The Combination of Shaking and Yellow-Light Withering Promote the Volatile Aroma Components and the Aroma Quality of Black Tea
Abstract
1. Introduction
2. Materials and Methods
2.1. Reagents and Equipment
2.2. Tea Sample Processing
2.3. Sensory Evaluation
2.4. Extraction and Analysis of Volatile Compounds
2.5. Quantification and Relative Odor Activity Value (rOAV) Calculation
2.6. Data Processing Method and Statistical Analysis
3. Results and Discussion
3.1. Sensory Quality of Black Tea Under Different Shaking Combinations
3.2. Volatile Compound Analysis of Black Tea Under Different Shaking Combinations
3.2.1. Qualitative and Quantitative Analysis of Volatile Compounds
3.2.2. PLS-DA Analysis of Volatile Compounds
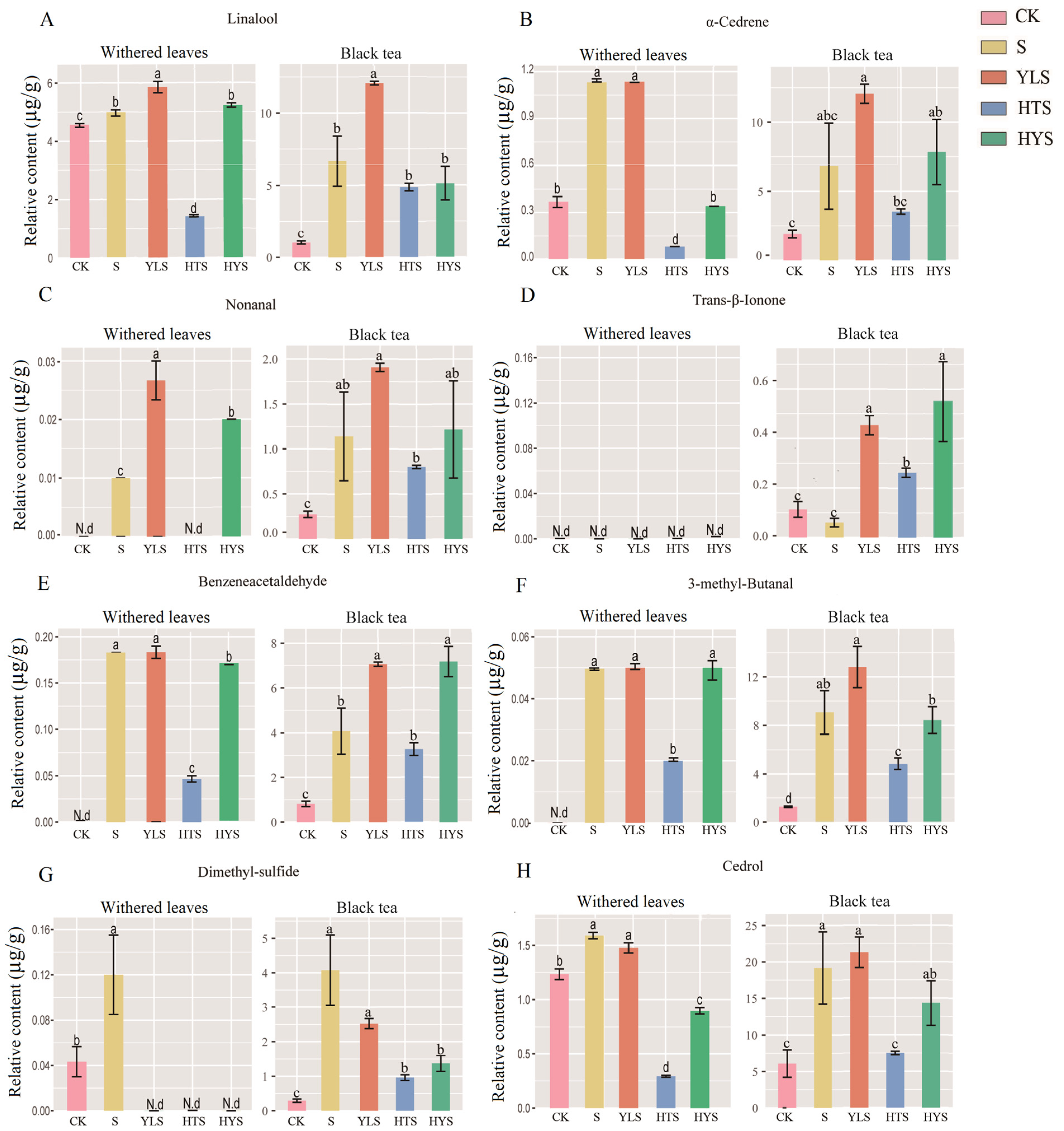
3.2.3. Key Aroma Compounds of Black Teas
3.3. Volatile Compounds Analysis of Withered Leaves under Different Shaking Combinations
3.3.1. Overall Analysis of Volatile Compounds
3.3.2. Analysis of Key Aroma Components
4. Discussion
5. Conclusions
Supplementary Materials
Author Contributions
Funding
Institutional Review Board Statement
Informed Consent Statement
Data Availability Statement
Conflicts of Interest
References
- Huang, W.; Fang, S.; Wang, J.; Zhuo, C.; Luo, Y.; Yu, Y.; Li, L.; Wang, Y.; Deng, W.-W.; Ning, J. Sensomics Analysis of the Effect of the Withering Method on the Aroma Components of Keemun Black Tea. Food Chem. 2022, 395, 133549. [Google Scholar] [CrossRef] [PubMed]
- Kumazawa, K.; Wada, Y.; Masuda, H. Characterization of Epoxydecenal Isomers as Potent Odorants in Black Tea (Dimbula) Infusion. J. Agric. Food Chem. 2006, 54, 4795–4801. [Google Scholar] [CrossRef]
- Wang, Q.; Qin, D.; Huang, G.; Jiang, X.; Fang, K.; Wang, Q.; Ni, E.; Li, B.; Pan, C.; Li, H.; et al. Identification and Characterization of the Key Volatile Flavor Compounds in Black Teas from Distinct Regions Worldwide. J. Food Sci. 2022, 87, 3433–3446. [Google Scholar] [CrossRef]
- Flaig, M.; Qi, S.C.; Wei, G.; Yang, X.; Schieberle, P. Characterisation of the Key Aroma Compounds in a Longjing Green Tea Infusion (Camellia Sinensis) by the Sensomics Approach and Their Quantitative Changes during Processing of the Tea Leaves. Eur. Food Res. Technol. 2020, 246, 2411–2425. [Google Scholar] [CrossRef]
- Guo, X.; Schwab, W.; Ho, C.-T.; Song, C.; Wan, X. Characterization of the Aroma Profiles of Oolong Tea Made from Three Tea Cultivars by Both GC–MS and GC-IMS. Food Chem. 2022, 376, 131933. [Google Scholar] [CrossRef]
- Chen, Z.; Li, Z.; Zhao, Y.; Zhu, M.; Li, J.; Wang, K. A Meta-Analysis of Dynamic Changes of Key Aroma Compounds during Black Tea Processing. Food Biosci. 2024, 58, 103784. [Google Scholar] [CrossRef]
- Kang, S.; Yan, H.; Zhu, Y.; Liu, X.; Lv, H.-P.; Zhang, Y.; Dai, W.-D.; Guo, L.; Tan, J.-F.; Peng, Q.-H.; et al. Identification and Quantification of Key Odorants in the World’s Four Most Famous Black Teas. Food Res. Int. 2019, 121, 73–83. [Google Scholar] [CrossRef] [PubMed]
- Jin, L.; Lian, X.; Chen, L.; Lei, Y.; Li, J.; Yang, Z.; Li, D. Characteristic Aroma Analysis and Interaction Study of Key Aroma Compounds of Chuanhong Congou Black Tea. Eur. Food Res. Technol. 2024, 250, 441–454. [Google Scholar] [CrossRef]
- Deb, S.; Jolvis Pou, K.R. A Review of Withering in the Processing of Black Tea. J. Biosyst. Eng. 2016, 41, 365–372. [Google Scholar] [CrossRef]
- Wang, Y.; Zheng, P.-C.; Liu, P.-P.; Song, X.-W.; Guo, F.; Li, Y.-Y.; Ni, D.-J.; Jiang, C.-J. Novel Insight into the Role of Withering Process in Characteristic Flavor Formation of Teas Using Transcriptome Analysis and Metabolite Profiling. Food Chem. 2019, 272, 313–322. [Google Scholar] [CrossRef] [PubMed]
- Fang, X.; Liu, Y.; Xiao, J.; Ma, C.; Huang, Y. GC–MS and LC-MS/MS Metabolomics Revealed Dynamic Changes of Volatile and Non-Volatile Compounds during Withering Process of Black Tea. Food Chem. 2023, 410, 135396. [Google Scholar] [CrossRef] [PubMed]
- Xue, J.; Liu, P.; Yin, J.; Wang, W.; Zhang, J.; Wang, W.; Le, T.; Ni, D.; Jiang, H. Dynamic Changes in Volatile Compounds of Shaken Black Tea during Its Manufacture by GC × GC–TOFMS and Multivariate Data Analysis. Foods 2022, 11, 1228. [Google Scholar] [CrossRef]
- Zeng, L.; Zhou, X.; Su, X.; Yang, Z. Chinese Oolong Tea: An Aromatic Beverage Produced under Multiple Stresses. Trends Food Sci. Technol. 2020, 106, 242–253. [Google Scholar] [CrossRef]
- Wang, J.; Ouyang, W.; Zhu, X.; Jiang, Y.; Yu, Y.; Chen, M.; Yuan, H.; Hua, J. Effect of Shaking on the Improvement of Aroma Quality and Transformation of Volatile Metabolites in Black Tea. Food Chem. X 2023, 20, 101007. [Google Scholar] [CrossRef]
- Yin, X.; Xiao, Y.; Wang, K.; Wu, W.; Huang, J.; Liu, S.; Zhang, S. Effect of Shaking Manners on Floral Aroma Quality and Identification of Key Floral-Aroma-Active Compounds in Hunan Black Tea. Food Res. Int. 2023, 174, 113515. [Google Scholar] [CrossRef]
- Ai, Z.; Zhang, B.; Chen, Y.; Yu, Z.; Chen, H.; Ni, D. Impact of Light Irradiation on Black Tea Quality during Withering. J. Food Sci. Technol. 2017, 54, 1212–1227. [Google Scholar] [CrossRef] [PubMed]
- Yu, X.; Li, Y.; He, C.; Zhou, J.; Chen, Y.; Yu, Z.; Wang, P.; Ni, D. Nonvolatile Metabolism in Postharvest Tea (Camellia sinensis L.) Leaves: Effects of Different Withering Treatments on Nonvolatile Metabolites, Gene Expression Levels, and Enzyme Activity. Food Chem. 2020, 327, 126992. [Google Scholar] [CrossRef] [PubMed]
- Li, Y.; He, C.; Yu, X.; Zhou, J.; Ntezimana, B.; Yu, Z.; Chen, Y.; Ni, D. Study on Improving Aroma Quality of Summer-Autumn Black Tea by Red-Light Irradiation during Withering. LWT 2022, 154, 112597. [Google Scholar] [CrossRef]
- Huang, W.; Lu, G.; Deng, W.-W.; Ning, J. Effects of Different Withering Methods on the Taste of Keemun Black Tea. LWT 2022, 166, 113791. [Google Scholar] [CrossRef]
- Zhou, J.; Yu, X.; He, C.; Qiu, A.; Li, Y.; Shu, Q.; Chen, Y.; Ni, D. Withering Degree Affects Flavor and Biological Activity of Black Tea: A Non-Targeted Metabolomics Approach. LWT 2020, 130, 109535. [Google Scholar] [CrossRef]
- Qin, M.; Zhou, J.; Luo, Q.; Zhu, J.; Yu, Z.; Zhang, D.; Ni, D.; Chen, Y. The Key Aroma Components of Steamed Green Tea Decoded by Sensomics and Their Changes under Different Withering Degree. Food Chem. 2024, 439, 138176. [Google Scholar] [CrossRef]
- Wang, M.-Q.; Ma, W.-J.; Shi, J.; Zhu, Y.; Lin, Z.; Lv, H.-P. Characterization of the Key Aroma Compounds in Longjing Tea Using Stir Bar Sorptive Extraction (SBSE) Combined with Gas Chromatography-Mass Spectrometry (GC–MS), Gas Chromatography-Olfactometry (GC-O), Odor Activity Value (OAV), and Aroma Recombination. Food Res. Int. 2020, 130, 108908. [Google Scholar] [CrossRef] [PubMed]
- Hou, Z.-W.; Wang, Y.-J.; Xu, S.-S.; Wei, Y.-M.; Bao, G.-H.; Dai, Q.-Y.; Deng, W.-W.; Ning, J.-M. Effects of Dynamic and Static Withering Technology on Volatile and Nonvolatile Components of Keemun Black Tea Using GC-MS and HPLC Combined with Chemometrics. LWT 2020, 130, 109547. [Google Scholar] [CrossRef]
- Xie, J.; Wang, L.; Deng, Y.; Yuan, H.; Zhu, J.; Jiang, Y.; Yang, Y. Characterization of the Key Odorants in Floral Aroma Green Tea Based on GC-E-Nose, GC-IMS, GC-MS and Aroma Recombination and Investigation of the Dynamic Changes and Aroma Formation during Processing. Food Chem. 2023, 427, 136641. [Google Scholar] [CrossRef] [PubMed]
- Wang, J.; Qu, L.; Yu, Z.; Jiang, Y.; Yu, C.; Zhu, X.; Lin, Q.; Niu, L.; Yu, Y.; Lin, Q.; et al. Targeted Quantitative Metabolomic and Flavor Objective Quantification Technique Reveal the Impact Mechanism of Shaking on Black Tea Quality and Non-Volatile Metabolites. Food Chem. 2024, 458, 140226. [Google Scholar] [CrossRef]
- Hua, J.; Zhu, X.; Ouyang, W.; Yu, Y.; Chen, M.; Wang, J.; Yuan, H.; Jiang, Y. Non-Target and Target Quantitative Metabolomics with Quantitative Aroma Evaluation Reveal the Influence Mechanism of Withering Light Quality on Tea Aroma and Volatile Metabolites Evolution. Food Res. Int. 2024, 192, 114773. [Google Scholar] [CrossRef] [PubMed]
- Fu, X.; Chen, Y.; Mei, X.; Katsuno, T.; Kobayashi, E.; Dong, F.; Watanabe, N.; Yang, Z. Regulation of Formation of Volatile Compounds of Tea (Camellia Sinensis) Leaves by Single Light Wavelength. Sci. Rep. 2015, 5, 16858. [Google Scholar] [CrossRef] [PubMed]
- He, Y.; Li, J.; Mei, H.; Zhuang, J.; Zhao, Z.; Jeyaraj, A.; Wang, Y.; Chen, X.; Li, X.; Liu, Z. Effects of Leaf-Spreading on the Volatile Aroma Components of Green Tea under Red Light of Different Intensities. Food Res. Int. 2023, 168, 112759. [Google Scholar] [CrossRef] [PubMed]
- Ni, Z.; Yang, Y.; Zhang, Y.; Hu, Q.; Lin, J.; Lin, H.; Hao, Z.; Wang, Y.; Zhou, J.; Sun, Y. Dynamic Change of the Carotenoid Metabolic Pathway Profile during Oolong Tea Processing with Supplementary LED Light. Food Res. Int. 2023, 169, 112839. [Google Scholar] [CrossRef] [PubMed]
- Yu, X.; He, C.; Li, Y.; Zhou, J.; Chen, Y.; Yu, Z.; Wang, Y.; Ni, D. Effects of Different Spreading Treatments on the Formation of Aroma Quality in Green Tea. Beverage Plant Res. 2021, 1, 14. [Google Scholar] [CrossRef]
- Zheng, X.-Q.; Li, Q.-S.; Xiang, L.-P.; Liang, Y.-R. Recent Advances in Volatiles of Teas. Molecules 2016, 21, 338. [Google Scholar] [CrossRef] [PubMed]
- Wu, L.; Wang, Y.; Liu, S.; Sun, Y.; Li, C.; Lin, J.; Wei, S. The Stress-Induced Metabolites Changes in the Flavor Formation of Oolong Tea during Enzymatic-Catalyzed Process: A Case Study of Zhangping Shuixian Tea. Food Chem. 2022, 391, 133192. [Google Scholar] [CrossRef]
- Zhou, Z.-W.; Wu, Q.-Y.; Yang, Y.; Hu, Q.-C.; Wu, Z.-J.; Huang, H.-Q.; Lin, H.-Z.; Lai, Z.-X.; Sun, Y. The Dynamic Change in Fatty Acids during the Postharvest Process of Oolong Tea Production. Molecules 2022, 27, 4298. [Google Scholar] [CrossRef]
- Chen, Y.; Zeng, L.; Liao, Y.; Li, J.; Zhou, B.; Yang, Z.; Tang, J. Enzymatic Reaction-Related Protein Degradation and Proteinaceous Amino Acid Metabolism during the Black Tea (Camellia Sinensis) Manufacturing Process. Foods 2020, 9, 66. [Google Scholar] [CrossRef] [PubMed]
- Das, S.; Samanta, T.; Datta, A.K. Improving Black Tea Quality through Optimization of Withering Conditions Using Artificial Neural Network and Genetic Algorithm. J. Food Process. Preserv. 2021, 45, e15273. [Google Scholar] [CrossRef]
- Ho, C.-T.; Zheng, X.; Li, S. Tea Aroma Formation. Food Sci. Hum. Wellness 2015, 4, 9–27. [Google Scholar] [CrossRef]
- Yao, H.; Su, H.; Ma, J.; Zheng, J.; He, W.; Wu, C.; Hou, Z.; Zhao, R.; Zhou, Q. Widely Targeted Volatileomics Analysis Reveals the Typical Aroma Formation of Xinyang Black Tea during Fermentation. Food Res. Int. 2023, 164, 112387. [Google Scholar] [CrossRef]





| Sample | Appearance | Infusion Color | Aroma | Taste | Infused Leaf | Total Score |
|---|---|---|---|---|---|---|
| CK | 90.00 ± 0.00 a | 90.23 ± 0.21 a | 85.00 ± 0.41 d | 88.23 ± 0.21 c | 90.00 ± 0.00 a | 88.24 ± 0.13 d |
| S | 90.00 ± 0.00 a | 90.32 ± 0.13 a | 88.23 ± 0.21 b | 90.17 ± 0.12 b | 90.00 ± 0.00 a | 89.64 ± 0.06 b |
| YLS | 90.00 ± 0.00 a | 90.67 ± 0.24 a | 90.57 ± 0.33 a | 92.23 ± 0.21 a | 90.00 ± 0.00 a | 90.88 ± 0.09 a |
| HTS | 90.00 ± 0.00 a | 88.50 ± 0.41 b | 87.33 ± 0.24 c | 90.07 ± 0.09 b | 90.00 ± 0.00 a | 89.20 ± 0.11 c |
| HYS | 90.00 ± 0.00 a | 84.23 ± 0.21 c | 88.07 ± 0.09 b | 87.13 ± 0.09 d | 90.00 ± 0.00 a | 88.08 ± 0.07 d |
| Name of Odorants | OT (μg∙L−1) | Odor Characteristic | Average rOAV | ||||
|---|---|---|---|---|---|---|---|
| CK | S | YLS | HTS | HYS | |||
| Linalool | 0.22 | Floral, sweet, grape-like, woody | 4.72 ± 0.75 c | 30.34 ± 11.08 b | 54.78 ± 0.82 a | 22.14 ± 1.71 b | 23.20 ± 7.45 b |
| Cedrol | 1.00 | Cedarwood aroma | 6.08 ± 2.65 c | 19.16 ± 7.02 a | 21.29 ± 2.96 a | 7.50 ± 0.33 c | 14.33 ± 4.30 ab |
| 3-methyl-Butanal | 0.50 | Apple-like and chocolate-like flavor | 2.53 ± 0.16 d | 18.14 ± 5.07 ab | 25.63 ± 4.82 a | 8.19 ± 0.75 c | 16.87 ± 3.13 b |
| Trans-β-Ionone | 0.007 | Violet-like, floral, and raspberry-like | 16.29 ± 6.28 c | 8.51 ± 3.60 c | 65.13 ± 7.99 a | 37.66 ± 3.77 b | 78.50 ± 32.76 a |
| Dimethyl sulfide | 0.33 | Corn, sulfurous flavor | 0.88 ± 0.22 c | 12.35 ± 4.39 a | 7.64 ± 0.61 a | 2.91 ± 0.36 b | 4.16 ± 1.00 b |
| Benzeneacetaldehyde | 1.20 | Hawthorne, honey, sweet | 0.20 ± 0.04 c | 1.02 ± 0.36 b | 1.77 ± 0.03 a | 0.82 ± 0.10 b | 1.79 ± 0.24 a |
| α-Cedrene | 2.13 | Floral | 0.89 ± 0.19 c | 4.66 ± 3.20 abc | 5.67 ± 0.46 a | 1.66 ± 0.13 bc | 3.68 ± 1.57 ab |
| Nonanal | 1.10 | Rose aroma, aroma of citrus flower, creamy aroma | 0.27 ± 0.05 c | 1.14 ± 0.69 ab | 1.90 ± 0.07 a | 0.80 ± 0.03 b | 1.21 ± 0.76 ab |
Disclaimer/Publisher’s Note: The statements, opinions and data contained in all publications are solely those of the individual author(s) and contributor(s) and not of MDPI and/or the editor(s). MDPI and/or the editor(s) disclaim responsibility for any injury to people or property resulting from any ideas, methods, instructions or products referred to in the content. |
© 2025 by the authors. Licensee MDPI, Basel, Switzerland. This article is an open access article distributed under the terms and conditions of the Creative Commons Attribution (CC BY) license (https://creativecommons.org/licenses/by/4.0/).
Share and Cite
Ai, Z.; Hu, S.; Ji, L.; Mu, B.; Yang, Y. The Combination of Shaking and Yellow-Light Withering Promote the Volatile Aroma Components and the Aroma Quality of Black Tea. Foods 2025, 14, 758. https://doi.org/10.3390/foods14050758
Ai Z, Hu S, Ji L, Mu B, Yang Y. The Combination of Shaking and Yellow-Light Withering Promote the Volatile Aroma Components and the Aroma Quality of Black Tea. Foods. 2025; 14(5):758. https://doi.org/10.3390/foods14050758
Chicago/Turabian StyleAi, Zeyi, Shuangming Hu, Lingfei Ji, Bing Mu, and Yiyang Yang. 2025. "The Combination of Shaking and Yellow-Light Withering Promote the Volatile Aroma Components and the Aroma Quality of Black Tea" Foods 14, no. 5: 758. https://doi.org/10.3390/foods14050758
APA StyleAi, Z., Hu, S., Ji, L., Mu, B., & Yang, Y. (2025). The Combination of Shaking and Yellow-Light Withering Promote the Volatile Aroma Components and the Aroma Quality of Black Tea. Foods, 14(5), 758. https://doi.org/10.3390/foods14050758

