Systematically Investigating the Qualities of Commercial Encapsulated and Industrial-Grade Bulk Fish Oils in the Chinese Market
Abstract
1. Introduction
2. Materials and Methods
2.1. Standards and Reagents
2.2. Peroxide Value (POV) and p-Anisidine Value (AnV)
2.3. Sensory Assessment
2.4. Metal Ion Determination
2.5. Color Measurements
2.6. Fatty Acid Composition Analysis
2.7. Statistical Analysis
3. Results and Discussion
3.1. Oxidation Levels of Fish Oils
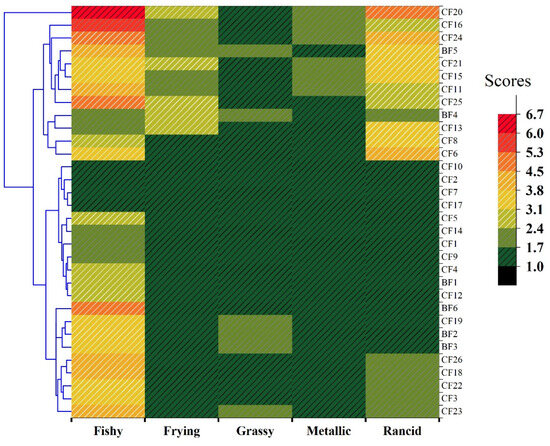
3.2. Sensory Qualities of Fish Oils
3.3. Metal Element Levels
3.4. Color
3.5. Fatty Acids Compositions
3.6. Comparation of Label Amount and Measured Content of Fatty Acids
3.7. Evaluating the Unit Prices of EPA, DHA, MUFA, and PUFA
3.8. Correlation Analysis Among Quality Indicators
4. Conclusions
Supplementary Materials
Author Contributions
Funding
Institutional Review Board Statement
Informed Consent Statement
Data Availability Statement
Conflicts of Interest
References
- Kalkan, E.; Keskin Çavdar, H.; Maskan, M. Health impacts and innovative extraction methods of fish oil: A review. Eur. J. Lipid Sci. Technol. 2025, 127, e202400171. [Google Scholar] [CrossRef]
- Ngamga, F.H.N.; Dongmo, F.F.D.; Boungo, G.T.; Mba, A.R.F.; Tonfack, F.D.; Zokou, R.; Noutsa, B.S.; Etame, R.M.E.; Ngane, R.A.N.; Womeni, H.M. Exploring the physicochemical properties, fatty acids composition, and nutritional quality indices of oil derived from Chrysichthys nigrodigitatus of different sizes: Impact of processing. J. Food Compos. Anal. 2024, 136, 106838. [Google Scholar] [CrossRef]
- Li, L.X.; Xu, Y.N.; Liu, W.J.; Xue, C.H.; Xu, T.C.; Wen, Y.Q. Effect of four-stage refinement with fortified measures to inhibit oil oxidation and purification on the quality of anchovy oil. Food Chem. X 2025, 26, 102256. [Google Scholar] [CrossRef]
- Fuentes, J.B.; Beara, I.; Torovic, L. Regulatory Compliance of Health Claims on Omega-3 Fatty Acid Food Supplements. Foods 2025, 14, 67. [Google Scholar] [CrossRef]
- Jamshidi, A.; Cao, H.; Xiao, J.B.; Simal-Gandara, J. Advantages of techniques to fortify food products with the benefits of fish oil. Food Res. Int. 2020, 137, 109353. [Google Scholar] [CrossRef]
- Marsol-Vall, A.; Aitta, E.; Guo, Z.; Yang, B.R. Green technologies for production of oils rich in n-3 polyunsaturated fatty acids from aquatic sources. Crit. Rev. Food Sci. 2022, 62, 2942–2962. [Google Scholar] [CrossRef] [PubMed]
- Miyashita, K.; Uemura, M.; Hosokawa, M. Effective Prevention of Oxidative Deterioration of Fish Oil: Focus on Flavor Deterioration. Annu. Rev. Food Sci. Technol. 2018, 9, 209–226. [Google Scholar] [CrossRef]
- Alijani, S.; Hahn, A.; Harris, W.S.; Schuchardt, J.P. Bioavailability of EPA and DHA in humans—A comprehensive review. Prog. Lipid Res. 2025, 97, 101318. [Google Scholar] [CrossRef]
- Heller, M.; Gemming, L.; Tung, C.; Grant, R. Oxidation of fish oil supplements in Australia. Int. J. Food Sci. Nutr. 2019, 70, 540–550. [Google Scholar] [CrossRef]
- Esterbauer, H. Cytotoxicity and Genotoxicity of Lipid-Oxidation Products. Am. J. Clin. Nutr. 1993, 57, 779–786. [Google Scholar] [CrossRef]
- Rao, D.; Wu, S. Food oxylipins: Formation, distribution, analysis and implications for health. Trends Food Sci. Technol. 2025, 159, 104968. [Google Scholar] [CrossRef]
- Zhu, Y.J.; Zheng, X.H.; Zeng, Q.L.; Zhong, R.B.; Guo, Y.J.; Shi, F.F.; Liang, P. The inhibitory effect of large yellow croaker roe phospholipid as a potential antioxidant on fish oil oxidation stability. Food Biosci. 2023, 56, 103291. [Google Scholar] [CrossRef]
- GOED. Oxidation in Omega-3 Oils: An Overview; Global Organization for EPA and DHA: Salt Lake City, UT, USA, 2015. [Google Scholar]
- SC/T 3502-2016; Aquaculture Industry Standard of China. Fish Oil. Ministry of Agriculture of China: Beijing, China, 2016.
- Ritter, J.C.S.; Budge, S.M.; Jovica, F. Quality analysis of commercial fish oil preparations. J. Sci. Food Agric. 2013, 93, 1935–1939. [Google Scholar] [CrossRef] [PubMed]
- Kleiner, A.C.; Cladis, D.P.; Santerre, C.R. A comparison of actual versus stated label amounts of EPA and DHA in commercial omega-3 dietary supplements in the United States. J. Sci. Food Agric. 2015, 95, 1260–1267. [Google Scholar] [CrossRef]
- Barrett, A.H.; Porter, W.L.; Marando, G.; Chinachoti, P. Effect of various antioxidants, antioxidant levels, and encapsulation on the stability of fish and flaxseed oils: Assessment by fluorometric analysis. J. Food Process. Preserv. 2011, 35, 349–358. [Google Scholar] [CrossRef]
- Wen, Y.Q.; Xue, C.H.; Zhang, H.W.; Xu, L.L.; Wang, X.H.; Bi, S.J.; Xue, Q.Q.; Xue, Y.; Li, Z.J.; Velasco, J.; et al. Recombination of oxidized samples of DHA and purified sunflower oil reproduces the odor profile of impaired algae oil from Schizochytrium sp. and reveals the odor contribution of fatty acids other than DHA. LWT-Food Sci. Technol. 2022, 160, 113291. [Google Scholar] [CrossRef]
- Wang, X.H.; Wen, Y.Q.; Bi, S.J.; Li, Z.J.; Xue, Y.; Xue, C.H.; Jiang, X.M. Bleaching with the Mixed Adsorbents of Activated Earth and Activated Alumina to Reduce Color and Oxidation Products of Anchovy Oil. J. Ocean. Univ. China 2021, 20, 1167–1174. [Google Scholar] [CrossRef]
- Xia, S.G.; Xue, Y.; Xue, C.H.; Jiang, X.M.; Li, J. Structural and rheological properties of meat analogues from Haematococcus pluvialis residue-pea protein by high moisture extrusion. LWT-Food Sci. Technol. 2022, 154, 112756. [Google Scholar] [CrossRef]
- Albert, B.B.; Derraik, J.G.B.; Cameron-Smith, D.; Hofman, P.L.; Tumanov, S.; Villas-Boas, S.G.; Garg, M.L.; Cutfield, W.S. Fish oil supplements in New Zealand are highly oxidised and do not meet label content of n-3 PUFA. Sci. Rep. 2015, 5, 7928. [Google Scholar] [CrossRef]
- De Boer, A.A.; Ismail, A.; Marshall, K.; Bannenberg, G.; Yan, K.L.; Rowe, W.J. Examination of marine and vegetable oil oxidation data from a multi-year, third-party database. Food Chem. 2018, 254, 249–255. [Google Scholar] [CrossRef]
- Bannenberg, G.; Mallon, C.; Edwards, H.; Yeadon, D.; Yan, K.; Johnson, H.; Ismail, A. Omega-3 Long-Chain Polyunsaturated Fatty Acid Content and Oxidation State of Fish Oil Supplements in New Zealand. Sci. Rep. 2017, 7, 1488. [Google Scholar] [CrossRef] [PubMed]
- Floros, S.; Toskas, A.; Pasidi, E.; Vareltzis, P. Bioaccessibility and oxidative stability of omega-3 fatty acids in supplements, sardines and enriched eggs studied using a static in vitro gastrointestinal model. Molecules 2022, 27, 415. [Google Scholar] [CrossRef]
- Song, G.S.; Zhang, M.N.; Peng, X.; Yu, X.N.; Dai, Z.Y.; Shen, Q. Effect of deodorization method on the chemical and nutritional properties of fish oil during refining. LWT-Food Sci. Technol. 2018, 96, 560–567. [Google Scholar] [CrossRef]
- GB 2762-2017; Food Safety National Standard. Limits of Contaminants in Food. National Health and Family Planning Commission of China and National Medical Products Administration: Beijing, China, 2017.
- Ozyurt, G.; Ekmen, D.; Durmus, M.; Ucar, Y. Assessment of the safety of dietary fish oil supplements in terms of content and quality. Environ. Sci. Pollut. Res. 2022, 29, 25006–25019. [Google Scholar] [CrossRef]
- Hajeb, P.; Selamat, J.; Afsah-Hejri, L.; Mahyudin, N.A.; Shakibazadeh, S.; Sarker, M.Z.I. Effect of Supercritical Fluid Extraction on the Reduction of Toxic Elements in Fish Oil Compared with Other Extraction Methods. J. Food Prot. 2015, 78, 172–179. [Google Scholar] [CrossRef] [PubMed]
- Xie, H.J.; Zhang, Y.T.; Cao, M.N.; Liu, C.Z.; Mao, Y.Z.; Ren, G.R.; Wu, Z.Y.; Fang, S.; Tian, S.Y.; Wu, D. Fabrication of PGFE/CN-stabilized β-carotene-loaded peppermint oil nanoemulsions: Storage stability, rheological behavior and intelligent sensory analyses. LWT-Food Sci. Technol. 2021, 138, 110688. [Google Scholar] [CrossRef]
- Sayyad, R.; Ghomi, M. Evaluation of fatty acid profile, color characteristics, oxidative quality and stability of common Kilka (Clupeonella cultriventris caspia) oil obtained by various extraction techniques. J. Food Sci. Technol. Mysore 2017, 54, 1377–1383. [Google Scholar] [CrossRef]
- Xu, L.R.; Liu, T.R.; Cao, H.Q.; Zheng, L.L.; Zhu, C.F.; Karrar, E.; Ouyang, Y.C.; Shen, X.C. Influence of different extraction methods on the chemical composition, antioxidant activity, and overall quality attributes of oils from Trichosanthes kirilowii Maxim seed. Food Control 2022, 142, 109201. [Google Scholar] [CrossRef]
- Karsli, B. Comparative analysis of the fatty acid composition of commercially available fish oil supplements in Turkey: Public health risks and benefits. J. Food Compos. Anal. 2021, 103, 104105. [Google Scholar] [CrossRef]
- Rohman, A.; Putri, A.R.; Irnawati; Windarsih, A.; Nisa, K.; Lestari, L.A. The employment of analytical techniques and chemometrics for authentication of fish oils: A review. Food Control 2021, 124, 107864. [Google Scholar] [CrossRef]
- Zhang, M.N.; Li, L.Q.; Song, G.S.; Wang, H.H.; Wang, H.X.; Shen, Q. Analysis of volatile compound change in tuna oil during storage using a laser irradiation based HS-SPME-GC/MS. LWT-Food Sci. Technol. 2020, 120, 108922. [Google Scholar] [CrossRef]
- Georgiou, D.; Tzika, P.; Charisis, A.; Kalogianni, E.P. Effect of Extraction Method on the Yield and Quality of Mullet Roe Oil. Eur. J. Lipid Sci. Technol. 2023, 125, 2300008. [Google Scholar] [CrossRef]





| Metal | CFs | BFs | Limited Content (μg/kg) * | Over-Limit Ratio (%) | |||||
|---|---|---|---|---|---|---|---|---|---|
| Minimum (μg/kg) (Sample) | Maximum (μg/kg) (Sample) | Mean (μg/kg) | Minimum (μg/kg) (Sample) | Maximum (μg/kg) (Sample) | Mean (μg/kg) | CFs | BFs | ||
| Cr | 345.8 (CF3) | 2299.1 (CF26) | 951.4 | 771.0 (BF2) | 4478.4 (BF4) | 2147.7 | 2000 | 3.8 | 50 |
| Mn | 296.2 (CF14) | 1688.2 (CF19) | 511.9 | 282.8 (BF2) | 2582.3 (BF5) | 1250.3 | / | / | / |
| Fe | 2769.0 (CF3) | 50,979.7 (CF16) | 14,900.1 | 4381.3 (BF2) | 48,823.7 (BF4) | 23,415.5 | / | / | / |
| Co | 16.9 (CF5) | 74.0 (CF19) | 29.3 | 18.7 (BF2) | 55.1 (BF5) | 39.0 | / | / | / |
| Ni | 189.4 (CF5) | 3195.0 (CF21) | 795.8 | 335.8 (BF2) | 802.1 (BF5) | 576.2 | / | / | / |
| Cu | 707.6 (CF13) | 2670.9 (CF19) | 1080.1 | 689.1 (BF2) | 2553.6 (BF1) | 1574.7 | / | / | / |
| Zn | 2584.7 (CF3) | 11,306.8 (CF22) | 5819.2 | 4587.6 (BF1) | 9227.1 (BF5) | 7080.9 | / | / | / |
| As | 2.7 (CF3) | 264.7 (CF19) | 72.2 | 6.1 (BF2) | 158.0 (BF5) | 95.4 | 100 | 15.4 | 33.3 |
| Cd | 2.9 (CF26) | 41.6 (CF16) | 9.2 | 1.1 (BF2) | 10.0 (BF1) | 6.4 | 300 | 0 | 0 |
| Pb | 129.9 (CF6) | 485.5 (CF20) | 284.3 | 165.1 (BF2) | 328.5 (BF1) | 256.2 | 1000 | 0 | 0 |
| Samples | EPA (mg/g) | DHA (mg/g) | MUFA (mg/g) | PUFA (mg/g) | Price of Oil | ||||||||
|---|---|---|---|---|---|---|---|---|---|---|---|---|---|
| Label | Test | PCG * | Price ** | Label | Test | PCG | Price | Test | Price | Test | Price | ||
| CF1 | 183.00 | 173.10 | −5.0% | 6.82 | 120.00 | 94.90 | −21% | 12.43 | 282.53 | 4.18 | 331.31 | 3.56 | 1.18 |
| CF2 | 180.00 | 165.00 | −8.0% | 1.94 | 120.00 | 101.45 | −15% | 3.15 | 259.41 | 1.23 | 314.99 | 1.02 | 0.32 |
| CF3 | 178.00 | 160.70 | −10% | 2.87 | 103.00 | 103.12 | 0% | 4.47 | 240.19 | 1.92 | 336.29 | 1.37 | 0.46 |
| CF4 | 141.00 | 189.87 | 35% | 1.14 | 94.00 | 116.33 | 24% | 1.86 | 261.80 | 0.83 | 354.99 | 0.61 | 0.22 |
| CF5 | 60.00 | 88.08 | 47% | 18.92 | 60.00 | 94.68 | 58% | 17.60 | 486.33 | 3.43 | 260.64 | 6.39 | 1.67 |
| CF6 | 100.00 | 134.09 | 34% | 80.27 | 480.00 | 519.15 | 8.0% | 20.73 | 78.00 | 137.98 | 690.47 | 15.59 | 10.76 |
| CF7 | 45 mg † | 170.82 | \ | 36.67 | 150 mg † | 409.76 | \ | 11.00 | 27.32 | \ | 646.67 | \ | \ |
| CF8 | 180.00 | 170.45 | −5.0% | 1.76 | 120.00 | 103.53 | −14% | 2.90 | 269.93 | 1.11 | 336.36 | 0.89 | 0.30 |
| CF9 | 141.00 | 156.08 | 11% | 0.99 | 94.00 | 88.85 | −5.0% | 1.74 | 247.36 | 0.63 | 325.30 | 0.48 | 0.16 |
| CF10 | 180.00 | 146.47 | −19% | 2.01 | 120.00 | 94.32 | −21% | 3.13 | 287.61 | 1.03 | 315.73 | 0.93 | 0.30 |
| CF11 | 150.00 | 156.59 | 4.0% | 2.90 | 100.00 | 91.24 | −9.0% | 4.98 | 255.76 | 1.78 | 338.08 | 1.34 | 0.45 |
| CF12 | 180.00 | 196.64 | 9.0% | 1.98 | 125.00 | 117.63 | −6.0% | 3.32 | 327.59 | 1.19 | 366.35 | 1.06 | 0.39 |
| CF13 | 180.00 | 177.41 | −1.0% | 4.07 | 120.00 | 120.06 | 0% | 6.02 | 267.31 | 2.70 | 375.73 | 1.92 | 0.72 |
| CF14 | 60.00 | 75.43 | 26% | 45.96 | 100.00 | 96.60 | −3.0% | 35.89 | 447.42 | 7.75 | 272.67 | 12.71 | 3.47 |
| CF15 | 180.00 | 203.59 | 13% | 1.47 | 120.00 | 126.59 | 5.0% | 2.37 | 412.47 | 0.73 | 417.69 | 0.72 | 0.30 |
| CF16 | 180.00 | 171.24 | −5.0% | 9.64 | 120.00 | 104.55 | −13% | 15.78 | 258.96 | 6.37 | 287.25 | 5.74 | 1.65 |
| CF17 | 300.00 | 350.11 | 17% | 3.62 | 200.00 | 223.43 | 12% | 5.67 | 279.98 | 4.52 | 663.94 | 1.91 | 1.27 |
| CF18 | 180.00 | 153.04 | −15% | 10.21 | 120.00 | 77.73 | −35% | 20.10 | 285.30 | 5.48 | 358.22 | 4.36 | 1.56 |
| CF19 | 300.00 | 382.64 | 28% | 6.08 | 200.00 | 288.32 | 44% | 8.06 | 194.65 | 11.94 | 753.04 | 3.09 | 2.33 |
| CF20 | 460.00 | 442.87 | −4.0% | 2.91 | 180.00 | 172.54 | −4.0% | 7.48 | 136.48 | 9.46 | 682.75 | 1.89 | 1.29 |
| CF21 | 192.80 | 212.99 | 10% | 1.17 | 101.00 | 121.74 | 21% | 2.05 | 378.50 | 0.66 | 441.78 | 0.57 | 0.25 |
| CF22 | 320.00 | 364.16 | 14% | 6.35 | 240.00 | 264.67 | 10% | 8.73 | 240.95 | 9.59 | 738.43 | 3.13 | 2.31 |
| CF23 | 60.00 | 60.79 | 1.0% | 30.84 | 100.00 | 85.34 | −15% | 21.97 | 344.54 | 5.44 | 185.90 | 10.09 | 1.88 |
| CF24 | 150.00 | 223.73 | 49% | 6.70 | 100.00 | 134.51 | 35% | 11.15 | 407.92 | 3.68 | 477.89 | 3.14 | 1.50 |
| CF25 | 180.00 | 225.05 | 25% | 4.40 | 120.00 | 146.60 | 22% | 6.75 | 395.03 | 2.51 | 452.52 | 2.19 | 0.99 |
| CF26 | 60.00 | 72.97 | 22% | 57.10 | 100.00 | 86.66 | −13% | 48.08 | 388.84 | 10.72 | 222.80 | 18.70 | 4.17 |
| BF1 | 150.00 | 168.18 | 12% | 0.65 | 100.00 | 92.31 | −8.0% | 1.19 | 271.68 | 0.40 | 315.17 | 0.35 | 0.11 |
| BF2 | 60.00 | 59.21 | −1.0% | 1.01 | 120.00 | 115.70 | −4.0% | 0.52 | 380.17 | 0.16 | 228.21 | 0.26 | 0.06 |
| BF3 | 180.00 | 175.10 | −3.0% | 0.46 | 120.00 | 103.06 | −14% | 0.78 | 283.80 | 0.28 | 351.67 | 0.23 | 0.08 |
| BF4 | 100.00 | 139.22 | 39% | 3.45 | 400.00 | 419.86 | 5.0% | 1.14 | 236.78 | 2.03 | 661.47 | 0.73 | 0.48 |
| BF5 | 150.00 | 167.85 | 12% | 0.54 | 100.00 | 109.90 | 10% | 0.82 | 304.10 | 0.30 | 358.89 | 0.25 | 0.09 |
| BF6 | 150.00 | 159.09 | 6.0% | 0.57 | 100.00 | 102.26 | 2.0% | 0.88 | 282.04 | 0.32 | 337.24 | 0.27 | 0.09 |
| Linear Correlation | Price and EPA | Price and DHA | Price and MUFA | Price and PUFA | Price and POV | Price and AnV |
|---|---|---|---|---|---|---|
| R2 | 0.023 | 0.6 | 0.097 | 0.107 | 0.002 | 0.038 |
| p | 0.47 | <0.001 | 0.13 | 0.11 | 0.848 | 0.352 |
| Significance | N * | Y | N | N | N | N |
| Coefficient | / | 0.018 | / | / | / | / |
| Correlation | G1 and G2 * | G1 and G3 | G1 and G4 | G1 and G5 | ||||
|---|---|---|---|---|---|---|---|---|
| A1 ** | A2 | B1 | B2 | C1 | C2 | D1 | D2 | |
| Coefficient | 0.513 | 0.312 | 0.541 | 0.251 | 0.367 | 0.075 | 0.853 | 0.431 |
| p | 0.617 | 0.727 | 0.396 | 0.721 | 0.789 | / | 0.179 | 0.939 |
| Significance | N † | N | N | N | N | N | N | N |
Disclaimer/Publisher’s Note: The statements, opinions and data contained in all publications are solely those of the individual author(s) and contributor(s) and not of MDPI and/or the editor(s). MDPI and/or the editor(s) disclaim responsibility for any injury to people or property resulting from any ideas, methods, instructions or products referred to in the content. |
© 2025 by the authors. Licensee MDPI, Basel, Switzerland. This article is an open access article distributed under the terms and conditions of the Creative Commons Attribution (CC BY) license (https://creativecommons.org/licenses/by/4.0/).
Share and Cite
Zhou, Q.; Xu, L.; Xu, Y.; Xue, Q.; Xue, C.; Jiang, X.; Wen, Y. Systematically Investigating the Qualities of Commercial Encapsulated and Industrial-Grade Bulk Fish Oils in the Chinese Market. Foods 2025, 14, 1623. https://doi.org/10.3390/foods14091623
Zhou Q, Xu L, Xu Y, Xue Q, Xue C, Jiang X, Wen Y. Systematically Investigating the Qualities of Commercial Encapsulated and Industrial-Grade Bulk Fish Oils in the Chinese Market. Foods. 2025; 14(9):1623. https://doi.org/10.3390/foods14091623
Chicago/Turabian StyleZhou, Qian, Lili Xu, Yanan Xu, Qianqian Xue, Changhu Xue, Xiaoming Jiang, and Yunqi Wen. 2025. "Systematically Investigating the Qualities of Commercial Encapsulated and Industrial-Grade Bulk Fish Oils in the Chinese Market" Foods 14, no. 9: 1623. https://doi.org/10.3390/foods14091623
APA StyleZhou, Q., Xu, L., Xu, Y., Xue, Q., Xue, C., Jiang, X., & Wen, Y. (2025). Systematically Investigating the Qualities of Commercial Encapsulated and Industrial-Grade Bulk Fish Oils in the Chinese Market. Foods, 14(9), 1623. https://doi.org/10.3390/foods14091623

