Insights into the Composition and Function of Virus Communities During Acetic Acid Fermentation of Shanxi Aged Vinegar
Abstract
1. Introduction
2. Materials and Methods
2.1. Sample Collection and Physicochemical Analysis
2.2. Viral Purification, Nucleic Acid Extraction, and Sequencing
2.3. Bacterial DNA Extraction and Sequencing
2.4. Processing of Sequencing Data
2.5. Identification of AMGs and ARGs in Viral Metagenomes
2.6. Statistical Analyses
3. Results
3.1. Virome Sequencing and Fermentation Environmental Dynamics
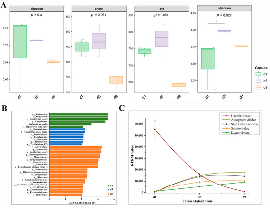
3.2. Taxonomic Diversities of Viral Community
3.3. Changes in Viral Communities at the Temporal Scale
3.4. The Relationship Between Viral Communities, Bacterial Communities, and the Fermentation Environment
3.5. Abundant Auxiliary Metabolic Genes of Viruses
3.6. Antibiotic Resistance Genes in the Virome
4. Discussion
4.1. Predominant Viral Families in Shanxi Aged Vinegar Fermentation
4.2. Viral Communities Are Closely Associated with Bacterial Communities and the Fermentation Environment
4.3. Abundant Functional Genes in the Viral Genome
5. Conclusions
Supplementary Materials
Author Contributions
Funding
Institutional Review Board Statement
Informed Consent Statement
Data Availability Statement
Conflicts of Interest
References
- Chen, Z.; Liu, Y.; Wang, Y.; Du, X.; Deng, X.; Xiang, J.; Wang, Y.; Wang, J.; Krupovic, M.; Du, S.; et al. A virus-borne DNA damage signaling pathway controls the lysogeny-induction switch in a group of temperate pleolipoviruses. Nucleic Acids Res. 2023, 51, 3270–3287. [Google Scholar] [CrossRef] [PubMed]
- Kieft, K.; Zhou, Z.C.; Anderson, R.E.; Buchan, A.; Campbell, B.J.; Hallam, S.J.; Hess, M.; Sullivan, M.B.; Walsh, D.A.; Roux, S.; et al. Ecology of inorganic sulfur auxiliary metabolism in widespread bacteriophages. Nat. Commun. 2021, 12, 3503. [Google Scholar] [CrossRef]
- Sieradzki, E.T.; Ignacio-Espinoza, J.C.; Needham, D.M.; Fichot, E.B.; Fuhrman, J.A. Dynamic marine viral infections and major contribution to photosynthetic processes shown by spatiotemporal picoplankton metatranscriptomes. Nat. Commun. 2019, 10, 1169. [Google Scholar] [CrossRef]
- Martiniuc, C.F.; Leite, D.C.d.A.; Seldin, L.; Jurelevicius, D. Viral Diversity in Polar Hydrocarbon-Contaminated Soils: A Transect Study from King George Island, Antarctica. Food Environ. Virol. 2025, 17, 43. [Google Scholar] [CrossRef] [PubMed]
- Middelboe, M.; Traving, S.J.; Castillo, D.; Kalatzis, P.G.; Glud, R.N. Prophage-encoded chitinase gene supports growth of its bacterial host isolated from deep-sea sediments. ISME J. 2025, 19, wraf004. [Google Scholar] [CrossRef]
- Bhattarai, B.; Bhattacharjee, A.S.; Coutinho, F.H.; Goel, R.K. Viruses and their interactions with bacteria and archaea of hypersaline Great Salt Lake. Front. Microbiol. 2021, 12, 701414. [Google Scholar] [CrossRef]
- Zhu, D.; Liu, S.-Y.; Sun, M.-M.; Yi, X.-Y.; Duan, G.-L.; Ye, M.; Gillings, M.R.; Zhu, Y.-G. Adaptive expression of phage auxiliary metabolic genes in paddy soils and their contribution toward global carbon sequestration. Proc. Natl. Acad. Sci. USA 2024, 121, e2419798121. [Google Scholar] [CrossRef]
- Yuan, S.; Wu, Y.; Balcazar, J.L.; Wang, D.; Zhu, D.; Ye, M.; Sun, M.; Hu, F. Expanding the potential soil carbon sink: Unraveling carbon sequestration accessory genes in vermicompost phages. Appl. Environ. Microb. 2025, 91, 4. [Google Scholar] [CrossRef] [PubMed]
- Chen, Q.; Dharmaraj, T.; Cai, P.C.; Burgener, E.B.; Haddock, N.L.; Spakowitz, A.J.; Bollyky, P.L. Bacteriophage and bacterial susceptibility, resistance, and tolerance to antibiotics. Pharmaceutics 2022, 14, 1425. [Google Scholar] [CrossRef] [PubMed]
- Huang, D.; Yu, P.; Ye, M.; Schwarz, C.; Jiang, X.; Alvarez, P.J.J. Enhanced mutualistic symbiosis between soil phages and bacteria with elevated chromium-induced environmental stress. Microbiome 2021, 9, 150. [Google Scholar] [CrossRef]
- Ye, P.-Z.; Yang, Q.; Zhang, C.-Y.; Yang, T.-T.; Jiang, S.-F.; Lan, R.; Gao, S.-M.; Huang, L.-N. Comparative metagenomic analyses of viral genomic diversity and ecosystem functions in extremely acidic copper mine tailings. J. Hazard. Mater. 2025, 495, 138862. [Google Scholar] [CrossRef]
- Coclet, C.; Sorensen, P.O.; Karaoz, U.; Wang, S.; Brodie, E.L.; Eloe-Fadrosh, E.A.; Roux, S. Virus diversity and activity is driven by snowmelt and host dynamics in a high-altitude watershed soil ecosystem. Microbiome 2023, 11, 237. [Google Scholar] [CrossRef] [PubMed]
- Wu, R.; Bottos, E.M.; Danna, V.G.; Stegen, J.C.; Jansson, J.K.; Davison, M.R. RNA viruses linked to eukaryotic hosts in thawed permafrost. Msystems 2022, 7, e0058222. [Google Scholar] [CrossRef] [PubMed]
- Zhang, J.; Zhan, C.; Sun, Y.; Pan, T.; Zhou, X. Exploring the efficacy of bacteriophage cocktails for mitigating Vibrio contamination within the seafood production chain: A feasible approach to microbial risk management. Food Control 2025, 177, 111424. [Google Scholar] [CrossRef]
- Vikram, A.; McCarty, K.; Callahan, M.T.; Sullivan, J.; Sulakvelidze, A. Biocontrol of two Escherichia coli O157:H7 strains and a nonpathogenic surrogate E. coli in wheat grains and wheat milling operations using a lytic bacteriophage cocktail. J. Food Prot. 2025, 88, 100557. [Google Scholar] [CrossRef]
- Costa, P.; Pereira, C.; Barja, J.L.; Romalde, J.L.; Almeida, A. Enhancing bivalve depuration using a phage cocktail: An in vitro and in vivo study. Food Control 2025, 177, 111442. [Google Scholar] [CrossRef]
- Zhang, H.; Zhang, H.; Du, H.; Zhang, Y.; Zhang, M.; Yu, X.; Xu, Y. Unraveling the multiple interactions between phages, microbes and flavor in the fermentation of strong-flavor Baijiu. Bioresour. Bioprocess. 2025, 12, 14. [Google Scholar] [CrossRef]
- Huang, X.; Li, R.; Xu, J.; Kang, J.; Chen, X.; Han, B.; Xue, Y. Integrated multi-omics uncover viruses, active fermenting microbes and their metabolic profiles in the Daqu microbiome. Food Res. Int. 2025, 208, 116061. [Google Scholar] [CrossRef]
- Tan, G.; Qi, S.; Wang, Y.; Li, X.; Li, X.; Li, M.; Li, L.; Zhao, L.; Hu, M. Uncovering differences in the composition and function of phage communities and phage-bacterium interactions in raw soy sauce. Front. Microbiol. 2023, 14, 1328158. [Google Scholar] [CrossRef]
- Gendre, J.C.; Le Marrec, C.; Chaillou, S.; Omhover-Fougy, L.; Landaud, S.; Dugat-Bony, E. Exploring viral diversity in fermented vegetables through viral metagenomics. Food Microbiol. 2025, 128, 104733. [Google Scholar] [CrossRef]
- Santos, J.P.N.; Rodrigues, G.V.P.; Ferreira, L.Y.M.; Monteiro, G.P.; Fonseca, P.L.C.; Lopes, Í.S.; Florêncio, B.S.; da Silva Junior, A.B.; Ambrósio, P.E.; Pirovani, C.P.; et al. The virome of cocoa fermentation-associated microorganisms. Viruses 2024, 16, 1226. [Google Scholar] [CrossRef]
- Yu, Z.; Ma, Y.; Guan, Y.F.; Zhu, Y.Y.; Wang, K.; Wang, Y.Q.; Liu, P.; Chen, J.; Yu, Y.J. Metagenomics of virus diversities in solid-state brewing process of traditional Chinese vinegar. Foods 2022, 11, 3296. [Google Scholar] [CrossRef]
- Ma, J.; Qian, C.; Hu, Q.; Zhang, J.; Gu, G.; Liang, X.; Zhang, L. The bacteriome-coupled phage communities continuously contract and shift to orchestrate the traditional rice vinegar fermentation. Food Res. Int. 2024, 184, 114244. [Google Scholar] [CrossRef]
- Xie, X.; Zheng, Y.; Liu, X.; Cheng, C.; Zhang, X.; Xia, T.; Yu, S.; Wang, M. Antioxidant activity of Chinese Shanxi Aged Vinegar and its correlation with polyphenols and flavonoids during the brewing process. J. Food Sci. 2017, 82, 2479–2486. [Google Scholar] [CrossRef] [PubMed]
- Huang, T.; Lu, Z.-M.; Peng, M.-Y.; Liu, Z.-F.; Chai, L.-J.; Zhang, X.-J.; Shi, J.-S.; Li, Q.; Xu, Z.-H. Combined effects of fermentation starters and environmental factors on the microbial community assembly and flavor formation of Zhenjiang aromatic vinegar. Food Res. Int. 2022, 152, 110900. [Google Scholar] [CrossRef]
- Hua, S.; Wei, X.; Wang, L.; Wang, Y.; Cheng, S.; Bao, C.; Zeng, X.; Chen, X.; Yu, Y.; Tan, J. Application of Pichia kudriavzevii in solid-state fermentation of Zhenjiang aromatic vinegar: Microbial community structure and volatile flavor changes. Int. J. Food Microbiol. 2025, 442, 111357. [Google Scholar] [CrossRef]
- Jung, M.-J.; Kim, M.-S.; Yun, J.-H.; Lee, J.-Y.; Kim, P.S.; Lee, H.-W.; Ha, J.-H.; Roh, S.W.; Bae, J.-W. Viral community predicts the geographical origin of fermented vegetable foods more precisely than bacterial community. Food Microbiol. 2018, 76, 319–327. [Google Scholar] [CrossRef] [PubMed]
- Li, M.; Zhang, Q.; Han, G.; Liang, T.; Liu, J.; Wang, D.; Zhong, Q. Multivariate discrimination of Chinese vinegars using multi-element: Implications for origin traceability and dietary safety. J. Food Compos. Anal. 2025, 145, 107807. [Google Scholar] [CrossRef]
- Ye, X.; Yu, Y.; Liu, J.; Zhu, Y.; Yu, Z.; Liu, P.; Wang, Y.; Wang, K. Inoculation strategies affect the physicochemical properties and flavor of Zhenjiang aromatic vinegar. Front. Microbiol. 2023, 14, 1126238. [Google Scholar] [CrossRef] [PubMed]
- Lin, X.; Deng, C.; Wang, L.; Shu, Y.; Li, S.; Song, Y.; Kong, H.; Liang, Z.; Liu, L.; Rao, Y. Isolation, characterization, and preliminary application of Staphylococcal Bacteriophages in Sichuan Paocai fermentation. Microorganisms 2025, 13, 1273. [Google Scholar] [CrossRef]
- Kou, R.; Li, M.; Xing, J.; He, Y.; Wang, H.; Fan, X. Exploring of seasonal dynamics of microbial community in multispecies fermentation of Shanxi mature vinegar. J. Biosci. Bioeng. 2022, 133, 375–381. [Google Scholar] [CrossRef]
- Yang, L.; Yan, Y.; Shen, J.; Xia, Y.; Lang, F.; Chen, C.; Zou, W. Metagenomic insights into microbial community succession and its functional changes during the stage of acetic acid fermentation of shanxi aged vinegar. BMC Microbiol. 2025, 25, 374. [Google Scholar] [CrossRef]
- Parichehreh, S.; Tahmasbi, G.; Asnaashari, M.; Ahmadi, F.; Eslampanah, M. Climatic determinants of physicochemical traits and probiotic composition in dwarf honeybee (Apis florea) honey. Food Sci. Nutr. 2025, 13, e70640. [Google Scholar] [CrossRef]
- Caporaso, J.G.; Lauber, C.L.; Walters, W.A.; Berg-Lyons, D.; Lozupone, C.A.; Turnbaugh, P.J.; Fierer, N.; Knight, R. Global patterns of 16S rRNA diversity at a depth of millions of sequences per sample. Proc. Natl. Acad. Sci. USA 2011, 108, 4516–4522. [Google Scholar] [CrossRef]
- Chen, S.; Zhou, Y.; Chen, Y.; Gu, J. fastp: An ultra-fast all-in-one FASTQ preprocessor. Bioinformatics 2018, 34, 884–890. [Google Scholar] [CrossRef]
- Li, D.; Liu, C.-M.; Luo, R.; Sadakane, K.; Lam, T.-W. MEGAHIT: An ultra-fast single-node solution for large and complex metagenomics assembly via succinct de Bruijn graph. Bioinformatics 2015, 31, 1674–1676. [Google Scholar] [CrossRef]
- Fu, L.; Niu, B.; Zhu, Z.; Wu, S.; Li, W. CD-HIT: Accelerated for clustering the next-generation sequencing data. Bioinformatics 2012, 28, 3150–3152. [Google Scholar] [CrossRef] [PubMed]
- Rognes, T.; Flouri, T.; Nichols, B.; Quince, C.; Mahe, F. VSEARCH: A versatile open source tool for metagenomics. PeerJ 2016, 4, e2584. [Google Scholar] [CrossRef]
- Quast, C.; Pruesse, E.; Yilmaz, P.; Gerken, J.; Schweer, T.; Yarza, P.; Peplies, J.; Gloeckner, F.O. The SILVA ribosomal RNA gene database project: Improved data processing and web-based tools. Nucleic Acids Res. 2013, 41, D590–D596. [Google Scholar] [CrossRef] [PubMed]
- Bokulich, N.A.; Kaehler, B.D.; Rideout, J.R.; Dillon, M.; Bolyen, E.; Knight, R.; Huttley, G.A.; Caporaso, J.G. Optimizing taxonomic classification of marker-gene amplicon sequences with QIIME 2′s q2-feature-classifier plugin. Microbiome 2018, 6, 90. [Google Scholar] [CrossRef] [PubMed]
- Hyatt, D.; Chen, G.-L.; LoCascio, P.F.; Land, M.L.; Larimer, F.W.; Hauser, L.J. Prodigal: Prokaryotic gene recognition and translation initiation site identification. BMC Bioinf. 2010, 11, 119. [Google Scholar] [CrossRef]
- Jia, B.; Raphenya, A.R.; Alcock, B.; Waglechner, N.; Guo, P.; Tsang, K.K.; Lago, B.A.; Dave, B.M.; Pereira, S.; Sharma, A.N.; et al. CARD 2017: Expansion and model-centric curation of the comprehensive antibiotic resistance database. Nucleic Acids Res. 2017, 45, D566–D573. [Google Scholar] [CrossRef] [PubMed]
- Zhang, Y.; Guo, Y.; Qiu, T.; Gao, M.; Wang, X. Bacteriophages: Underestimated vehicles of antibiotic resistance genes in the soil. Front. Microbiol. 2022, 13, 936267. [Google Scholar] [CrossRef]
- Liang, T.T.; Jiang, T.; Liang, Z.; Zhang, N.; Dong, B.; Wu, Q.P.; Gu, B. Carbohydrate-active enzyme profiles of strain 84-3 contribute to flavor formation in fermented dairy and vegetable products. Food Chem. X 2023, 20, 101036. [Google Scholar] [CrossRef] [PubMed]
- Du, H.; Chen, B.W.; Fu, W.B.; Yang, F.; Lv, X.B.; Tan, Y.W.; Xi, X.L.; Wang, L.; Xu, Y. Composition and function of viruses in sauce-flavor fermentation. Int. J. Food Microbiol. 2023, 387, 110055. [Google Scholar] [CrossRef] [PubMed]
- Kong, S.-J.; Park, J.-H. Effect of bacteriophages on viability and growth of co-cultivated Weissella and Leuconostoc in kimchi fermentation. J. Microbiol. Biotechnol. 2019, 29, 558–561. [Google Scholar] [CrossRef]
- Hampton, H.G.; Watson, B.N.J.; Fineran, P.C. The arms race between bacteria and their phage foes. Nature 2020, 577, 327–336. [Google Scholar] [CrossRef]
- Ayibieke, A.; Nishiyama, A.; Senoh, M.; Hamabata, T. Gene expression analysis during the conversion from a viable but nonculturable to culturable state in. Gene 2023, 863, 147289. [Google Scholar] [CrossRef]
- Suster, K.; Cör, A. Induction of viable but non-culturable state in clinically relevant Staphylococci and their detection with bacteriophage K. Antibiotics 2023, 12, 311. [Google Scholar] [CrossRef]
- Ledormand, P.; Desmasures, N.; Schlusselhuber, M.; Sesboue, A.; Ledauphin, J.; Dalmasso, M. Phages shape microbial dynamics and metabolism of a model community mimicking cider, a fermented beverage. Viruses 2022, 14, 2283. [Google Scholar] [CrossRef]
- Li, Y.; Sun, H.; Yang, W.; Chen, G.; Xu, H. Dynamics of bacterial and viral communities in paddy soil with irrigation and urea application. Viruses 2019, 11, 347. [Google Scholar] [CrossRef]
- Zhou, W.Y.; Li, Y.J.; Wu, Y.H.; Hu, W.C.; Li, W.J.; Deng, A.P.; Han, Y.L.; Zhu, G.Q.; Yang, Z.Q. Temperate bacteriophage SapYZUs7 alters Staphylococcus aureus fitness balance by regulating expression of phage resistance, virulence and antimicrobial resistance gene. Microbiol. Res. 2025, 292, 128040. [Google Scholar] [CrossRef]
- Li, W.; Wang, Y.; Zhao, K.; Xu, L.; Shi, T.; Ma, B.; Lv, X. Host-virus coevolution drives soil microbial function succession along a millennium land reclamation chronosequence. J. Adv. Res. 2025, 71, 297–306. [Google Scholar] [CrossRef] [PubMed]
- Jung, M.-J.; Lee, J.; Kim, Y.B.; Lee, S.H.; Whon, T.W. Role of bacteriophages in modulating bacterial fitness during the fermentation of kimchi and rice beer. LWT Food Sci. Technol. 2025, 226, 117971. [Google Scholar] [CrossRef]
- Breitbart, M.; Bonnain, C.; Malki, K.; Sawaya, N.A. Phage puppet masters of the marine microbial realm. Nat. Microbiol. 2018, 3, 754–766. [Google Scholar] [CrossRef]
- Calero-Caceres, W.; Ye, M.; Luis Balcazar, J. Bacteriophages as environmental reservoirs of antibiotic resistance. Trends Microbiol. 2019, 27, 570–577. [Google Scholar] [CrossRef] [PubMed]
- Subudhi, B.B.; Muduli, N.R.; Behera, P.K.; Moharana, A.K.; Sahu, R. Optimization of QuPPe approach and validation of analytical method for estimation of validamycin from grain, paddy husk, and soil by HPLC-ESI-MS/MS-based method. Environ. Monit. Assess. 2020, 192, 17. [Google Scholar] [CrossRef] [PubMed]
- Truong, T.T.T.; Tran, T.K.C.; Vu, T.N.; Tran, T.D.; Pham, H.T.D.; Nguyen, K.A.; Pham, D.A.; Nguyen, H.V.; Nguyen, T.B.; Pham, T.D. Highly adsorptive removal of emerging antibiotics in water using novel Al2O3/SiO2 nanocomposites fabricated from rice husk. Surf. Interfaces 2025, 58, 105792. [Google Scholar] [CrossRef]





| Protein ID | ARO Accession | Drug Class | ARG Name | e Value |
|---|---|---|---|---|
| gene_679 | ARO:3003296 | Fluoroquinolone antibiotic; nybomycin-like antibiotic | Saur_gyrA_FLO | 1.14 × 10−62 |
| gene_1866 | ARO:3004835 | Carbapenem; Cephalosporin; Cephamycin; Monobactam; Penam | Ngon_pilQ_BLA | 1.36 × 10−107 |
| gene_1871 | ARO:3004833 | Carbapenem; Cephalosporin; Cephamycin; Monobactam; Penam | Ngon_PBP1_BLA | 2.41 × 10−194 |
| gene_2060 | ARO:3003931 | Fluoroquinolone antibiotic; Nybomycin-like antibiotic | Cgin_gyrA_FLO | 4.80 × 10−31 |
| gene_2064 | ARO:3003305 | Aminocoumarin antibiotic; Fluoroquinolone antibiotic | Uure_gyrB_FLO | 1.12 × 10−22 |
| gene_2223 | ARO:3003929 | Fluoroquinolone antibiotic | Ngon_parC_FLO | 4.30 × 10−22 |
| gene_2751 | ARO:3004476 | Lincosamide antibiotic; Streptogramin B antibiotic; Streptogramin antibiotic | vmlR | 6.16 × 10−9 |
| gene_4728 | ARO:3004480 | Peptide antibiotic; Rifamycin antibiotic | Bado_rpoB_RIF | 1.86 × 10−10 |
| gene_6593 | ARO:3004153 | Salicylic acid antibiotic | Mtub_thyA_PAS | 5.78 × 10−59 |
| gene_13680 | ARO:3003296 | Fluoroquinolone antibiotic; Nybomycin-like antibiotic | Saur_gyrA_FLO | 1.06 × 10−61 |
| gene_22061 | ARO:3007051 | Fluoroquinolone antibiotic; Peptide antibiotic; Rifamycin antibiotic | Hpyl_rpoB_RIF | 3.89 × 10−9 |
| gene_27239 | ARO:3003305 | Aminocoumarin antibiotic; Fluoroquinolone antibiotic | Uure_gyrB_FLO | 1.39 × 10−60 |
| gene_31692 | ARO:3004476 | Lincosamide antibiotic; Streptogramin B antibiotic; Streptogramin antibiotic | vmlR | 1.97 × 10−9 |
| gene_34004 | ARO:3003463 | Disinfecting agents and antiseptics; Isoniazid-like antibiotic | Mtub_kasA_INH | 1.81 × 10−6 |
| gene_34452 | ARO:3004153 | Salicylic acid antibiotic | Mtub_thyA_PAS | 4.51 × 10−71 |
| gene_43223 | ARO:3000813 | Diaminopyrimidine antibiotic; Fluoroquinolone antibiotic; Phenicol antibiotic | MexS | 7.53 × 10−8 |
| gene_45120 | ARO:3003307 | Aminocoumarin antibiotic; Fluoroquinolone antibiotic | Sser_gyrB_FLO | 1.24 × 10−39 |
| gene_48161 | ARO:3007051 | Fluoroquinolone antibiotic; Peptide antibiotic; Rifamycin antibiotic | Hpyl_rpoB_RIF | 2.32 × 10−10 |
| gene_48207 | ARO:3004253 | Glycopeptide antibiotic | vanU_in_vanG_cl | 3.48 × 10−15 |
| gene_50049 | ARO:3003305 | Aminocoumarin antibiotic; Fluoroquinolone antibiotic | Uure_gyrB_FLO | 1.42 × 10−66 |
Disclaimer/Publisher’s Note: The statements, opinions and data contained in all publications are solely those of the individual author(s) and contributor(s) and not of MDPI and/or the editor(s). MDPI and/or the editor(s) disclaim responsibility for any injury to people or property resulting from any ideas, methods, instructions or products referred to in the content. |
© 2025 by the authors. Licensee MDPI, Basel, Switzerland. This article is an open access article distributed under the terms and conditions of the Creative Commons Attribution (CC BY) license (https://creativecommons.org/licenses/by/4.0/).
Share and Cite
Yu, Z.; Zhao, H.; Ma, T.; Zhang, X.; Yan, Y.; Zhu, Y.; Yu, Y. Insights into the Composition and Function of Virus Communities During Acetic Acid Fermentation of Shanxi Aged Vinegar. Foods 2025, 14, 3095. https://doi.org/10.3390/foods14173095
Yu Z, Zhao H, Ma T, Zhang X, Yan Y, Zhu Y, Yu Y. Insights into the Composition and Function of Virus Communities During Acetic Acid Fermentation of Shanxi Aged Vinegar. Foods. 2025; 14(17):3095. https://doi.org/10.3390/foods14173095
Chicago/Turabian StyleYu, Zhen, Huizi Zhao, Tingting Ma, Xujiao Zhang, Yufeng Yan, Yini Zhu, and Yongjian Yu. 2025. "Insights into the Composition and Function of Virus Communities During Acetic Acid Fermentation of Shanxi Aged Vinegar" Foods 14, no. 17: 3095. https://doi.org/10.3390/foods14173095
APA StyleYu, Z., Zhao, H., Ma, T., Zhang, X., Yan, Y., Zhu, Y., & Yu, Y. (2025). Insights into the Composition and Function of Virus Communities During Acetic Acid Fermentation of Shanxi Aged Vinegar. Foods, 14(17), 3095. https://doi.org/10.3390/foods14173095

