Toxic and Trace Elements in Raw and Cooked Bluefish (Pomatomus saltatrix) from the Black Sea: Benefit–Risk Analysis
Abstract
1. Introduction
2. Materials and Methods
2.1. Sample Material Collection
2.2. Preparation and Cooking Treatments
2.3. Determination of Toxic and Trace Elements
2.4. n-3 LC-PUFA EPA and DHA
2.5. Human Health Risk Estimation
2.6. Statistical Analysis
3. Results and Discussion
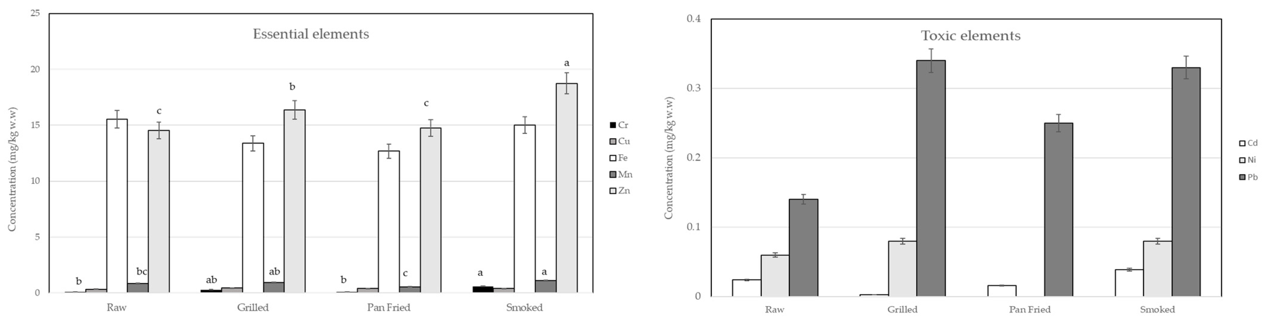
3.1. Metal Content of Fish Samples
3.2. Human Health Risk Assessment
4. Conclusions
Supplementary Materials
Author Contributions
Funding
Institutional Review Board Statement
Informed Consent Statement
Data Availability Statement
Conflicts of Interest
References
- Prato, E.; Fanelli, G.; Parlapiano, I.; Biandolino, F. Bioactive fatty acids in seafood from Ionian Sea and relation to dietary recommendations. Int. J. Food Sci. Nutr. 2020, 71, 693–705. [Google Scholar] [CrossRef] [PubMed]
- Merdzhanova, A.; Panayotova, V.; Dobreva, D.A.; Peycheva, K. Can Fish and Shellfish Species from the Black Sea Supply Health Beneficial Amounts of Bioactive Fatty Acids? Biomolecules 2021, 11, 1661. [Google Scholar] [CrossRef] [PubMed]
- Tan, K.S.; Zhang, H.K.; Zheng, H.P. Carotenoid content and composition: A special focus on commercially important fish and shellfish. Crit. Rev. Food Sci. Nutr. 2024, 64, 544–561. [Google Scholar] [CrossRef]
- Domingo, J.L. Nutrients and chemical pollutants in fish and shellfish. Balancing health benefits and risks of regular fish consumption. Crit. Rev. Food Sci. Nutr. 2016, 56, 979–988. [Google Scholar] [CrossRef]
- Domingo, J.L.; Bocio, A.; Falco, G.; Llobet, J.M. Benefits and risks of fish consumption Part I. A quantitative analysis of the intake of omega-3 fatty acids and chemical contaminants. Toxicology 2007, 230, 219–226. [Google Scholar] [CrossRef] [PubMed]
- Marquès, M.; Torres, C.M.; García-Fernández, F.; Mantur-Vierendeel, A.; Roe, M.; Wilson, A.M.; Reuver, M.; Nadal, M.; Domingo, J.L. FishChoice 2.0: Information on health benefits/risks and sustainability for seafood consumers. Food Chem. Toxicol. 2021, 155, 112387. [Google Scholar] [CrossRef]
- Meng, C.; Wang, K.; Xu, G. Metals in ten commercial demersal fish from the east China sea: Contribution to aquatic products nutrition and toxic risk assessment. Biol. Trace Elem. Res. 2022, 200, 5242–5250. [Google Scholar] [CrossRef]
- Dobreva, D.A.; Merdzhanova, A.; Stancheva, M.; Terziyski, D.I.; Panayotova, V. Black Sea fish and shellfish as essential source of vitamin B12. Int. J. Sci. Rep. 2018, 4, 199–203. [Google Scholar] [CrossRef]
- Christophe, M.K.J.; Marlène, Y.T.; François, N.V.J.; Merlin, N.N.; Inocent, G.; Mathieu, N. Assessment of cooking methods and freezing on the nutritional value and health risks of heavy metals in four fish species consumed in Douala, Cameroon. Heliyon 2024, 10, 28316. [Google Scholar] [CrossRef]
- Food and Agriculture Organization of the United Nations (FAO). The State of World Fisheries and Aquaculture 2024; FAO: Rome, Italy, 2024. [Google Scholar] [CrossRef]
- U.S. Department of Agriculture (USDA). Fish and Seafood Market Brief Bulgaria; Report No: BU2024-0003; USDA Foreign Agricultural Service: Washington, DC, USA, 2024. Available online: https://apps.fas.usda.gov/newgainapi/api/Report/DownloadReportByFileName?fileName=Fish%20and%20Seafood%20Market%20Brief%20Bulgaria_Sofia_Bulgaria_BU2024-0003 (accessed on 7 October 2025).
- Zlateva, I.; Raykov, V.; Slabakova, V.; Stefanova, E.; Stefanova, K. Habitat suitability models of five keynote Bulgarian Black Sea fish species relative to specific abiotic and biotic factors. Oceanologia 2022, 64, 665–674. [Google Scholar] [CrossRef]
- Burger, J.; Jeitner, C.; Donio, M.; Pittfield, T.; Gochfeld, M. Mercury and selenium levels, and selenium: Mercury molar ratios of brain, muscle and other tissues in bluefish (Pomatomus saltatrix) from New Jersey, USA. Sci. Total Environ. 2013, 443, 278–286. [Google Scholar] [CrossRef]
- Dobreva, D.A.; Merdzhanova, A.; Panayotova, V. Quality-related changes of biologically active lipids in bluefish muscle tissue after cooking. Bulg. Chem. Commun. 2019, 51, 247–250. [Google Scholar]
- Bat, L.; Şahin, F.; Öztekin, A.; Arici, E. Toxic metals in seven commercial fish from the southern Black Sea: Toxic risk assessment of eleven-year data between 2009 and 2019. Biol. Tr. Elem. Res. 2022, 200, 832–843. [Google Scholar] [CrossRef] [PubMed]
- Bat, L.; Yardarm, Ö.; Öztekin, A.; Arıcı, E. Assessment of heavy metal concentrations in Scophthalmus maximus (Linnaeus, 1758) from the Black Sea coast: Implications for food safety and human health. J. Haz. Mater. Adv. 2023, 12, 100384. [Google Scholar] [CrossRef]
- Ben-Tahar, R.; Basraoui, N.E.; Boukich, O.; El Guerrouj, B.; Smiri, Y. Health risks associated with potentially toxic elements in three fish species from Betoya Bay, Morocco: An integrated approach to human health risk assessment. Mar. Pollut. Bull. 2024, 210, 117341. [Google Scholar] [CrossRef] [PubMed]
- Peycheva, K.; Panayotova, V.; Hristova, T.; Merdzhanova, A.; Dobreva, D.; Stoycheva, T.; Stancheva, R.; Licata, P.; Fazio, F. Metal Content, Fatty Acid and Vitamins in Commercially Available Canned Fish on the Bulgarian Market: Benefit–Risk Ratio Intake. Foods 2024, 13, 936. [Google Scholar] [CrossRef]
- Younis, A.M.; Hanafy, S.; Elkady, E.M.; Alluhayb, A.H.; Alminderej, F.M. Assessment of health risks associated with heavy metal contamination in selected fish and crustacean species from Temsah Lake, Suez Canal. Sci. Rep. 2024, 14, 18706. [Google Scholar] [CrossRef]
- Thomsen, S.T.; Assunção, R.; Afonso, C.; Boué, G.; Cardoso, C.; Cubadda, F.; Garre, A.; Kruisselbrink, J.W.; Mantovani, A.; Pitter, J.G.; et al. Human health risk-benefit assessment of fish and other seafood: A scoping review. Crit. Rev. Food Sci. Nutr. 2022, 62, 7479–7502. [Google Scholar] [CrossRef]
- Arisekar, U.; Shakila, R.J.; Shalini, R.; Jeyasekaran, G. Human health risk assessment of heavy metals in aquatic sediments and freshwater fish caught from Thamirabarani River, the Western Ghats of South Tamil Nadu. Mar. Pollut. Bull. 2020, 159, 111496. [Google Scholar] [CrossRef]
- Baki, M.A.; Hossain, M.M.; Akter, J.; Quraishi, S.B.; Shojib, M.F.H.; Ullah, A.A.; Khan, M.F. Concentration of heavy metals in seafood (fishes, shrimp, lobster and crabs) and human health assessment in Saint Martin Island. Bangladesh. Ecotoxicol. Environ. Saf. 2018, 159, 153–163. [Google Scholar] [CrossRef]
- Hashempour-Baltork, F.; Jannat, B.; Tajdar-Oranj, B.; Aminzare, M.; Sahebi, H.; Mirza Alizadeh, A.; Hosseini, H. A comprehensive systematic review and health risk assessment of potentially toxic element intakes via fish consumption in Iran. Ecotoxicol. Environ. Saf. 2023, 249, 114349. [Google Scholar] [CrossRef] [PubMed]
- Bligh, E.G.; Dyer, W.J. A rapid method of total lipid extraction and purification. Can. J. Biochem. Physiol. 1959, 37, 911–917. [Google Scholar] [CrossRef]
- Christie, W.W. (Ed.) Preparation of Ester Derivatives of Fatty Acids for Chromatographic Analysis. In Advances in Lipid Methodology—Two; The Oily Press: Dundee, UK, 1993; pp. 69–111. [Google Scholar]
- Weihrauch, J.L.; Posati, L.P.; Anderson, B.A.; Exler, J. Lipid conversion factors for calculating fatty acid contents of foods. J. Am. Oil Chem. Soc. 1977, 54, 36–40. [Google Scholar] [CrossRef] [PubMed]
- FAO/INFOODS. FAO/INFOODS Global Food Composition Database for Fish and Shellfish; Version 1.0 (uFish1.0); FAO: Rome, Italy, 2016; Available online: http://www.fao.org/infoods/infoods/tables-and-databases/faoinfoods-databases/en/ (accessed on 16 October 2025).
- Nowak, V.; Rittenschober, D.; Exler, J.; Charrondiere, U.R. Proposal on the usage of conversion factors for fatty acids in fish and shellfish. Food Chem. 2014, 153, 457–463. [Google Scholar] [CrossRef] [PubMed]
- National Statistical Institute (NSI). Annual Statistical Report 2020; NSI: Sofia, Bulgaria, 2021. [Google Scholar]
- Peycheva, K.; Panayotova, V.; Stancheva, R.; Makedonski, L.; Merdzhanova, A.; Cammilleri, G.; Ferrantelli, V.; Calabrese, V.; Cicero, N.; Fazio, F. Effect of steaming on chemical composition of Mediterranean mussel (Mytilus galloprovincialis): Evaluation of potential risk associated with human consumption. Food Sci. Nutr. 2022, 10, 3052–3061. [Google Scholar] [CrossRef]
- U.S. Environmental Protection Agency (USEPA). Regional Screening Level (RSL) Summary Table: June 2025; USEPA: Washington, DC, USA, 2025. Available online: https://www.epa.gov/risk/regional-screening-levels-rsls-generic-tables (accessed on 3 October 2025).
- Food and Agriculture Organization of the United Nations (FAO). Consumption of Aquatic Products; FAO: Rome, Italy, 2025; Available online: https://www.fao.org/fishery/en/collection/global_fish_consump?lang=en (accessed on 18 October 2025).
- U.S. Environmental Protection Agency (USEPA). Exposure Factors Handbook: 2011 Edition; Office of Research and Development, EPA/600/R-090/052F.; USEPA: Washington, DC, USA, 2011.
- U.S. Environmental Protection Agency (USEPA). Integrated Risk Information System (IRIS) Database; National Center for Environmental Assessment, Office of Research and Development; USEPA: Washington, DC, USA, 2024. Available online: https://www.epa.gov/iris (accessed on 8 December 2025).
- Gladyshev, M.I.; Sushchik, N.N.; Anishchenko, O.V.; Makhutova, O.N.; Kalachova, G.S.; Gribovskaya, I.V. Benefit-risk ratio of food fish intake as the source of essential fatty acids vs. heavy metals: A case study of Siberian grayling from the Yenisei River. Food Chem. 2009, 115, 545–550. [Google Scholar] [CrossRef]
- European Food Safety Authority (EFSA); Panel on Dietetic Products, Nutrition and Allergies (NDA). Scientific Opinion on the Tolerable Upper Intake Level of Eicosapentaenoic Acid (EPA), Docosahexaenoic Acid (DHA) and Docosapentaenoic Acid (DPA). EFSA J. 2012, 10, 2815–2863. Available online: https://www.efsa.europa.eu/en/efsajournal/pub/2815 (accessed on 8 December 2025). [CrossRef]
- European Food Safety Authority (EFSA). Statement on the Benefits of Fish/Seafood Consumption Compared to the Risks of Methylmercury in Fish/Seafood. EFSA J. 2015, 13, 3982. [Google Scholar] [CrossRef]
- Hang, X.S.; Wang, H.Y.; Zhou, J.M.; Ma, C.L.; Du, C.W.; Chen, X.Q. Risk assessment of potentially toxic element pollution in soils and rice (Oryza sativa) in a typical area of the Yangtze River Delta. Environ. Pollut. 2009, 157, 2542–2549. [Google Scholar] [CrossRef]
- European Commission (EU). Commission Regulation (EC) No. 1881/2006 of 19 December 2006 Setting Maximum Levels for Certain Contaminants in Foodstuffs. Off. J. Eur. Union 2006, 364, 5–24. [Google Scholar]
- Ersoy, B.; Yanar, Y.; Küçükgülmez, A.; Celik, M. Effects of four cooking methods on the heavy metal concentrations of sea bass fillets (Dicentrarchus labrax Linne, 1785). Food Chem. 2011, 99, 748–751. [Google Scholar] [CrossRef]
- Kalogeropoulos, N.; Karavoltsos, S.; Sakellari, A.; Avramidou, S.; Dassenakis, M.; Scoullos, M. Heavy metals in raw, fried and grilled Mediterranean finfish and shellfish. Food Chem. Toxicol. 2012, 50, 3702–3708. [Google Scholar] [CrossRef]
- Ulaganathan, A.; Robinson, J.S.; Rajendran, S.; Jeyasekaran Geevaretnam, J.; Pandurangan, P.; Durairaj, S. Effect of different thermal processing methods on potentially toxic metals in the seafood, Penaeus vannamei, and the related human health risk assessment. J. Food Compos. Anal. 2022, 105, 104259. [Google Scholar] [CrossRef]
- Kocatepe, D.; Şengör, G.F.Ü.; Turan, H.; Çorapcı, B.; Altan, C.A.; Köstekli, B. Innovative versus traditional cooking methods: Impacts on the nutritional profile of large rainbow trout (Oncorhynchus mykiss) cultured in the Black Sea, Türkiye. J. Food Compos. Anal. 2025, 148, 108273. [Google Scholar] [CrossRef]
- Hosseini, H.; Mahmoudzadeh, M.; Rezaei, M.; Mahmoudzadeh, L.; Khaksar, R.; Khosroshahi, N.K.; Babakhani, A. Effect of different cooking methods on minerals, vitamins and nutritional quality indices of kutum roach (Rutilus frisii kutum). Food Chem. 2014, 148, 86–91. [Google Scholar] [CrossRef] [PubMed]
- Perelló, G.; Martí-Cid, R.; Llobet, J.M.; Domingo, J.L. Effects of various cooking processes on the concentrations of arsenic, cadmium, mercury, and lead in foods. J. Agric. Food Chem. 2008, 56, 11262–11269. [Google Scholar] [CrossRef] [PubMed]
- Musaiger, A.O.; D’Souza, R. The effects of different methods of cooking on proximate, mineral and heavy metal composition of fish and shrimps consumed in the Arabian Gulf. Arch. Latinoam. Nutr. 2008, 58, 103–109. [Google Scholar]
- Marimuthu, K.; Geraldine, A.D.; Kathiresan, S.; Xavier, R.; Arockiaraj, J.; Sreeramanan, S. Effect of three different cooking methods on proximate and mineral composition of Asian sea bass (Lates calcarifer, Bloch). J. Aquat. Food Prod. Technol. 2014, 23, 468–474. [Google Scholar] [CrossRef]
- Köse, S. Evaluation of Seafood Safety Health Hazards for Traditional Fish Products: Preventive Measures and Monitoring Issues. Turk. J. Fish. Aquat. Sci. 2010, 10, 139–160. [Google Scholar] [CrossRef]
- Codex Alimentarius Commission. Standard for Smoked Fish, Smoke-Flavoured Fish and Smoke-Dried Fish (Codex Stan 311-2013); FAO/WHO: Rome, Italy, 2013. [Google Scholar]
- Berkel, B.M.; Boogaard, B.V.; Heijnen, C. Preservation of Fish and Meat; Agromisa Foundation: Wageningen, The Netherlands, 2004; pp. 78–80. [Google Scholar]
- Arthur, W.; Asiamah, E.; Dowuona, J.; Crabbe, G.; Kortei, N.K. Concentration of heavy metals and its risk assessments on Pseudotolithus senegalensis, Sciaenops ocellatus and Chloroscombrus chrysurus smoked on different ovens. Sci. Afr. 2021, 13, 00953. [Google Scholar] [CrossRef]
- Rajkowska-Myśliwiec, M.; Pokorska-Niewiada, K.; Witczak, A.; Balcerzak, M.; Ciecholewska-Juśko, D. Health benefits and risks associated with element uptake from grilled fish and fish products. J. Sci. Food Agric. 2022, 102, 957–964. [Google Scholar] [CrossRef] [PubMed]
- Joint FAO/WHO Expert Committee on Food Additives (JECFA). Evaluation of Certain Food Additives and Contaminants; World Health Organization Technical Report Series 683; WHO: Geneva, Switzerland, 1982; p. 31. Available online: https://www.who.int/publications/i/item/9241206837.
- Joint FAO/WHO Expert Committee on Food Additives (JECFA). Evaluation of Certain Food Additives and Contaminants; World Health Organization Technical Report Series 696; WHO: Geneva, Switzerland, 1983; p. 29. Available online: https://www.who.int/publications/i/item/9241206969 (accessed on 18 December 2025).
- Joint FAO/WHO Expert Committee on Food Additives (JECFA). Evaluation of Certain Food Additives and Contaminants; World Health Organization Technical Report Series 1036; WHO: Geneva, Switzerland, 2021; pp. 3–11. Available online: https://www.who.int/publications/i/item/9789240054585 (accessed on 18 December 2025).
- European Food Safety Authority (EFSA), Panel on Contaminants in the Food Chain (CONTAM). Scientific opinion on an update of the risk assessment of nickel in food and drinking water. EFSA J. 2020, 18, 6268. [Google Scholar] [CrossRef]
- European Food Safety Authority (EFSA). Scientific Opinion on Lead in Food. EFSA J. 2013, 8, 1570. [Google Scholar] [CrossRef]
- Joint FAO/WHO Expert Committee of Food Additives (JECFA). Summary of Evaluations; Joint FAO/WHO Expert Committee on Food Additives: Rome, Italy; Geneva, Switzerland, 2002. Available online: http://www.inchem.org/documents/jecfa/jeceval/jec_1260.htm (accessed on 28 April 2025).
- Storelli, M.M. Potential human health risks from metals (Hg, Cd, and Pb) and polychlorinated biphenyls (PCBs) via seafood consumption: Estimation of target hazard quotients (THQs) and toxic equivalents (TEQs). Food Chem. Toxicol. 2008, 46, 2782–2788. [Google Scholar] [CrossRef] [PubMed]
- Gladyshev, M.I.; Anishchenko, O.V.; Makhutova, O.N.; Kolmakova, O.V.; Trusova, M.Y.; Morgun, V.N.; Gribovskaya, I.V.; Sushchik, N.N. The Benefit–Risk Analysis of Omega-3 Polyunsaturated Fatty Acids and Heavy Metals in Seven Smoked Fish Species from Siberia. J. Food Compos. Anal. 2020, 90, 103489. [Google Scholar] [CrossRef]


| Groups | Raw | Pan Fried | Grilled | Smoked |
|---|---|---|---|---|
| Cooking temperature | N/A | 160 °C | 60 °C | Pre-cooking: 40 °C Cooking: 90 °C Drying: 50 °C |
| Cooking time | N/A | 5 min | 4–6 min per side | Pre-cooking: 2 h 30 min Cooking: 8 h Drying: 2 h |
| Cooking methods and equipment | N/A | Stir-frying Wok | Blackstone® Griddle (Logan, UT, USA) | Bradley® Smoker (Delta, Canada) |
| Notes | N/A | Sunflower Oil | - | Charcoal |
| Essential Elements | Toxic Elements | ||||||||
|---|---|---|---|---|---|---|---|---|---|
| Cu | Fe | Zn | Cr | Mn | Cd | Ni | Pb | ||
| Estimated daily intake (mg/day/70 kg body weight) | Raw | 8.0 × 10−5 | 3.8 × 10−3 | 3.5 × 10−3 | 2.2 × 10−5 | 2.0 × 10−4 | 5.8 × 10−6 | 1.5 × 10−5 | 3.4 × 10−5 |
| Grilled | 1.1 × 10−4 | 3.2 × 10−3 | 4.0 × 10−3 | 7.0 × 10−5 | 2.2 × 10−4 | 7.0 × 10−7 | 1.9 × 10−5 | 8.3 × 10−5 | |
| Pan Fried | 9.5 × 10−5 | 3.1 × 10−3 | 3.6 × 10−3 | 2.4 × 10−5 | 1.3 × 10−4 | 3.9 × 10−6 | n.d. | 6.1 × 10−5 | |
| Smoked | 9.2 × 10−5 | 3.6 × 10−3 | 4.6 × 10−3 | 1.4 × 10−5 | 2.7 × 10−4 | 9.5 × 10−6 | 1.9 × 10−5 | 8.0 × 10−5 | |
| Intake | 0.5 mg/kg b.w/day (PMTDI) [53] | 0.8 mg/kg b.w/day * (PMTDI) [54] | 0.3–1 mg/kg b.w/day (PMTDI) [55] | --- | --- | 25 μg/kg b.w/month (PTMI) [55] | 13 μg/kg b.w/day (TDI) [56] | 0.00063 ** or/ 0.0015 *** (BMDL) [57] | |
| Raw | Grilled | Pan-Fried | Smoked | |
|---|---|---|---|---|
| DHA + EPA, mg/100 g EP * | 959.07 ± 46.58 | 1478.40 ± 34.82 | 743.19 ± 59.74 | 2223.07 ± 161.91 |
| Cu | 0.002 | 0.005 | 0.009 | 0.003 |
| Fe | 0.006 | 0.002 | 0.004 | 0.002 |
| Zn | 0.011 | 0.010 | 0.015 | 0.009 |
| Cr | 0.002 | 0.005 | 0.009 | 0.003 |
| Mn | 0.012 | 0.009 | 0.011 | 0.007 |
| Pb | 0.005 | 0.012 | 0.012 | 0.023 |
| Cd | 0.018 | 0.014 | 0.014 | 0.013 |
| Ni | 0.000 | 0.001 | N/A | 0.001 |
Disclaimer/Publisher’s Note: The statements, opinions and data contained in all publications are solely those of the individual author(s) and contributor(s) and not of MDPI and/or the editor(s). MDPI and/or the editor(s) disclaim responsibility for any injury to people or property resulting from any ideas, methods, instructions or products referred to in the content. |
© 2026 by the authors. Licensee MDPI, Basel, Switzerland. This article is an open access article distributed under the terms and conditions of the Creative Commons Attribution (CC BY) license.
Share and Cite
Peycheva, K.; Panayotova, V.; Hristova, T.; Dobreva, D.A.; Stoycheva, T.; Stancheva, R.; Georgieva, S.; Andreev, E.; Nikolova, S.; Merdzhanova, A. Toxic and Trace Elements in Raw and Cooked Bluefish (Pomatomus saltatrix) from the Black Sea: Benefit–Risk Analysis. Foods 2026, 15, 140. https://doi.org/10.3390/foods15010140
Peycheva K, Panayotova V, Hristova T, Dobreva DA, Stoycheva T, Stancheva R, Georgieva S, Andreev E, Nikolova S, Merdzhanova A. Toxic and Trace Elements in Raw and Cooked Bluefish (Pomatomus saltatrix) from the Black Sea: Benefit–Risk Analysis. Foods. 2026; 15(1):140. https://doi.org/10.3390/foods15010140
Chicago/Turabian StylePeycheva, Katya, Veselina Panayotova, Tatyana Hristova, Diana A. Dobreva, Tonika Stoycheva, Rositsa Stancheva, Stanislava Georgieva, Evgeni Andreev, Silviya Nikolova, and Albena Merdzhanova. 2026. "Toxic and Trace Elements in Raw and Cooked Bluefish (Pomatomus saltatrix) from the Black Sea: Benefit–Risk Analysis" Foods 15, no. 1: 140. https://doi.org/10.3390/foods15010140
APA StylePeycheva, K., Panayotova, V., Hristova, T., Dobreva, D. A., Stoycheva, T., Stancheva, R., Georgieva, S., Andreev, E., Nikolova, S., & Merdzhanova, A. (2026). Toxic and Trace Elements in Raw and Cooked Bluefish (Pomatomus saltatrix) from the Black Sea: Benefit–Risk Analysis. Foods, 15(1), 140. https://doi.org/10.3390/foods15010140

