Microbial Ecology and Nutritional Features in Liquid Sourdough Containing Hemp Flour Fermented by Lactic Acid Bacterial Strains
Abstract
1. Introduction
2. Materials and Methods
2.1. Bacterial Strains
2.2. Liquid Sourdoughs Preparation
2.3. Physicochemical and Microbiological Analyses During Fermentation
2.3.1. Total Free Amino Acids and Protein Content and Profile in SLs
2.3.2. Extraction and Quantification of Organic Acids in SLs
2.3.3. Extraction and Quantification of L-Glutamic Acid in SLs
2.3.4. Extraction and Quantification of EPS in SLs
2.3.5. Extraction and Quantification of Total Polyphenols in SLs
2.4. Metabarcoding Analysis
2.5. Statistical Analyses
3. Results and Discussion
3.1. Microbiological and Physico-Chemical Parameters in SLs
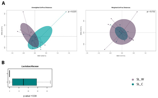
3.2. Microbial Ecology in SLs
4. Conclusions
Author Contributions
Funding
Institutional Review Board Statement
Informed Consent Statement
Data Availability Statement
Acknowledgments
Conflicts of Interest
References
- Mikulec, A.; Kowalski, S.; Sabat, R.; Skoczylas, Ł.; Tabaszewska, M.; Wywrocka-Gurgul, A. Hemp flour as a valuable component for enriching physicochemical and antioxidant properties of wheat bread. LWT 2019, 102, 164–172. [Google Scholar] [CrossRef]
- Callaway, J. Hempseed as a nutritional resource: An overview. Euphytica 2004, 140, 65–72. [Google Scholar] [CrossRef]
- Manach, C.; Mazur, A.; Scalbert, A. Polyphenols and prevention of cardiovascular diseases. Curr. Opin. Lipidol. 2005, 16, 77–84. [Google Scholar] [CrossRef]
- Callaway, J. Hemp as food at high latitudes. J. Ind. Hemp 2002, 7, 105–117. [Google Scholar] [CrossRef]
- Callaway, J.; Schwab, U.; Harvima, I.; Halonen, P.; Mykkänen, O.; Hyvönen, P.; Järvinenet, T. Efficacy of dietary hempseed oil on plasma lipids and skin quality in patients with atopic dermatitis. J. Dermatol. Treat. 2005, 16, 87–94. [Google Scholar] [CrossRef] [PubMed]
- Korus, J.; Witczak, M.; Ziobro, R.; Juszczak, L. Hemp (Cannabis sativa subsp. sativa) flour and protein preparation as natural nutrients and structure forming agents in starch based gluten-free bread. LWT 2017, 84, 43–150. [Google Scholar] [CrossRef]
- Jagelaviciute, J.; Cizeikiene, D. The influence of non-traditional sourdough made with quinoa, hemp and chia flour on the characteristics of gluten-free maize/rice bread. LWT 2021, 137, 110457. [Google Scholar] [CrossRef]
- Minervini, F.; De Angelis, M.; Di Cagno, R.; Gobbetti, M. Ecological parameters influencing microbial diversity and stability of traditional sourdough. Int. J. Food Microbiol. 2014, 171, 136–146. [Google Scholar] [CrossRef] [PubMed]
- Huys, G.; Daniel, H.-M.; De Vuyst, L. Taxonomy and diversity of sourdough yeasts and lactic acid bacteria. In Handbook of Sourdough Biotechnology; Gobbetti, M., Gänzle, M.G., Eds.; Springer Science + Business Media: New York, NY, USA, 2013; pp. 105–154. [Google Scholar]
- De Vuyst, L.; Comasio, A.; Kerrebroeck, S.V. Sourdough production: Fermentation strategies, microbial ecology, and use of non-flour ingredients. Crit. Rev. Food Sci. 2023, 63, 2447–2479. [Google Scholar] [CrossRef] [PubMed]
- Ban, S.; Cheng, W.; Wang, X.; Niu, J.; Wu, Q.; Xu, Y. Predicting the final metabolic profile based on the succession-related microbiota during spontaneous fermentation of the starter for Chinese liquor making. Msystems 2024, 9, e00586-23. [Google Scholar] [CrossRef]
- Großkopf, T.; Soyer, O.S. Synthetic microbial communities. Curr. Opin. Microbiol. 2014, 18, 72–77. [Google Scholar] [CrossRef] [PubMed]
- Jin, R.; Song, J.; Liu, C.; Lin, R.; Liang, D.; Aweya, J.J.; Weng, W.; Zhu, L.; Shang, J.; Yang, S. Synthetic microbial communities: Novel strategies to enhance the quality of traditional fermented foods. Compr. Rev. Food Sci. Food Saf. 2024, 23, e13388. [Google Scholar] [CrossRef]
- Miragoli, F.; Callegari, M.L.; Patrone, V.; Rebecchi, A. Biodiversity and technological-functional potential of lactic acid bacteria isolated from pseudocereals and hemp seeds. In Microbial Diversity 2017-Drivers of Microbial Diversity; Società Italiana di Microbiologia Agro-Alimentare e Ambientale: San Casciano Val di Pesa, Italy, 2017; pp. 316–317. [Google Scholar]
- Nionelli, L.; Montemurro, M.; Pontonio, E.; Verni, M.; Gobbetti, M.; Rizzello, C.G. Pro-technological and functional characterization of lactic acid bacteria to be used as starters for hemp (Cannabis sativa L.) sourdough fermentation and wheat bread fortification. Int. J. Food Microbiol. 2018, 279, 14–25. [Google Scholar] [CrossRef]
- Cui, Y.; Wang, M.; Zheng, Y.; Miao, K.; Qu, X. The carbohydrate metabolism of Lactiplantibacillus plantarum. Int. J. Mol. Sci. 2021, 22, 13452. [Google Scholar] [CrossRef]
- Heperkan, D.; Daskaya-Dikmen, C.; Bayram, B. Evaluation of lactic acid bacterial strains of boza for their exopolysaccharide and enzyme production as a potential adjunct culture. Process Biochem. 2014, 49, 1587–1594. [Google Scholar] [CrossRef]
- Di Biase, M.; Bavaro, A.R.; Lonigro, S.L.; Pontonio, E.; Conte, A.; Padalino, L.; Minisci, A.; Lavermicocca, P.; Valerio, F. Lactobacillus plantarum ITM21B fermentation product and chickpea flour enhance the nutritional profile of salt reduced bakery products. Int. J. Food Sci. Nutr. 2019, 70, 701–713. [Google Scholar] [CrossRef]
- Valerio, F.; Conte, A.; Di Biase, M.; Lattanzio, V.M.; Lonigro, S.L.; Padalino, L.; Pontonio, E.; Lavermicocca, P. Formulation of yeast-leavened bread with reduced salt content by using a Lactobacillus plantarum fermentation product. Food Chem. 2017, 221, 582–589. [Google Scholar] [CrossRef]
- Valerio, F.; Bavaro, A.R.; Di Biase, M.; Lonigro, S.L.; Logrieco, A.F.; Lavermicocca, P. Effect of amaranth and quinoa flours on exopolysaccharide production and protein profile of liquid sourdough fermented by Weissella cibaria and Lactobacillus plantarum. Front. Microbiol. 2020, 11, 967. [Google Scholar] [CrossRef]
- Di Biase, M.; Le Marc, Y.; Bavaro, A.R.; Lonigro, S.L.; Verni, M.; Postollec, F.; Valerio, F. Modeling of growth and organic acid kinetics and evolution of the protein profile and amino acid content during Lactiplantibacillus plantarum ITM21B fermentation in liquid sourdough. Foods 2022, 11, 3942. [Google Scholar] [CrossRef]
- De Bellis, P.; Ferrara, M.; Bavaro, A.R.; Linsalata, V.; Di Biase, M.; Musio, B.; Gallo, V.; Valerio, F. Characterization of dextran produced by the food-related strain Weissella cibaria C43-11 and of the relevant dextransucrase gene. Foods 2022, 11, 2819. [Google Scholar] [CrossRef] [PubMed]
- Bavaro, A.R.; Di Biase, M.; Conte, A.; Lonigro, S.L.; Caputo, L.; Cedola, A.; Del Nobile, A.; Logrieco, A.F.; Lavermicocca, P.; Valerio, F. Weissella cibaria short-fermented liquid sourdoughs based on quinoa or amaranth flours as fat replacer in focaccia bread formulation. Int. J. Food Sci. Tech. 2021, 56, 3197–3208. [Google Scholar] [CrossRef]
- Buksa, K.; Kowalczyk, M.; Boreczek, J. Extraction, purification and characterisation of exopolysaccharides produced by newly isolated lactic acid bacteria strains and the examination of their influence on resistant starch formation. Food Chem. 2021, 362, 130221. [Google Scholar] [CrossRef] [PubMed]
- Galle, S.; Schwab, C.; Dal Bello, F.; Coffey, A.; Gänzle, M.G.; Arendt, E.K. Influence of in-situ synthesized exopolysaccharides on the quality of gluten-free sorghum sourdough bread. Int. J. Food Microbiol. 2012, 155, 105–112. [Google Scholar] [CrossRef]
- Xu, Y.; Wang, Y.; Coda, R.; Säde, E.; Tuomainen, P.; Tenkanen, M.; Katina, K. In situ synthesis of exopolysaccharides by Leuconostoc spp. and Weissella spp. and their rheological impacts in fava bean flour. Int. J. Food Microbiol. 2017, 248, 63–71. [Google Scholar] [CrossRef] [PubMed]
- Tieking, M.; Gänzle, M.G. Exopolysaccharides from cereal-associated lactobacilli. Trends Food Sci. Technol. 2005, 16, 79–84. [Google Scholar] [CrossRef]
- Wang, Y.; Compaoré-Sérémé, D.; Sawadogo-Lingani, H.; Coda, R.; Katina, K.; Maina, N.H. Influence of dextran synthesized in situ on the rheological, technological and nutritional properties of whole grain pearl millet bread. Food Chem. 2019, 285, 221–230. [Google Scholar] [CrossRef] [PubMed]
- Korcz, E.; Kerényi, Z.; Varga, L. Dietary fibers, prebiotics, and exopolysaccharides produced by lactic acid bacteria: Potential health benefits with special regard to cholesterol-lowering effects. Food Funct. 2018, 9, 3057–3068. [Google Scholar] [CrossRef] [PubMed]
- Nwodo, U.U.; Green, E.; Okoh, A.I. Bacterial exopolysaccharides: Functionality and prospects. Int. J. Mol. Sci. 2012, 13, 14002–14015. [Google Scholar] [CrossRef] [PubMed]
- Zhao, D.; Jiang, J.; Liu, L.; Wang, S.; Ping, W.; Ge, J. Characterization of exopolysaccharides produced by Weissella confusa XG-3 and their potential biotechnological applications. Int. J. Biol. Macromol. 2021, 178, 306–315. [Google Scholar] [CrossRef] [PubMed]
- EFSA Panel on Biological Hazards (BIOHAZ); Koutsoumanis, K.; Allende, A.; Álvarez-Ordóñez, A.; Bolton, D.; Bover-Cid, S.; Chemaly, M.; De Cesare, A.; Hilbert, F.; Lindqvist, R.; et al. Update of the list of qualified presumption of safety (QPS) recommended microbiological agents intentionally added to food or feed as notified to EFSA 20: Suitability of taxonomic units notified to EFSA until March 2024. EFSA J. 2024, 22, e8882. [Google Scholar]
- Barlow, S.; Chesson, A.; Collins, J.; Fernandes, T.; Flynn, A.; Hardy, T.; Jansson, B.; Knaap, A.; Kuiper, H.; Le Neindre, P.; et al. Opinion of the Scientific Committee on a request from EFSA related to a generic approach to the safety assessment by EFSA of microorganisms used in food/feed and the production of food/feed additives. EFSA J. 2005, 3, 226. [Google Scholar]
- Stiles, M.E.; Holzapfel, W.H. Lactic acid bacteria of foods and their current taxonomy. Int. J. Food Microbiol. 1997, 36, 1–29. [Google Scholar] [CrossRef] [PubMed]
- Lee, K.W.; Park, J.Y.; Jeong, H.R.; Heo, H.J.; Han, N.S.; Kim, J.H. Probiotic properties of Weissella strains isolated from human faeces. Anaerobe 2012, 18, 96–102. [Google Scholar] [CrossRef] [PubMed]
- Teixeira, C.G.; Fusieger, A.; Milião, G.L.; Martins, E.; Drider, D.; Nero, L.A.; de Carvalho, A.F. Weissella: An emerging bacterium with promising health benefits. Probiotics Antimicrob Proteins 2021, 13, 915–925. [Google Scholar] [CrossRef] [PubMed]
- Corsetti, A.; Lavermicocca, P.; Morea, M.; Baruzzi, F.; Tosti, N.; Gobbetti, M. Phenotypic and molecular identification and clustering of lactic acid bacteria and yeasts from wheat (species Triticum durum and Triticum aestivum) sourdoughs of southern Italy. Int. J. Food Microbiol. 2001, 64, 95–104. [Google Scholar] [CrossRef]
- De Bellis, P.; Valerio, F.; Sisto, A.; Lonigro, S.L.; Lavermicocca, P. Probiotic table olives: Microbial populations adhering on olive surface in fermentation sets inoculated with the probiotic strain Lactobacillus paracasei IMPC2.1 in an industrial plant. Int. J. Food Microbiol. 2010, 140, 6–13. [Google Scholar] [CrossRef]
- AOAC. Official Methods of Analysis; Association of Official Analytical Chemists: Washington, DC, USA, 1990. [Google Scholar]
- Osborne, T.B. The Proteins of the Wheat Kernel (Monograph); Carnegie Inst: Washington, DC, USA, 1907. [Google Scholar]
- Weiss, W.; Vogelmeier, C.; Gorg, A. Electrophoretic characterization of wheat grain allergens from different cultivars involved in bakers’ asthma. Electrophoresis 1993, 14, 805–816. [Google Scholar] [CrossRef] [PubMed]
- Doi, E.; Shibata, D.; Matoba, T. Modified colorimetric ninhydrin methods for peptidase assay. Anal. Biochem. 1981, 118, 173–184. [Google Scholar] [CrossRef]
- Džunková, M.; Janovská, D.; Cepková, P.H.; Prohasková, A.; Kolár, M. Glutelin protein fraction as a tool for clear identification of Amaranth accessions. J. Cereal Sci. 2011, 53, 198–205. [Google Scholar] [CrossRef]
- Bradford, M.M. A rapid and sensitive method for the quantitation of microgram quantities of protein utilizing the principle of protein-dye binding. Anal. Biochem. 1976, 72, 248–254. [Google Scholar] [CrossRef]
- Dubois, M.; Gilles, K.A.; Hamilton, J.K.; Rebers, P.T.; Smith, F. Colorimetric method for determination of sugars and related substances. Anal. Chem. 1956, 28, 350–356. [Google Scholar] [CrossRef]
- D’Antuono, I.; Kontogianni, V.G.; Kotsiou, K.; Linsalata, V.; Logrieco, A.F.; Tasioula-Margari, M.; Cardinali, A. Polyphenolic characterization of Olive Mill Waste Waters, coming from Italian and Greek olive cultivars, after membrane filtration technology. Food Res. Int. 2014, 65, 301–310. [Google Scholar] [CrossRef]
- Masella, A.P.; Bartram, A.K.; Truszkowski, J.M.; Brown, D.G.; Neufeld, J.D. PANDAseq: Paired-end assembler for illumina sequences. BMC Bioinform. 2012, 13, 31. [Google Scholar] [CrossRef] [PubMed]
- Bolyen, E.; Rideout, J.R.; Dillon, M.R.; Bokulich, N.A.; Abnet, C.C.; Al-Ghalith, G.A.; Alexander, H.; Alm, E.J.; Arumugam, M.; Asnicar, F.; et al. Reproducible, interactive, scalable and extensible microbiome data science using QIIME 2. Nat. Biotechnol. 2019, 37, 852–857. [Google Scholar] [CrossRef]
- Edgar, R.C. Search and clustering orders of magnitude faster than BLAST. Bioinformatics 2010, 26, 2460–2461. [Google Scholar] [CrossRef]
- Callahan, B.J.; McMurdie, P.J.; Rosen, M.J.; Han, A.W.; Johnson, A.J.A.; Holmes, S.P. DADA2: High-resolution sample inference from Illumina amplicon data. Nat. Methods 2016, 13, 581–583. [Google Scholar] [CrossRef] [PubMed]
- Rognes, T.; Flouri, T.; Nichols, B.; Quince, C.; Mahé, F. VSEARCH: A versatile open source tool for metagenomics. PeerJ 2016, 4, e2584. [Google Scholar] [CrossRef]
- Quast, C.; Pruesse, E.; Yilmaz, P.; Gerken, J.; Schweer, T.; Yarza, P.; Peplies, J.; Glöckner, F.O. The SILVA ribosomal RNA gene database project: Improved data processing and web-based tools. Nucleic Acids Res. 2012, 41, D590–D596. [Google Scholar] [CrossRef]
- Gobbetti, M.; Minervini, F.; Pontonio, E.; Di Cagno, R.; De Angelis, M. Drivers for the establishment and composition of the sourdough lactic acid bacteria biota. Int. J. Food Microbiol. 2016, 239, 3–18. [Google Scholar] [CrossRef]
- Ferrara, M.; Sisto, A.; Mulè, G.; Lavermicocca, P.; De Bellis, P. Metagenetic analysis for microbial characterization of focaccia doughs obtained by using two different starters: Traditional baker’s yeast and a selected Leuconostoc citreum strain. Foods 2021, 10, 1189. [Google Scholar] [CrossRef]
- Gänzle, M.G. Enzymatic and bacterial conversions during sourdough fermentation. Food Microbiol. 2014, 37, 2–10. [Google Scholar] [CrossRef]
- Čižeikienė, D.; Gaidė, I.; Žadeikė, D.; Bašinskienė, L. Effects of lactic acid bacterial fermentation on the biochemical properties and antimicrobial activity of hemp seeds. Appl. Sci. 2024, 14, 11469. [Google Scholar] [CrossRef]
- Pontonio, E.; Verni, M.; Dingeo, C.; Diaz-de-Cerio, E.; Pinto, D.; Rizzello, C.G. Impact of enzymatic and microbial bioprocessing on antioxidant properties of hemp (Cannabis sativa L.). Antioxidants 2020, 9, 1258. [Google Scholar] [CrossRef] [PubMed]
- Martínez-Anaya, M.A. Enzymes and bread flavor. J. Agric. Food Chem. 1996, 44, 2469–2480. [Google Scholar] [CrossRef]
- Dallagnol, A.M.; Pescuma, M.; De Valdez, G.F.; Rollán, G. Fermentation of quinoa and wheat slurries by Lactobacillus plantarum CRL 778: Proteolytic activity. Appl. Microbiol. Biotechnol. 2013, 97, 3129–3140. [Google Scholar] [CrossRef]
- Phat, C.; Moon, B.; Lee, C. Evaluation of umami taste in mushroom extracts by chemical analysis, sensory evaluation, and an electronic tongue system. Food Chem. 2016, 192, 1068–1077. [Google Scholar] [CrossRef] [PubMed]
- Bonacci, S.; Di Stefano, V.; Sciacca, F.; Buzzanca, C.; Virzì, N.; Argento, S.; Melilli, M.G. Hemp flour particle size affects the quality and nutritional profile of the enriched functional pasta. Foods 2023, 12, 774. [Google Scholar] [CrossRef]
- Degrain, A.; Manhivi, V.; Remize, F.; Garcia, C.; Sivakumar, D. Effect of lactic acid fermentation on color, phenolic compounds and antioxidant activity in African nightshade. Microorganisms 2020, 8, 1324. [Google Scholar] [CrossRef]
- Fessard, A.; Remize, F. Why are Weissella spp. not used as commercial starter cultures for food fermentation? Fermentation 2017, 3, 38. [Google Scholar] [CrossRef]
- De Vuyst, L.; Van Kerrebroeck, S.; Leroy, F. Microbial ecology and process technology of sourdough fermentation. Adv. Appl. Microbiol. 2017, 100, 49–160. [Google Scholar]
- Oshiro, M.; Zendo, T.; Nakayama, J. Diversity and dynamics of sourdough lactic acid bacteriota created by a slow food fermentation system. J. Biosci. Bioeng. 2021, 131, 333–340. [Google Scholar] [CrossRef] [PubMed]
- Jacques, N.; Sarilar, V.; Urien, C.; Lopes, M.R.; Morais, C.G.; Uetanabaro, A.P.T.; Tinsley, C.R.; Rosa, C.A.; Sicard, D.; Casaregola, S. Three novel ascomycetous yeast species of the Kazachstania clade, Kazachstania saulgeensis sp. nov. Kazachstania serrabonitensis sp. nov. and Kazachstania australis sp. nov. Reassignment of Candida humilis to Kazachstania humilis f.a. comb. nov. and Candida pseudohumilis to Kazachstania pseudohumilis f.a. comb. nov. Int. J. Syst. Evol. Micr. 2016, 66, 5192–5200. [Google Scholar]
- Corsetti, A.; Settanni, L.; Lopez, C.C.; Felis, G.E.; Mastrangelo, M.; Suzzi, G. A taxonomic survey of lactic acid bacteria isolated from wheat (Triticum durum) kernels and non-conventional flours. Syst. Appl. Microbiol. 2007, 30, 561–571. [Google Scholar] [CrossRef]
- Srinivas, M.; O’Sullivan, O.; Cotter, P.D.; Van Sinderen, D.; Kenny, J.G. The application of metagenomics to study microbial communities and develop desirable traits in fermented foods. Foods 2022, 11, 3297. [Google Scholar] [CrossRef] [PubMed]
- Ercolini, D.; Pontonio, E.; De Filippis, F.; Minervini, F.; La Storia, A.; Gobbetti, M.; Di Cagno, R. Microbial ecology dynamics during rye and wheat sourdough preparation. Appl. Environ. Microbiol. 2013, 79, 7827–7836. [Google Scholar] [CrossRef]
- Li, S.; Liu, X.; Wang, L.; Wang, K.; Li, M.; Wang, X.; Yuan, Y.; Yue, T.; Cai, R.; Wang, Z. Innovative beverage creation through symbiotic microbial communities inspired by traditional fermented beverages: Current status, challenges and future directions. Crit. Rev. Food Sci. 2023, 64, 10456–10483. [Google Scholar] [CrossRef] [PubMed]
- Teixeira, C.G.; Rodrigues, R.D.S.; Yamatogi, R.S.; Lucau-Danila, A.; Drider, D.; Nero, L.A.; de Carvalho, A.F. Genomic analyses of Weissella cibaria W25, a potential bacteriocin-producing strain isolated from pasture in Campos das Vertentes, Minas Gerais, Brazil. Microorganisms 2022, 10, 314. [Google Scholar] [CrossRef]
- Smid, E.J.; Lacroix, C. Microbe–microbe interactions in mixed culture food fermentations. Curr. Opin. Biotech. 2013, 24, 148–154. [Google Scholar] [CrossRef] [PubMed]





| SL_C | SL_W | |||
|---|---|---|---|---|
| SL composition * | SL_C 21B | SL_CS not inoculated | SL_W C43-11 | SL_WS not inoculated |
| Wheat flour type 0 | 50 g | - | ||
| Hemp flour | 50 g | 100 g | ||
| Sucrose | - | 15 g (15% w/fw) | ||
| Tap water | 150 mL | 150 mL | ||
| Dough yield (DY) | 250 | 250 | ||
| Starting conditions | ||||
| Temperature (°C) | T: 37 °C | T: 37 °C | T: 30 °C | T: 30 °C |
| Starter | Lpb. plantarum ITM21B | - | W. cibaria C43-11 | - |
| (N0) log CFU/g | 5 log CFU/g | - | 8 log CFU/g | - |
| pH | 6 ± 0.5 | 6 ± 0.5 | 6 ± 0.5 | 6 ± 0.5 |
| Sampling times (h) | t0; t14 | t0; t14 | t0; t14 | t0; t14 |
| SL_CS_t0 | SL_CS_t14 | SL_C 21B_t14 | |
| pH | 6.98 ± 0.01 a | 6.12 ± 0.65 b | 5.73 ± 0.03 b |
| TTA (mL) | 0.97 ± 0.06 a | 3.80 ± 1.99 b | 5.83 ± 1.16 c |
| LAB (log CFU/g) | 2.54 ± 0.01 a | 7.27 ± 2.10 b | 7.55 ± 0.63 b |
| SL_WS_t0 | SL_WS_t14 | SL_W C43-11_t14 | |
| pH | 7.18 ± 0.08 a | 6.76 ± 0.01 b | 5.31 ± 0.20 c |
| TTA (mL) | 1.07 ± 0.06 a | 2.00 ± 0.00 b | 11.13 ± 0.55 c |
| LAB (log CFU/g) | 2.54 ± 0.01 a | 6.35 ± 0.39 b | 8.27 ± 0.11 b |
| Organic Acids Content (mmol/kg ± SD) | ||||
|---|---|---|---|---|
| Lactic | Acetic | Propionic | ||
| SL_C | SL_CS t0 | <DLa | 0.22 ± 0.34 a A | 0.43 ± 0.13 a A |
| SL_CS t14 | 1.99 ± 1.73 b | 0.70 ± 0.27 ab | 0.39 ± 0.0 a | |
| SL_C 21B t14 | 9.12 ± 1.22 c | 2.30 ± 1.64 b | <DLb | |
| SL_W | SL_WS t0 | <DLa | 2.51 ± 0.57 a B | 1.23 ± 0.20 a B |
| SL_WS t14 | <DLa | 2.15 ± 0.97 a | 1.07 ± 0.37 ab | |
| SL_W C43-11 t14 | 7.47 ± 0.75 b | 2.26 ± 0.27 a | 0.75 ± 0.14 b | |
| SL Formulation | Total Protein Content (g/500 g of SL ± SD) | ||
|---|---|---|---|
| SL_C | SL_CS_t0 | SL_CS_t14 | SL_C 21B_t14 |
| 17.26 ± 0.01 a | 14.78 ± 0.77 b | 14.97 ± 0.56 ab | |
| SL_W | SL_WS_t0 | SL_WS_t14 | SL_W C43-11_t14 |
| 11.06 ± 0.02 a | 12.62 ± 0.26 a | 11.56 ± 0.20 a | |
| TFAA mg/kg ± SD | EPS g/kg ± SD | |
|---|---|---|
| SL_CS_t0 | 285.3 ± 28.7 a A | |
| SL_CS_t14 | 283.3 ± 57.0 a | |
| SL_C 21B_t14 | 388.8 ± 92.4 a | |
| SL_WS_t0 | 417.2 ± 97.6 a B | 0.34 ± 0.09 a |
| SL_WS_t14 | 482.3 ± 10.1 a | 0.90 ± 0.71 a |
| SL_W C43-11_t14 | 1075.9 ± 399.5 b | 15.29 ± 1.53 b |
| Total Polyphenols (mg GAE/100 g of SL) | ||
|---|---|---|
| SL_CS_t0 | SL_CS_t14 | SL_C 21B_t14 |
| 59.41 ± 1.08 a A | 63.87 ± 0.72 b | 62.42 ± 2.24 ab |
| SL_WS_t0 | SL_WS_t14 | SL_W C43-11_t14 |
| 96.61 ± 2.40 a B | 92.25 ± 4.69 a | 117.24 ± 3.02 b |
| SL_CS t0 | SL_CS t14 | SL_C 21B t14 | |
| Bacteroidota | 0.0 | 0.0 | 0.0 |
| Firmicutes | 38.6% | 62.5% ± 17.8% | 65.5% ± 8.2% |
| Proteobacteria | 61.4% | 37.5% ± 17.8% | 34.5% ± 8.2% |
| SL_WS t0 | SL_WS t14 | SL_W C43-11 t14 | |
| Bacteroidota | 0.3% | 0.0 | 0.0 |
| Firmicutes | 0.0 | 49.9% ± 23.3% | 97.2% ± 1.8% |
| Proteobacteria | 99.7% | 50.1% ± 23.3% | 2.8% ± 1.8% |
Disclaimer/Publisher’s Note: The statements, opinions and data contained in all publications are solely those of the individual author(s) and contributor(s) and not of MDPI and/or the editor(s). MDPI and/or the editor(s) disclaim responsibility for any injury to people or property resulting from any ideas, methods, instructions or products referred to in the content. |
© 2025 by the authors. Licensee MDPI, Basel, Switzerland. This article is an open access article distributed under the terms and conditions of the Creative Commons Attribution (CC BY) license (https://creativecommons.org/licenses/by/4.0/).
Share and Cite
Di Biase, M.; Scicchitano, D.; Valerio, F.; Lonigro, S.L.; Cifarelli, V.; Ostante, G.; D’Antuono, I.; Candela, M.; Ferrara, M. Microbial Ecology and Nutritional Features in Liquid Sourdough Containing Hemp Flour Fermented by Lactic Acid Bacterial Strains. Foods 2025, 14, 469. https://doi.org/10.3390/foods14030469
Di Biase M, Scicchitano D, Valerio F, Lonigro SL, Cifarelli V, Ostante G, D’Antuono I, Candela M, Ferrara M. Microbial Ecology and Nutritional Features in Liquid Sourdough Containing Hemp Flour Fermented by Lactic Acid Bacterial Strains. Foods. 2025; 14(3):469. https://doi.org/10.3390/foods14030469
Chicago/Turabian StyleDi Biase, Mariaelena, Daniel Scicchitano, Francesca Valerio, Stella Lisa Lonigro, Valentina Cifarelli, Giorgia Ostante, Isabella D’Antuono, Marco Candela, and Massimo Ferrara. 2025. "Microbial Ecology and Nutritional Features in Liquid Sourdough Containing Hemp Flour Fermented by Lactic Acid Bacterial Strains" Foods 14, no. 3: 469. https://doi.org/10.3390/foods14030469
APA StyleDi Biase, M., Scicchitano, D., Valerio, F., Lonigro, S. L., Cifarelli, V., Ostante, G., D’Antuono, I., Candela, M., & Ferrara, M. (2025). Microbial Ecology and Nutritional Features in Liquid Sourdough Containing Hemp Flour Fermented by Lactic Acid Bacterial Strains. Foods, 14(3), 469. https://doi.org/10.3390/foods14030469

