Alterations in Functional Constituents and Bioactivities of Tartary Buckwheat via Solid-State Fermentation with Three Edible-Medicinal Fungi: A Metabolomics-Based Analysis
Abstract
1. Introduction
2. Materials and Methods
2.1. Materials
2.2. Chemicals and Reagents
2.3. SSF of Tartary Buckwheat
2.4. Determination of TPC
2.5. Determination of Total Flavonoid Content (TFC)
2.6. Determination of Polysaccharide Content
2.7. DPPH Scavenging Capacity Assay
2.8. ABTS Radical Scavenging Capacity Assay
2.9. Determination of α-Glucosidase Inhibition Capacity
2.10. Metabolomics Analysis
2.11. Statistical Analysis
3. Results and Discussions
3.1. The Influence of SSF on the Content of Bioactive Substances in Tartary Buckwheat
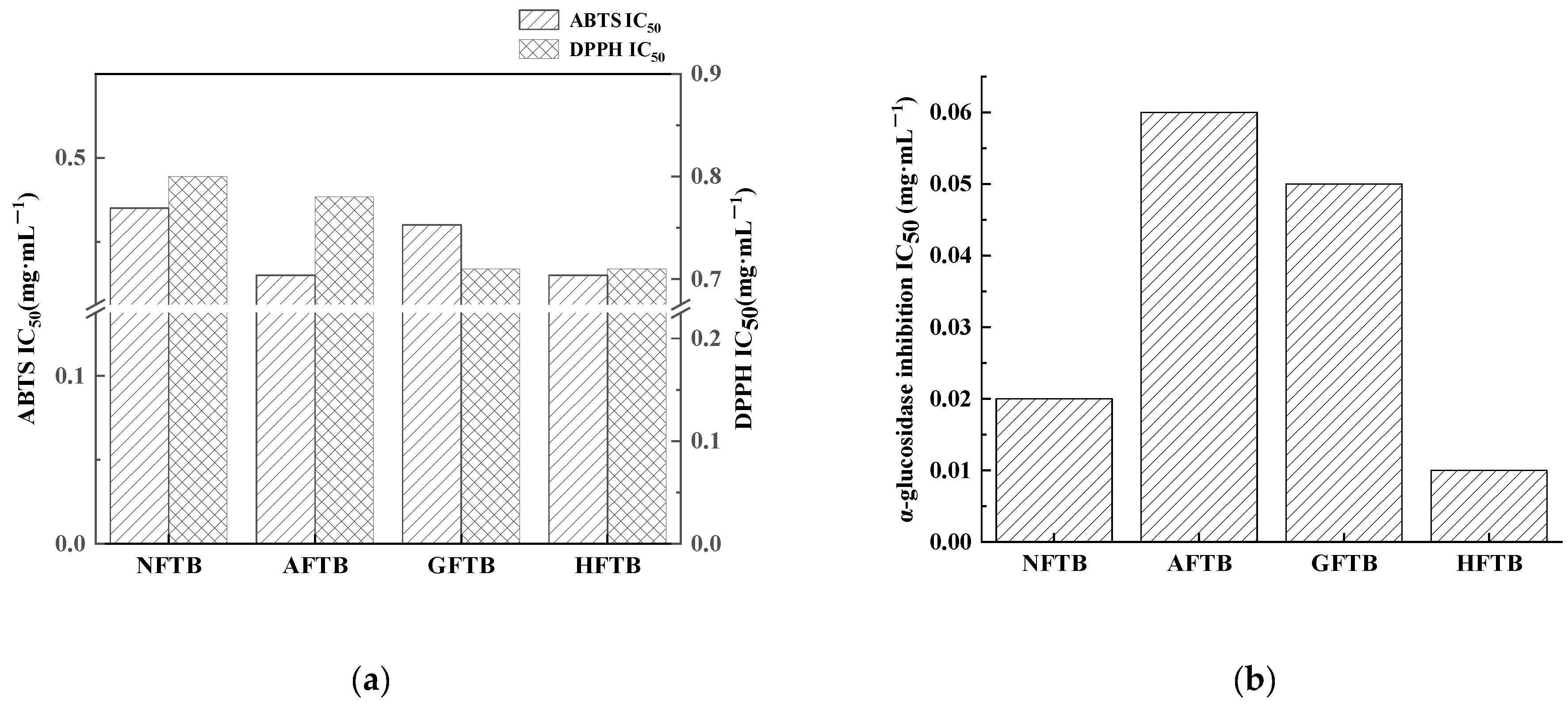
3.2. Alterations in In Vitro Antioxidant Activity
3.3. Alterations in α-Glucosidase Inhibitory Activity
3.4. Metabolomics Analysis
3.4.1. PCA
3.4.2. Analysis of Differential Metabolites Before and After SSF
3.4.3. Flavonoids and Phenols Compounds Analysis
3.4.4. Analysis of Flavonoids
3.4.5. KEGG Metabolic Pathway Analysis
4. Conclusions
Author Contributions
Funding
Institutional Review Board Statement
Informed Consent Statement
Data Availability Statement
Conflicts of Interest
Abbreviations
| SSF | Solid-state fermentation |
| PDA | Potato dextrose agar |
| PNPG | p-Nitrophenyl-β-d-Galactopyranoside |
| ABTS | 3-ethylbenzthiazoline-6-sulphonic acid |
| DPPH | 1,1-Diphenyl-2-picrylhydrazyl |
| AFTB | A. auricula-fermented Tartary buckwheat |
| GFTB | G. lucidum-fermented Tartary buckwheat |
| HFTB | H. erinaceus-fermented Tartary buckwheat |
| NFTB | Non-fermented Tartary buckwheat |
| PCA | Principal component analysis |
| KEGG | Kyoto Encyclopedia of Genes and Genomes |
| FC | Fold change |
| VIP | Variable Importance in the Projection |
| ECG | Epicatechin gallate |
| CICC | Center of Industrial Culture Collection |
| LC-MS | Liquid Chromatography–Mass Spectrometry |
| UPLC | Ultra-performance liquid chromatography |
References
- Dong, Y.; Wang, N.; Wang, S.; Wang, J.; Peng, W. A review: The nutrition components, active substances and flavonoid accumulation of Tartary buckwheat sprouts and innovative physical technology for seeds germinating. Front. Nutr. 2023, 10, 1168361. [Google Scholar] [CrossRef]
- Xiao, Y.; Huang, Y.; Chen, Y.; Fan, Z.; Chen, R.; He, C.; Li, Z.; Wang, Y. Effects of solid-state fermentation with Eurotium cristatum YL-1 on the nutritional value, total phenolics, isoflavones, antioxidant activity, and volatile organic compounds of Black soybeans. Agronomy 2021, 11, 1029. [Google Scholar] [CrossRef]
- Ge, R.; Wang, H. Nutrient components and bioactive compounds in tartary buckwheat bran and flour as affected by thermal processing. Int. J. Food Prop. 2020, 23, 127–137. [Google Scholar] [CrossRef]
- Yuan, X.; Wang, T.; Sun, L.; Qiao, Z.; Pan, H.; Zhong, Y.; Zhuang, Y. Recent advances of fermented fruits: A review on strains, fermentation strategies, and functional activities. Food Chem. X 2024, 22, 101482. [Google Scholar] [CrossRef] [PubMed]
- Zhang, J.; Li, M.; Li, L.; Liu, Y.; Gu, T.; Wang, J.; Gao, M. Evaluation of differences in volatile flavor compounds between liquid-state and solid-state fermented Tartary buckwheat by Monascus purpureus. Food Chem. 2025, 464, 141662. [Google Scholar]
- Xiao, Y.; Wu, X.; Yao, X.; Chen, Y.; Ho, C.; He, C.; Li, Z.; Wang, Y. Metabolite profiling, antioxidant and α-glucosidase inhibitory activities of buckwheat processed by solid-state fermentation with Eurotium cristatum YL-1. Food Res. Int. 2021, 143, 110262. [Google Scholar]
- Lee, J.; Hwang, C.; Son, K.; Cho, K. Comparisons of nutritional constituents in soybeans during solid state fermentation times and screening for their glucosidase enzymes and antioxidant properties. Food Chem. 2019, 272, 362–371. [Google Scholar] [CrossRef] [PubMed]
- Pak, S.; Chen, F.; Ma, L.; Hu, X.; Ji, J. Functional perspective of black fungi (Auricularia auricula): Major bioactive components, health benefits and potential mechanisms. Trends Food Sci. Technol. 2021, 114, 245–261. [Google Scholar] [CrossRef]
- Shu, Y.; Huang, Y.; Dong, W.; Fan, X.; Sun, Y.; Chen, G.; Ye, H. The polysaccharides from Auricularia auricula alleviate non-alcoholic fatty liver disease via modulating gut microbiota and bile acids metabolism. Int. J. Biol. Macromol. 2023, 246, 125662. [Google Scholar] [CrossRef] [PubMed]
- Ren, S.; Liu, H.; Sang, Q.; Lu, M.; Gao, Q.; Chen, W. A Review of Bioactive Components and Pharmacological Effects of Ganoderma lucidum. Food Sci. Nutr. 2025, 13, e70623. [Google Scholar] [CrossRef] [PubMed]
- Xu, J.; Chen, F.; Wang, G.; Liu, B.; Song, H.; Ma, T. The Versatile Functions of G. Lucidum Polysaccharides and G. Lucidum Triterpenes in Cancer Radiotherapy and Chemotherapy. Cancer Manag. Res. 2021, 13, 6507–6516. [Google Scholar] [CrossRef] [PubMed]
- Su, Y.; Cheng, S.; Ding, Y.; Wang, L.; Sun, M.; Man, C.; Zhang, Y.; Jiang, Y. A comparison of study on intestinal barrier protection of polysaccharides from Hericium erinaceus before and after fermentation. Int. J. Biol. Macromol. 2023, 233, 123558. [Google Scholar] [CrossRef] [PubMed]
- Kang, M.; Zhai, F.; Li, X.; Cao, J.; Han, J. Total phenolic contents and antioxidant properties of buckwheat fermented by three strains of Agaricus. J. Cereal Sci. 2017, 73, 138–142. [Google Scholar] [CrossRef]
- Ren, R.; Zeng, H.; Mei, Q.; Xu, Z.; Mazhar, M.; Qin, L. Effects of Monascus purpureus-fermented tartary buckwheat extract on the blood lipid profile, glucose tolerance and antioxidant enzyme activities in KM mice. J. Cereal Sci. 2022, 105, 103465. [Google Scholar] [CrossRef]
- Yan, M.; Li, Y.; Li, H.; Yi, X.; Sun, Y.; Zhao, L. Effect of vacuum extrysion on the quality and function of coarse cereal noodles. Food Mach. 2020, 5, 187–193. [Google Scholar]
- Li, Y.; Li, H.; Hu, J.; Shan, F.; Bian, J.; He, Z. Optimization of extraction process of flavonoids from tartary buckwheat distiller’s grains by response surface methodology. Chin. Brew. 2013, 32, 38–42. [Google Scholar]
- Birhanie, Z.; Xiao, A.; Yang, D.; Huang, S.; Zhang, C.; Zhao, L.; Deng, Y. Polysaccharides, total phenolic, and flavonoid content from different Kenaf (Hibiscus cannabinus L.) Genotypes and their antioxidants and antibacterial properties. Plants 2021, 10, 1900. [Google Scholar] [CrossRef]
- Zheng, J.; Li, Y.; Wang, C.; Zhang, J.; Shi, L.; Wang, J. Extraction of tannins from chestnut shell and their DPPH free radical scavenging activity. Sci. Technol. Food Ind. 2016, 37, 211–215. [Google Scholar]
- Tao, L.; Gu, F.; Liu, Y.; Yang, M.; Wu, X.; Sheng, J.; Tian, Y. Preparation of antioxidant peptides from Moringa oleifera leaves and their protection against oxidative damage in HepG2 cells. Front. Nutr. 2022, 9, 1062671. [Google Scholar] [CrossRef]
- Xie, J.; Liu, S.; Dong, R.; Xie, J.; Chen, Y.; Peng, G.; Yu, Q. Bound polyphenols from insoluble dietary fiber of defatted rice bran by solid-state fermentation with Trichoderma viride: Profile, activity, and release mechanism. J. Agric. Food Chem. 2021, 69, 5026–5039. [Google Scholar] [CrossRef]
- Dunn, W.; Broadhurst, D.; Begley, P.; Zelena, E.; Francis-McIntyre, S.; Anderson, N.; Brown, M.; Knowles, J.; Halsall, A.; Haselden, J.; et al. Procedures for large-scale metabolic profiling of serum and plasma using gas chromatography and liquid chromatography coupled to mass spectrometry. Nat. Protoc. 2011, 6, 1060–1083. [Google Scholar] [CrossRef] [PubMed]
- Wang, J.; Zhang, T.; Shen, X.; Liu, J.; Zhao, D.; Sun, Y.; Xue, F. Serum metabolomics for early diagnosis of esophageal squamous cell carcinoma by UHPLC-QTOF/MS. Metabolomics 2016, 12, 116. [Google Scholar] [CrossRef]
- Zhang, R.; Cen, Q.; Hu, W.; Chen, H.; Hui, F.; Li, J.; Zeng, X.; Qin, L. Metabolite profiling, antioxidant and anti-glycemic activities of tartary buckwheat processed by solid-state fermentation(ssf)with Ganoderma lucidum. Food Chem. X 2024, 22, 101376. [Google Scholar] [CrossRef] [PubMed]
- Li, P.; Xiao, M.; Xue, H.; Tang, J.; Yu, H.; Cai, X. Process optimization and antioxidant activity of Lycium barbarum fermented by Eurotium cristatum. Food Sci. Technol. 2021, 46, 51–58. [Google Scholar]
- Jin, X.; He, C.; Guo, Z.; Li, Y.; Li, Y.; Gao, J.; Wang, M.; Han, L. The hypoglycemic activity of buckwheat and the underlying mechanisms: A mechanistic review. Food Biosci. 2024, 62, 105046. [Google Scholar] [CrossRef]
- Zhou, J.; Wang, Y.; Wei, Y.; Wu, X.; Yuan, H. Study on the Chemical Composition of Hericium erinaceus and Its Inhibition of α -Glucosidase Activity. Chin. Herb. Med. 2024, 55, 5407–5417. [Google Scholar]
- Ke, J.; Ran, B.; Sun, P.; Cheng, Y.; Chen, Q.; Li, H. An evaluation of the absolute content of flavonoids and the identification of their relationship with the flavonoid biosynthesis genes in Tartary buckwheat seeds. Agronomy 2023, 13, 3006. [Google Scholar] [CrossRef]
- Kreft, I.; Germ, M.; Golob, A.; Vombergar, B.; Vollmannová, A.; Kreft, S.; Luthar, Z. Phytochemistry, bioactivities of metabolites, and traditional uses of Fagopyrum tataricum. Molecules 2022, 27, 7101. [Google Scholar] [CrossRef]
- Kalinova, J.; Vrchotova, N. The influence of organic and conventional crop management, variety and year on the yield and flavonoid level in common buckwheat groats. Food Chem. 2011, 127, 602–608. [Google Scholar] [CrossRef]
- Wang, Z.; Liu, Z.; Wu, C.; Liu, S.; Wang, D.; Hu, C.; Chen, T.; Ran, Z.; Gan, W.; Li, G. Computational Analysis on Antioxidant Activity of Four Characteristic Structural Units from Persimmon Tannin. Materials 2023, 16, 320. [Google Scholar] [CrossRef] [PubMed]
- Wang, W.; Le, T.; Wang, W.; Yu, L.; Yang, L.; Jiang, H. Effects of Key Components on the Antioxidant Activity of Black Tea. Foods 2023, 12, 3134. [Google Scholar] [CrossRef]
- Dueñas, M.; Surco-Laos, F.; González-Manzano, S.; González-Paramás, A.; Santos-Buelga, C. Antioxidant properties of major metabolites of quercetin. Eur. Food Res. Technol. 2011, 232, 103–111. [Google Scholar] [CrossRef]
- Yokoyama, A.; Sakakibara, H.; Crozier, A.; Kawai, Y.; Shimoi, K. Quercetin metabolites and protection against peroxynitrite-induced oxidative hepatic injury in rats. Free Radic. Res. 2009, 43, 913–921. [Google Scholar] [CrossRef]
- Valentová, K.; Káňová, K.; Di Meo, F.; Pelantová, H.; Chambers, C.; Rydlová, L.; Křen, V. Chemoenzymatic preparation and biophysical properties of sulfated quercetin metabolites. Int. J. Mol. Sci. 2017, 18, 2231. [Google Scholar] [CrossRef]
- Song, X.; Wang, Y.; Gao, L. Mechanism of antioxidant properties of quercetin and quercetin-DNA complex. J. Mol. Model. 2020, 26, 133. [Google Scholar] [CrossRef] [PubMed]
- Lukšič, L.; Bonafaccia, G.; Timoracka, M.; Vollmannova, A.; Trček, J.; Nyambe, T.; Melini, V.; Acquistucci, R.; Germ, M.; Kreft, I. Rutin and quercetin transformation during preparation of buckwheat sourdough bread. J. Cereal Sci. 2016, 69, 71–76. [Google Scholar] [CrossRef]
- Li, H.; Lv, Q.; Ma, C.; Qu, J.; Chen, Q. Metabolite profiling and transcriptome analyses provide insights into the flavonoid biosynthesis in the developing seed of tartary buckwheat (Fagopyrum tataricum). J. Agric. Food Chem. 2019, 67, 11262–11276. [Google Scholar] [CrossRef]
- Halder, D.; Purkayastha, P. Impact of cationic surfactant-induced dna compaction on the characteristics of a minor groove bound flavonol. Soft Matter 2022, 18, 938–942. [Google Scholar] [CrossRef] [PubMed]
- Xiao, X.; Erukainure, O.; Sanni, O.; Koorbanally, N.; Islam, M. Phytochemical properties of black tea (Camellia sinensis) and rooibos tea (Aspalathus linearis); and their modulatory effects on key hyperglycaemic processes and oxidative stress. J. Food Sci. Technol. 2020, 57, 4345–4354. [Google Scholar] [CrossRef]
- Li, S.; Guan, T.; Lv, H.; Cai, Y.; Cao, W.; Zhang, Z.; Song, H.; Cao, H.; Guan, X. Fabrication of diosmin loaded food-grade bilayer nanoparticles with modified chitosan and soy peptides and antioxidant properties examination. Food Chem. X 2024, 21, 101237. [Google Scholar] [CrossRef]
- Zhang, Q.; Zhang, Z.; Cheung, H. Antioxidant activity of rhizoma smilacis glabrae extracts and its key constituent-astilbin. Food Chem. 2009, 115, 297–303. [Google Scholar] [CrossRef]







| Bioactive Substances | NFTB | AFTB | GFTB | HFTB |
|---|---|---|---|---|
| Total phenol (mg·g−1) | 10.02 ± 0.03 c | 10.54 ± 0.11 b | 10.73 ± 0.05 a | 10.71 ± 0.03 ab |
| Total flavonoid (mg·g−1) | 14.21 ± 0.12 b | 13.30 ± 0.08 c | 16.15 ± 0.12 a | 14.43 ± 0.20 b |
| Polysaccharide (mg·g−1) | 131.43 ± 0.34 c | 202.38 ± 1.01 a | 165.71 ± 0.34 b | 128.33 ± 0.67 d |
| Name | AFTB | GFTB | HFTB |
|---|---|---|---|
| Flavans | |||
| Eriodictyol | - | 0.47 | 0.81 |
| (-)-Naringenin | - | 0.19 | 0.54 |
| Naringenin | - | 0.21 | 0.58 |
| Leucocyanidin | - | - | 0.80 |
| Theaflavic acid | - | - | 0.72 |
| Epicatechin | 0.51 | 0.06 | 0.29 |
| (+)-Gallocatechin | - | 0.70 | 0.65 |
| Dihydrokaempferol | - | 0.25 | 0.60 |
| Taxifolin | - | - | 0.13 |
| Epicatechin gallate | 1.75 | 1.52 | 1.45 |
| Theaflavin | 1.42 | 4.46 | - |
| Flavones | |||
| Kaempferol | - | - | 0.83 |
| Myricetin | 0.81 | 0.68 | 0.67 |
| 3-Hydroxyflavone | - | - | 1.21 |
| Quercetin | - | 0.76 | 0.68 |
| Isorhamnetin | 0.79 | 0.83 | 0.56 |
| 7,8-Dihydroxyflavone | - | 0.67 | 0.79 |
| Quercetin 3′-O-sulfate | 1.58 | 10.01 | 1.42 |
| 8-Hydroxyquercetagetin | - | - | 3.20 |
| Apigenin | - | 0.78 | 0.72 |
| Chrysin | - | 0.55 | - |
| Hydroxyflavonoids | |||
| Cyanidin | 0.74 | 0.14 | 0.44 |
| Pelargonidin | - | 0.83 | - |
| O-methylated flavonoids | |||
| Desmosflavone | - | - | 0.80 |
| Diosmetin | - | 0.78 | 0.77 |
| Nobiletin | 11.45 | 0.60 | - |
| Tangeritin | 11.09 | 1.34 | - |
| Biflavonoids and polyflavonoids | |||
| Procyanidin B2 | 0.51 | 0.13 | 0.32 |
| Vitisin A | 0.49 | 0.18 | 0.33 |
| Flavonoid glycosides | |||
| Diosmin | - | - | 1.23 |
| Quercetin 3-O-glucoside | - | 1.49 | 0.82 |
| Oenin | - | 0.81 | 0.78 |
| Kaempferol 3-O-sophorotrioside 7-O-sophoroside | - | 0.80 | 0.78 |
| Myricetin 3-[glucosyl-(1->2)-rhamnoside] 7-[rhamnosyl-(1->2)-glucoside] | - | 0.72 | 0.70 |
| Quercetin 3,3′-diglucoside | - | - | 0.77 |
| Cyanidin 4′-glucoside | - | 0.78 | 0.67 |
| Quercetin 3-O-glucuronide | - | 0.47 | 0.50 |
| Kaempferol 3-O-glucoside | 0.51 | 2.82 | 0.39 |
| Hyperoside | - | 1.83 | 0.78 |
| Myricitrin | - | - | 0.75 |
| Peonidin 3-O-glucoside | - | 0.81 | 0.79 |
| Apigenin 7-O-neohesperidoside | - | 0.81 | 0.77 |
| Rutin | 0.74 | 0.22 | 0.56 |
| Kaempferol 3-O-glucuronide | 0.50 | 0.20 | 0.25 |
| Astilbin | 0.82 | - | 1.39 |
| Phlorizin | - | 0.82 | - |
| Kaempferol-3-O-rutinoside | - | 1.49 | - |
| Spinatoside | 1.50 | 1.22 | - |
| Delphinidin 3-O-glucoside | - | 0.79 | - |
| Apigenin 7-glucoside | - | 3.57E + 11 | - |
| Pyranoflavonoids | |||
| Cycloartocarpesin | - | - | 0.82 |
| Isoflavones | |||
| Medicarpin | - | 0.82 | 0.83 |
| (-)-Medicarpin | - | 0.64 | 0.71 |
| Daidzin | - | 0.72 | 0.74 |
| Daidzein | - | 0.34 | 0.64 |
| Genistein | - | 0.50 | 0.55 |
| Kievitone hydrate | - | 1.74 | - |
| 6″-O-Acetylglycitin | - | - | 0.66 |
| Pseudobaptigenin | - | - | 1105.35 |
Disclaimer/Publisher’s Note: The statements, opinions and data contained in all publications are solely those of the individual author(s) and contributor(s) and not of MDPI and/or the editor(s). MDPI and/or the editor(s) disclaim responsibility for any injury to people or property resulting from any ideas, methods, instructions or products referred to in the content. |
© 2025 by the authors. Licensee MDPI, Basel, Switzerland. This article is an open access article distributed under the terms and conditions of the Creative Commons Attribution (CC BY) license (https://creativecommons.org/licenses/by/4.0/).
Share and Cite
Li, Q.; Zhu, J.; Lv, X.; Liu, J.; Liu, H.; Wang, Q.; Li, Y. Alterations in Functional Constituents and Bioactivities of Tartary Buckwheat via Solid-State Fermentation with Three Edible-Medicinal Fungi: A Metabolomics-Based Analysis. Foods 2025, 14, 4187. https://doi.org/10.3390/foods14244187
Li Q, Zhu J, Lv X, Liu J, Liu H, Wang Q, Li Y. Alterations in Functional Constituents and Bioactivities of Tartary Buckwheat via Solid-State Fermentation with Three Edible-Medicinal Fungi: A Metabolomics-Based Analysis. Foods. 2025; 14(24):4187. https://doi.org/10.3390/foods14244187
Chicago/Turabian StyleLi, Qi, Jiaying Zhu, Xiangying Lv, Jin Liu, Hong Liu, Qingyuan Wang, and Yunlong Li. 2025. "Alterations in Functional Constituents and Bioactivities of Tartary Buckwheat via Solid-State Fermentation with Three Edible-Medicinal Fungi: A Metabolomics-Based Analysis" Foods 14, no. 24: 4187. https://doi.org/10.3390/foods14244187
APA StyleLi, Q., Zhu, J., Lv, X., Liu, J., Liu, H., Wang, Q., & Li, Y. (2025). Alterations in Functional Constituents and Bioactivities of Tartary Buckwheat via Solid-State Fermentation with Three Edible-Medicinal Fungi: A Metabolomics-Based Analysis. Foods, 14(24), 4187. https://doi.org/10.3390/foods14244187
