Mechanism for Improving Acid-Induced Hazelnut Protein Gels Through High-Pressure Homogenization: Effect on Structural, Rheological and Gelling Properties
Abstract
1. Introduction
2. Material and Methods
2.1. Materials
2.2. Hazelnut Protein Extraction and HPH Treatment
2.3. Acid Gelation with GDL
2.4. Acidification Kinetics
2.5. Particle Size and Zeta Potential
2.6. Fourier Transform Infrared Spectroscopy (FT-IR)
2.7. Intermolecular Force
2.8. Rheological Properties
2.8.1. Gel Formation
2.8.2. Steady Shear Tests
2.8.3. Dynamic Shear Tests
2.9. Water Holding Capacity (WHC)
2.10. Gel Strength
2.11. Physical Stability
2.12. Statistical Analyses
3. Results and Discussion
3.1. Acidification Kinetics
3.2. Gelation Kinetics
3.3. Particle Size Distribution and Zeta Potential
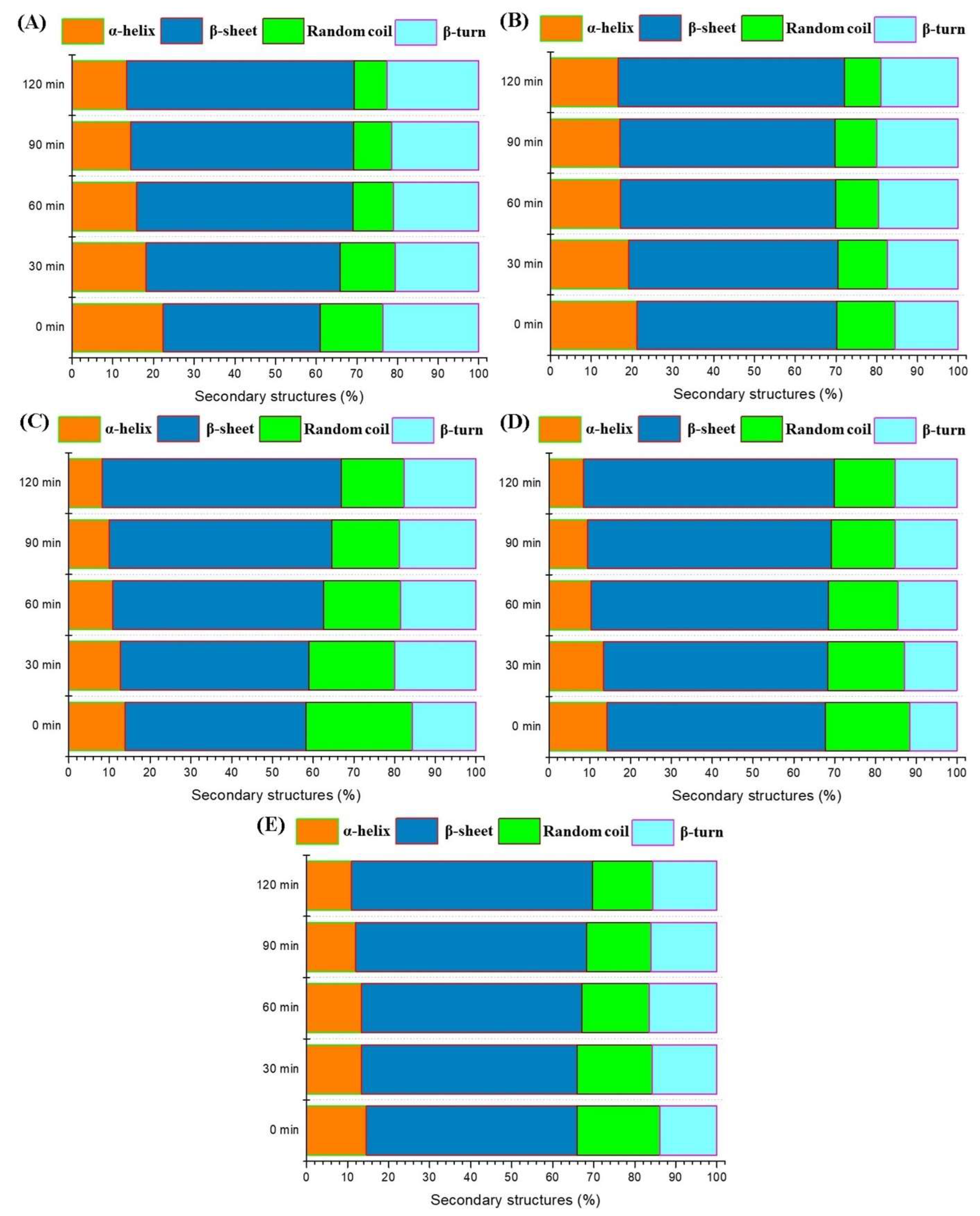
3.4. FT-IR
3.5. Intermolecular Forces
3.6. Rheological Behavior
3.6.1. Apparent Viscosity
3.6.2. Frequency Sweep
3.7. WHC and Gel Strength
3.8. Physical Stability
4. Conclusions
Author Contributions
Funding
Institutional Review Board Statement
Informed Consent Statement
Data Availability Statement
Conflicts of Interest
References
- Tang, H.; Chen, J.; Liu, B.; Tang, R.; Li, H.; Li, X.; Zou, L.; Shi, Q. Influence of dextrans on the textural, rheological, and microstructural properties of acid-induced faba bean protein gels. Food Chem. X 2024, 21, 101184. [Google Scholar] [CrossRef] [PubMed]
- Qi, Q.; Mu, Y.; Li, Y.; Wang, F.; Mao, Y.; Li, X.; Yan, X.; Li, J.; Zhao, C.; Liu, J. Effects of two types of corn starches on physicochemical and structural properties of red bean protein isolate acid-induced cold gels. J. Food Eng. 2024, 381, 112187. [Google Scholar] [CrossRef]
- De Kruif, C.G. Skim milk acidification. J. Colloid Interface Sci. 1997, 185, 19–25. [Google Scholar] [CrossRef] [PubMed]
- Wan, Y.; Li, Y.; Guo, S. Characteristics of soy protein isolate gel induced by glucono-δ-lactone: Effects of the protein concentration during preheating. Food Hydrocoll. 2021, 113, 106525. [Google Scholar] [CrossRef]
- Yang, X.; Ke, C.; Li, L. Physicochemical, rheological and digestive characteristics of soy protein isolate gel induced by lactic acid bacteria. J. Food Eng. 2021, 292, 110243. [Google Scholar] [CrossRef]
- Alasalvar, C.; Amaral, J.S.; Satır, G.; Shahidi, F. Lipid characteristics and essential minerals of native Turkish hazelnut varieties (Corylus avellana L.). Food Chem. 2009, 113, 919–925. [Google Scholar] [CrossRef]
- Gavilán-CuiCui, G.; Padilla-Contreras, D.; Manterola-Barroso, C.; Morina, F.; Meriño-Gergichevich, C. Antioxidant Performance in Hazelnut (Corylus avellana L.) Cultivars Shell Is Substantially Influenced by Season and Locality. Agronomy 2024, 14, 1412. [Google Scholar] [CrossRef]
- Zhao, J.; Wang, X.; Lin, H.; Lin, Z. Hazelnut and its by-products: A comprehensive review of nutrition, phytochemical profile, extraction, bioactivities and applications. Food Chem. 2023, 413, 135576. [Google Scholar] [CrossRef]
- Tas, N.G.; Yilmaz, C.; Gokmen, V. Investigation of serotonin, free and protein-bound tryptophan in Turkish hazelnut varieties and effect of roasting on serotonin content. Food Res. Int. 2019, 120, 865–871. [Google Scholar] [CrossRef]
- Atalar, I.; Gul, O.; Kurt, A.; Saricaoglu, F.T.; Genccelep, H. Effect of cold-pressed hazelnut cake incorporation on the quality characteristic of meat emulsion system and its potential application for frankfurter-type beef sausages. Food Sci. Technol. Int. 2024, 30, 329–339. [Google Scholar] [CrossRef]
- Saricaoglu, F.T.; Gul, O.; Besir, A.; Atalar, I. Effect of high pressure homogenization (HPH) on functional and rheological properties of hazelnut meal proteins obtained from hazelnut oil industry by-products. J. Food Eng. 2018, 233, 98–108. [Google Scholar] [CrossRef]
- Gul, O.; Gul, L.B.; Baskinci, T.; Parlak, M.E.; Saricaoglu, F.T. Influence of pH and ionic strength on the bulk and interfacial rheology and technofunctional properties of hazelnut meal protein isolate. Food Res. Int. 2023, 169, 112906. [Google Scholar] [CrossRef] [PubMed]
- Locatelli, M.; Coïsson, J.D.; Travaglia, F.; Bordiga, M.; Arlorio, M. Impact of roasting on identification of hazelnut (Corylus avellana L.) origin: A chemometric approach. J. Agric. Food Chem. 2015, 63, 7294–7303. [Google Scholar] [CrossRef] [PubMed]
- Luo, L.; Cheng, L.; Zhang, R.; Yang, Z. Impact of high-pressure homogenization on physico-chemical, structural, and rheological properties of quinoa protein isolates. Food Struct. 2022, 32, 100265. [Google Scholar] [CrossRef]
- Mir, N.A.; Riar, C.S.; Singh, S. Improvement in the functional properties of quinoa (Chenopodium quinoa) protein isolates after the application of controlled heat-treatment: Effect on structural properties. Food Struct. 2021, 28, 100189. [Google Scholar] [CrossRef]
- Baskinci, T.; Gul, O. Modifications to structural, techno-functional and rheological properties of sesame protein isolate by high pressure homogenization. Int. J. Biol. Macromol. 2023, 250, 126005. [Google Scholar] [CrossRef]
- Zhao, Y.; Yuan, Y.; Yuan, X.; Zhao, S.; Kang, Z.; Zhu, M.; He, H.; Ma, H. Physicochemical, conformational and functional changes of quinoa protein affected by high-pressure homogenization. LWT 2023, 173, 114343. [Google Scholar] [CrossRef]
- Zhang, A.; Wang, L.; Song, T.; Yu, H.; Wang, X.; Zhao, X.-H. Effects of high pressure homogenization on the structural and emulsifying properties of a vegetable protein: Cyperus esculentus L. LWT 2022, 153, 112542. LWT 2022, 153, 112542. [Google Scholar] [CrossRef]
- Han, T.; Wang, M.; Wang, Y.; Tang, L. Effects of high-pressure homogenization and ultrasonic treatment on the structure and characteristics of casein. LWT 2020, 130, 109560. [Google Scholar] [CrossRef]
- Wu, M.; He, X.; Feng, D.; Li, H.; Han, D.; Li, Q.; Zhao, B.; Li, N.; Liu, T.; Wang, J. The Effect of High Pressure Homogenization on the Structure of Dual-Protein and Its Emulsion Functional Properties. Foods 2023, 12, 3358. [Google Scholar] [CrossRef]
- Chen, W.; Ma, X.; Jin, W.; Wen, H.; Xu, G.; Xu, P.; Cheng, H. Effects of High-Pressure Homogenization on the Structure and Functional Properties of Solenaia oleivora Proteins. Foods 2024, 13, 2958. [Google Scholar] [CrossRef]
- Bi, C.-h.; Wang, P.-l.; Sun, D.-y.; Yan, Z.-m.; Liu, Y.; Huang, Z.-g.; Gao, F. Effect of high-pressure homogenization on gelling and rheological properties of soybean protein isolate emulsion gel. J. Food Eng. 2020, 277, 109923. [Google Scholar] [CrossRef]
- Sun, D.; Wu, M.; Bi, C.; Gao, F.; Wei, W.; Wang, Y. Using high-pressure homogenization as a potential method to pretreat soybean protein isolate: Effect on conformation changes and rheological properties of its acid-induced gel. Innov. Food Sci. Emerg. Technol. 2022, 82, 103195. [Google Scholar] [CrossRef]
- Maribao, I.P.; Gul, O. Effect of high-pressure homogenization pretreatment on gelation behavior and physicochemical, rheological and structural properties of sesame protein isolate with glucono-δ-lactone. Food Hydrocoll. 2024, 155, 110240. [Google Scholar] [CrossRef]
- Gul, O.; Saricaoglu, F.T.; Atalar, I. Effect of high pressure homogenization on microstructure and rheological properties of hazelnut beverage cold-set gels induced glucono-δ-lactone. LWT-Food Sci. Technol. 2021, 143, 111154. [Google Scholar] [CrossRef]
- Ju, Q.; Wu, C.; Yuan, Y.; Hu, Y.; Zhou, S.; Luan, G. Insights into the mechanism on Glucono-delta-lactone induced gelation of soybean protein at subunit level. Food Hydrocoll. 2022, 125, 107402. [Google Scholar] [CrossRef]
- Ingrassia, R.; Bea, L.L.; Hidalgo, M.E.; Risso, P.H. Microstructural and textural characteristics of soy protein isolate and tara gum cold-set gels. LWT 2019, 113, 108286. [Google Scholar] [CrossRef]
- Liu, H.-H.; Chien, J.-T.; Kuo, M.-I. Ultra high pressure homogenized soy flour for tofu making. Food Hydrocoll. 2013, 32, 278–285. [Google Scholar] [CrossRef]
- Pang, Z.; Xu, R.; Zhu, Y.; Li, H.; Bansal, N.; Liu, X. Comparison of rheological, tribological, and microstructural properties of soymilk gels acidified with glucono-delta-lactone or culture. Food Res. Int. 2019, 121, 798–805. [Google Scholar] [CrossRef]
- Zhao, C.; Chu, Z.; Mao, Y.; Xu, Y.; Fei, P.; Zhang, H.; Xu, X.; Wu, Y.; Zheng, M.; Liu, J. Structural characteristics and acid-induced emulsion gel properties of heated soy protein isolate–soy oligosaccharide glycation conjugates. Food Hydrocoll. 2023, 137, 108408. [Google Scholar] [CrossRef]
- Wang, H.; Sun, L.; Sun, X.; Tian, H.; Yu, D. Effects of moderate electric fields on the structural and gelling properties of soybean protein isolate gel induced by glucono-δ-lactone. Innov. Food Sci. Emerg. Technol. 2024, 95, 103716. [Google Scholar] [CrossRef]
- Li, A.; Gong, T.; Li, X.; Li, X.; Yang, X.; Guo, Y. Preparation of thermally stable emulsion gels based on Glucono-delta-lactone induced gelation of gellan gum. Int. J. Biol. Macromol. 2020, 156, 565–575. [Google Scholar] [CrossRef]
- Bi, C.-H.; Li, D.; Wang, L.-J.; Gao, F.; Adhikari, B. Effect of high shear homogenization on rheology, microstructure and fractal dimension of acid-induced SPI gels. J. Food Eng. 2014, 126, 48–55. [Google Scholar] [CrossRef]
- Huang, Z.-G.; Wang, X.-Y.; Zhang, J.-Y.; Liu, Y.; Zhou, T.; Chi, S.-Y.; Gao, F.; Li, J.; Tian, B.; Shi, W.-T.; et al. Effect of heat treatment on the nonlinear rheological properties of acid-induced soy protein isolate gels modified by high-pressure homogenization. LWT 2022, 157, 113094. [Google Scholar] [CrossRef]
- Ben-Harb, S.; Panouillé, M.; Huc-Mathis, D.; Moulin, G.; Saint-Eve, A.; Irlinger, F.; Bonnarme, P.; Michon, C.; Souchon, I. The rheological and microstructural properties of pea, milk, mixed pea/milk gels and gelled emulsions designed by thermal, acid, and enzyme treatments. Food Hydrocoll. 2018, 77, 75–84. [Google Scholar] [CrossRef]
- Bi, C.-H.; Zhu, Y.-D.; Li, L.-T.; Zhang, Y.-L.; Hua, Z.; Zhu, J.-Y.; Liu, Y.; Liu, Y.-D.; Huang, Z.-G. Rheological properties and microstructure of soy protein isolate/κ-carrageenan gels under high-speed shear treatment. J. Food Eng. 2018, 236, 44–50. [Google Scholar] [CrossRef]
- Huang, Y.C.; Kuo, M.I. Rheological characteristics and gelation of tofu made from ultra-high-pressure homogenized soymilk. J. Texture Stud. 2015, 46, 335–344. [Google Scholar] [CrossRef]
- Maltais, A.; Remondetto, G.E.; Subirade, M. Mechanisms involved in the formation and structure of soya protein cold-set gels: A molecular and supramolecular investigation. Food Hydrocoll. 2008, 22, 550–559. [Google Scholar] [CrossRef]
- Ma, Y.; Zhang, J.; He, J.; Xu, Y.; Guo, X. Effects of high-pressure homogenization on the physicochemical, foaming, and emulsifying properties of chickpea protein. Food Res. Int. 2023, 170, 112986. [Google Scholar] [CrossRef] [PubMed]
- Nicolai, T.; Chassenieux, C. Heat-induced gelation of plant globulins. Curr. Opin. Food Sci. 2019, 27, 18–22. [Google Scholar] [CrossRef]
- Wu, J.; Wu, Y.; Yang, C.; Wang, Z. Enzymatic Preparation and Characterization of Soybean Oligosaccharides from Okara. Procedia Eng. 2012, 37, 186–191. [Google Scholar] [CrossRef]
- Nazari, B.; Mohammadifar, M.A.; Shojaee-Aliabadi, S.; Feizollahi, E.; Mirmoghtadaie, L. Effect of ultrasound treatments on functional properties and structure of millet protein concentrate. Ultrason. Sonochem 2018, 41, 382–388. [Google Scholar] [CrossRef] [PubMed]
- Zhang, Z.; Yang, Y.; Tang, X.; Chen, Y.; You, Y. Chemical forces and water holding capacity study of heat-induced myofibrillar protein gel as affected by high pressure. Food Chem. 2015, 188, 111–118. [Google Scholar] [CrossRef] [PubMed]
- Ni, N.; Wang, Z.; He, F.; Wang, L.; Pan, H.; Li, X.; Wang, Q.; Zhang, D. Gel properties and molecular forces of lamb myofibrillar protein during heat induction at different pH values. Process Biochem. 2014, 49, 631–636. [Google Scholar] [CrossRef]
- Choi, S.-M.; Ma, C.-Y. Structural characterization of globulin from common buckwheat (Fagopyrum esculentum Moench) using circular dichroism and Raman spectroscopy. Food Chem. 2007, 102, 150–160. [Google Scholar] [CrossRef]
- Zeng, L.; Wang, Z.; He, Z.; Zeng, M.; Qin, F.; Chen, J. Physicochemical and Gel Properties of Pumpkin Seed Protein: A Comparative Study. Int. J. Food Sci. Technol. 2022, 58, 1639–1651. [Google Scholar] [CrossRef]
- Madadlou, A.; Emam-Djomeh, Z.; Mousavi, M.; Mohamadifar, M.; Ehsani, M. Acid-Induced Gelation Behavior of Sonicated Casein Solutions. Ultrason. Sonochem. 2010, 17, 153–158. [Google Scholar] [CrossRef]
- Liu, R.; Zhao, S.-M.; Liu, Y.-M.; Yang, H.; Xiong, S.-B.; Xie, B.-J.; Qin, L.-H. Effect of pH on the gel properties and secondary structure of fish myosin. Food Chem. 2010, 121, 196–202. [Google Scholar] [CrossRef]
- Jiang, J.; Xiong, Y.L. Extreme pH treatments enhance the structure-reinforcement role of soy protein isolate and its emulsions in pork myofibrillar protein gels in the presence of microbial transglutaminase. Meat Sci. 2013, 93, 469–476. [Google Scholar] [CrossRef]
- Niu, H.; Chen, Y.; Zhang, H.; Kong, B.; Liu, Q. Protective effect of porcine plasma protein hydrolysates on the gelation of porcine myofibrillar protein exposed to a hydroxyl radical-generating system. Int. J. Biol. Macromol. 2018, 107, 654–661. [Google Scholar] [CrossRef]
- Zhao, Y.; Chen, Z.; Li, J.; Xu, M.; Shao, Y.; Tu, Y. Changes of microstructure characteristics and intermolecular interactions of preserved egg white gel during pickling. Food Chem. 2016, 203, 323–330. [Google Scholar] [CrossRef]
- Guo, S.-T.; Ono, T. The Role of Composition and Content of Protein Particles in Soymilk on Tofu Curding by Glucono-δ-lactone or Calcium Sulfate. J. Food Sci. 2005, 70, C258–C262. [Google Scholar] [CrossRef]
- Xie, Y.; Yu, X.; Wei, S.; Zheng, J.; Prakash, S.; Dong, X. Impact of homogenization on the physicochemical properties of the cod protein gel. LWT-Food Sci. Technol. 2021, 149, 111841. [Google Scholar] [CrossRef]
- Yi, S.; Li, Q.; Qiao, C.; Zhang, C.; Wang, W.; Xu, Y.; Mi, H.; Li, X.; Li, J. Myofibrillar protein conformation enhance gel properties of mixed surimi gels with Nemipterus virgatus and Hypophthalmichthys molitrix. Food Hydrocoll. 2020, 106, 105924. [Google Scholar] [CrossRef]
- McClements, D.J. Food Emulsions: Principles, Practices, and Techniques; CRC Press: Boca Raton, FL, USA, 2004; Volume 437. [Google Scholar]
- Porto, B.C.; Augusto, P.E.; Terekhov, A.; Hamaker, B.R.; Cristianini, M. Effect of dynamic high pressure on technological properties of cashew tree gum (Anacardium occidentale L.). Carbohydr. Polym. 2015, 129, 187–193. [Google Scholar] [CrossRef]
- Ge, Q.; Wu, Y.; Yuan, N.; Jia, Z.; Liu, R.; Lu, F.; Ma, H.; Kang, Z. Effect of High Pressure Homogenization-Modified Soy 11S Globulin on the Gel and Rheological Properties of Pork Myofibrillar Protein. Foods 2023, 12, 810. [Google Scholar] [CrossRef]
- Alvarez-Sabatel, S.; Marañón, I.M.d.; Arboleya, J.-C. Impact of high pressure homogenisation (HPH) on inulin gelling properties, stability and development during storage. Food Hydrocoll. 2015, 44, 333–344. [Google Scholar] [CrossRef]
- Zheng, L.; Regenstein, J.M.; Wang, Z. Effect of High-Pressure Homogenization on the Properties and Structure of Cold-Induced Chiba Tofu Gel in Soy Protein Isolate. Gels 2024, 10, 99. [Google Scholar] [CrossRef]
- Dogan, M.; Kayacier, A.; Toker, Ö.S.; Yilmaz, M.T.; Karaman, S. Steady, Dynamic, Creep, and Recovery Analysis of Ice Cream Mixes Added with Different Concentrations of Xanthan Gum. Food Bioprocess Technol. 2013, 6, 1420–1433. [Google Scholar] [CrossRef]
- McCann, T.H.; Guyon, L.; Fischer, P.; Day, L. Rheological properties and microstructure of soy-whey protein. Food Hydrocoll. 2018, 82, 434–441. [Google Scholar] [CrossRef]
- Zhu, Y.-D.; Li, D.; Wang, L.-J. Dynamic rheological properties of peanut protein isolate and aggregation suspension and acid-induced gel. Powder Technol. 2019, 358, 95–102. [Google Scholar] [CrossRef]
- Liang, X.; Ma, C.; Yan, X.; Zeng, H.; McClements, D.J.; Liu, X.; Liu, F. Structure, rheology and functionality of whey protein emulsion gels: Effects of double cross-linking with transglutaminase and calcium ions. Food Hydrocoll. 2020, 102, 105569. [Google Scholar] [CrossRef]
- Kang, Z.-L.; Bai, R.; Lu, F.; Zhang, T.; Gao, Z.-S.; Zhao, S.-M.; Zhu, M.-M.; Ma, H.-J. Effects of high pressure homogenization on the solubility, foaming, and gel properties of soy 11S globulin. Food Hydrocoll. 2022, 124, 107261. [Google Scholar] [CrossRef]
- Saricaoglu, F.T. Application of high-pressure homogenization (HPH) to modify functional, structural and rheological properties of lentil (Lens culinaris) proteins. Int. J. Biol. Macromol. 2020, 144, 760–769. [Google Scholar] [CrossRef]
- Xiong, Y.L.; Decker, E.; Faustman, C.; LopezBote, C.J. Protein oxidation and implications for muscle food quality. Antioxid. Muscle Foods Nutr. Strateg. Improv. Qual. 2000, 85, 111. [Google Scholar]
- Yousefi, A.R.; Razavi, S.M.A. Dynamic rheological properties of wheat starch gels as affected by chemical modification and concentration. Starch-Stärke 2015, 67, 567–576. [Google Scholar] [CrossRef]
- Relkin, P. Reversibility of heat-induced conformational changes and surface exposed hydrophobic clusters of β-lactoglobulin. Int. J. Biol. Macromol. 1998, 22, 59–66. [Google Scholar] [CrossRef]
- Fan, X.; Li, S.; Zhang, A.; Chang, H.; Zhao, X.; Lin, Y.; Feng, Z. Mechanism of change of the physicochemical characteristics, gelation process, water state, and microstructure of okara tofu analogues induced by high-intensity ultrasound treatment. Food Hydrocoll. 2021, 111, 106241. [Google Scholar] [CrossRef]
- Liu, H.-H.; Kuo, M.-I. Ultra high pressure homogenization effect on the proteins in soy flour. Food Hydrocoll. 2016, 52, 741–748. [Google Scholar] [CrossRef]
- Wu, W.; Hua, Y.; Lin, Q. Effects of oxidative modification on thermal aggregation and gel properties of soy protein by malondialdehyde. J. Food Sci. Technol. 2014, 51, 485–493. [Google Scholar] [CrossRef]
- Wang, K.; Zhao, X.; Li, J.; Ma, C.; Sun, D.; Gantumur, M.-A.; Oh, K.-C.; Jiang, Z.; Hou, J. Comparison of high pressure homogenization, selective thermal denaturation and glycosylation on textural properties of green soybean (Glycine max)tofu by TOPSIS analysis. Food Control 2021, 129, 108185. [Google Scholar] [CrossRef]
- Valim, M.D.; Cavallieri, A.L.F.; Cunha, R.L. Whey Protein/Arabic Gum Gels Formed by Chemical or Physical Gelation Process. Food Biophys. 2008, 4, 23–31. [Google Scholar] [CrossRef]
- Zheng, L.; He, M.; Zhang, X.; Regenstein, J.M.; Wang, Z.; Ma, Z.; Kong, Y.; Wu, C.; Teng, F.; Li, Y. Gel properties and structural characteristics of soy protein isolate treated with different salt ions before spray drying combined with dynamic high-pressure micro-fluidization. Food Bioprod. Process. 2021, 125, 68–78. [Google Scholar] [CrossRef]
- Luo, L.; Tashiro, Y.; Ogawa, H. Relationship between the water molecules in fish-meat gel and the gel structure. Fish. Sci. 2012, 78, 1137–1146. [Google Scholar] [CrossRef]
- Yang, J.; Liu, G.; Zeng, H.; Chen, L. Effects of high pressure homogenization on faba bean protein aggregation in relation to solubility and interfacial properties. Food Hydrocoll. 2018, 83, 275–286. [Google Scholar] [CrossRef]
- Shi, R.; Liu, Y.; Hu, J.; Gao, H.; Qayum, A.; Bilawal, A.; Munkh-Amgalan, G.; Jiang, Z.; Hou, J. Combination of high-pressure homogenization and ultrasound improves physiochemical, interfacial and gelation properties of whey protein isolate. Innov. Food Sci. Emerg. Technol. 2020, 65, 102450. [Google Scholar] [CrossRef]
- Wang, B.; Liu, F.; Luo, S.; Li, P.; Mu, D.; Zhao, Y.; Zhong, X.; Jiang, S.; Zheng, Z. Effects of High Hydrostatic Pressure on the Properties of Heat-Induced Wheat Gluten Gels. Food Bioprocess Technol. 2018, 12, 220–227. [Google Scholar] [CrossRef]








| Samples | Vmax | Tmax | T5.0 | T4.5 |
|---|---|---|---|---|
| 0 MPa | 0.066 ± 0.006 b | 5.0 ± 0.0 a | 60.0 ± 0.0 a | 142.5 ± 3.53 a |
| 25 MPa | 0.077 ± 0.009 ab | 5.0 ± 0.0 a | 52.5 ± 3.53 b | 127.5 ± 10.6 ab |
| 50 MPa | 0.077 ± 0.009 ab | 5.0 ± 0.0 a | 52.5 ± 3.53 b | 122.5 ± 10.6 ab |
| 100 MPa | 0.087 ± 0.001 ab | 5.0 ± 0.0 a | 50.0 ± 0.0 b | 112.5 ± 3.53 b |
| 150 MPa | 0.09 ± 0.006 a | 5.0 ± 0.0 a | 50.0 ± 0.0 b | 115.00 ± 7.07 b |
| Samples | Ionic Bonds (mg/g) | Hydrogen Bonds (mg/g) | Hydrophobic Interactions (mg/g) | Disulfide Bonds (mg/g) |
|---|---|---|---|---|
| 0 MPa | 0.16 ± 0.03 c | 0.71 ± 0.01 d | 6.26 ± 0.09 c | 1.51 ± 0.03 c |
| 25 MPa | 0.26 ± 0.02 b | 0.89 ± 0.01 c | 6.88 ± 0.11 b | 1.47 ± 0.06 c |
| 50 MPa | 0.38 ± 0.01 a | 1.09 ± 0.03 b | 7.02 ± 0.16 b | 1.53 ± 0.08 c |
| 100 MPa | 0.32 ± 0.02 a | 1.98 ± 0.07 a | 8.62 ± 0.21 a | 2.54 ± 0.09 b |
| 150 MPa | 0.35 ± 0.04 a | 1.73 ± 0.02 a | 8.27 ± 0.33 a | 2.86 ± 0.03 a |
| Samples | ||||||||||
|---|---|---|---|---|---|---|---|---|---|---|
| Ƞ50 (mPas) | K | n | R2 | K′ | n′ | R2′ | K″ | n″ | R2″ | |
| 0 MPa | 16.288 ± 1.622 d | 0.169 ± 0.022 d | 0.412 ± 0.041 a | 0.9937 | 7.445 ± 0.517 d | 0.129 ± 0.007 a | 0.9881 | 1.415 ± 0.211 c | 0.146 ± 0.008 a | 0.9941 |
| 25 MPa | 14.545 ± 0.936 d | 0.286 ± 0.018 c | 0.375 ± 0.019 a | 0.9936 | 17.178 ± 0.946 c | 0.127 ± 0.006 a | 0.9999 | 3.763 ± 0.508 b | 0.129 ± 0.011 a | 0.9953 |
| 50 MPa | 26.23 ± 1.194 c | 0.346 ± 0.061 c | 0.348 ± 0.037 b | 0.9972 | 21.924 ± 1.076 b | 0.123 ± 0.004 c | 0.9943 | 4.068 ± 0.477 b | 0.101 ± 0.006 b | 0.9968 |
| 100 MPa | 31.577 ± 0.992 b | 0.425 ± 0.039 b | 0.331 ± 0.047 b | 0.9975 | 24.347 ± 1.961 b | 0.119 ± 0.008 b | 0.9975 | 4.522 ± 0.606 b | 0.088 ± 0.005 bc | 0.9959 |
| 150 MPa | 43.936 ± 1.044 a | 0.607 ± 0.055 a | 0.321 ± 0.034 b | 0.9915 | 29.861 ± 2.089 a | 0.118 ± 0.006 b | 0.9964 | 5.909 ± 0.427 a | 0.074 ± 0.018 c | 0.9874 |
Disclaimer/Publisher’s Note: The statements, opinions and data contained in all publications are solely those of the individual author(s) and contributor(s) and not of MDPI and/or the editor(s). MDPI and/or the editor(s) disclaim responsibility for any injury to people or property resulting from any ideas, methods, instructions or products referred to in the content. |
© 2025 by the authors. Licensee MDPI, Basel, Switzerland. This article is an open access article distributed under the terms and conditions of the Creative Commons Attribution (CC BY) license (https://creativecommons.org/licenses/by/4.0/).
Share and Cite
Gul, O.; Akgun, A.; Maribao, I.P.; Parlak, M.E.; Saricaoglu, F.T.; Simsek, S. Mechanism for Improving Acid-Induced Hazelnut Protein Gels Through High-Pressure Homogenization: Effect on Structural, Rheological and Gelling Properties. Foods 2025, 14, 3273. https://doi.org/10.3390/foods14183273
Gul O, Akgun A, Maribao IP, Parlak ME, Saricaoglu FT, Simsek S. Mechanism for Improving Acid-Induced Hazelnut Protein Gels Through High-Pressure Homogenization: Effect on Structural, Rheological and Gelling Properties. Foods. 2025; 14(18):3273. https://doi.org/10.3390/foods14183273
Chicago/Turabian StyleGul, Osman, Abdullah Akgun, Iannie P. Maribao, Mahmut Ekrem Parlak, Furkan Turker Saricaoglu, and Senay Simsek. 2025. "Mechanism for Improving Acid-Induced Hazelnut Protein Gels Through High-Pressure Homogenization: Effect on Structural, Rheological and Gelling Properties" Foods 14, no. 18: 3273. https://doi.org/10.3390/foods14183273
APA StyleGul, O., Akgun, A., Maribao, I. P., Parlak, M. E., Saricaoglu, F. T., & Simsek, S. (2025). Mechanism for Improving Acid-Induced Hazelnut Protein Gels Through High-Pressure Homogenization: Effect on Structural, Rheological and Gelling Properties. Foods, 14(18), 3273. https://doi.org/10.3390/foods14183273

