Oxidative Stability of Virgin Avocado Oil Enriched with Avocado Leaves and Olive-Fruit-Processing By-Products (Leaves, Pomace) via Ultrasound-Assisted Maceration
Abstract
1. Introduction
2. Materials and Methods
2.1. Chemicals and Standards
2.2. Plant Materials
2.3. Virgin Avocado Oil Extraction
2.4. VAO Fortification Treatments
2.5. Attenuated Total Reflectance—Fourier-Transform Infrared (ATR-FTIR) Spectroscopy
2.6. Basic Quality Parameters of Oils
2.7. Oxidative Stability of Oils
2.8. Antioxidant Activity (AA) Assays
2.9. Chemical Composition Analyses
2.9.1. UV–Vis-Based Assays
Total Phenolic Content (TPC) and Total Flavonoid Content (TFC)
Total Chlorophyll and Carotenoid Contents
2.9.2. GC-FID Analysis
Fatty Acid Composition
2.9.3. HPLC-Based Assays
Identification and Quantification of Phenolic Compounds
Tocopherol and Pigment Contents
Triterpenic Acid Content
2.10. Sensory-Based Attributes
2.10.1. CIELab Color Evaluation
2.10.2. GC-MS Analysis of Volatile Organic Compounds (VOCs)
2.11. Statistical and Principal Component Analysis (PCA)
3. Results
3.1. Chemical Composition and Antioxidant Activity of Leaf and Pomace Materials
3.2. FT-IR Analysis of Enriched Oils
3.3. Quality Parameters
3.4. Oxidative Stability
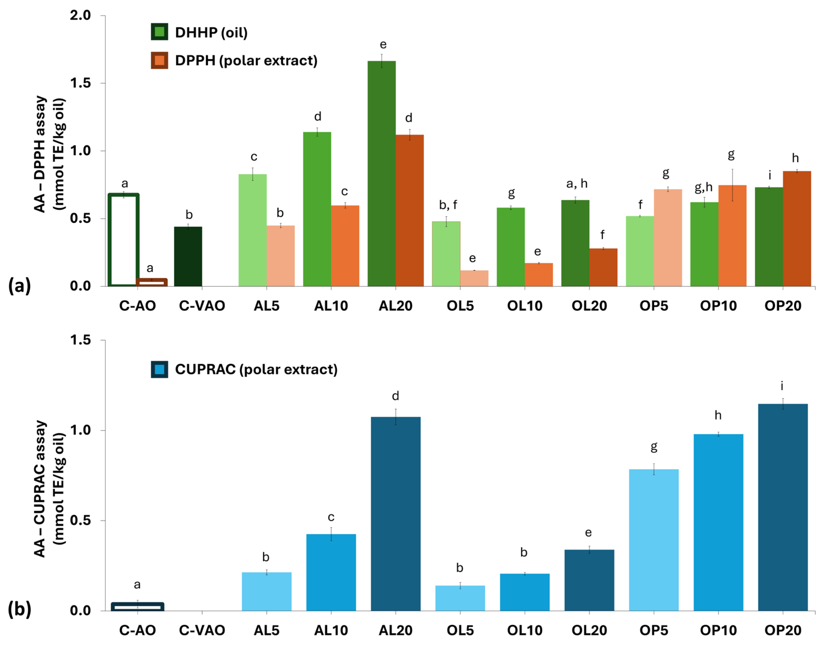
3.5. Antioxidant Activity
3.6. Chemical Composition
3.6.1. Fatty Acid Content and Oxidative Susceptibility
3.6.2. Phenolic Compound and Triterpenic Acid Contents
3.6.3. Tocopherol Content
3.6.4. Carotenoid and Chlorophyll Contents and Profiles
3.7. Contribution of Chemical Composition to the OSI and AA of the Oils
3.8. Color and VOC Profile
3.8.1. Color
3.8.2. VOC Profile
4. Conclusions
Supplementary Materials
Author Contributions
Funding
Institutional Review Board Statement
Informed Consent Statement
Data Availability Statement
Acknowledgments
Conflicts of Interest
References
- Stefanidis, S.; Ordoudi, S.A.; Nenadis, N.; Pyrka, I. Improving the Functionality of Virgin and Cold-Pressed Edible Vegetable Oils: Oxidative Stability, Sensory Acceptability and Safety Challenges. Food Res. Int. 2023, 174, 113599. [Google Scholar] [CrossRef] [PubMed]
- Aktar, T.; Adal, E. Determining the Arrhenius Kinetics of Avocado Oil: Oxidative Stability under Rancimat Test Conditions. Foods 2019, 8, 236. [Google Scholar] [CrossRef] [PubMed]
- Green, H.S.; Wang, S.C. Extra Virgin Grade Avocado Oil Can Be Achieved Using Whole Fruits or Only Mesocarp. Appl. Food Res. 2022, 2, 100190. [Google Scholar] [CrossRef]
- Woolf, A.; Wong, M.; Eyres, L.; McGhie, T.; Lund, C.; Olsson, S.; Wang, Y.; Bulley, C.; Wang, M.; Friel, E.; et al. Avocado Oil. In Gourmet and Health-Promoting Specialty Oils; AOCS Press: Champaign, IL, USA, 2009; pp. 73–125. [Google Scholar] [CrossRef]
- Flores, M.A.; Perez-Camino, M.D.C.; Troca, J. Preliminary studies on composition, quality and oxidative stability of commercial avocado oil produced in Chile. J. Food Sci. 2014, 4, 21. [Google Scholar]
- Green, H.S.; Wang, S.C. Evaluation of Proposed CODEX Purity Standards for Avocado Oil. Food Control 2023, 143, 109277. [Google Scholar] [CrossRef]
- Rojas-García, A.; Fuentes, E.; Cádiz-Gurrea, M.d.l.L.; Rodriguez, L.; Villegas-Aguilar, M.d.C.; Palomo, I.; Arráez-Román, D.; Segura-Carretero, A. Biological Evaluation of Avocado Residues as a Potential Source of Bioactive Compounds. Antioxidants 2022, 11, 1049. [Google Scholar] [CrossRef]
- Jiménez, P.; García, P.; Bustamante, A.; Barriga, A.; Robert, P. Thermal stability of oils added with avocado (Persea americana cv. Hass) or olive (Olea europaea cv. Arbequina) leaf extracts during the French potatoes frying. Food Chem. 2017, 221, 123–129. [Google Scholar] [CrossRef]
- Pyrka, I.; Koutra, C.; Siderakis, V.; Stathopoulos, P.; Skaltsounis, A.-L.; Nenadis, N. Exploring the Bioactive Content of Liquid Waste and Byproducts Produced by Two-Phase Olive Mills in Laconia (Greece): Is There a Prospect for Added-Value Applications? Foods 2023, 12, 4421. [Google Scholar] [CrossRef]
- Ribeiro, T.B.; Oliveira, A.; Coelho, M.; Veiga, M.; Costa, E.M.; Silva, S.; Nunes, J.; Vicente, A.A.; Pintado, M. Are olive pomace powders a safe source of bioactives and nutrients? J. Sci. Food Agric. 2021, 101, 1963–1978. [Google Scholar] [CrossRef]
- Pyrka, I.; Mantzouridou, F.T.; Nenadis, N. Optimization of Olive Leaves’ Thin Layer, Intermittent near-Infrared-Drying. IFSET 2023, 84, 103264. [Google Scholar] [CrossRef]
- Anonymous. European Pharmacopoeia, 5th ed.; Council of Europe: Strasbourg, France, 2009; Volume 2. [Google Scholar]
- American Oil Chemist’s Society. Official Methods and Recommended Practices of the American Oil Chemists’ Society, 5th ed.; American Oil Chemists’ Society: Champaign, IL, USA, 1998. [Google Scholar]
- Bersuder, P.; Hole, M.; Smith, G. Antioxidants from a Heated Histidine-glucose Model System. I: Investigation of the Antioxidant Role of Histidine and Isolation of Antioxidants by High-performance Liquid Chromatography. J. Am. Oil Chem. Soc. 1998, 75, 181–187. [Google Scholar] [CrossRef]
- Papoti, V.T.; Tsimidou, M.Z. Looking through the Qualities of a Fluorimetric Assay for the Total Phenol Content Estimation in Virgin Olive Oil, Olive Fruit or Leaf Polar Extract. Food Chem. 2009, 112, 246–252. [Google Scholar] [CrossRef]
- Nenadis, N.; Tsimidou, M. Observations on the Estimation of Scavenging Activity of Phenolic Compounds Using Rapid 1,1-diphenyl-2-picrylhydrazyl (DPPH•) Tests. JAOCS 2002, 79, 1191. [Google Scholar] [CrossRef]
- Apak, R.; Güçlü, K.; Özyürek, M.; Karademir, S.E. Novel Total Antioxidant Capacity Index for Dietary Polyphenols and Vitamins C and E, Using Their Cupric Ion Reducing Capability in the Presence of Neocuproine: CUPRAC Method. J. Agric. Food Chem. 2004, 52, 7970–7981. [Google Scholar] [CrossRef]
- Cvek, J.; Medić-Šarić, M.; Jasprica, I.; Zubčić, S.; Vitali, D.; Mornar, A.; Vedrina-Dragojević, I.; Tomić, S. Optimisation of an Extraction Procedure and Chemical Characterisation of Croatian Propolis Tinctures. Phytochem. Anal. 2007, 18, 451–459. [Google Scholar] [CrossRef]
- Minguez-Mosquera, M.I.; Rejano-Navarro, L.; Gandul-Rojas, B.; SanchezGomez, A.H.; Garrido-Fernandez, J. Color-pigment Correlation in Virgin Olive Oil. J. Am. Oil Chem. Soc. 1991, 68, 332–336. [Google Scholar] [CrossRef]
- European Commission (EC). Regulation (EEC) No 2568/91 of 11 July 1991 on the Characteristics of Olive Oil and Olive-Residue Oil and on the Relevant Methods of Analysis; OJEU: Aberdeen, UK, 1991; Volume L 248, pp. 1–83. [Google Scholar]
- Cert, A.; Alba, J.; León-Camacho, M.; Moreda, W.; Pérez-Camino, M.C. Effects of Talc Addition and Operating Mode on the Quality and Oxidative Stability of Virgin Olive Oils Obtained by Centrifugation. J. Agric. Food Chem. 1996, 44, 3930–3934. [Google Scholar] [CrossRef]
- Cano, M.P.; Gómez-Maqueo, A.; Welti-Chanes, J.; García-Cayuela, T. Characterization of Carotenoid and Carotenoid Esters of Astringent Persimmon Tissues (Diospyros Kaki Thunb. Var. Rojo brillante). Effects of Thermal and High Pressure Non-Thermal Processing. Preprints 2018. [Google Scholar] [CrossRef]
- Olmo-García, L.; Bajoub, A.; Monasterio, R.P.; Fernández-Gutiérrez, A.; Carrasco-Pancorbo, A. Development and Validation of LC-MS-Based Alternative Methodologies to GC–MS for the Simultaneous Determination of Triterpenic Acids and Dialcohols in Virgin Olive Oil. Food Chem. 2018, 239, 631–639. [Google Scholar] [CrossRef]
- Romero, C.; Medina, E.; Mateo, M.A.; Brenes, M. New by-products rich in bioactive substances from the olive oil mill processing. J. Sci. Food Agric. 2018, 98, 225–230. [Google Scholar] [CrossRef]
- E-Paint. Available online: https://www.e-paint.co.uk/convert-lab.asp (accessed on 23 January 2024).
- Lioupi, A.; Sampsonidis, I.; Virgiliou, C.; Papoti, V.T.; Zinoviadou, K.G.; Spyros, A.; Theodoridis, G. Optimisation of the HS-SPME/GC-MS Approach by Design of Experiments Combined with Chemometrics for the Classification of Cretan Virgin Olive Oils. Metabolites 2022, 12, 114. [Google Scholar] [CrossRef] [PubMed]
- Torres, A.M.; Mau-Lastovicka, T.; Rezaaiyan, R. Total Phenolics and High-Performance Liquid Chromatography of Phenolic Acids of Avocado. J. Agric. Food Chem. 1987, 35, 921–925. [Google Scholar] [CrossRef]
- Liu, Y.; McKeever, L.C.; Malik, N.S.A. Assessment of the Antimicrobial Activity of Olive Leaf Extract Against Foodborne Bacterial Pathogens. Front. Microbiol. 2017, 8, 113. [Google Scholar] [CrossRef]
- Wu, T.; Liu, Y.; Dong, H.; Ai, C.; Sun, L. Rapid Identification of Chemical Constituents of Chaihu-jia-Longgu-Muli Decoction Based on Ultra-performance Liquid Chromatography-quadrupole Time-of-flight Mass Spectrometry Coupled with the UNIFI Platform. Sep. Sci. PLUS 2023, 6, 2300103. [Google Scholar] [CrossRef]
- Allouche, Y.; Warleta, F.; Campos, M.; Sánchez-Quesada, C.; Uceda, M.; Beltrán, G.; Gaforio, J.J. Antioxidant, Antiproliferative, and Pro-Apoptotic Capacities of Pentacyclic Triterpenes Found in the Skin of Olives on MCF-7 Human Breast Cancer Cells and Their Effects on DNA Damage. J. Agric. Food Chem. 2011, 59, 121–130. [Google Scholar] [CrossRef] [PubMed]
- Papadopoulos, G.; Boskou, D. Antioxidant effect of natural phenols on olive oil. J. Am. Oil Chem. Soc. 1991, 68, 669–671. [Google Scholar] [CrossRef]
- Archundia Velarde, E.D.; Pinzón Martínez, D.L.; Salem, A.Z.M.; Mendoza García, P.G.; Mariezcurrena Berasain, M.D. Antioxidant and Antimicrobial Capacity of Three Agroindustrial Residues as Animal Feeds. Agrofor. Syst. 2020, 94, 1393–1402. [Google Scholar] [CrossRef]
- Ordoudi, S.A.; Strani, L.; Cocchi, M. Toward the Non-Targeted Detection of Adulterated Virgin Olive Oil with Edible Oils via FTIR Spectroscopy & Chemometrics: Research Methodology Trends, Gaps and Future Perspectives. Molecules 2023, 28, 337. [Google Scholar] [CrossRef]
- Dymińska, L.; Calik, M.; Albegar, A.M.M.; Zając, A.; Kostyń, K.; Lorenc, J.; Hanuza, J. Quantitative Determination of the Iodine Values of Unsaturated Plant Oils Using Infrared and Raman Spectroscopy Methods. Int. J. Food Prop. 2017, 20, 2003–2015. [Google Scholar] [CrossRef]
- Socrates, G. Infrared and Raman Characteristic Group Frequencies, 3rd ed.; John Wiley and Sons, Ltd.: Hoboken, NJ, USA, 2004; Volume 35, ISBN 978-0-470-09307-8. [Google Scholar]
- Green, H.S.; Wang, S.C. First Report on Quality and Purity Evaluations of Avocado Oil Sold in the US. Food Control 2020, 116, 107328. [Google Scholar] [CrossRef]
- Codex Alimentarius. Report of the 27th Session of the Codex Committee on Fats and Oils. Proposed Draft Revision to the Standard for Named Vegetable Oils (CXS 210-1999)–Inclusion of Avocado Oil. 1–3 October 2021. Available online: https://www.fao.org/fao-who-codexalimentarius/sh-proxy/en/?lnk=1&url=https%253A%252F%252Fworkspace.fao.org%252Fsites%252Fcodex%252FMeetings%252FCX-709-27%252FWorking%2Bdocuments%252Ffo27_05e.pdf (accessed on 23 January 2024).
- Ramírez-Anaya, J.d.P.; Manzano-Hernandez, A.J.; Tapia-Campos, E.; Alarcon-Dominguez, K.; Castaneda-Saucedo, M.C. Influence of temperature and time during malaxation on fatty acid profile and oxidation of centrifuged avocado oil. Food Sci. Technol. 2018, 38, 223–230. [Google Scholar] [CrossRef]
- Elez-Martinez, P.; Soliva-Fortuny, R.C.; Gorinstein, S.; Martin-Belloso, O. Natural Antioxidants Preserve the Lipid Oxidative Stability of Minimally Processed Avocado Purée. J. Food Sci. 2005, 70, 325–329. [Google Scholar] [CrossRef]
- Lamas, S.; Rodrigues, N.; Peres, A.M.; Pereira, J.A. Flavoured and Fortified Olive Oils—Pros and Cons. Trends Food Sci. Technol. 2022, 124, 108–127. [Google Scholar] [CrossRef]
- Flores, M.; Reyes-García, L.; Ortiz-Viedma, J.; Romero, N.; Vilcanqui, Y.; Rogel, C.; Echeverría, J.; Forero-Doria, O. Thermal Behavior Improvement of Fortified Commercial Avocado (Persea americana Mill.) Oil with Maqui (Aristotelia chilensis) Leaf Extracts. Antioxidants 2021, 10, 664. [Google Scholar] [CrossRef]
- Baccouri, B.; Rajhi, I.; Theresa, S.; Najjar, Y.; Mohamed, S.N.; Willenberg, I. The Potential of Wild Olive Leaves (Olea europaea L. Subsp. Oleaster) Addition as a Functional Additive in Olive Oil Production: The Effects on Bioactive and Nutraceutical Compounds Using LC–ESI–QTOF/MS. Eur. Food Res. Technol. 2022, 248, 2809–2823. [Google Scholar] [CrossRef]
- Arfaoui, M.; Boulares, M.; Bezzezi, A.; Ayachi, S.; Ghrab, M.; Jouini, N.E.; Hassouna, M.; Boudiche, S. Effect of the enrichment with natural antioxidants obtained by maceration or ultrasound-assisted extraction from olive leaves on organic extra virgin olive oil. RISG 2022, 99, 121–129. [Google Scholar]
- Jahouach-Rabai, W.; Trabelsi, M.; Van Hoed, V.; Adams, A.; Verhé, R.; De Kimpe, N.; Frikha, M.H. Influence of bleaching by ultrasound on fatty acids and minor compounds of olive oil. Qualitative and quantitative analysis of volatile compounds (by SPME coupled to GC/MS). Ultrason. Sonochem. 2008, 15, 590–597. [Google Scholar] [CrossRef]
- Japón-Luján, R.; Janeiro, P.; Luque De Castro, M.D. Solid−Liquid Transfer of Biophenols from Olive Leaves for the Enrichment of Edible Oils by a Dynamic Ultrasound-Assisted Approach. J. Agric. Food Chem. 2008, 56, 7231–7235. [Google Scholar] [CrossRef]
- Achat, S.; Tomao, V.; Madani, K.; Chibane, M.; Elmaataoui, M.; Dangles, O.; Chemat, F. Direct Enrichment of Olive Oil in Oleuropein by Ultrasound-Assisted Maceration at Laboratory and Pilot Plant Scale. Ultrason. Sonochem. 2012, 19, 777–786. [Google Scholar] [CrossRef]
- Karković Marković, A.; Torić, J.; Barbarić, M.; Jakobušić Brala, C. Hydroxytyrosol, Tyrosol and Derivatives and Their Potential Effects on Human Health. Molecules 2019, 24, 2001. [Google Scholar] [CrossRef]
- Papadaki, E.; Tsimidou, M.Z. Edible Oils from Olive Drupes as a Source of Bioactive Pentacyclic Triterpenes. Is There a Prospect for a Health Claim Authorization? Food Chem. 2022, 381, 132286. [Google Scholar] [CrossRef] [PubMed]
- Orozco, M.I.; Priego-Capote, F.; Luque De Castro, M.D. Influence of Deep Frying on the Unsaponifiable Fraction of Vegetable Edible Oils Enriched with Natural Antioxidants. J. Agric. Food Chem. 2011, 59, 7194–7202. [Google Scholar] [CrossRef] [PubMed]
- Psomiadou, E.; Karakostas, K.X.; Blekas, G.; Tsimidou, M.Z.; Boskou, D. Proposed Parameters for Monitoring Quality of Virgin Olive Oil (Koroneiki Cv). Eur. J. Lipid Sci. Technol. 2003, 105, 403–409. [Google Scholar] [CrossRef]
- Tan, C.X.; Chong, G.H.; Hamzah, H.; Ghazali, H.M. Characterization of Virgin Avocado Oil Obtained via Advanced Green Techniques. Eur. J. Lipid Sci. Technol. 2018, 120, 1800170. [Google Scholar] [CrossRef]
- Kalogeropoulos, N.; Tsimidou, M. Antioxidants in Greek Virgin Olive Oils. Antioxidants 2014, 3, 387–413. [Google Scholar] [CrossRef]
- Santana, I.; Castelo-Branco, V.N.; Guimarães, B.M.; Silva, L.D.O.; Peixoto, V.O.D.S.; Cabral, L.M.C.; Freitas, S.P.; Torres, A.G. Hass Avocado (Persea americana Mill.) Oil Enriched in Phenolic Compounds and Tocopherols by Expeller-Pressing the Unpeeled Microwave Dried Fruit. Food Chem. 2019, 286, 354–361. [Google Scholar] [CrossRef]
- Nenadis, N.; Moutafidou, A.; Gerasopoulos, D.; Tsimidou, M.Z. Quality Characteristics of Olive Leaf-olive Oil Preparations. Eur. J. Lipid Sci. Technol. 2010, 112, 1337–1344. [Google Scholar] [CrossRef]
- Gracia, I.; Rodríguez, J.F.; De Lucas, A.; Fernandez-Ronco, M.P.; García, M.T. Optimization of Supercritical CO2 Process for the Concentration of Tocopherol, Carotenoids and Chlorophylls from Residual Olive Husk. J. Supercrit. Fluids 2011, 59, 72–77. [Google Scholar] [CrossRef]
- Frankel, N. Lipid Oxidation, 2nd ed.; The Oily Press Ltd.: Dundee, Scotland, 2005. [Google Scholar]
- Psomiadou, E.; Tsimidou, M. Pigments in Greek Virgin Olive Oils: Occurrence and Levels. J. Sci. Food Agric. 2001, 81, 640–647. [Google Scholar] [CrossRef]
- Martins, T.; Barros, A.N.; Rosa, E.; Antunes, L. Enhancing Health Benefits through Chlorophylls and Chlorophyll-Rich Agro-Food: A Comprehensive Review. Molecules 2023, 28, 5344. [Google Scholar] [CrossRef]
- Malheiro, R.; Casal, S.; Teixeira, H.; Bento, A.; Pereira, J.A. Effect of Olive Leaves Addition during the Extraction Process of Overmature Fruits on Olive Oil Quality. Food Bioprocess Technol. 2013, 6, 509–521. [Google Scholar] [CrossRef]
- Pathare, P.B.; Opara, U.L.; Al-Said, F.A.-J. Colour Measurement and Analysis in Fresh and Processed Foods: A Review. Food Bioprocess Technol. 2013, 6, 36–60. [Google Scholar] [CrossRef]
- Guzmán-Gerónimo, R.I.; López, M.G.; Dorantes-Alvarez, L. Microwave processing of avocado: Volatile flavor profiling and olfatometry. Innov. Food Sci. Emerg. Technol. 2008, 9, 501–506. [Google Scholar] [CrossRef]
- Sagrero-Nieves, L.; Bartley, J.P. Volatile Components of Avocado Leaves (Persea americana Mill) from the Mexican Race. J. Sci. Food Agric. 1995, 67, 49–51. [Google Scholar] [CrossRef]
- Poivre, M.; Nachtergael, A.; Bunel, V.; Philippe, O.N.; Duez, P. Genotoxicity and Carcinogenicity of Herbal Products. In Toxicology of Herbal Products; Pelkonen, O., Duez, P., Vuorela, P.M., Vuorela, H., Eds.; Springer International Publishing: Cham, Switzerland, 2017; pp. 179–215. [Google Scholar] [CrossRef]
- European Medicines Agency. Annual Report 2023; Publications Office of the European Union: Luxembourg, 2024; Available online: https://www.ema.europa.eu/en/documents/annual-report/2023-annual-report-european-medicines-agency_en.pdf (accessed on 23 January 2024).
- European Medicined Agency. Public Statement on the Use of Herbal Medicinal Products Containing Estragole. Available online: https://www.ema.europa.eu/en/documents/other/public-statement-use-herbal-medicinal-products-containing-estragole-revision-1_en.pdf (accessed on 23 January 2024).
- Huang, Y.; Zhang, Y.; Qi, Y.; Yu, Y.; Yu, W. Identification of Odorous Constituents of Bamboo during Thermal Treatment. Constr. Build. Mater. 2019, 203, 104–110. [Google Scholar] [CrossRef]
- Kiritsakis, A.K. Flavor Components of Olive Oil—A Review. J. Am. Oil Chem. Soc. 1998, 75, 673–681. [Google Scholar] [CrossRef]
- Christofi, A.; Fella, P.; Agapiou, A.; Barampouti, E.M.; Mai, S.; Moustakas, K.; Loizidou, M. The Impact of Drying and Storage on the Characteristics of Two-Phase Olive Pomace. Sustainability 2024, 16, 1116. [Google Scholar] [CrossRef]
- Cecchi, L.; Migliorini, M.; Giambanelli, E.; Cane, A.; Mulinacci, N.; Zanoni, B. Volatile Profile of Two-Phase Olive Pomace (Alperujo) by HS-SPME-GC–MS as a Key to Defining Volatile Markers of Sensory Defects Caused by Biological Phenomena in Virgin Olive Oil. J. Agric. Food Chem. 2021, 69, 5155–5166. [Google Scholar] [CrossRef]






| AL | OL | OP | |
|---|---|---|---|
| Colorimetry | |||
| TPC (g GAE/kg dw) | 73.78 ± 5.11 | 53.24 ± 1.33 | 16.28 ± 3.62 |
| TFC (g QUE/kg dw) | 3.92 ± 0.21 | 10.17 ± 0.33 | 0.61 ± 0.01 |
| HPLC analysis | |||
| Oleuropein (g/kg dw) | ND | 53.18 ± 0.26 | ND |
| Luteolin-7-O-glucoside (g/kg dw) | ND | 3.33 ± 0.00 | ND |
| Total flavonoids (g LUTE/kg dw) | 5.01 ± 0.00 | 7.45 ± 0.71 | ND |
| Chlorogenic acid (g/kg dw) | 13.56 ± 0.04 | ND | ND |
| Verbascoside (g CHAE/kg dw) | ND | 3.86 ± 0.05 | ND |
| Hydroxytyrosol (g/kg dw) | ND | ND | 3.21 ± 0.03 |
| Tyrosol (g/kg dw) | ND | ND | 1.15 ± 0.00 |
| Maslinic acid (g/kg dw) | ND | 4.54 ± 0.05 | 6.05 ± 0.01 |
| Oleanolic acid (g/kg dw) | ND | 17.49 ± 0.28 | 1.80 ± 0.03 |
| Antioxidant activity | |||
| AA (DPPH, mol TE/kg dw) | 0.56 ± 0.01 | 0.25 ± 0.01 | 0.09 ± 0.01 |
| AA (CUPRAC, mol TE/kg dw) | 0.55 ± 0.01 | 0.46 ± 0.06 | 0.17 ± 0.01 |
| Sample | Free Fatty Acid (FFA) Content (% Oleic Acid) | Peroxide Value (PV) (meq O2/kg Oil) | K232 | K270 |
|---|---|---|---|---|
| C-AO | 0.93 ± 0.03 a | 5.86 ± 0.47 a | 1.72 ± 0.02 a | 0.18 ± 0.01 a |
| C-VAO | 0.22 ± 0.00 b | 1.74 ± 0.26 b | 2.23 ± 0.00 b | 0.24 ± 0.00 b |
| AL5 | 0.30 ± 0.03 c | 2.93 ± 0.05 c,d | 1.94 ± 0.06 c | 0.30 ± 0.06 c |
| AL10 | 0.37 ± 0.03 d,e | 2.44 ± 0.48 c,d | 2.16 ± 0.02 d | 0.42 ± 0.01 d |
| AL20 | 0.43 ± 0.03 e,f | 2.73 ± 0.28 c,d | 2.72 ± 0.01 e | 0.76 ± 0.01 e |
| OL5 | 0.35 ± 0.03 c,d | 2.45 ± 0.49 c,d | 1.61 ± 0.00 f | 0.12 ± 0.00 f |
| OL10 | 0.35 ± 0.03 c,d | 1.58 ± 0.22 b | 1.87 ± 0.02 g | 0.19 ± 0.00 a |
| OL20 | 0.35 ± 0.03 c,d | 3.94 ± 0.48 e | 2.08 ± 0.03 h | 0.28 ± 0.02 b,c |
| OP5 | 0.37 ± 0.03 d,e | 2.13 ± 0.28 b,d | 1.85 ± 0.00 g | 0.24 ± 0.00 b |
| OP10 | 0.43 ± 0.03 e,f | 1.64 ± 0.28 b | 1.86 ± 0.04 g | 0.29 ± 0.03 b |
| OP20 | 0.48 ± 0.03 f | 2.81 ± 0.28 c,d | 2.00 ± 0.04 i | 0.35 ± 0.04 g |
| Sample | Induction Period, IP (h) | Predicted Induction Period, p-IP (months, 20 °C) | Protection Factor, PF |
|---|---|---|---|
| C-AO | 20.28 ± 0.27 a | 14.42 ± 0.19 a | - |
| C-VAO | 19.42 ± 0.18 b | 13.81 ± 0.13 b | - |
| AL5 | 22.17 ± 0.57 c | 15.77 ± 0.40 c | 1.14 ± 0.03 a |
| AL10 | 22.68 ± 0.40 c | 16.13 ± 0.28 c | 1.17 ± 0.02 a |
| AL20 | 24.27 ± 0.36 d | 17.26 ± 0.26 d | 1.25 ± 0.02 b |
| OL5 | 22.29 ± 0.07 c | 15.85 ± 0.05 c | 1.15 ± 0.00 a |
| OL10 | 25.40 ± 0.18 e | 18.06 ± 0.13 e | 1.31 ± 0.01 c |
| OL20 | 29.11 ± 0.21 f | 20.70 ± 0.15 f | 1.50 ± 0.01 d |
| OP5 | 26.30 ± 0.14 g | 18.70 ± 0.10 g | 1.35 ± 0.01 e |
| OP10 | 29.44 ± 0.64 f | 20.93 ± 0.45 f | 1.52 ± 0.03 d |
| OP20 | 31.35 ± 0.58 h | 22.29 ± 0.41 h | 1.61 ± 0.03 f |
| C-AO | C-VAO | AL5 | AL10 | AL20 | OL5 | OL10 | OL20 | OP5 | OP10 | OP20 | |
|---|---|---|---|---|---|---|---|---|---|---|---|
| SFA | 16.73 | 15.86 | 16.14 | 15.80 | 16.08 | 16.21 | 15.96 | 15.94 | 16.10 | 15.81 | 15.85 |
| MUFA | 73.53 | 75.32 | 75.64 | 75.82 | 75.06 | 75.85 | 75.51 | 75.13 | 76.04 | 75.92 | 75.43 |
| PUFA | 9.74 | 8.83 | 8.22 | 8.38 | 8.85 | 7.94 | 8.54 | 8.93 | 7.86 | 8.27 | 8.72 |
| TUFA | 83.27 | 84.15 | 83.86 | 84.20 | 83.92 | 83.79 | 84.04 | 84.06 | 83.90 | 84.19 | 84.15 |
| PUFA/SFA | 0.58 | 0.56 | 0.51 | 0.53 | 0.55 | 0.49 | 0.54 | 0.56 | 0.49 | 0.52 | 0.55 |
| TUFA/SFA | 4.98 | 5.31 | 5.20 | 5.33 | 5.22 | 5.17 | 5.27 | 5.27 | 5.21 | 5.33 | 5.31 |
| OS | 537.2 | 490.2 | 458.2 | 467.5 | 492.4 | 442.8 | 474.9 | 496.1 | 442.0 | 460.9 | 484.0 |
| Sample | α-Tocopherol | γ-Tocopherol | δ-Tocopherol | Total Tocopherols |
|---|---|---|---|---|
| C-AO | 208.08 ± 10.18 a | 74.14 ± 1.91 a | 66.19 ± 3.68 a | 348.41 ± 2.42 a |
| C-VAO | 125.42 ± 2.21 b | 34.25 ± 0.64 b | 36.74 ± 0.24 b,c,d | 196.41 ± 2.85 b |
| AL5 | 207.27 ± 2.00 a | 39.01 ± 0.21 c | 37.88 ± 0.78 c,d | 284.17 ± 8.68 c |
| AL10 | 306.92 ± 1.22 c | 48.50 ± 4.72 d | 40.57 ± 5.33 d | 395.99 ± 14.23 d |
| AL20 | 473.73 ± 12.94 d | 53.43 ± 1.22 e | 50.42 ± 1.81 e | 577.59 ± 1.94 e |
| OL5 | 125.79 ± 0.65 b | 33.07 ± 0.70 b | 37.44 ± 0.75 c,d | 196.30 ± 3.99 b |
| OL10 | 147.31 ± 0.94 e | 36.68 ± 1.18 c | 39.97 ± 3.87 d | 223.97 ± 1.02 f |
| OL20 | 154.05 ± 0.59 e | 33.27 ± 0.66 b | 38.54 ± 1.02 c,d | 225.86 ± 3.79 f |
| OP5 | 132.19 ± 2.62 b,f | 33.21 ± 0.79 b | 35.27 ± 0.74 b,c | 200.66 ± 2.87 b |
| OP10 | 134.44 ± 2.55 b,f | 31.66 ± 0.13 b,f | 34.93 ± 0.41 b,c | 201.03 ± 1.42 b |
| OP20 | 135.29 ± 0.52 f | 29.26 ± 1.05 f | 33.23 ± 0.1 b | 197.79 ± 0.00 b |
Disclaimer/Publisher’s Note: The statements, opinions and data contained in all publications are solely those of the individual author(s) and contributor(s) and not of MDPI and/or the editor(s). MDPI and/or the editor(s) disclaim responsibility for any injury to people or property resulting from any ideas, methods, instructions or products referred to in the content. |
© 2025 by the authors. Licensee MDPI, Basel, Switzerland. This article is an open access article distributed under the terms and conditions of the Creative Commons Attribution (CC BY) license (https://creativecommons.org/licenses/by/4.0/).
Share and Cite
Pyrka, I.; Stefanidis, S.; Ordoudi, S.A.; Lalou, S.; Nenadis, N. Oxidative Stability of Virgin Avocado Oil Enriched with Avocado Leaves and Olive-Fruit-Processing By-Products (Leaves, Pomace) via Ultrasound-Assisted Maceration. Foods 2025, 14, 294. https://doi.org/10.3390/foods14020294
Pyrka I, Stefanidis S, Ordoudi SA, Lalou S, Nenadis N. Oxidative Stability of Virgin Avocado Oil Enriched with Avocado Leaves and Olive-Fruit-Processing By-Products (Leaves, Pomace) via Ultrasound-Assisted Maceration. Foods. 2025; 14(2):294. https://doi.org/10.3390/foods14020294
Chicago/Turabian StylePyrka, Ioanna, Stavros Stefanidis, Stella A. Ordoudi, Sofia Lalou, and Nikolaos Nenadis. 2025. "Oxidative Stability of Virgin Avocado Oil Enriched with Avocado Leaves and Olive-Fruit-Processing By-Products (Leaves, Pomace) via Ultrasound-Assisted Maceration" Foods 14, no. 2: 294. https://doi.org/10.3390/foods14020294
APA StylePyrka, I., Stefanidis, S., Ordoudi, S. A., Lalou, S., & Nenadis, N. (2025). Oxidative Stability of Virgin Avocado Oil Enriched with Avocado Leaves and Olive-Fruit-Processing By-Products (Leaves, Pomace) via Ultrasound-Assisted Maceration. Foods, 14(2), 294. https://doi.org/10.3390/foods14020294

