per unit time (kg s−1 m−2) | |||
| K | Bulk thermal conductivity (W m−1 K−1) | Economic Analysis | |
| Longest dimension of wet grain (m) | Annual costs (USD) | ||
| Heat flow in thermal resistances (W) | Fixed costs (USD) | ||
| Heat transfer coefficient (W m−2 K−1) | Variable costs (USD) | ||
| Thermal conductivity (W m−2 K−1) | Maintenance costs (USD) | ||
| Material thickness (m) | Pb | Payback period (years) | |
| Ad | Evaluated area (m2) | ROI | Annual Return on Investment |
| Ic | Initial costs (USD) | ||
| Gross Cash Flow (USD) | |||
| Operation cost (USD) | |||
References
- Triolo, F.A.; Figueiredo, B.; Martin, D.M.; Farrelly, F. Coffee: A Global Marketplace Icon. Consum. Mark. Cult. 2023, 26, 311–320. [Google Scholar] [CrossRef]
- Utrilla-Catalan, R.; Rodríguez-Rivero, R.; Narvaez, V.; Díaz-Barcos, V.; Blanco, M.; Galeano, J. Growing Inequality in the Coffee Global Value Chain: A Complex Network Assessment. Sustainability 2022, 14, 672. [Google Scholar] [CrossRef]
- Bastian, F.; Hutabarat, O.S.; Dirpan, A.; Nainu, F.; Harapan, H.; Emran, T.B.; Simal-Gandara, J. From Plantation to Cup: Changes in Bioactive Compounds during Coffee Processing. Foods 2021, 10, 2827. [Google Scholar] [CrossRef]
- Febrianto, N.A.; Zhu, F. Coffee Bean Processing: Emerging Methods and Their Effects on Chemical, Biological and Sensory Properties. Food Chem. 2023, 412, 135489. [Google Scholar] [CrossRef]
- de Melo Pereira, G.V.; de Carvalho Neto, D.P.; Magalhães Júnior, A.I.; Vásquez, Z.S.; Medeiros, A.B.P.; Vandenberghe, L.P.S.; Soccol, C.R. Exploring the Impacts of Postharvest Processing on the Aroma Formation of Coffee Beans—A Review. Food Chem. 2019, 272, 441–452. [Google Scholar] [CrossRef]
- Kulapichitr, F.; Borompichaichartkul, C.; Suppavorasatit, I.; Cadwallader, K.R. Impact of Drying Process on Chemical Composition and Key Aroma Components of Arabica Coffee. Food Chem. 2019, 291, 49–58. [Google Scholar] [CrossRef]
- Aung Moon, S.; Wongsakul, S.; Kitazawa, H.; Saengrayap, R. Influence of Post-Harvest Processing and Drying Techniques on Physicochemical Properties of Thai Arabica Coffee. AgriEngineering 2024, 6, 2198–2213. [Google Scholar] [CrossRef]
- Gallego, C.P.; Imbachí, L.C.; Osorio, V. Influencia del proceso de secado del café natural en las características físicas del grano y la calidad sensorial. Cenicafe J. 2023, 74, e74107. [Google Scholar] [CrossRef]
- Duque-Dussán, E.; Sanz-Uribe, J.R.; Dussán-Lubert, C.; Banout, J. Thermophysical Properties of Parchment Coffee: New Colombian Varieties. J. Food Process Eng. 2023, 46, e14300. [Google Scholar] [CrossRef]
- Phitakwinai, S.; Thepa, S.; Nilnont, W. Thin-Layer Drying of Parchment Arabica Coffee by Controlling Temperature and Relative Humidity. Food Sci. Nutr. 2019, 7, 2921–2931. [Google Scholar] [CrossRef]
- Kumar, S.N.; Rajabathar, J.R.; Karnan, M.; Kavitha, N.P. Estimation of Effective Diffusivity, Thermodynamic Parameter and Drying Kinetics Exploration in Coffee Berries Drying. React. Kinet. Mech. Catal. 2023, 136, 1371–1384. [Google Scholar] [CrossRef]
- Meja, E.M.; Dubbe, S.K.; Bekele, A.; Wolde, K.F.; Adaramola, M.S. Investigating the Performance and Optimization of Solar Coffee Drying Technologies—A Systematic Review. J. Food Process. Preserv. 2025, 2025, 7907660. [Google Scholar] [CrossRef]
- Oliveros Tascón, C.E.; Ramírez Gómez, C.A.; Sanz Uribe, J.R.; Peñuela Martínez, A.E.; Pabón Usaquén, J.P. Secado Solar y Secado Mecánico del Café; Cenicafé: Manizales, Colombia, 2013. [Google Scholar]
- Peñuela-Martínez, A.E.; Hower-García, I.P.; Guerrero, A.; Agudelo-Laverde, L.M.; Betancourt-Rodríguez, H.; Martínez-Giraldo, J. Physical, Sensorial, and Physicochemical Characteristics of Arabica Coffee Dried under Two Solar Brightness Conditions. Processes 2023, 11, 3016. [Google Scholar] [CrossRef]
- Duque-Dussán, E.; Sanz-Uribe, J.R.; Banout, J. Design and Evaluation of a Hybrid Solar Dryer for Postharvesting Processing of Parchment Coffee. Renew. Energy 2023, 215, 118961. [Google Scholar] [CrossRef]
- Gutiérrez-Flórez, J.M.; Sanz-Uribe, J.R.; Oliveros-Tascón, C.E.; Orozco-Hincapié, C.A. Ventiladores para Secadores de Café: Diagnóstico, Diseño y Construcción Económica de Ventiladores Centrífugos; Cenicafé: Manizales, Colombia, 2012; pp. 1–56. [Google Scholar]
- Andrade, P.S.; Duarte, C.R.; Barrozo, M.A.S. An Innovative Dryer for Arabica Coffee (Coffea arabica L.) Drying: Investigating Heat and Mass Transfer. Dry. Technol. 2024, 42, 1065–1076. [Google Scholar] [CrossRef]
- Duque-Dussán, E.; Banout, J. Improving the Drying Performance of Parchment Coffee Due to the Newly Redesigned Drying Chamber. J. Food Process Eng. 2022, 45, e14161. [Google Scholar] [CrossRef]
- Parra-Coronado, A.; Roa-Mejía, G.; Oliveros-Tascón, C.E.; Sanz-Uribe, J.R. Optimización Operacional de Secadores Mecánicos para Café Pergamino; Cenicafé: Manizales, Colombia, 2017; Volume 1, ISBN 978-958-8490-19-9. [Google Scholar]
- García, J.C.G.; Posada-Suárez, H.; Läderach, P. Recommendations for the Regionalizing of Coffee Cultivation in Colombia: A Methodological Proposal Based on Agro-Climatic Indices. PLoS ONE 2014, 9, e113510. [Google Scholar] [CrossRef]
- Jaramillo-Robledo, A. El Clima de la Caficultura en Colombia; Colección Libros 80 años Cenicafé; Cenicafé: Manizales, Colombia, 2018. [Google Scholar] [CrossRef]
- Akuwueke, L.; Usoh, G.; Akpan, G.; Mathew, I.; Alaneme, G.U.; Promise, E.; Inemesit, E.; Asoiro, F.U.; Ndukwu, M.C. Effect of Wall Design on Heat Loss and Drying Kinetics in a Solar Greenhouse for Yellow Pepper. Sci. Rep. 2025, 15, 13969. [Google Scholar] [CrossRef]
- Maysami, M.A.; Sedighi, R.; Ghaffari, H. Evaluation of Different Drying Processes by Energy Consumption in an Insulated and Not Insulated Laboratory Convection Dryer. Food Res. 2020, 4, 107. [Google Scholar] [CrossRef]
- Ndukwu, M.C.; Akpan, G.; Usoh, G.; Ekop, I.; Orji, F.; Anuma, O.; Akuwueke, l.; Ben, A.; simo-tagne, M.; Bennamoun, L. Influence of Wall Insulations and Orientation on Spatial Heat Distribution Coefficient and Thermal Time Constant for Passive Solar Drying of Yellow Pepper. Sol. Energy 2024, 284, 113073. [Google Scholar] [CrossRef]
- Jokiniemi, H.T.; Ahokas, J.M. Effect of Heat Insulation on the Energy Consumption of Recirculating Mixed-Flow Batch Grain Dryer. Agric. Eng. Int. CIGR J. 2014, 16, 205–213. [Google Scholar]
- Lazaro, S.A.M.; Li, X.; Baba, V.F. Building Envelope Renovation for Energy Efficiency in Maputo, Mozambique: Expanded Polystyrene Insulation and Double-Glazed Windows. Environ. Earth Sci. Proc. 2025, 34, 9. [Google Scholar] [CrossRef]
- Canbolat, A.S. Comprehensive Cost–Energy Evaluation of Wall Insulation for Diverse Orientations and Seasonal Usages. Appl. Sci. 2024, 14, 8239. [Google Scholar] [CrossRef]
- Ugwu, S.C.; Obele, C.M. A Mini-Review on Expanded Polystyrene Waste Recycling and Its Applications. World J. Adv. Eng. Technol. Sci. 2023, 8, 315–329. [Google Scholar] [CrossRef]
- Sharma, C.; Qanungo, K. An Overview: Recycling of Expanded Polystyrene Foam. AIP Conf. Proc. 2023, 2535, 030019. [Google Scholar] [CrossRef]
- Hidalgo-Crespo, J.; Soto, M.; Amaya-Rivas, J.L.; Santos-Méndez, M. Carbon and Water Footprint for the Recycling Process of Expanded Polystyrene (EPS) Post-Consumer Waste. Procedia CIRP 2022, 105, 452–457. [Google Scholar] [CrossRef]
- Ali, A.; Issa, A.; Elshaer, A. A Comprehensive Review and Recent Trends in Thermal Insulation Materials for Energy Conservation in Buildings. Sustainability 2024, 16, 8782. [Google Scholar] [CrossRef]
- Hasanzadeh, R.; Azdast, T.; Lee, P.C.; Park, C.B. A Review of the State-of-the-Art on Thermal Insulation Performance of Polymeric Foams. Therm. Sci. Eng. Prog. 2023, 41, 101808. [Google Scholar] [CrossRef]
- FNC Boletín Meteorológico. Available online: https://agroclima.cenicafe.org/boletin-diario (accessed on 25 September 2025).
- Cenicafé. Anuario meteorológico cafetero 2023. Anu. Meteorológico Cafe. 2024. [Google Scholar] [CrossRef]
- Montilla, J.; Arcila, J.; Aristizábal, M.; Montoya, E.C.; Puerta, G.I.; Oliveros, C.E.; Cadena, G. Propiedades Físicas y Factores de Conversión del Café en el Proceso de Beneficio; Centro Nacional de Investigaciones de Café (Cenicafé): Manizales, Colombia, 2008. [Google Scholar]
- Chen, W.; Hao, H.; Hughes, D.; Shi, Y.; Cui, J.; Li, Z.-X. Static and Dynamic Mechanical Properties of Expanded Polystyrene. Mater. Des. 2015, 69, 170–180. [Google Scholar] [CrossRef]
- Wang, Y.; Zhang, S.; Wang, D.; Liu, Y. Experimental Study on the Influence of Temperature and Humidity on the Thermal Conductivity of Building Insulation Materials. Energy Built Environ. 2023, 4, 386–398. [Google Scholar] [CrossRef]
- Hajdu, F.; Lászlo, G.; Kuti, R. Heat Radiation Effects on Insulating Materials Used in Buildings. Pollack Period 2021, 16, 108–113. [Google Scholar] [CrossRef]
- Bode, F.; Simion, A.; Anghel, I.; Sandu, M.; Banyai, D. Enhancing Fire Safety: Real-Scale Experimental Analysis of External Thermal Insulation Composite System Façades’ Behavior in Fire. Fire 2023, 6, 451. [Google Scholar] [CrossRef]
- Ossa, A.; Romo, M.P. Confining Stress Influence on EPS Water Absorption Capability. Geotext. Geomembr. 2012, 35, 132–137. [Google Scholar] [CrossRef]
- ISO 18134-3:2022; Solid Biofuels—Determination of Moisture Content—Oven Dry Method Part 3: Moisture in General Analysis Sample. International Organization for Standardization: Geneva, Switzerland, 2022.
- Jimoh, K.A.; Hashim, N.; Shamsudin, R.; Man, H.C.; Jahari, M.; Onwude, D.I. Recent Advances in the Drying Process of Grains. Food Eng. Rev. 2023, 15, 548–576. [Google Scholar] [CrossRef]
- Suherman, S.; Hadiyanto, H.; Asy-Syaqiq, M.A.; Ghassani, G.A.; Ajundasari, M. Energy and Exergy Performance Evaluation of a Drying Coffee Beans System Using a Photovoltaic–Direct Solar Dryer at Different Drying Temperature Conditions. Int. J. Ambient. Energy 2024, 45, 2344548. [Google Scholar] [CrossRef]
- Sandeep, T.N.; Channabasamma, B.B.; Gopinandhan, T.N.; Nagaraja, J.S. The Effect of Drying Temperature on Cup Quality of Coffee Subjected to Mechanical Drying. J. Plant. Crops 2021, 49, 35–41. [Google Scholar] [CrossRef]
- Montoya-Restrepo, E.C.; Oliveros-Tascón, C.E.; Roa-Mejía, G. Optimización operacional del secador intermitente de flujos concurrentes para café pergamino. Cenicafé 1990, 41, 19–33. [Google Scholar]
- Yuan, W.; Yu, N.; Li, L.; Fang, Y. Heat Transfer Analysis in Multi-Layered Materials with Interfacial Thermal Resistance. Compos. Struct. 2022, 293, 115728. [Google Scholar] [CrossRef]
- Bergman, T.L.; Lavine, A.S.; Incropera, F.P.; Dewitt, D.P. Fundamentals of Heat and Mass Transfer, 7th ed.; John Wiley & Sons: Hoboken, NJ, USA, 2011; ISBN 978-0-470-50197-9. [Google Scholar]
- Haluschak, E.; Hazamuddin, H.; Sun, Z.; Martinez, E.N.; McGee, J.P. The Drying of Spent Coffee Grounds in a Tray Drier. AJBSR 2019, 6, 416. [Google Scholar]
- Ranjbarnodeh, E.; Serajzadeh, S.; Kokabi, A.H.; Fischer, A. Effect of Welding Parameters on Residual Stresses in Dissimilar Joint of Stainless Steel to Carbon Steel. J. Mater. Sci. 2011, 46, 3225–3232. [Google Scholar] [CrossRef]
- Bawa Susana, I.G.; Alit, I.B.; Okariawan, I.D.K. Rice Husk Energy Rotary Dryer Experiment for Improved Solar Drying Thermal Performance on Cherry Coffee. Case Stud. Therm. Eng. 2023, 41, 102616. [Google Scholar] [CrossRef]
- Duque-Dussán, E.; Bappah, M.; Sanz-Uribe, J.R.; Nainggolan, E.A. Thermo-Chemical Characterization of Coffee Husk from a New Variety (Coffea arabica L. Var. Cenicafé 1) for Biofuel Production. Sci. Agric. Bohem. 2025, 56, 1–22. [Google Scholar] [CrossRef]
- Cetina-Quiñones, A.J.; Santamaria-Bonfil, G.; Medina-Esquivel, R.A.; Bassam, A. Techno-Economic Analysis of an Indirect Solar Dryer with Thermal Energy Storage: An Approach with Machine Learning Algorithms for Decision Making. Therm. Sci. Eng. Prog. 2023, 45, 102131. [Google Scholar] [CrossRef]
- Philip, N.; Duraipandi, S.; Sreekumar, A. Techno-Economic Analysis of Greenhouse Solar Dryer for Drying Agricultural Produce. Renew. Energy 2022, 199, 613–627. [Google Scholar] [CrossRef]
- Rulazi, E.L.; Marwa, J.; Kichonge, B.; Kivevele, T.T. Techno-Economic Analysis of a Solar-Assisted Heat Pump Dryer for Drying Agricultural Products. Food Sci. Nutr. 2024, 12, 952–970. [Google Scholar] [CrossRef]
- CHEC S.A. Publicaciones de Tarifas. Available online: https://www.chec.com.co (accessed on 26 September 2025).
- Duque-Dussán, E.; Ramírez-Gómez, C.A.; Guerrero-Aguirre, Á.; Rojas-Botina, W.F.; Sanz-Uribe, J.R. Evaluation of Modular Polycarbonate Solar Dryers for Coffee: Technical Performance and Economic Feasibility. J. Food Process Eng. 2025, 48, e70165. [Google Scholar] [CrossRef]
- Islam, M.H.; Momin, A.; Saha, C.K.; Alam, M.M.; Islam, S. Techno-Economic Analysis of BAU-STR Dryer for Rice Drying: An Approach to Accelerate Adoption. Sustainability 2024, 16, 9846. [Google Scholar] [CrossRef]
- Konopatzki, E.A.; Christ, D.; Coelho, S.R.M.; Demito, A.; Werncke, I.; Camicia, R.G.d.M. Coffee dryer with dehydrated air: A technical and economic viability analysis. Eng. Agríc. 2022, 42, e20210003. [Google Scholar] [CrossRef]
- Oliveros-Tascón, C.E.; Sanz-Uribe, J.R.; Ramirez, C.A.; Peñuela-Martínez, A.E. Aprovechamiento Eficiente de la Energía en el Secado Mecánico del Café; Centro Nacional de Investigaciones de Café (Cenicafé): Manizales, Colombia, 2009. [Google Scholar]
- Sai Kandukuri, K.; Kishor Sharma, P.; Kumar Arun, R. A Comparative Assessment of Distributive Mode Active Solar Dryers: Flat Plate Collector vs Evacuated Tube Collector with Thermal Energy Storage and Perforated Baffled Trays. Sol. Energy 2024, 271, 112421. [Google Scholar] [CrossRef]
- Coradi, P.C.; Martens, S.; Rodrigues, H.E.; Leal, A.F.; Costa, D.R.d.; Saath, R.; Borém, F.M. Development and Validation of a Heated Drying Air Diffusion System to Optimize Rotary Dryers and Final Coffee Quality. PLoS ONE 2021, 16, e0251312. [Google Scholar] [CrossRef]
- Arpaci, E.; Atayılmaz, Ş.Ö.; Gemici, Z. Exploring Mathematical Modeling and CFD in Convective Drying of Fruits and Vegetables: A Review. Food Bioprocess Technol. 2025, 18, 3195–3222. [Google Scholar] [CrossRef]
- Wang, P.; Liu, G.; Ao, S.; Sun, D.; Yu, B.; Wu, X. Numerical Investigation of Airflow and Heat Transfer Characteristics and Optimal Design of the American Ginseng Drying Room. Appl. Therm. Eng. 2021, 183, 115885. [Google Scholar] [CrossRef]
- Abueluor, A.A.A.; Amin, M.T.; Abuelnour, M.A.; Younis, O. A Comprehensive Review of Solar Dryers Incorporated with Phase Change Materials for Enhanced Drying Efficiency. J. Energy Storage 2023, 72, 108425. [Google Scholar] [CrossRef]
- Chen, P.; Fan, M.; Zhu, W.; Liu, Y.; Jiang, M.; Wang, Y.; Wang, X. Numerical Simulation of Hot Air Drying of Wheat Grain Piles Based on CFD-DEM and Experimental Research. Dry. Technol. 2024, 42, 199–211. [Google Scholar] [CrossRef]
- Liu, H.; He, Y.; Tang, T.; Zhai, M. Prediction of the Non-Uniform Drying of Wet Grain in a Fluidised-Bed Based on a Modified CFD-DEM Drying Model. Biosyst. Eng. 2023, 236, 103–119. [Google Scholar] [CrossRef]
- Nurba, D.; Mardjan, S.S.; Wulandani, D.; Nelwan, L.O.; Subrata, I.D.M. Evaluation of Airflow, Temperature, and RH in the Deep Bed Dryer for Paddy Grain with Several Combinations of Floors and Air Distribution Pipes Using CFD. IOP Conf. Ser. Earth Environ. Sci. 2024, 1386, 012002. [Google Scholar] [CrossRef]
- Zhang, W.; Li, A.; Zhou, M.; Gao, R.; Yin, Y. Flow Characteristics and Structural Parametric Optimisation Design of Rectangular Plenum Chambers for HVAC Systems. Energy Build. 2021, 246, 111112. [Google Scholar] [CrossRef]
- Chauhan, P.S.; Kumar, A.; Nuntadusit, C. Thermo-Environomical and Drying Kinetics of Bitter Gourd Flakes Drying under North Wall Insulated Greenhouse Dryer. Sol. Energy 2018, 162, 205–216. [Google Scholar] [CrossRef]
- Gorjian, S.; Hosseingholilou, B.; Jathar, L.D.; Samadi, H.; Samanta, S.; Sagade, A.A.; Kant, K.; Sathyamurthy, R. Recent Advancements in Technical Design and Thermal Performance Enhancement of Solar Greenhouse Dryers. Sustainability 2021, 13, 7025. [Google Scholar] [CrossRef]
- Selimefendigil, F.; Şirin, C. Experimental Investigation of a Parabolic Greenhouse Dryer Improved with Copper Oxide Nano-Enhanced Latent Heat Thermal Energy Storage Unit. Int. J. Energy Res. 2022, 46, 3647–3662. [Google Scholar] [CrossRef]
- Peet, M.J.; Hasan, H.S.; Bhadeshia, H.K.D.H. Prediction of Thermal Conductivity of Steel. Int. J. Heat Mass Transf. 2011, 54, 2602–2608. [Google Scholar] [CrossRef]
- Horma, O.; Charai, M.; El Hassani, S.; El Hammouti, A.; Moussaoui, M.A.; Mezrhab, A. Thermal Performance Study of a Cement-Based Mortar Incorporating EPS Beads. Front. Built Environ. 2022, 8, 882942. [Google Scholar] [CrossRef]
- Alfarawi, S.; Omar, H.; El-Sawi, A.; Jubori, A.A. Thermal Performance Assessment of External Wall Construction for Energy-Efficient Buildings. Eur. J. Sustain. Dev. Res. 2022, 6, em0189. [Google Scholar] [CrossRef] [PubMed]
- Tyagi, V.V.; Pathak, S.K.; Chopra, K.; Saxena, A.; Kalidasan, B.; Dwivedi, A.; Goel, V.; Sharma, R.K.; Agrawal, R.; Kandil, A.A.; et al. Sustainable Growth of Solar Drying Technologies: Advancing the Use of Thermal Energy Storage for Domestic and Industrial Applications. J. Energy Storage 2024, 99, 113320. [Google Scholar] [CrossRef]
- Koru, M.; Korkmaz, E.; Kan, M. Determination of the Effect of the Change in the Thermal Conductivity Coefficient of EPS Depending on the Density and Temperature on the Optimum Insulation Thickness. Int. J. Thermophys. 2022, 43, 143. [Google Scholar] [CrossRef]
- SohrabVeiseh; Yousefi, A.A. Compressive Behavior and Thermal Conductivity-Density Correlation of Expanded Polystyrene Thermal Insulators. Iran. Polym. J. 2021, 30, 849–854. [Google Scholar] [CrossRef]
- Cai, J.; Zhu, L.; Wei, Q.; Huang, D.; Luo, M.; Tang, X. Drying Kinetics of a Single Biomass Particle Using Fick’s Second Law of Diffusion. Processes 2023, 11, 984. [Google Scholar] [CrossRef]
- Ah-Hen, K.; Zambra, C.E.; Aguëro, J.E.; Vega-Gálvez, A.; Lemus-Mondaca, R. Moisture Diffusivity Coefficient and Convective Drying Modelling of Murta (Ugni Molinae Turcz): Influence of Temperature and Vacuum on Drying Kinetics. Food Bioprocess Technol. 2013, 6, 919–930. [Google Scholar] [CrossRef]
- Golpour, I.; Guiné, R.P.F.; Poncet, S.; Golpour, H.; Amiri Chayjan, R.; Amiri Parian, J. Evaluating the Heat and Mass Transfer Effective Coefficients during the Convective Drying Process of Paddy (Oryza sativa L.). J. Food Process Eng. 2021, 44, e13771. [Google Scholar] [CrossRef]
- Salgado, M.A.H.; Säumel, I.; Tarelho, L.A.C. Post-Extractivism and Bioeconomy: An Experimental Analysis of Combustion and Pyrolysis Processes as Alternatives to Add Value to Agro-Residues (Coffee Husks) Generated in Farmer Cooperatives of the Ecuadorian Amazon. Resources 2024, 13, 142. [Google Scholar] [CrossRef]
- Hung Anh, L.D.; Pásztory, Z. An Overview of Factors Influencing Thermal Conductivity of Building Insulation Materials. J. Build. Eng. 2021, 44, 102604. [Google Scholar] [CrossRef]
- Rocha, B.M.; Tenório, M.; Branco, J.M.; Silva, S.M. A Comprehensive Comparison of Insulation Materials for Timber Building Systems. Energies 2025, 18, 2420. [Google Scholar] [CrossRef]
- Behera, D.; Pattnaik, S.S.; Nanda, D.; Mishra, P.P.; Manna, S.; Behera, A.K. A Review on Bamboo Fiber Reinforced Composites and Their Potential Applications. Emergent Mater. 2025, 8, 157–172. [Google Scholar] [CrossRef]
- Yay, Ö.; Hasanzadeh, M.; Diltemiz, S.F.; Kuşhan, M.C.; Gürgen, S. Thermal Insulation with Cork-Based Materials. In Cork-Based Materials in Engineering: Design and Applications for Green and Sustainable Systems; Gürgen, S., Ed.; Springer Nature: Cham, Switzerland, 2024; pp. 3–15. ISBN 978-3-031-51564-4. [Google Scholar]
- Vyas, D.K.; Seth, N.; Chavda, J.J. Performance of Biomass Combustor Based Drying System for Ginger Drying. Agric. Eng. Today 2021, 45, 19–25. [Google Scholar] [CrossRef]
- El Fil, B.; Garimella, S. Experimental Investigation of Input Parameters on the Performance of a Commercial Gas-Fired Tumbler Dryer. Appl. Therm. Eng. 2021, 197, 117352. [Google Scholar] [CrossRef]
- González-Salazar, C.A.; Sanz-Uribe, J.R.; Oliveros-Tascón, C.E. Control de Caudal y Temperatura de Aire En El Secado Mecánico de Café. Cenicafe 2010, 61, 281–296. [Google Scholar]
- Raimundo, A.M.; Sousa, A.M.; Oliveira, A.V.M. Assessment of Energy, Environmental and Economic Costs of Buildings’ Thermal Insulation–Influence of Type of Use and Climate. Buildings 2023, 13, 279. [Google Scholar] [CrossRef]
- Murphy, D.J.; Raugei, M.; Carbajales-Dale, M.; Rubio Estrada, B. Energy Return on Investment of Major Energy Carriers: Review and Harmonization. Sustainability 2022, 14, 7098. [Google Scholar] [CrossRef]
- Manrique, R.; Vásquez, D.; Chejne, F.; Pinzón, A. Energy Analysis of a Proposed Hybrid Solar–Biomass Coffee Bean Drying System. Energy 2020, 202, 117720. [Google Scholar] [CrossRef]
- Santizo-Díaz, D.; Flores-Prieto, J.J. Thermo-Economic Comparative of Open-Greenhouse and Sun-Patio Coffee Drying in the Sierra Mariscal Chiapas-México. Case Stud. Therm. Eng. 2025, 70, 106072. [Google Scholar] [CrossRef]






| Property | Typical Value | Unit | Reference |
|---|---|---|---|
| Density | 10–30 | kg m−3 | [36] |
| Thermal Conductivity | 0.030–0.040 | W m−1 K−1 | [37] |
| Thermal resistance | −50–80 | °C | [38] |
| Fire Classification | E | - | [39] |
| Moisture absorption | 1–5 | % vol. | [40] |
| Variable | Treatment | Mean | CV | DF | F | p-Value | SL |
|---|---|---|---|---|---|---|---|
| System Efficiency (%) | Control | 43.23 | 5.12% | 1.4 | 3.39 | 0.1390 | ns |
| EPS | 46.14 | 6.40% | |||||
| Drying Time (h) | Control | 17.00 | 5.88% | 1.4 | 4.000 | 0.1160 | ns |
| EPS | 15.67 | 3.69% | |||||
| Electricity Demand (kWh) | Control | 14.31 | 5.68% | 1.4 | 6.249 | 0.0668 | ns |
| EPS | 12.95 | 4.74% | |||||
| Coffee husk Consumption (kg) | Control | 52.07 | 7.86% | 1.4 | 4.791 | 0.0923 | ns |
| EPS | 44.83 | 7.05% | |||||
| Performance (kg husk kg−1 dpc) | Control | 1.49 | 9.16% | 1.4 | 3.991 | 0.1160 | ns |
| EPS | 1.27 | 8.06% |
| Material | K (W m−1 K−1) | Q (W) | (%) | (kg h−1) | Cost (USD m−2) |
|---|---|---|---|---|---|
| Expanded polystyrene foam | 0.030 | 98.77 | 48.79 | 4.23 | 3.25 |
| Polyethylene foam | 0.035 | 108.86 | 48.74 | 4.23 | 4.25 |
| Glass/rock mineral wool | 0.038 | 114.39 | 48.72 | 4.23 | 15 |
| Cork | 0.049 | 131.96 | 48.64 | 4.24 | 100 |
| Bamboo fiber | 0.150 | 205.30 | 48.32 | 4.27 | 40 * |
| Non-insulated dryer | - | 281.10 | 47.98 | 4.30 | - |
| Parameter | Control | EPS Insulation |
|---|---|---|
| (USD) | 2000 | 2013 |
| (USD) | 200 | 206 |
| (USD) | 703 | 614 |
| (USD) | 20 | 21 |
| (USD) | 923 | 841 |
| (USD) | 723 | 635 |
| Drying time (h) (Dq = 4500 kg) | 648 | 576 |
| Drying cost (USD kg−1dpc) | 0.205 | 0.187 |
| Theoretical annual capacity (kg) | 60,833 | 68,437 |
| Annual profit (USD) (Dq—Ac) | 21,577 | 21,659 |
| Payback period (years) | 0.44 | 0.45 |
| Calculated ROI | 10.89 | 10.86 |
Disclaimer/Publisher’s Note: The statements, opinions and data contained in all publications are solely those of the individual author(s) and contributor(s) and not of MDPI and/or the editor(s). MDPI and/or the editor(s) disclaim responsibility for any injury to people or property resulting from any ideas, methods, instructions or products referred to in the content. |
© 2026 by the authors. Licensee MDPI, Basel, Switzerland. This article is an open access article distributed under the terms and conditions of the Creative Commons Attribution (CC BY) license.
Share and Cite
Cruz-Ospina, V.; Duque-Dussán, E.; Sanz-Uribe, J.R. Improving Mechanical Coffee Drying with Recycled Insulating Materials: A Thermal Efficiency and Economic Feasibility Analysis. Foods 2026, 15, 367. https://doi.org/10.3390/foods15020367
Cruz-Ospina V, Duque-Dussán E, Sanz-Uribe JR. Improving Mechanical Coffee Drying with Recycled Insulating Materials: A Thermal Efficiency and Economic Feasibility Analysis. Foods. 2026; 15(2):367. https://doi.org/10.3390/foods15020367
Chicago/Turabian StyleCruz-Ospina, Valentina, Eduardo Duque-Dussán, and Juan R. Sanz-Uribe. 2026. "Improving Mechanical Coffee Drying with Recycled Insulating Materials: A Thermal Efficiency and Economic Feasibility Analysis" Foods 15, no. 2: 367. https://doi.org/10.3390/foods15020367
APA StyleCruz-Ospina, V., Duque-Dussán, E., & Sanz-Uribe, J. R. (2026). Improving Mechanical Coffee Drying with Recycled Insulating Materials: A Thermal Efficiency and Economic Feasibility Analysis. Foods, 15(2), 367. https://doi.org/10.3390/foods15020367

