Differences in Hydration Behavior and Physicochemical Properties of Starches from Different Sorghum Varieties and Their Multiple Relationships
Abstract
1. Introduction
2. Materials and Methods
2.1. Raw Materials
2.2. Starch Extraction and Analysis
2.3. Morphological and X-Ray Diffraction Analysis
2.4. Analysis of Hydration Properties
2.5. Analysis of Functional Properties
2.6. Analysis of Digestive Properties
2.7. Statistical Analyses
3. Results
3.1. Starch Fractions
3.2. Morphological and Structural Properties
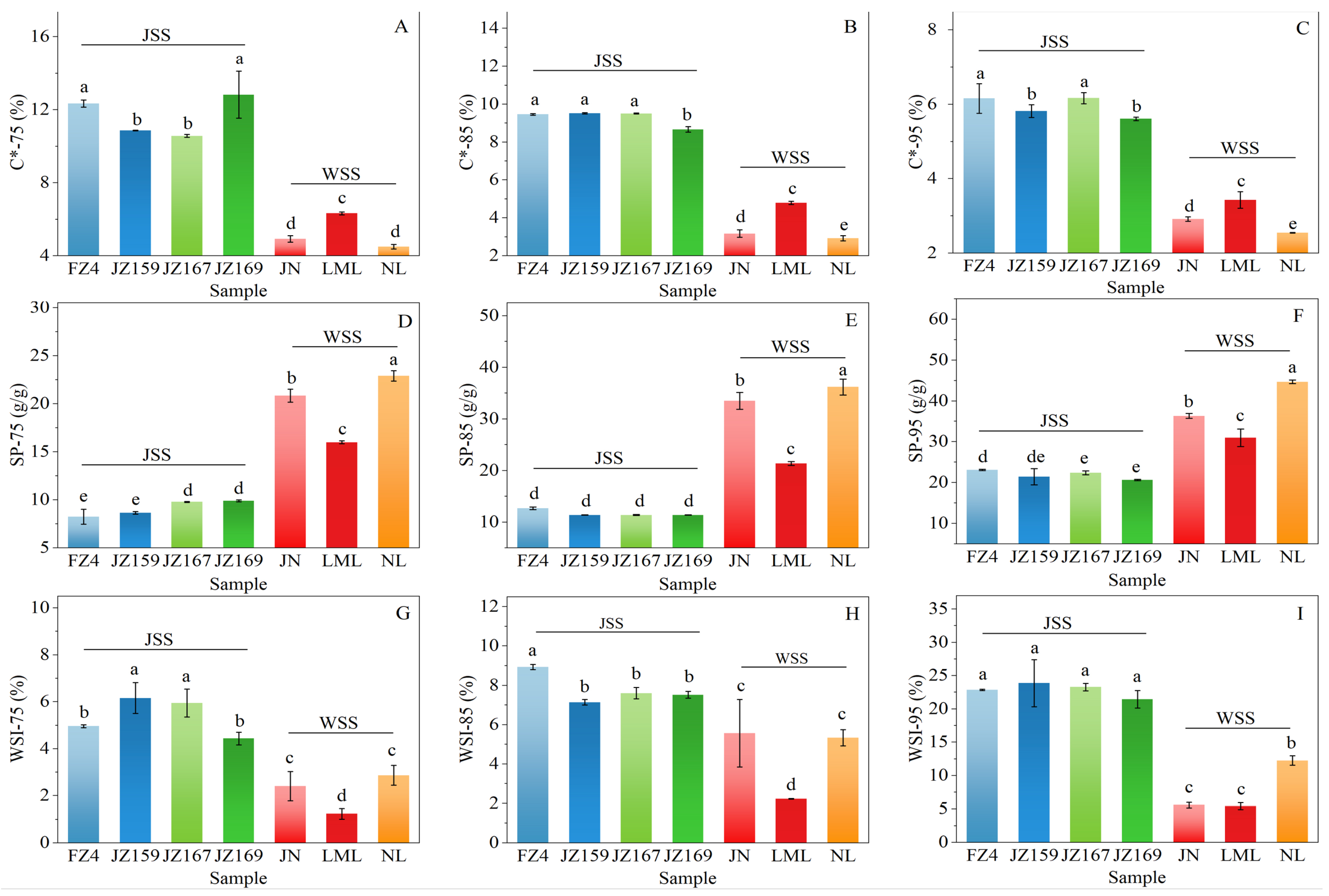
3.3. Hydration Properties
3.4. Functional Properties
3.4.1. Thermal Properties
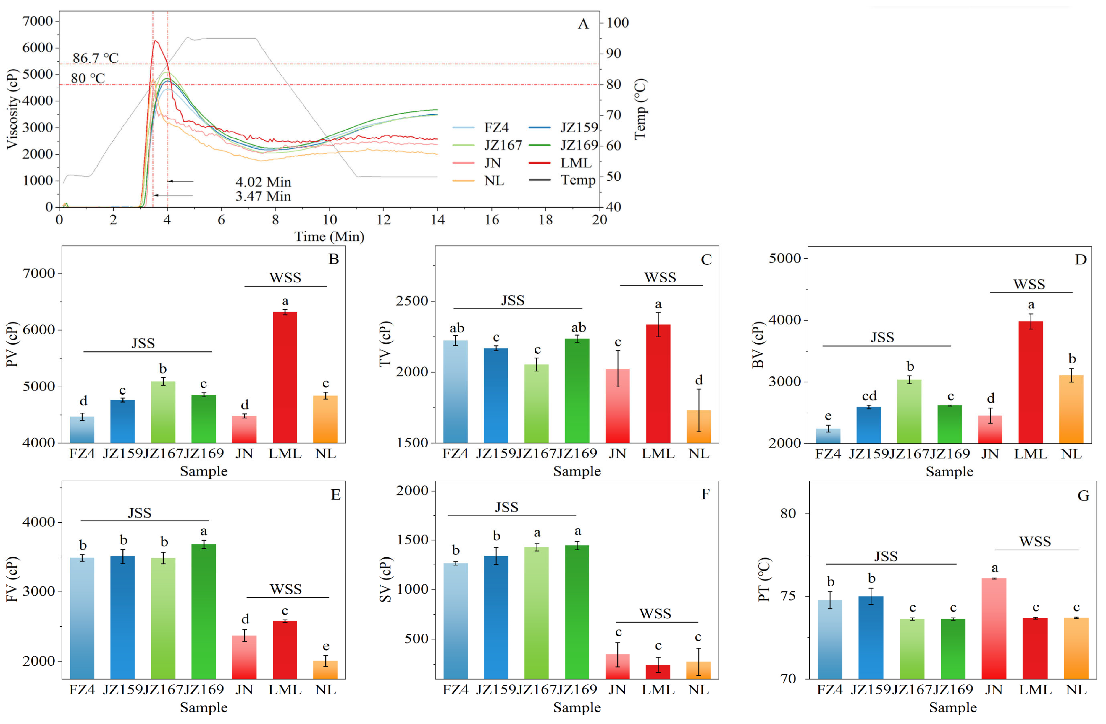
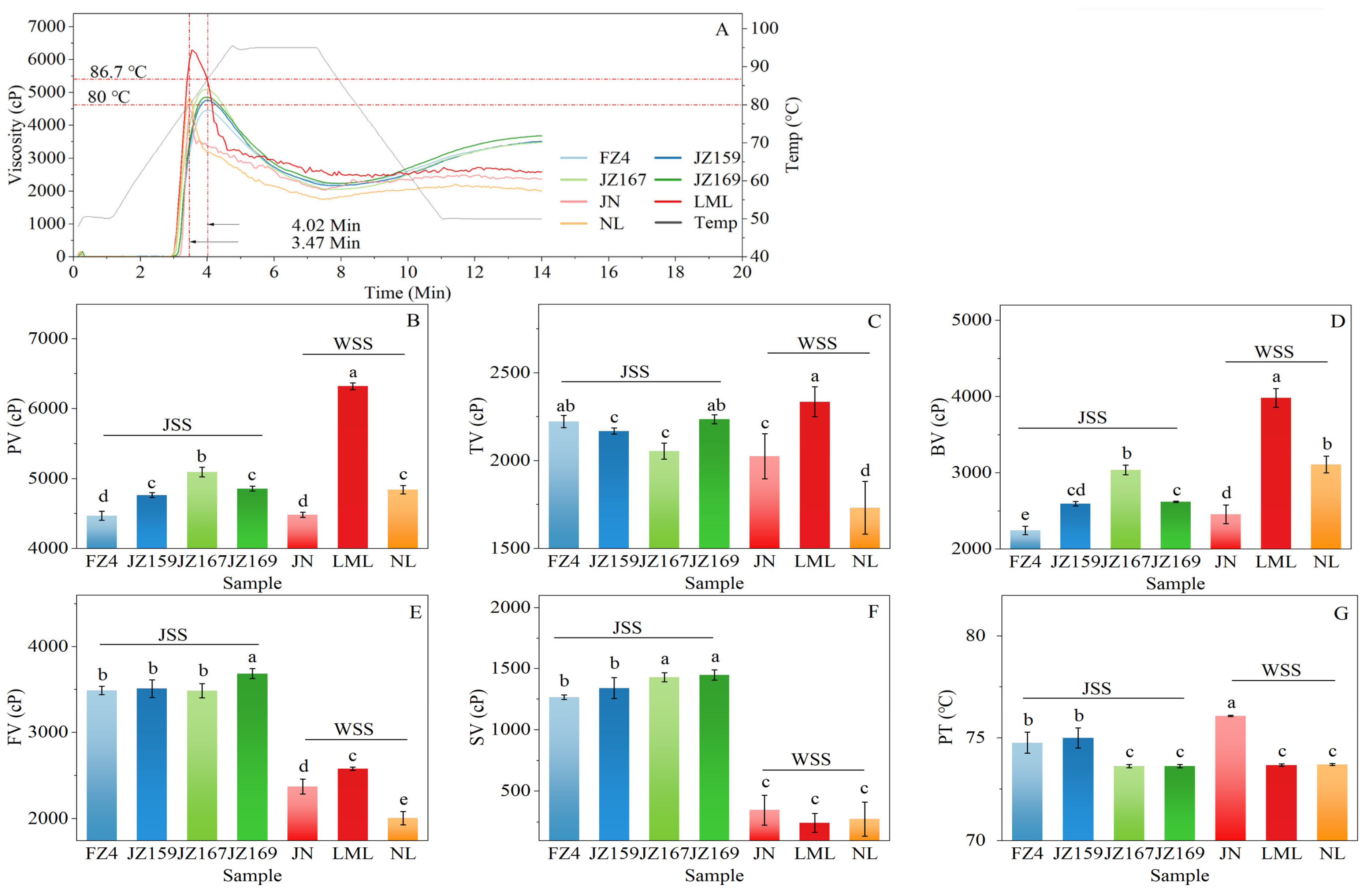
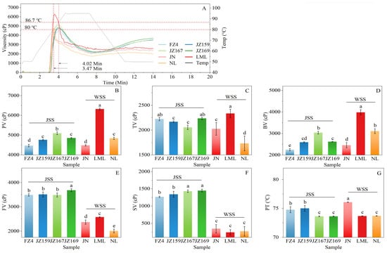
3.4.2. Pasting Properties
3.4.3. Gel Texture Properties
3.4.4. Rheological Properties
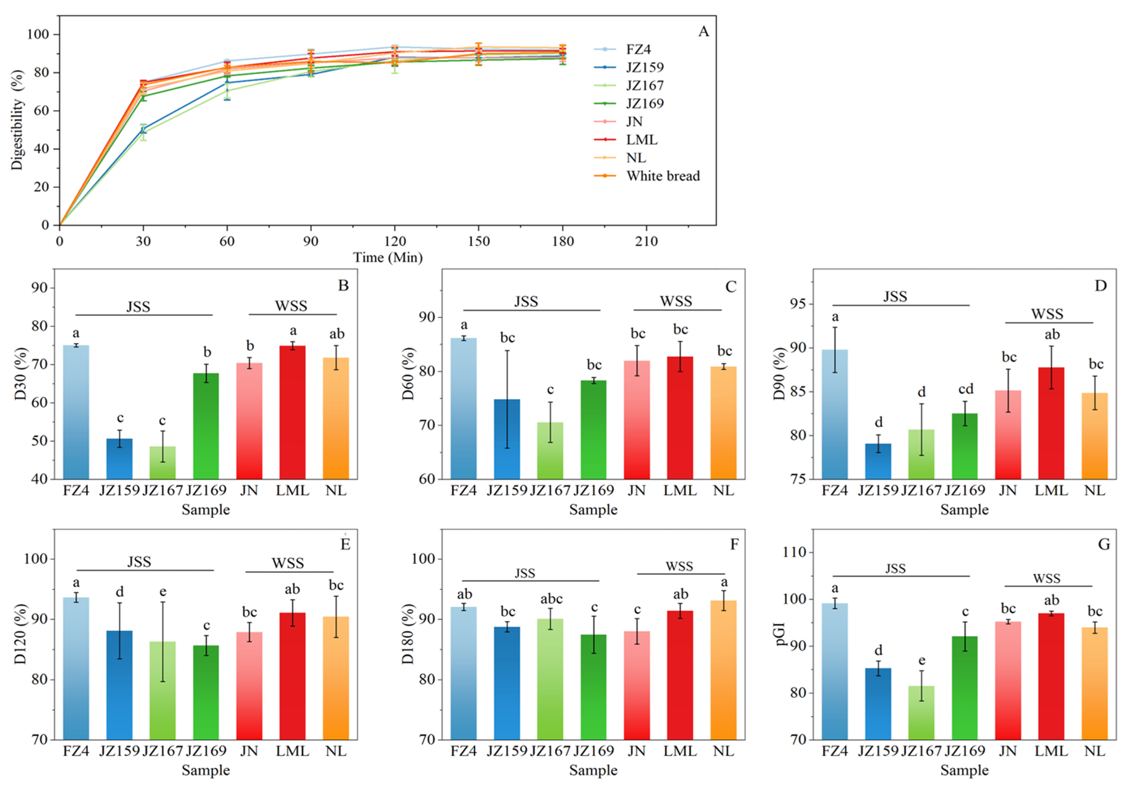
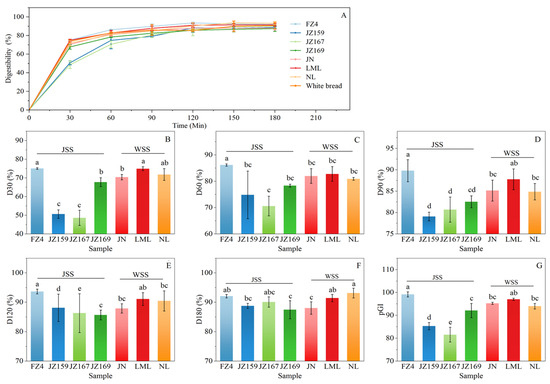
3.5. Digestive Properties
3.6. PCA and Correlation Analysis
4. Discussion
4.1. Morphological and Structural Properties of Sorghum Varieties
4.2. Hydration Behaviours of Sorghum Varieties
4.3. Functional Properties of Sorghum Varieties
4.4. Digestive Properties of Sorghum Varieties
4.5. Correlations Between Physicochemical Characteristics
5. Conclusions
Author Contributions
Funding
Data Availability Statement
Conflicts of Interest
Abbreviations
| AC | Amylose content |
| SP | Swelling power |
| WSI | Water solubility index |
| JSS | Japonica sorghum starches |
| WSS | Waxy sorghum starches |
| JZ159 | Jiza159 |
| JZ167 | Jiza167 |
| JZ169 | Jiza169 |
| FZ4 | Fengza4 |
| JN | Jinuo |
| LML | Longmiliang |
| NL | Nuoliang |
| A7095 | Amyloglucosidase |
| A3172 | α-amylase |
| P7000 | Pepsin |
| P7545 | Pancreatin enzyme |
| TPC | Total polyphenol content |
| TC | Tannins content |
| TSC | Total starch content |
| SEM | Scanning electron microscope |
| XRD | X-ray diffraction |
| RC | Relative crystallinity |
| WAC | Water absorption capacity |
| C* | Close packing concentration |
| DSC | Differential scanning calorimetry |
| RVA | Rapid Visco Analyzer |
| RDS | Rapidly digestible starch |
| SDS | Slowly digestible starch |
| RS | Resistant starch |
| HI | Hydrolysis index |
| pGI | Predicted glycaemic index |
| ANOVA | Analysis of variance |
| PCA | Principal component analysis |
| To | Onset temperature |
| Tp | Peak temperature |
| Tc | Conclusion temperature |
| ΔH | Gelatinisation enthalpy |
| ΔT | Gelatinisation temperature range |
| G′ | Storage modulus |
| G″ | Loss modulus |
| tan δ | Loss tangent |
| AC/AP | Ratio of amylose to amylopectin |
| C | Starch concentration |
References
- Kang, X.; Gao, W.; Cui, B.; El-Aty, A.M.A. Structure and Genetic Regulation of Starch Formation in Sorghum (Sorghum bicolor (L.) Moench) Endosperm: A Review. Int. J. Biol. Macromol. 2023, 239, 124315. [Google Scholar] [CrossRef] [PubMed]
- Punia, H.; Tokas, J.; Malik, A.; Satpal; Sangwan, S. Characterization of Phenolic Compounds and Antioxidant Activity in Sorghum [Sorghum bicolor (L.) Moench] Grains. Cereal Res. Commun. 2021, 49, 343–353. [Google Scholar] [CrossRef]
- Mohamed, H.I.; Fawzi, E.M.; Basit, A.; Kaleemullah; Lone, R.; Sofy, M.R. Sorghum: Nutritional Factors, Bioactive Compounds, Pharmaceutical and Application in Food Systems: A Review. Phyton 2022, 91, 1303–1325. [Google Scholar] [CrossRef]
- Khoddami, A.; Messina, V.; Venkata, K.V.; Farahnaky, A.; Blanchard, C.L.; Roberts, T.H. Sorghum in Foods: Functionality and Potential in Innovative Products. Crit. Rev. Food Sci. Nutr. 2021, 63, 1170–1186. [Google Scholar] [CrossRef]
- Yan, S.; Li, Z.; Wang, B.; Li, T.; Li, Z.; Zhang, N.; Cui, B. Correlation Analysis on Physicochemical and Structural Properties of Sorghum Starch. Front. Nutr. 2023, 9, 1101868. [Google Scholar] [CrossRef]
- Hassan, Z.M.; Sebola, N.A.; Mabelebele, M. The Nutritional Use of Millet Grain for Food and Feed: A Review. Agric. Food Secur. 2021, 10, 16. [Google Scholar] [CrossRef]
- Zhang, J.; Ran, C.; Jiang, X.; Dou, J. Impact of Octenyl Succinic Anhydride (OSA) Esterification on Microstructure and Physicochemical Properties of Sorghum Starch. LWT-Food Sci. Technol. 2021, 152, 112320. [Google Scholar] [CrossRef]
- Yang, L.; Li, L.; Jiang, F.; Zhang, Q.; Yang, F.; Wang, Y.; Zhao, Z.; Ren, Q.; Wang, L. Structural and Physicochemical Characteristics of Starches from Sorghum Varieties with Varying Amylose Content. Food Sci. Nutr. 2024, 12, 7989–7999. [Google Scholar] [CrossRef] [PubMed]
- Juncai, T.; Benu, A.; Anne, B.M.; Ping, C.; Weidong, B.; Stephen, B.C. Interactions between Sorghum Starch and Mushroom Polysaccharides and Their Effects on Starch Gelatinization and Digestion. Food Hydrocoll. 2023, 139, 108504. [Google Scholar] [CrossRef]
- Li, M.; Dhital, S.; Wei, Y. Multilevel Structure of Wheat Starch and Its Relationship to Noodle Eating Qualities. Compr. Rev. Food Sci. Food Saf. 2017, 16, 1042–1055. [Google Scholar] [CrossRef]
- Mauro, R.R.; Vela, A.J.; Ronda, F. Impact of Starch Concentration on the Pasting and Rheological Properties of Gluten-Free Gels. Effects of Amylose Content and Thermal and Hydration Properties. Foods 2023, 12, 2281. [Google Scholar] [CrossRef]
- Batey, I.L.; Curtin, B.M.; Moore, S.A. Optimization of Rapid-Visco Analyser Test Conditions for Predicting Asian Noodle Quality. Cereal Chem. 1997, 74, 497–501. [Google Scholar] [CrossRef]
- Jia, R.; Cui, C.; Gao, L.; Qin, Y.; Ji, N.; Dai, L.; Wang, Y.; Xiong, L.; Shi, R.; Sun, Q. A Review of Starch Swelling Behavior: Its Mechanism, Determination Methods, Influencing Factors, and Influence on Food Quality. Carbohydr. Polym. 2023, 321, 121260. [Google Scholar] [CrossRef]
- Carcea, M.; Cubadda, R.; Acquistucci, R. Physiochemical and Rheological Characterization of Sorghum Starch. J. Food Sci. 1992, 57, 1024–1025. [Google Scholar] [CrossRef]
- Akingbala, J.O.; Rooney, L.W. Paste properties of sorghum flour and starches. J. Food Process. Preserv. 1987, 11, 13–24. [Google Scholar] [CrossRef]
- Chen, C.; Li, G.; Zhu, F. A Novel Starch from Lotus (Nelumbo nucifera) Seeds: Composition, Structure, Properties and Modifications. Food Hydrocoll. 2021, 120, 106899. [Google Scholar] [CrossRef]
- Singh, H.; Sodhi, N.S.; Singh, N. Characterisation of Starches Separated from Sorghum Cultivars Grown in India. Food Chem. 2010, 119, 95–100. [Google Scholar] [CrossRef]
- Boudries, N.; Belhaneche, N.; Nadjemi, B.; Deroanne, C.; Mathlouthi, M.; Roger, B.; Sindic, M. Physicochemical and Functional Properties of Starches from Sorghum Cultivated in the Sahara of Algeria. Carbohydr. Polym. 2009, 78, 475–480. [Google Scholar] [CrossRef]
- Punia, S. Barley Starch: Structure, Properties and in Vitro Digestibility—A Review. Int. J. Biol. Macromol. 2020, 155, 868–875. [Google Scholar] [CrossRef]
- Choi, H.; Kim, W.; Shin, M. Properties of Korean Amaranth Starch Compared to Waxy Millet and Waxy Sorghum Starches. Starch—Stärke 2004, 56, 469–477. [Google Scholar] [CrossRef]
- Lowithun, N.; Sagis, L.M.C.; Lumdubwong, N. Impact of Deformability and Rigidity of Starch Granules on Linear and Non-Linear Rheological Behavior of Waxy Rice Starch Gels and Applicability for Food End Uses. Foods 2024, 13, 1864. [Google Scholar]
- Sun, Q.; Han, Z.; Wang, L.; Xiong, L. Physicochemical Differences between Sorghum Starch and Sorghum Flour Modified by Heat-Moisture Treatment. Food Chem. 2014, 145, 756–764. [Google Scholar] [CrossRef]
- Goñi, I.; Garcia-Alonso, A.; Saura-Calixto, F. A starch hydrolysis procedure to estimate glycemic index. Nutr. Res. 1997, 17, 427–437. [Google Scholar] [CrossRef]
- Singh, S.K.; Kumar, S.A.; Sneh, P.; Lalit, S.; Manju, N.; Singh, P.S. Effect of Degree of Cross Linking on Physicochemical, Rheological and Morphological Properties of Sorghum Starch. Carbohydr. Polym. Tech. 2021, 2, 100073. [Google Scholar]
- Tsai, M.; Li, C.; Lii, C. Effects of Granular Structures on the Pasting Behaviors of Starches. Cereal Chem. 1997, 74, 750–757. [Google Scholar] [CrossRef]
- Gao, L.; Wang, H.; Wan, C.; Leng, J.; Wang, P.; Yang, P.; Gao, X.; Gao, J. Structural, Pasting and Thermal Properties of Common Buckwheat (Fagopyrum esculentum Moench) Starches Affected by Molecular Structure. Int. J. Biol. Macromol. 2020, 156, 120–126. [Google Scholar] [CrossRef]
- Zhang, F.; Shen, Q. The Impact of Endogenous Proteins on Hydration, Pasting, Thermal and Rheology Attributes of Foxtail Millet. J. Cereal Sci. 2021, 100, 103255. [Google Scholar] [CrossRef]
- Englyst, H.N.; Kingman, S.M.; Cummings, J.H. Classification and measurement of nutritionally important starch fractions. Eur. J. Clin. Nutr. 1992, 46, S33–S50. [Google Scholar]
- Greenacre, M.; Groenen, P.J.F.; Hastie, T.; D’Enza, A.I.; Markos, A.; Tuzhilina, E. Principal Component Analysis. Nat. Rev. Methods Prim. 2022, 2, 433–459. [Google Scholar] [CrossRef]
- Li, J.; Zhang, S.; Zhang, Z.; Ren, S.; Wang, D.; Wang, X.; Wang, X.; Zhang, C.; Wang, M. Extraction and Characterization of Starch from Yard-Long Bean (Vigna unguiculata (L.) Walp. Ssp. Unguiculata Cv.-Gr. Sesquipedalis). Int. J. Biol. Macromol. 2021, 181, 1023–1029. [Google Scholar] [CrossRef]
- Jane, J.; Chen, Y.Y.; Lee, L.F.; McPherson, A.E.; Wong, K.S.; Radosavljevic, M.; Kasemsuwan, T. Effects of Amylopectin Branch. Chain. Length and Amylose Content on the Gelatinization and Pasting Properties of Starch. Cereal Chem. 1999, 76, 629–637. [Google Scholar] [CrossRef]
- Kang, X.; Gao, W.; Cheng, Y.; Yu, B.; Cui, B.; El-Aty, A.M.A. Investigating Structural and Property Modifications in Starch from Waxy, Stick, and H37 Sorghum Varieties: Advancing Starch Structure Understanding and Applications. Ind. Crops Prod. 2023, 203, 117239. [Google Scholar] [CrossRef]
- Lin, L.; Cai, C.; Gilbert, R.G.; Li, E.; Wang, J.; Wei, C. Relationships between Amylopectin Molecular Structures and Functional Properties of Different-Sized Fractions of Normal and High-Amylose Maize Starches. Food Hydrocoll. 2016, 52, 359–368. [Google Scholar] [CrossRef]
- Obadi, M.; Qi, Y.; Xu, B. High-Amylose Maize Starch: Structure, Properties, Modifications and Industrial Applications. Carbohydr. Polym. 2023, 299, 120185. [Google Scholar] [CrossRef]
- Ratnayake, W.S.; Hoover, R.; Warkentin, T. Pea Starch: Composition, Structure and Properties—A Review. Starch—Stärke 2002, 54, 217–234. [Google Scholar] [CrossRef]
- Aaliya, B.; Sunooj, K.V.; Navaf, M.; Akhila, P.P.; Sudheesh, C.; Sabu, S.; Sasidharan, A.; Sinha, S.K.; George, J. Influence of Plasma-Activated Water on the Morphological, Functional, and Digestibility Characteristics of Hydrothermally Modified Non-Conventional Talipot Starch. Food Hydrocoll. 2022, 130, 107709. [Google Scholar] [CrossRef]
- Wang, S.; Li, P.; Yu, J.; Guo, P.; Wang, S. Multi-Scale Structures and Functional Properties of Starches from Indica Hybrid, Japonica and Waxy Rice. Int. J. Biol. Macromol. 2017, 102, 136–143. [Google Scholar] [CrossRef]
- Vandeputte, G.E.; Vermeylen, R.; Geeroms, J.; Delcour, J.A.; Rice Starches, I. Structural Aspects Provide Insight into Crystallinity Characteristics and Gelatinisation Behaviour of Granular Starch. J. Cereal Sci. 2003, 38, 43–52. [Google Scholar] [CrossRef]
- dos Santos, T.B.; da Silva Freire Neto, R.; Collantes, N.F.; Chávez, D.W.H.; Queiroz, V.A.V.; de Carvalho, C.W.P. Exploring Starches from Varied Sorghum Genotypes Compared to Commercial Maize Starch. J. Food Process Eng. 2022, 46, e14251. [Google Scholar] [CrossRef]
- Shokrollahi, F.; Shahidi, F.; Varidi, M.J.; Koocheki, A.; Sohbatzadeh, F.; Motamedzadegan, A. Effect of Atmospheric Pressure Argon Plasma on Physicochemical, Structural and Rheological Properties of Sorghum Starch. Starch—Stärke 2023, 75, 2200187. [Google Scholar] [CrossRef]
- Palanisamy, A.; Deslandes, F.; Ramaioli, M.; Menut, P.; Plana-Fattori, A.; Flick, D. Kinetic Modelling of Individual Starch Granules Swelling. Food Struct. 2020, 26, 100150. [Google Scholar] [CrossRef]
- Chakraborty, I.; N, P.; Mal, S.S.; Paul, U.C.; Rahman, M.H.; Mazumder, N. An Insight into the Gelatinization Properties Influencing the Modified Starches Used in Food Industry: A Review. Food Bioprocess Technol. 2022, 15, 1195–1223. [Google Scholar] [CrossRef]
- Lin, X.; Zhang, X.; Du, B.; Xu, B. Morphological, Structural, Thermal, Pasting, and Digestive Properties of Starches Isolated from Different Varieties of Rice: A Systematic Comparative Study. Foods 2023, 12, 4492. [Google Scholar] [CrossRef]
- Steeneken, P.A.M. Rheological Properties of Aqueous Suspensions of Swollen Starch Granules. 1989, 11, 23–42. Carbohydr. Polym. [CrossRef]
- Qadir, N.; Wani, I.A. In-Vitro Digestibility of Rice Starch and Factors Regulating Its Digestion Process: A Review. Carbohydr. Polym. 2022, 291, 119600. [Google Scholar] [CrossRef] [PubMed]
- Chi, C.; Li, X.; Huang, S.; Chen, L.; Zhang, Y.; Li, L.; Miao, S. Basic. Principles in Starch Multi-Scale Structuration to Mitigate Digestibility: A Review. Trends Food Sci. Technol. 2021, 109, 154–168. [Google Scholar] [CrossRef]
- Sharma, S.; Singh, N.; Singh, B. Effect of Extrusion on Morphology, Structural, Functional Properties and In Vitro Digestibility of Corn, Field Pea and Kidney Bean Starches. Starch—Stärk. 2015, 67, 721–728. [Google Scholar] [CrossRef]
- Atkin, N.J.; Abeysekera, R.M.; Cheng, S.L.; Robards, A.W. An Experimentally-Based Predictive Model for the Separation of Amylopectin Subunits during Starch Gelatinization. Carbohydr. Polym. 1998, 36, 173–192. [Google Scholar] [CrossRef]
- Vamadevan, V.; Bertoft, E. Observations on the Impact of Amylopectin and Amylose Structure on the Swelling of Starch Granules. Food Hydrocoll. 2020, 103, 105663. [Google Scholar] [CrossRef]
- Zhong, Y.; Qu, J.; Li, Z.; Tian, Y.; Zhu, F.; Blennow, A.; Liu, X. Rice Starch Multi-Level Structure and Functional Relationships. Carbohydr. Polym. 2022, 275, 118777. [Google Scholar] [CrossRef]
- Wang, W.; Ge, J.; Xu, K.; Gao, H.; Liu, G.; Wei, H.; Zhang, H. Differences in Starch Structure, Thermal Properties, and Texture Characteristics of Rice from Main Stem and Tiller Panicles. Food Hydrocoll. 2020, 99, 105341. [Google Scholar] [CrossRef]
- Irinislimane, H.; Belhaneche-Bensemra, N. Extraction and Characterization of Starch from Oak Acorn, Sorghum, and Potato and Adsorption Application for Removal of Maxilon Red GRL from Wastewater. Chem. Eng. Commun. 2017, 204, 897–906. [Google Scholar] [CrossRef]
- Li, G.; Wang, S.; Zhu, F. Physicochemical Properties of Quinoa Starch. Carbohydr. Polym. 2016, 137, 328–338. [Google Scholar] [CrossRef] [PubMed]
- Awika, J.; Rose, D.; Simsek, S. Complementary Effects of Cereal and Pulse Polyphenols and Dietary Fiber on Chronic Inflammation and Gut Health. Food Funct. 2018, 9, 1389–1409. [Google Scholar] [CrossRef] [PubMed]









| Type | Sample | TSC | AC | AC/AP | Protein | Fiber |
|---|---|---|---|---|---|---|
| JSS | FZ4 | 94.88 ± 0.99a | 29.67 ± 0.94a | 0.46 ± 0.02a | 0.12 ± 0.01d | 0.17 ± 0.01a |
| JZ159 | 96.03 ± 0.17a | 28.46 ± 1.36a | 0.42 ± 0.03a | 0.15 ± 0.01c | 0.15 ± 0.01b | |
| JZ167 | 96.58 ± 1.00a | 24.96 ± 1.76b | 0.35 ± 0.03b | 0.16 ± 0.01b | 0.15 ± 0.01b | |
| JZ169 | 97.84 ± 1.72a | 24.89 ± 1.76b | 0.34 ± 0.02b | 0.17 ± 0.01b | 0.15 ± 0.01b | |
| WSS | JN | 96.08 ± 1.95a | 1.12 ± 0.79c | 0.01 ± 0.01c | 0.22 ± 0.01a | 0.17 ± 0.01a |
| LML | 96.97 ± 0.92a | 0.28 ± 0.48c | 0.003 ± 0.01c | 0.06 ± 0.01f | 0.17 ± 0.01a | |
| NL | 95.78 ± 2.78a | 0.27 ± 0.23c | 0.003 ± 0.00c | 0.09 ± 0.01e | 0.16 ± 0.01a |
| Type | Sample | To (°C) | Tp (°C) | Tc (°C) | ∆H (J/g) | △T (°C) |
|---|---|---|---|---|---|---|
| JSS | FZ4 | 68.33 ± 0.21d | 72.83 ± 0.25c | 77.77 ± 0.46d | 12.92 ± 0.07de | 9.43 ± 0.45b |
| JZ159 | 68.30 ± 0.10d | 72.10 ± 0.00d | 76.53 ± 0.21e | 13.21 ± 0.04cd | 8.23 ± 0.25c | |
| JZ167 | 67.17 ± 0.25e | 70.63 ± 0.21f | 74.87 ± 0.21g | 12.48 ± 0.36ce | 7.70 ± 0.26d | |
| JZ169 | 66.83 ± 0.06f | 71.13 ± 0.06e | 75.83 ± 0.25f | 13.18 ± 0.93d | 9.00 ± 0.20b | |
| WSS | JN | 73.13 ± 0.15a | 76.03 ± 0.15a | 80.87 ± 0.12a | 15.62 ± 0.40a | 7.73 ± 0.06d |
| LML | 69.53 ± 0.21b | 73.23 ± 0.31b | 78.67 ± 0.35c | 14.08 ± 0.44b | 9.13 ± 0.23b | |
| NL | 69.13 ± 0.12c | 73.40 ± 0.10b | 79.57 ± 0.25b | 13.61 ± 0.23bc | 10.43 ± 0.15a |
| Type | Sample | Hardness (N) | Gumminess (N) | Chewiness (N) | Springiness | Cohesiveness | Resilience |
|---|---|---|---|---|---|---|---|
| JSS | FZ4 | 10.92 ± 0.11a | 8.87 ± 0.29a | 8.16 ± 0.31a | 0.92 ± 0.01b | 0.81 ± 0.02b | 0.54 ± 0.01c |
| JZ159 | 10.56 ± 0.59ab | 8.75 ± 0.32a | 8.24 ± 0.21a | 0.94 ± 0.02b | 0.83 ± 0.02b | 0.59 ± 0.02b | |
| JZ167 | 10.02 ± 0.66bc | 8.23 ± 0.38b | 7.70 ± 0.32b | 0.94 ± 0.01b | 0.82 ± 0.02b | 0.56 ± 0.01bc | |
| JZ169 | 9.64 ± 0.46c | 8.03 ± 0.38b | 7.54 ± 0.38b | 0.94 ± 0.01b | 0.84 ± 0.01b | 0.57 ± 0.03bc | |
| WSS | JN | 0.72 ± 0.13d | 0.64 ± 0.10c | 0.71 ± 0.1c | 1.11 ± 0.21a | 0.89 ± 0.04a | 0.59 ± 0.03b |
| LML | 1.31 ± 0.10d | 1.07 ± 0.12c | 1.02 ± 0.10c | 0.95 ± 0.05b | 0.83 ± 0.01b | 0.67 ± 0.04a | |
| NL | / | / | / | / | / | / |
| Type | Sample | G′ (Pa) | G″ (Pa) | Tan δ |
|---|---|---|---|---|
| JSS | FZ4 | 961.29 ± 50.63a | 34.36 ± 2.54ab | 0.04 ± 0.01d |
| JZ159 | 912.24 ± 110.58ab | 37.45 ± 7.96a | 0.04 ± 0.00d | |
| JZ167 | 793.81 ± 58.98c | 27.43 ± 1.54c | 0.03 ± 0.01d | |
| JZ169 | 828.33 ± 8.42bc | 29.58 ± 0.91bc | 0.04 ± 0.00d | |
| WSS | JN | 15.12 ± 0.15d | 8.12 ± 0.15d | 0.54 ± 0.01b |
| LML | 87.94 ± 10.19d | 9.41 ± 0.72d | 0.11 ± 0.01c | |
| NL | 12.12 ± 0.29d | 6.89 ± 0.10d | 0.57 ± 0.01a |
Disclaimer/Publisher’s Note: The statements, opinions and data contained in all publications are solely those of the individual author(s) and contributor(s) and not of MDPI and/or the editor(s). MDPI and/or the editor(s) disclaim responsibility for any injury to people or property resulting from any ideas, methods, instructions or products referred to in the content. |
© 2025 by the authors. Licensee MDPI, Basel, Switzerland. This article is an open access article distributed under the terms and conditions of the Creative Commons Attribution (CC BY) license (https://creativecommons.org/licenses/by/4.0/).
Share and Cite
Mao, J.; Li, J.; Yan, H.; Shen, Q. Differences in Hydration Behavior and Physicochemical Properties of Starches from Different Sorghum Varieties and Their Multiple Relationships. Foods 2025, 14, 3131. https://doi.org/10.3390/foods14173131
Mao J, Li J, Yan H, Shen Q. Differences in Hydration Behavior and Physicochemical Properties of Starches from Different Sorghum Varieties and Their Multiple Relationships. Foods. 2025; 14(17):3131. https://doi.org/10.3390/foods14173131
Chicago/Turabian StyleMao, Jun, Jihong Li, Hongdong Yan, and Qun Shen. 2025. "Differences in Hydration Behavior and Physicochemical Properties of Starches from Different Sorghum Varieties and Their Multiple Relationships" Foods 14, no. 17: 3131. https://doi.org/10.3390/foods14173131
APA StyleMao, J., Li, J., Yan, H., & Shen, Q. (2025). Differences in Hydration Behavior and Physicochemical Properties of Starches from Different Sorghum Varieties and Their Multiple Relationships. Foods, 14(17), 3131. https://doi.org/10.3390/foods14173131

