A Nutritional Evaluation of Plant-Based Meat and Sausage Analogues
Abstract
1. Introduction
2. Methods
2.1. Data Collection and Classification of PBMAs
2.2. Reference Products
2.3. Nutritional Data Analysis
2.4. Nutri Score Calculation
2.5. Protein Source and Quality Assessment
2.6. Micronutrient Fortification and Additives
2.7. Statistical Analysis
3. Results
3.1. Energy and Nutrient Content
- Energy: The highest mean energy density among PBMAs was found in salami analogues (1142 kJ/100 g or 273 kcal/100 g), while cooked sausage analogues had the lowest (628 kJ/100 g or 150 kcal/100 g). Compared to their animal-based counterparts, five out of nine PBMA categories had significantly lower (p < 0.005) energy content. The largest difference was found in the spreadable sausage category, where plant-based products contained on average 519 kJ or 124 kcal less per 100 g (224.8 ± 90.0 vs. 348.8 ± 74.8; p < 0.005).
- Total Fat: Fat content was significantly lower (p < 0.001) in the same five PBMA categories that also had reduced energy content. On average, animal-based sausage products contained 90% more fat than their plant-based alternatives.
- Saturated Fat: Saturated fat was lower (p < 0.05) in eight out of nine PBMA categories. Overall, animal-based products contained on average more than three times the amount of saturated fat compared to PBMAs. In cooked sausage, the average value for animal-based products was more than eight times higher (7.98 ± 2.63 g vs. 0.94 ± 0.36 g; p < 0.001).
- Carbohydrates: PBMAs contained more (p < 0.005) carbohydrates than meat products in all categories except for breaded products.
- Sugar: Sugar content was higher (p < 0.05) in seven out of nine PBMA categories. On average, plant-based products contained 66% more sugar than their animal-based counterparts.
- Fibre: Fibre content was higher (p ≤ 0.001) in all PBMA categories. While most meat products contained no fibre, PBMAs provided between 3.8 and 5.0 g per 100 g.
- Protein: Protein content varied widely across PBMAs. Salami and ham/bacon analogues had the highest average levels (20.9 g and 19.6 g/100 g, respectively) and did not differ significantly from their meat-based equivalents, although variability was considerable. In all other categories, PBMAs contained significantly less protein (p < 0.05), with the largest difference observed in cooked sausage (4.64 ± 2.34 g vs. 13.19 ± 1.63 g; p < 0.001).
- When considering the percentage of energy derived from protein, animal-based products generally scored higher. However, values were similar between plant-based and animal-based products in the minced meat and bratwurst categories, and salami analogues even exceeded their counterparts (31% vs. 26%).
- Salt: Salt content was significantly higher (p < 0.005) in three of four meat analogue categories, with the greatest difference in red meat products (1.8 g vs. 0.6 g/100 g; p < 0.001). No significant differences were found in four of five sausage subcategories, except for salami, where PBMAs contained about 40% less salt on average (p < 0.001). Animal-based salami products had the highest average salt content overall (3.8 g/100 g).
- Substantial variation was observed both within and between categories across all nutrients but fibre.
| Product Count | Energy (kJ) | Fat (g) | Saturated Fat (g) | Carbohydrates (g) | Sugar (g) | Dietary Fibre (g) | Protein (g) | Salt (g) | |||||||||||||||||||
|---|---|---|---|---|---|---|---|---|---|---|---|---|---|---|---|---|---|---|---|---|---|---|---|---|---|---|---|
| Category | PB | AB | PB | AB | p | PB | AB | p | PB | AB | p | PB | AB | p | PB | AB | p | PB | AB | p | PB | AB | p | PB | AB | p | |
| Meat | Minced meat | 52 | 30 | 205.83 ± 45.01 | 245.73 ± 39.59 | 0.004 | 12.41 ± 4.64 | 18.02 ± 4.46 | <0.001 | 3.51 ± 3.35 | 7.53 ± 2.05 | <0.001 | 6.4 ± 3.18 | 3.18 ± 3.84 | 0.004 | 1.5 ± 0.87 | 0.56 ± 0.60 | <0.001 | 4.93 ± 2.10 | 0.16 ± 0.28 | <0.001 | 14.64 ± 3.97 | 17.86 ± 3.47 | <0.001 | 1.61 ± 0.47 | 1.18 ± 0.45 | 0.003 |
| Chicken | 43 | 27 | 177.37 ± 63.56 | 148.67 ± 42.36 | 0.721 | 9.04 ± 6.66 | 6.94 ± 5.10 | 1 | 0.91 ± 0.66 | 2.06 ± 1.76 | 0.059 | 4.12 ± 2.21 | 1.00 ± 1.44 | <0.001 | 0.94 ± 0.87 | 0.51 ± 0.62 | 0.134 | 4.89 ± 1.52 | 0.05 ± 0.12 | <0.001 | 17.42 ± 5.46 | 20.56 ± 2.82 | 0.016 | 1.54 ± 0.45 | 1.24 ± 0.76 | 0.108 | |
| Breaded meat | 55 | 29 | 249.58 ± 40.53 | 229.66 ± 37.24 | 0.354 | 13.01 ± 3.73 | 10.8 ± 3.72 | 0.132 | 1.37 ± 0.66 | 2.83 ± 2.04 | 0.003 | 18.33 ± 3.81 | 16 ± 4.29 | 0.053 | 1.06 ± 0.64 | 0.9 ± 0.34 | 1 | 4.52 ± 1.50 | 0.77 ± 0.54 | <0.001 | 12.49 ± 2.37 | 16.66 ± 2.99 | <0.001 | 1.35 ± 0.31 | 1.07 ± 0.49 | 0.002 | |
| Red meat | 32 | 15 | 170.63 ± 60.82 | 155.27 ± 27.12 | 1 | 8.32 ± 6.21 | 7.37 ± 3.18 | 1 | 1.25 ± 1.65 | 2.81 ± 1.24 | <0.001 | 5.73 ± 3.93 | 0.82 ± 0.81 | <0.001 | 2.45 ± 2.41 | 0.48 ± 0.43 | <0.001 | 4.9 ± 1.73 | 0.12 ± 0.16 | <0.001 | 15.44 ± 5.41 | 21.28 ± 4.01 | 0.007 | 1.77 ± 0.47 | 0.86 ± 0.35 | <0.001 | |
| Sausage | Bratwurst | 22 | 26 | 196.05 ± 37.62 | 284.23 ± 42.79 | <0.001 | 13.49 ± 3.64 | 24.66 ± 5.20 | <0.001 | 2.3 ± 1.89 | 10.14 ± 2.33 | <0.001 | 5.69 ± 2.51 | 0.59 ± 0.38 | <0.001 | 1.38 ± 1.19 | 0.44 ± 0.30 | 0.032 | 3.75 ± 2.20 | 0.07 ± 0.19 | <0.001 | 11.24 ± 6.37 | 15.27 ± 2.93 | 0.003 | 1.95 ± 0.49 | 1.97 ± 0.39 | 1 |
| Cooked sausage | 47 | 48 | 150.43 ± 43.72 | 249.58 ± 46.07 | <0.001 | 12.02 ± 4.33 | 21.55 ± 5.68 | <0.001 | 0.94 ± 0.36 | 7.98 ± 2.63 | <0.001 | 3.33 ± 1.47 | 0.85 ± 0.73 | <0.001 | 1.27 ± 0.88 | 0.61 ± 0.61 | 0.001 | 5.06 ± 2.11 | 0.13 ± 0.20 | <0.001 | 4.64 ± 2.34 | 13.19 ± 1.63 | <0.001 | 2.13 ± 0.36 | 2.1 ± 0.27 | 1 | |
| Salami | 24 | 67 | 272.50 ± 81.01 | 378.27 ± 76.45 | <0.001 | 15.98 ± 7.06 | 31.07 ± 7.48 | <0.001 | 4.26 ± 4.48 | 12.64 ± 3.06 | <0.001 | 9.33 ± 3.65 | 0.86 ± 0.82 | <0.001 | 3.7 ± 1.79 | 0.72 ± 0.67 | <0.001 | 4.15 ± 2.53 | 0.09 ± 0.21 | <0.001 | 20.86 ± 11.24 | 23.99 ± 4.28 | 1 | 2.72 ± 0.54 | 3.77 ± 0.68 | <0.001 | |
| Ham/bacon | 11 | 19 | 167.82 ± 84.19 | 202.63 ± 89.03 | 1 | 5.87 ± 5.70 | 12.88 ± 11.12 | 0.493 | 0.85 ± 0.58 | 5.15 ± 4.52 | 0.016 | 7.22 ± 3.83 | 0.65 ± 0.55 | <0.001 | 3.21 ± 1.93 | 0.62 ± 0.54 | 0.001 | 3.88 ± 1.76 | 0.05 ± 0.16 | 0.001 | 19.64 ± 12.72 | 21.03 ± 5.19 | 1 | 2.6 ± 0.37 | 3.07 ± 1.50 | 1 | |
| Spreadable sausage | 12 | 33 | 224.83 ± 89.99 | 348.79 ± 74.79 | 0.002 | 18.38 ± 9.38 | 32.19 ± 9.22 | <0.001 | 3.87 ± 4.67 | 12.91 ± 3.71 | <0.001 | 7.26 ± 2.08 | 1.15 ± 0.80 | <0.001 | 1.18 ± 0.79 | 0.81 ± 0.71 | 0.037 | 3.84 ± 2.14 | 0.28 ± 0.97 | <0.001 | 5.67 ± 1.59 | 13.93 ± 2.41 | <0.001 | 1.93 ± 0.38 | 2.08 ± 0.57 | 1 | |
3.2. Nutrient Profiling by Principal Component Analysis (PCA)
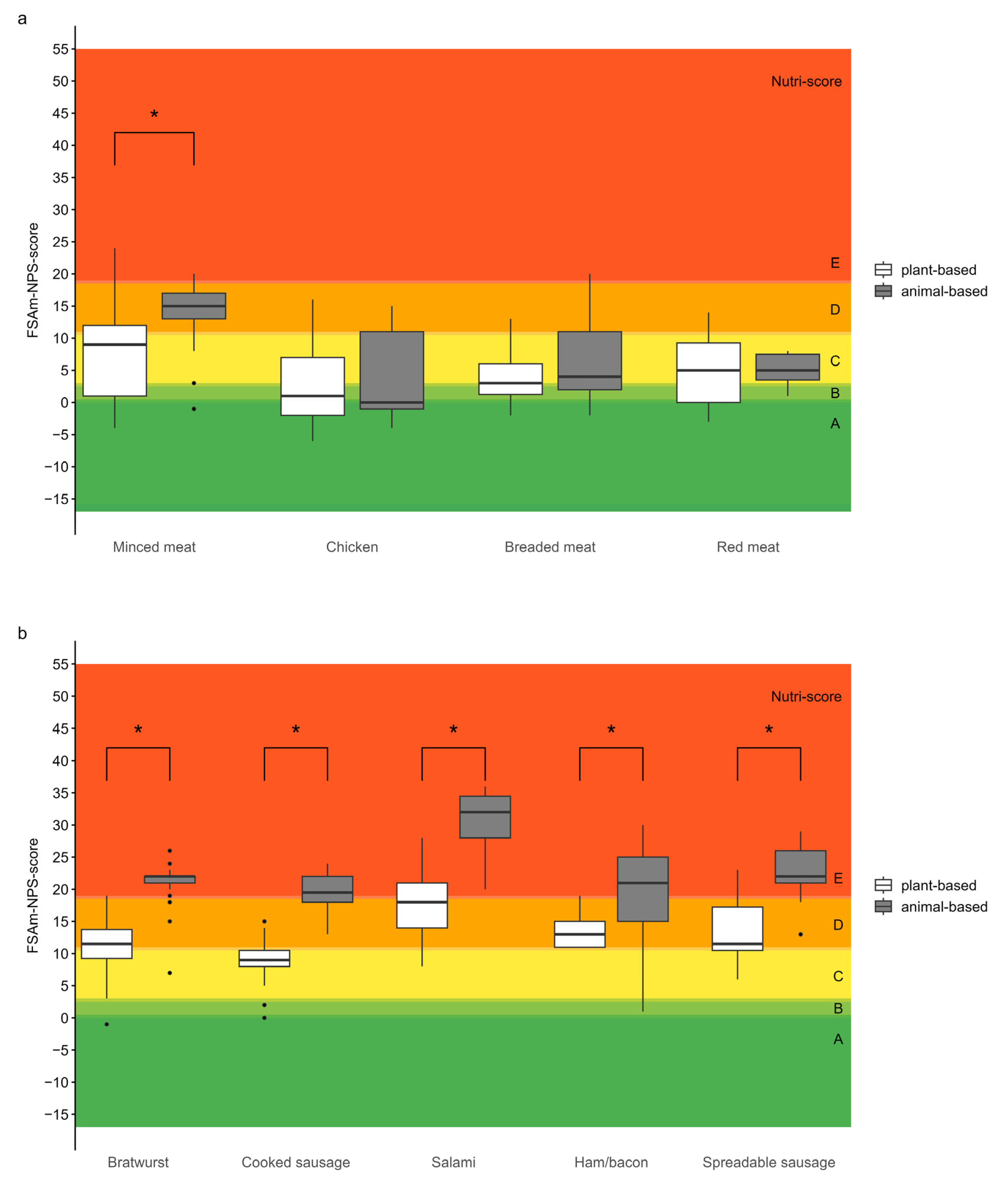
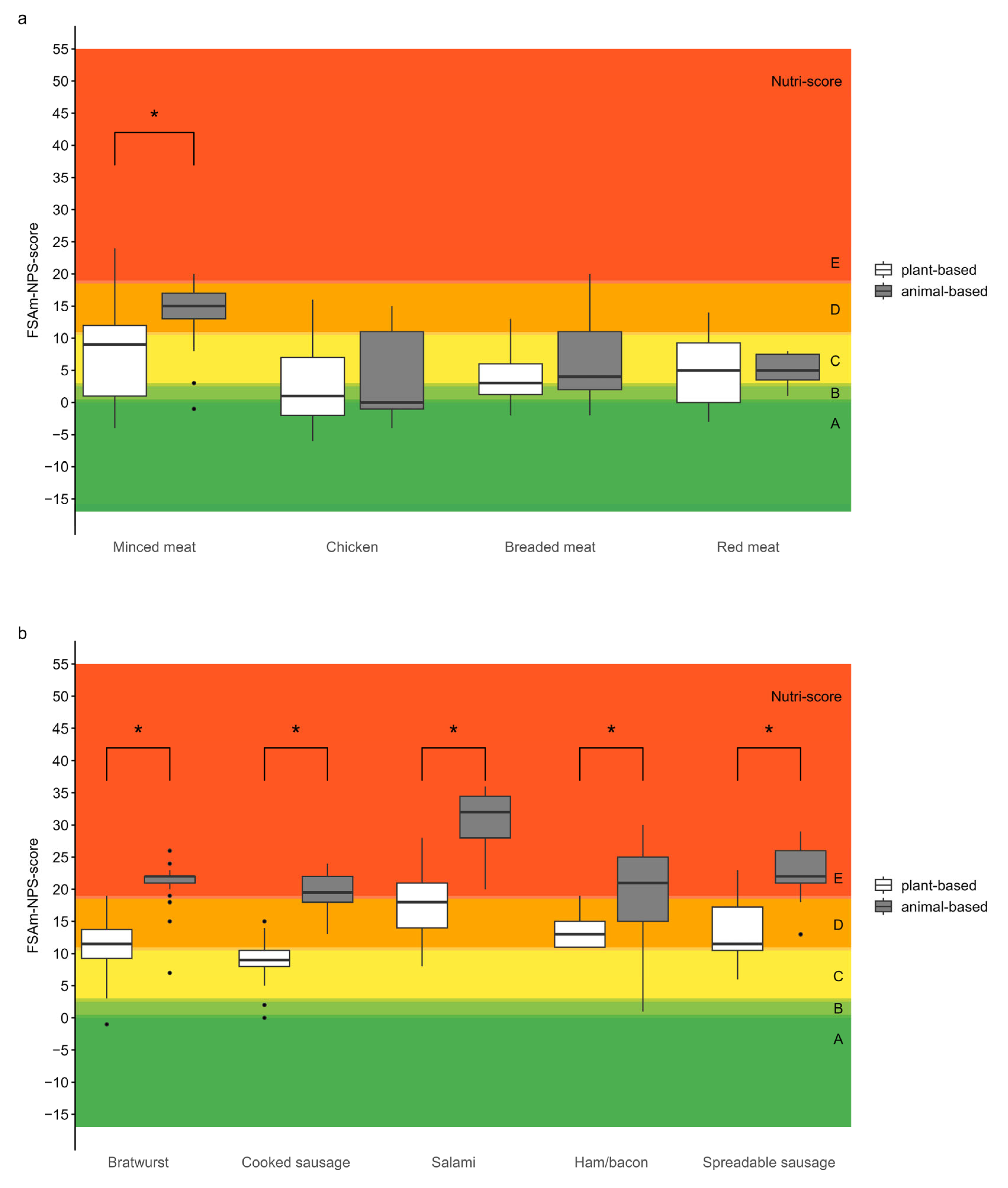
3.3. Nutritional Quality Assessed by the Nutri-Score
3.4. Protein Source Distribution and Quality
3.5. Micronutrient Fortification
3.6. Additives and Processing Characteristics
4. Discussion
5. Conclusions
Supplementary Materials
Author Contributions
Funding
Institutional Review Board Statement
Informed Consent Statement
Data Availability Statement
Acknowledgments
Conflicts of Interest
Abbreviations
| BLS | German Nutrient Database (Bundeslebensmittelschlüssel) |
| DGE | German Nutrition Society (Deutsche Gesellschaft für Ernährung) |
| DIAAS | Digestible Indispensable Amino Acid Scores |
| FSAm-NPS | Food Standards Agency modified nutrient profiling system |
| NRV | Nutrient reference value |
| PBMAs | Plant-based meat and sausage analogues |
| PCA | Principal Component Analysis |
| UPF | Ultra-processed food |
References
- Searchinger, T.; Waite, R.; Beringer, T.; Forslund, A.; Guyomard, H.; Le Mouël, C.; Manceron, S.; Marajo-Petitzon, E. World Resources Report—Creating a Sustainable Food Future; EcoAgiculture Partners: Washington, DC, USA, 2018. [Google Scholar]
- Willett, W.; Rockström, J.; Loken, B.; Springmann, M.; Lang, T.; Vermeulen, S.; Garnett, T.; Tilman, D.; DeClerck, F.; Wood, A.; et al. Food in the Anthropocene: The EAT–Lancet Commission on Healthy Diets from Sustainable Food Systems. Lancet 2019, 393, 447–492. [Google Scholar] [CrossRef]
- Godfray, H.C.J.; Aveyard, P.; Garnett, T.; Hall, J.W.; Key, T.J.; Lorimer, J.; Pierrehumbert, R.T.; Scarborough, P.; Springmann, M.; Jebb, S.A. Meat Consumption, Health, and the Environment. Science 2018, 361, eaam5324. [Google Scholar] [CrossRef]
- Parlasca, M.C.; Qaim, M. Meat Consumption and Sustainability. Annu. Rev. Resour. Econ. 2022, 14, 17–41. [Google Scholar] [CrossRef]
- European Commission; Directorate-General for Research and Innovation; Bizzo, G.; Fabbri, K.; Gajdzinska, M. Food 2030—Pathways for Action 2.0—R&I Policy as a Driver for Sustainable, Healthy, Climate Resilient and Inclusive Food Systems; Publications Office of the European Union: Luxembourg, 2023. [Google Scholar]
- Deutsche Gesellschaft für Ernährung e. V. Die DGE-Empfehlungen—Gut Essen Und Trinken; Gesellschaft für Ernährung e. V.: Bonn, Germany, 2024. [Google Scholar]
- World Cancer Research Fund; American Institute for Cancer Research. Diet, Nutrition, Physical Activity and Cancer: A Global Perspective; World Cancer Research Fund International: London, UK, 2018. [Google Scholar]
- ProVeg International. Plant-Based Food in Germany. Market and Consumer Insights. Based on Research from the Smart Protein Project, a European Union’s Horizon 2020 Research and Innovation Programme (No 862957); ProVeg International: Berlin, Germany, 2022. [Google Scholar]
- Statistisches Bundesamt (Destatis) Trend Zu Fleischersatz Ungebrochen: Produktion Steigt 2023 Um 16.6% Gegenüber Dem Vorjahr—Pressemitteilung Nr. N 018 Vom 2. May 2024. Available online: https://www.destatis.de/DE/Presse/Pressemitteilungen/2024/05/PD24_N018_42.html (accessed on 5 May 2024).
- Aschemann-Witzel, J.; Gantriis, R.F.; Fraga, P.; Perez-Cueto, F.J.A. Plant-Based Food and Protein Trend from a Business Perspective: Markets, Consumers, and the Challenges and Opportunities in the Future. Crit. Rev. Food Sci. Nutr. 2021, 61, 3119–3128. [Google Scholar] [CrossRef]
- Song, M.; Fung, T.T.; Hu, F.B.; Willett, W.C.; Longo, V.D.; Chan, A.T.; Giovannucci, E.L. Association of Animal and Plant Protein Intake with All-Cause and Cause-Specific Mortality. JAMA Intern. Med. 2016, 176, 1453–1463. [Google Scholar] [CrossRef]
- Monteiro, C.A.; Cannon, G.; Levy, R.B.; Moubarac, J.C.; Louzada, M.L.C.; Rauber, F.; Khandpur, N.; Cediel, G.; Neri, D.; Martinez-Steele, E.; et al. Ultra-Processed Foods: What They Are and How to Identify Them. Public Health Nutr. 2019, 22, 936–941. [Google Scholar] [CrossRef]
- Hall, K.D.; Ayuketah, A.; Brychta, R.; Cai, H.; Cassimatis, T.; Chen, K.Y.; Chung, S.T.; Costa, E.; Courville, A.; Darcey, V.; et al. Ultra-Processed Diets Cause Excess Calorie Intake and Weight Gain: An Inpatient Randomized Controlled Trial of Ad Libitum Food Intake. Cell Metab. 2019, 30, 226. [Google Scholar] [CrossRef] [PubMed]
- Hoffman, J.R.; Falvo, M.J. Protein—Which Is Best? J. Sports Sci. Med. 2004, 3, 118. [Google Scholar] [PubMed]
- Bohrer, B.M. Review: Nutrient Density and Nutritional Value of Meat Products and Non-Meat Foods High in Protein. Trends Food Sci. Technol. 2017, 65, 103–112. [Google Scholar] [CrossRef]
- Huang, S.; Wang, L.M.; Sivendiran, T.; Bohrer, B.M. Review: Amino Acid Concentration of High Protein Food Products and an Overview of the Current Methods Used to Determine Protein Quality. Crit. Rev. Food Sci. Nutr. 2018, 58, 2673–2678. [Google Scholar] [CrossRef] [PubMed]
- Xavier, J.R.; Shashikumar, S.H.; Vats, D.; Chauhan, O.P. Future Trends in Plant-Based Meat: Consumer Perception, Market Growth and Health Benefits. Future Foods 2025, 11, 100551. [Google Scholar] [CrossRef]
- Toh, D.W.K.; SRV, A.; Henry, C.J. Unknown Impacts of Plant-Based Meat Alternatives on Long-Term Health. Nat. Food 2022, 3, 90–91. [Google Scholar] [CrossRef]
- EHI Retail Institute. Studie: Stationärer Einzelhandel Deutschland 2023; EHI Retail Institute: Köln, Germany, 2023; ISBN 978-3-87257-588-3. [Google Scholar]
- Statista Market Share of the Leading Companies in Food Retail in Germany from 2009 to 2022. Available online: https://www.statista.com/statistics/505129/leading-companies-in-food-retail-germany/ (accessed on 24 April 2024).
- Hafner, E.; Pravst, I. A Systematic Assessment of the Revised Nutri-Score Algorithm: Potentials for the Implementation of Front-of-Package Nutrition Labeling across Europe. Food Front. 2024, 5, 947–963. [Google Scholar] [CrossRef]
- De Temmerman, J.; Heeremans, E.; Slabbinck, H.; Vermeir, I. The Impact of the Nutri-Score Nutrition Label on Perceived Healthiness and Purchase Intentions. Appetite 2021, 157, 104995. [Google Scholar] [CrossRef]
- Folkvord, F.; Bergmans, N.; Pabian, S. The Effect of the Nutri-Score Label on Consumer’s Attitudes, Taste Perception and Purchase Intention: An Experimental Pilot Study. Food Qual. Prefer. 2021, 94, 104303. [Google Scholar] [CrossRef]
- Galán, P.; Kesse, E.; Touvier, M.; Deschasaux, M.; Srour, B.; Chazelas, E.; Baudry, J.; Fialon, M.; Julia, C.; Hercberg, S.; et al. Nutri-Score y Ultra-Procesamiento: Dos Dimensiones Diferentes, Complementarias y No Contradictorias. Nutr. Hosp. 2021, 38, 201–206. [Google Scholar] [CrossRef] [PubMed]
- Santé Publique France Nutri-Score. Available online: https://www.santepubliquefrance.fr/en/nutri-score (accessed on 24 April 2025).
- Kassambara, A.; Mundt, F. Factoextra: Extract and Visualize the Results of Multivariate Data Analyses. R Package Version 1.0.7. Available online: https://CRAN.R-project.org/package=factoextra (accessed on 30 June 2025).
- Korkmaz, S.; Goksuluk, D.; Zararsiz, G. MVN: An R Package for Assessing Multivariate Normality. R J. 2014, 6, 151–162. [Google Scholar] [CrossRef]
- Oksanen, J.; Simpson, G.L.; Blanchet, F.G.; Kindt, R.; Legendre, P.; Minchin, P.R.; O’Hara, R.B.; Solymos, P.; Stevens, M.H.H.; Szoecs, E.; et al. Community Ecology Package, [R Package Vegan Version 2.7-2]. Contributed Packages. CRAN: Vienna, Austria, 2025.
- Herreman, L.; Nommensen, P.; Pennings, B.; Laus, M.C. Comprehensive Overview of the Quality of Plant- And Animal-Sourced Proteins Based on the Digestible Indispensable Amino Acid Score. Food Sci. Nutr. 2020, 8, 5379–5391. [Google Scholar] [CrossRef]
- Deutsche Gesellschaft für Ernährung e.V. 15. DGE-Ernährungsbericht; Deutsche Gesellschaft für Ernährung e. V.: Bonn, Germany, 2024. [Google Scholar]
- Onwezen, M.C.; Bouwman, E.P.; Reinders, M.J.; Dagevos, H. A Systematic Review on Consumer Acceptance of Alternative Proteins: Pulses, Algae, Insects, Plant-Based Meat Alternatives, and Cultured Meat. Appetite 2021, 159, 105058. [Google Scholar] [CrossRef]
- Pointke, M.; Pawelzik, E. Plant-Based Alternative Products: Are They Healthy Alternatives? Micro- and Macronutrients and Nutritional Scoring. Nutrients 2022, 14, 601. [Google Scholar] [CrossRef]
- Cutroneo, S.; Angelino, D.; Tedeschi, T.; Pellegrini, N.; Martini, D. Nutritional Quality of Meat Analogues: Results from the Food Labelling of Italian Products (FLIP) Project. Front. Nutr. 2022, 9, 852831. [Google Scholar] [CrossRef] [PubMed]
- Curtain, F.; Grafenauer, S. Plant-Based Meat Substitutes in the Flexitarian Age: An Audit of Products on Supermarket Shelves. Nutrients 2019, 11, 2603. [Google Scholar] [CrossRef]
- Alessandrini, R.; Brown, M.K.; Pombo-Rodrigues, S.; Bhageerutty, S.; He, F.J.; Macgregor, G.A. Nutritional Quality of Plant-Based Meat Products Available in the UK: A Cross-Sectional Survey. Nutrients 2021, 13, 4225. [Google Scholar] [CrossRef]
- Ciobotaru, R.; Tas, A.A.; Khan, T.A. Healthiness of Meat-Based Products in Comparison to Their Plant-Based Alternatives in the UK Market: A Packaging Evaluation. Foods 2024, 13, 3346. [Google Scholar] [CrossRef] [PubMed]
- Katidi, A.; Xypolitaki, K.; Vlassopoulos, A.; Kapsokefalou, M. Nutritional Quality of Plant-Based Meat and Dairy Imitation Products and Comparison with Animal-Based Counterparts. Nutrients 2023, 15, 401. [Google Scholar] [CrossRef]
- Crimarco, A.; Springfield, S.; Petlura, C.; Streaty, T.; Cunanan, K.; Lee, J.; Fielding-Singh, P.; Carter, M.M.; Topf, M.A.; Wastyk, H.C.; et al. A Randomized Crossover Trial on the Effect of Plant-Based Compared with Animal-Based Meat on Trimethylamine-N-Oxide and Cardiovascular Disease Risk Factors in Generally Healthy Adults: Study with Appetizing Plantfood-Meat Eating Alternative Trial (SWAP-MEAT). Am. J. Clin. Nutr. 2020, 112, 1188–1199. [Google Scholar] [CrossRef] [PubMed]
- Medawar, E.; Zedler, M.; de Biasi, L.; Villringer, A.; Witte, A.V. Effects of Single Plant-Based vs. Animal-Based Meals on Satiety and Mood in Real-World Smartphone-Embedded Studies. NPJ Sci. Food 2023, 7, 1. [Google Scholar] [CrossRef]
- Astrup, A.; Teicholz, N.; Magkos, F.; Bier, D.M.; Thomas Brenna, J.; King, J.C.; Mente, A.; Ordovas, J.M.; Volek, J.S.; Yusuf, S.; et al. Dietary Saturated Fats and Health: Are the u.s. Guidelines Evidence-Based? Nutrients 2021, 13, 3305. [Google Scholar] [CrossRef]
- Gibbs, J.; Leung, G.-K. The Effect of Plant-Based and Mycoprotein-Based Meat Substitute Consumption on Cardiometabolic Risk Factors: A Systematic Review and Meta-Analysis of Controlled Intervention Trials. Dietetics 2023, 2, 104–122. [Google Scholar] [CrossRef]
- Ostlund, R.E. Phytosterols in Human Nutrition. Annu. Rev. Nutr. 2002, 22, 533–549. [Google Scholar] [CrossRef]
- Matvienko, O.A.; Lewis, D.S.; Swanson, M.; Arndt, B.; Rainwater, D.L.; Stewart, J.; Lee Alekel, D. A Single Daily Dose of Soybean Phytosterols in Ground Beef Decreases Serum Total Cholesterol and LDL Cholesterol in Young, Mildly Hypercholesterolemic Men. Am. J. Clin. Nutr. 2002, 76, 57–64. [Google Scholar] [CrossRef]
- Nagata, C.; Takatsuka, N.; Kurisu, Y.; Shimizu, H. Decreased Serum Total Cholesterol Concentration Is Associated with High Intake of Soy Products in Japanese Men and Women. J. Nutr. 1998, 128, 209–213. [Google Scholar] [CrossRef]
- Wangen, K.E.; Duncan, A.M.; Xu, X.; Kurzer, M.S. Soy Isoflavones Improve Plasma Lipids in Normocholesterolemic and Mildly Hypercholesterolemic Postmenopausal Women. Am. J. Clin. Nutr. 2001, 73, 225–231. [Google Scholar] [CrossRef]
- Wong, W.W.; O’Brian Smith, E.; Stuff, J.E.; Hachey, D.L.; Heird, W.C.; Pownell, H.J. Cholesterol-Lowering Effect of Soy Protein in Normocholesterolemic and Hypercholesterolemic Men. Am. J. Clin. Nutr. 1998, 68, 1385S–1389S. [Google Scholar] [CrossRef]
- Shen, J.; Liu, Y.; Wang, X.; Bai, J.; Lin, L.; Luo, F.; Zhong, H. A Comprehensive Review of Health-Benefiting Components in Rapeseed Oil. Nutrients 2023, 15, 999. [Google Scholar] [CrossRef]
- Cust, A.E.; Skilton, M.R.; van Bakel, M.M.E.; Halkjær, J.; Olsen, A.; Agnoli, C.; Psaltopoulou, T.; Buurma, E.; Sonestedt, E.; Chirlaque, M.D.; et al. Total Dietary Carbohydrate, Sugar, Starch and Fibre Intakes in the European Prospective Investigation into Cancer and Nutrition. Eur. J. Clin. Nutr. 2009, 63, S37–S60. [Google Scholar] [CrossRef]
- Aller, E.E.J.G.; Abete, I.; Astrup, A.; Alfredo, M.J.; van Baak, M.A. Starches, Sugars and Obesity. Nutrients 2011, 3, 341–369. [Google Scholar] [CrossRef] [PubMed]
- Europäisches Parlament; Rat der Europäischen Union. Verordnung (EG) Nr. 1924/2006 Des Europäischen Parlaments Und Des Rates Vom 20. Dezember 2006 Über Nährwert- Und Gesundheitsbezogene Angaben Über Lebensmittel. Available online: https://eur-lex.europa.eu/legal-content/DE/ALL/?uri=CELEX:32006R1924 (accessed on 9 November 2024).
- Farsi, D.N.; Uthumange, D.; Munoz Munoz, J.; Commane, D.M. The Nutritional Impact of Replacing Dietary Meat with Meat Alternatives in the UK: A Modelling Analysis Using Nationally Representative Data. Br. J. Nutr. 2022, 127, 1731–1741. [Google Scholar] [CrossRef]
- Ernst, J.; Arens-Azevêdo, U.; Bitzer, B.; Bosy-Westphal, A.; de Zwaan, M.; Egert, S.; Fritsche, A.; Gerlach, S.; Hauner, H.; Heseker, H.; et al. Quantitative Empfehlung Zur Zuckerzufuhr in Deutschland; Deutsche Adipositas-Gesellschaft e.V.: Berlin, Germany; Deutsche Diabetes Gesellschaft e.V.: Berlin, Germany; Deutsche Gesellschaft für Ernährung e.V.: Bonn, Germany, 2018. [Google Scholar]
- Romão, B.; Botelho, R.B.A.; Nakano, E.Y.; Raposo, A.; Han, H.; Vega-Muñoz, A.; Ariza-Montes, A.; Zandonadi, R.P. Are Vegan Alternatives to Meat Products Healthy? A Study on Nutrients and Main Ingredients of Products Commercialized in Brazil. Front. Public Health 2022, 10, 900598. [Google Scholar] [CrossRef] [PubMed]
- Anderson, J.W.; Baird, P.; Davis, R.H.; Ferreri, S.; Knudtson, M.; Koraym, A.; Waters, V.; Williams, C.L. Health Benefits of Dietary Fiber. Nutr. Rev. 2009, 67, 188–205. [Google Scholar] [CrossRef] [PubMed]
- Caprita, A.; Căpriţă, R.; Simulescu, V.; Drehe, R.-M. Dietary Fiber: Chemical and Functional Properties. J. Agroaliment. Process. Technol. 2010, 16, 406–416. [Google Scholar]
- Haron, H.; Hiew, I.; Shahar, S.; Michael, V.; Ambak, R. A Survey on Salt Content Labeling of the Processed Food Available in Malaysia. Int. J. Environ. Res. Public Health 2020, 17, 2469. [Google Scholar] [CrossRef] [PubMed]
- He, F.J.; Tan, M.; Ma, Y.; MacGregor, G.A. Salt Reduction to Prevent Hypertension and Cardiovascular Disease: JACC State-of-the-Art Review. J. Am. Coll. Cardiol. 2020, 75, 632–647. [Google Scholar] [CrossRef]
- BMEL (Bundesministerium für Ernährung und Landwirtschaft) Gesunde Ernährung—Salzzufuhr in Deutschland: Ergebnisse Der DEGS- Und KiGGS-Studie. Available online: https://www.bmel.de/DE/themen/ernaehrung/gesunde-ernaehrung/degs-salzstudie.html (accessed on 17 November 2024).
- Public Health England. Salt Reduction Targets for 2024; Public Health England: London, UK, 2020.
- Cole, E.; Goeler-Slough, N.; Cox, A.; Nolden, A. Examination of the Nutritional Composition of Alternative Beef Burgers Available in the United States. Int. J. Food Sci. Nutr. 2022, 73, 425–432. [Google Scholar] [CrossRef]
- Moonaisur, N.; Marx-Pienaar, N.; de Kock, H.L. Plant-Based Meat Alternatives in South Africa: An Analysis of Products on Supermarket Shelves. Food Sci. Nutr. 2024, 12, 627–637. [Google Scholar] [CrossRef]
- Zhang, L.; Langlois, E.; Williams, K.; Tejera, N.; Omieljaniuk, M.; Finglas, P.; Traka, M.H. A Comparative Analysis of Nutritional Quality, Amino Acid Profile, and Nutritional Supplementations in Plant-Based Products and Their Animal-Based Counterparts in the UK. Food Chem. 2024, 448, 139059. [Google Scholar] [CrossRef]
- Coffey, A.A.; Lillywhite, R.; Oyebode, O. Meat versus Meat Alternatives: Which Is Better for the Environment and Health? A Nutritional and Environmental Analysis of Animal-Based Products Compared with Their Plant-Based Alternatives. J. Human. Nutr. Diet. 2023, 36, 2147–2156. [Google Scholar] [CrossRef] [PubMed]
- Falkenberg, C.; Trexler, A.; Garaus, C.; Pöchtrager, S. Meat Substitute Markets: A Comparative Analysis of Meat Analogs in Austria. Foods 2023, 12, 2211. [Google Scholar] [CrossRef]
- Bryngelsson, S.; Moshtaghian, H.; Bianchi, M.; Hallström, E. Nutritional Assessment of Plant-Based Meat Analogues on the Swedish Market. Int. J. Food Sci. Nutr. 2022, 73, 889–901. [Google Scholar] [CrossRef]
- Gréa, C.; Dittmann, A.; Wolff, D.; Werner, R.; Turban, C.; Roser, S.; Hoffmann, I.; Stefan Storcksdieck Genannt Bonsmann. Comparison of the Declared Nutrient Content of Plant-Based Meat Substitutes and Corresponding Meat Products and Sausages in Germany. Nutrients 2023, 15, 3864. [Google Scholar] [CrossRef] [PubMed]
- European Commission Nutrition Claims. Available online: https://food.ec.europa.eu/food-safety/labelling-and-nutrition/nutrition-and-health-claims/nutrition-claims_en (accessed on 27 June 2025).
- Max Rubner-Institut. Nationale Verzehrsstudie II, Ergebnisbericht Teil 2; Max Rubner-Institut: Karlsruhe, Germany, 2008. [Google Scholar]
- Boukid, F.; Castellari, M. Veggie Burgers in the EU Market: A Nutritional Challenge? Eur. Food Res. Technol. 2021, 247, 2445–2453. [Google Scholar] [CrossRef]
- Harnack, L.; Mork, S.; Valluri, S.; Weber, C.; Schmitz, K.; Stevenson, J.; Pettit, J. Nutrient Composition of a Selection of Plant-Based Ground Beef Alternative Products Available in the United States A. J. Acad. Nutr. Diet. 2021, 121, 2401–2408. [Google Scholar] [CrossRef]
- Melville, H.; Shahid, M.; Gaines, A.; McKenzie, B.L.; Alessandrini, R.; Trieu, K.; Wu, J.H.Y.; Rosewarne, E.; Coyle, D.H. The Nutritional Profile of Plant-Based Meat Analogues Available for Sale in Australia. Nutr. Diet. 2023, 80, 211–222. [Google Scholar] [CrossRef]
- Tonheim, L.E.; Austad, E.; Torheim, L.E.; Henjum, S. Plant-Based Meat and Dairy Substitutes on the Norwegian Market: Comparing Macronutrient Content in Substitutes with Equivalent Meat and Dairy Products. J. Nutr. Sci. 2022, 11, e9. [Google Scholar] [CrossRef]
- Baptist, N.G. Essential Amino-Acids of Some Common Tropical Legumes and Cereals. Br. J. Nutr. 1954, 8, 218–222. [Google Scholar] [CrossRef]
- Schwab, C.G.; Broderick, G.A. A 100-Year Review: Protein and amino acid nutrition in dairy cows. J. Dairy Sci. 2017, 100, 10094–10112. [Google Scholar] [CrossRef]
- Vasal, S.K. The Role of High Lysine Cereals in Animal and Human Nutrition in Asia. In Proceedings of the Protein Sources for the Animal Feed Industry. Expert Consultation and Workshop, Bangkok, Thailand, 29 April–3 May 2002; Food and Agriculture Organization: Bangkok, Thailand, 2004; pp. 167–183. [Google Scholar]
- De Marchi, M.; Costa, A.; Pozza, M.; Goi, A.; Manuelian, C.L. Detailed Characterization of Plant-Based Burgers. Sci. Rep. 2021, 11, 2049. [Google Scholar] [CrossRef]
- Aiking, H. Protein Production: Planet, Profit, plus People? Am. J. Clin. Nutr. 2014, 100, 483S–489S. [Google Scholar] [CrossRef]
- Government of Canada. Food and Drug Regulations (C.R.C., c. 870), B. 14.085; Government of Canada: Ottawa, ON, Canada, 2024.
- Craig, W.; Mangels, A. Position of the American Dietetic Association: Vegetarian Diets. J. Am. Diet. Assoc. 2009, 109, 1266–1282. [Google Scholar] [CrossRef]
- Young, V.R.; Pellett, P.L. Plant Proteins in Relation to Human Protein and Amino Acid Nutrition. Am. J. Clin. Nutr. 1994, 59, 1203S–1212S. [Google Scholar] [CrossRef]
- Hülsebusch, L.; Heyn, T.R.; Amft, J.; Schwarz, K. Extrusion of Plant Proteins: A Review of Lipid and Protein Oxidation and Their Impact on Functional Properties. Food Chem. 2025, 470, 142607. [Google Scholar] [CrossRef]
- Zeuschner, C.L.; Hokin, B.D.; Marsh, K.A.; Saunders, A.V.; Reid, M.A.; Ramsay, M.R. Vitamin B12 and Vegetarian Diets. Med. J. Aust. 2013, 199, S27–S32. [Google Scholar] [CrossRef]
- Rimbach, G.; Möhring, J.; Erbersdobler, H.F. Lebensmittel-Warenkunde Für Einsteiger; Springer: Berlin/Heidelberg, Germany, 2010; ISBN 978-3-642-04485-4. [Google Scholar]
- EFSA Panel on Genetically Modified Organisms (GMO); Casacuberta, J.; Barro, F.; Braeuning, A.; Cubas, P.; de Maagd, R.; Epstein, M.M.; Frenzel, T.; Gallois, J.; Koning, F.; et al. Assessment of Soy Leghemoglobin Produced from Genetically Modified Komagataella Phaffii, under Regulation (EC) No 1829/2003 (Application EFSA-GMO-NL-2019-162). EFSA J. 2024, 22, e9060. [Google Scholar] [CrossRef]
- Baye, K.; Guyot, J.P.; Mouquet-Rivier, C. The Unresolved Role of Dietary Fibers on Mineral Absorption. Crit. Rev. Food Sci. Nutr. 2017, 57, 949–957. [Google Scholar] [CrossRef]
- Gibson, R.S.; Raboy, V.; King, J.C. Implications of Phytate in Plant-Based Foods for Iron and Zinc Bioavailability, Setting Dietary Requirements, and Formulating Programs and Policies. Nutr. Rev. 2018, 76, 793–804. [Google Scholar] [CrossRef]
- Vatanparast, H.; Islam, N.; Shafiee, M.; Dan Ramdath, D. Increasing Plant-Based Meat Alternatives and Decreasing Red and Processed Meat in the Diet Differentially Affect the Diet Quality and Nutrient Intakes of Canadians. Nutrients 2020, 12, 2034. [Google Scholar] [CrossRef] [PubMed]
- Juul, F.; Bere, E. Ultra-Processed Foods—A Scoping Review for Nordic Nutrition Recommendations 2023. Food Nutr. Res. 2024, 68, 10616. [Google Scholar] [CrossRef]
- Cordova, R.; Viallon, V.; Fontvieille, E.; Peruchet-Noray, L.; Jansana, A.; Wagner, K.H.; Kyrø, C.; Tjønneland, A.; Katzke, V.; Bajracharya, R.; et al. Consumption of Ultra-Processed Foods and Risk of Multimorbidity of Cancer and Cardiometabolic Diseases: A Multinational Cohort Study. Lancet Reg. Health Eur. 2023, 35, 100771. [Google Scholar] [CrossRef]
- Toribio-Mateas, M.A.; Bester, A.; Klimenko, N. Impact of Plant-Based Meat Alternatives on the Gut Microbiota of Consumers: A Real-World Study. Foods 2021, 10, 2040. [Google Scholar] [CrossRef]
- Wickramasinghe, K.; Breda, J.; Berdzuli, N.; Rippin, H.; Farrand, C.; Halloran, A. The Shift to Plant-Based Diets: Are We Missing the Point? Glob. Food Sec. 2021, 29, 100530. [Google Scholar] [CrossRef]
- Messina, M.; Sievenpiper, J.L.; Williamson, P.; Kiel, J.; Erdman, J.W. Perspective: Soy-Based Meat and Dairy Alternatives, Despite Classification as Ultra-Processed Foods, Deliver High-Quality Nutrition on Par with Unprocessed or Minimally Processed Animal-Based Counterparts. Adv. Nutr. 2022, 13, 726–738. [Google Scholar] [CrossRef] [PubMed]
- Davidou, S.; Christodoulou, A.; Fardet, A.; Frank, K. The Holistico-Reductionist Siga Classification According to the Degree of Food Processing: An Evaluation of Ultra-Processed Foods in French Supermarkets. Food Funct. 2020, 11, 2026–2039. [Google Scholar] [CrossRef]
- Lichtenstein, T.; King, T.; Weber, J.; Kalocsay, K. Plant-Based Meat: A Healthier Choice? Food Frontier: Melbourne, Australia, 2020. [Google Scholar]
- The Center for Consumer Freedom 5 Chemicals Lurking in Plant-Based Meats. Available online: https://consumerfreedom.com/2021/07/5-chemicals-lurking-in-plant-based-meats/ (accessed on 30 June 2025).
- FOCUS Online Vegane Produkte: Die Trend-Produkte Sind Wahre Chemiekeulen. Available online: https://www.focus.de/gesundheit/ernaehrung/vegane-wurst-soja-milch-glutenfreies-brot-trend-produkte-sind-chemiekeulen_id_9483711.html (accessed on 30 June 2025).
- Clean Food Facts Fake Meat, Real Chemicals Campaign. Available online: https://cleanfoodfacts.com/fake-meat-real-chemicals-campaign/ (accessed on 30 June 2025).
- RTL Ernährungsmediziner Über Vegane Ersatzprodukte: “Diese Lebensmittel sind Killer”. Available online: https://www.rtl.de/cms/ernaehrungsmediziner-ueber-vegane-ersatzprodukte-diese-lebensmittel-sind-killer-5035115.html (accessed on 30 June 2025).
- FOCUS Online Essen wie aus dem Chemiebaukasten: Tofu-Burger, Soja-Schnitzel: So Ungesund ist Veganer Fleischersatz. Available online: https://www.focus.de/gesundheit/ernaehrung/vegan_und_vegetarisch/essen-wie-aus-dem-chemiebaukasten-tofu-burger-soja-schnitzel-so-ungesund-ist-veganer-fleischersatz_id_5296624.html (accessed on 30 June 2025).
- Asioli, D.; Aschemann-Witzel, J.; Caputo, V.; Vecchio, R.; Annunziata, A.; Næs, T.; Varela, P. Making Sense of the “Clean Label” Trends: A Review of Consumer Food Choice Behavior and Discussion of Industry Implications. Food Res. Int. 2017, 99, 58–71. [Google Scholar] [CrossRef]
- Reppas, C.; Swidan, S.Z.; Tobey, S.W.; Turowski, M.; Dressman, J.B. Hydroxypropylmethylcellulose Significantly Lowers Blood Cholesterol in Mildly Hypercholesterolemic Human Subjects. Eur. J. Clin. Nutr. 2009, 63, 71–77. [Google Scholar] [CrossRef] [PubMed]
- Maki, K.C.; Davidson, M.H.; Malik, K.C.; Albrecht, H.H.; O’Mullane, J.; Daggy, B.P. Cholesterol Lowering with High-Viscosity Hydroxypropylmethylcellulose. Am. J. Cardiol. 1999, 84, 1198–1203. [Google Scholar] [CrossRef]
- Maki, K.C.; Carson, M.L.; Miller, M.P.; Turowski, M.; Bell, M.; Wilder, D.M.; Reeves, M.S. High-Viscosity Hydroxypropylmethylcellulose Blunts Postprandial Glucose and Insulin Responses. Diabetes Care 2007, 30, 1039–1043. [Google Scholar] [CrossRef]
- Agostoni, C.; Bresson, J.-L.; Fairweather-Tait, S.; Flynn, A.; Golly, I.; Korhonen, H.; Lagiou, P.; Løvik, M.; Marchelli, R.; Martin, A.; et al. Scientific Opinion on the Substantiation of Health Claims Related to Hydroxypropyl Methylcellulose (HPMC) and Maintenance of Normal Bowel Function (ID 812), Reduction of Post-Prandial Glycaemic Responses (ID 814), Maintenance of Normal Blood Cholesterol Concentrations (ID 815) and Increase in Satiety Leading to a Reduction in Energy Intake (ID 2933) Pursuant to Article 13(1) of Regulation (EC) No 1924/2006. EFSA J. 2010, 8, 1739. [Google Scholar] [CrossRef]
- Bakhsh, A.; Lee, S.J.; Lee, E.Y.; Sabikun, N.; Hwang, Y.H.; Joo, S.T. A Novel Approach for Tuning the Physicochemical, Textural, and Sensory Characteristics of Plant-Based Meat Analogs with Different Levels of Methylcellulose Concentration. Foods 2021, 10, 560. [Google Scholar] [CrossRef]
- Bohrer, B.M. An Investigation of the Formulation and Nutritional Composition of Modern Meat Analogue Products. Food Sci. Human. Wellness 2019, 8, 320–329. [Google Scholar] [CrossRef]
- EFSA Panel on Food Additives and Nutrient Sources added to Food (ANS); Younes, M.; Aggett, P.; Aguilar, F.; Crebelli, R.; Filipič, M.; Frutos, M.J.; Galtier, P.; Gott, D.; Gundert-Remy, U.; et al. Re-Evaluation of Carrageenan (E 407) and Processed Eucheuma Seaweed (E 407a) as Food Additives. EFSA J. 2018, 16, e05238. [Google Scholar] [CrossRef]
- David, S.; Shani Levi, C.; Fahoum, L.; Ungar, Y.; Meyron-Holtz, E.G.; Shpigelman, A.; Lesmes, U. Revisiting the Carrageenan Controversy: Do We Really Understand the Digestive Fate and Safety of Carrageenan in Our Foods? Food Funct. 2018, 9, 1344–1352. [Google Scholar] [CrossRef] [PubMed]
- EFSA Panel on Food Additives and Nutrient Sources added to Food (ANS); Mortensen, A.; Aguilar, F.; Crebelli, R.; Di Domenico, A.; Dusemund, B.; Frutos, M.J.; Galtier, P.; Gott, D.; Gundert-Remy, U.; et al. Re-Evaluation of Potassium Nitrite (E 249) and Sodium Nitrite (E 250) as Food Additives. EFSA J. 2017, 15, e04786. [Google Scholar] [CrossRef]
- Sadig, R.E.l.; Wu, J. Are Novel Plant-Based Meat Alternatives the Healthier Choice? Food Res. Int. 2024, 183, 963–9969. [Google Scholar] [CrossRef] [PubMed]
- Bryant, C.J. Plant-Based Animal Product Alternatives Are Healthier and More Environmentally Sustainable than Animal Products. Future Foods 2022, 6, 100174. [Google Scholar] [CrossRef]
- BMEL (Bundesministerium für Ernährung und Landwirtschaft) Internationale Zusammenarbeit Beim Nutri-Score. Available online: https://www.bmel.de/DE/themen/ernaehrung/lebensmittel-kennzeichnung/freiwillige-angaben-und-label/nutri-score/nutri-score-coen-berichte.html (accessed on 29 November 2024).




| Main Category | Subcategory | Examples |
|---|---|---|
| Meat analogues | Minced analogues | minced meat, burger patties, meatballs, cevapcici |
| Chicken analogues | chicken-style strips, filets, chunks, skewers, cold cuts | |
| Breaded analogues | nuggets, schnitzels, cordon bleu | |
| Red meat analogues | steak, fillet, medallion, roast beef, kebab (döner), gyros | |
| Sausage analogues | Bratwurst analogues | bratwurst, grilled sausage, currywurst |
| Cooked sausage analogues | bologna, mortadella, lyoner, hot dogs, Leberkäse | |
| Salami analogues | salami, chorizo | |
| Ham/bacon analogues | cooked ham, ham cubes, bacon, rolled fillet of ham | |
| Spreadable sausage analogues | liverwurst, teewurst, onion mett |
Disclaimer/Publisher’s Note: The statements, opinions and data contained in all publications are solely those of the individual author(s) and contributor(s) and not of MDPI and/or the editor(s). MDPI and/or the editor(s) disclaim responsibility for any injury to people or property resulting from any ideas, methods, instructions or products referred to in the content. |
© 2025 by the authors. Licensee MDPI, Basel, Switzerland. This article is an open access article distributed under the terms and conditions of the Creative Commons Attribution (CC BY) license (https://creativecommons.org/licenses/by/4.0/).
Share and Cite
Brodersen, L.; Rimbach, G.; Seidel, U.; Rinne, P.; Hasler, M.; Bosy-Westphal, A.; Jans, K. A Nutritional Evaluation of Plant-Based Meat and Sausage Analogues. Foods 2025, 14, 3674. https://doi.org/10.3390/foods14213674
Brodersen L, Rimbach G, Seidel U, Rinne P, Hasler M, Bosy-Westphal A, Jans K. A Nutritional Evaluation of Plant-Based Meat and Sausage Analogues. Foods. 2025; 14(21):3674. https://doi.org/10.3390/foods14213674
Chicago/Turabian StyleBrodersen, Leah, Gerald Rimbach, Ulrike Seidel, Pia Rinne, Mario Hasler, Anja Bosy-Westphal, and Katharina Jans. 2025. "A Nutritional Evaluation of Plant-Based Meat and Sausage Analogues" Foods 14, no. 21: 3674. https://doi.org/10.3390/foods14213674
APA StyleBrodersen, L., Rimbach, G., Seidel, U., Rinne, P., Hasler, M., Bosy-Westphal, A., & Jans, K. (2025). A Nutritional Evaluation of Plant-Based Meat and Sausage Analogues. Foods, 14(21), 3674. https://doi.org/10.3390/foods14213674

