Sustainable Protein-Enriched Biscuits: Effects of Mealworm Protein Powder on the Properties of Wheat Flour and Biscuit Quality
Abstract
1. Introduction
2. Materials and Methods
2.1. Materials
2.2. Preparation of Composite Flour Samples
2.3. Pasting Properties
2.4. Farinographic Analysis
2.5. Extensographic Analysis
2.6. Biscuit Preparation
2.7. Colorimetric and Baking Expansion Ratio Analysis
2.8. Texture Profile Analysis of Biscuit
2.9. Proximate Compositions
2.10. Sensory Evaluation of Biscuits
2.11. Statistical Analysis
3. Results and Discussion
3.1. Pasting Properties of Flour
3.2. Farinographic Properties of Dough
3.3. Extensographic Properties of Dough
3.4. Analysis of Color and Baking Expansion Ratio of Biscuits
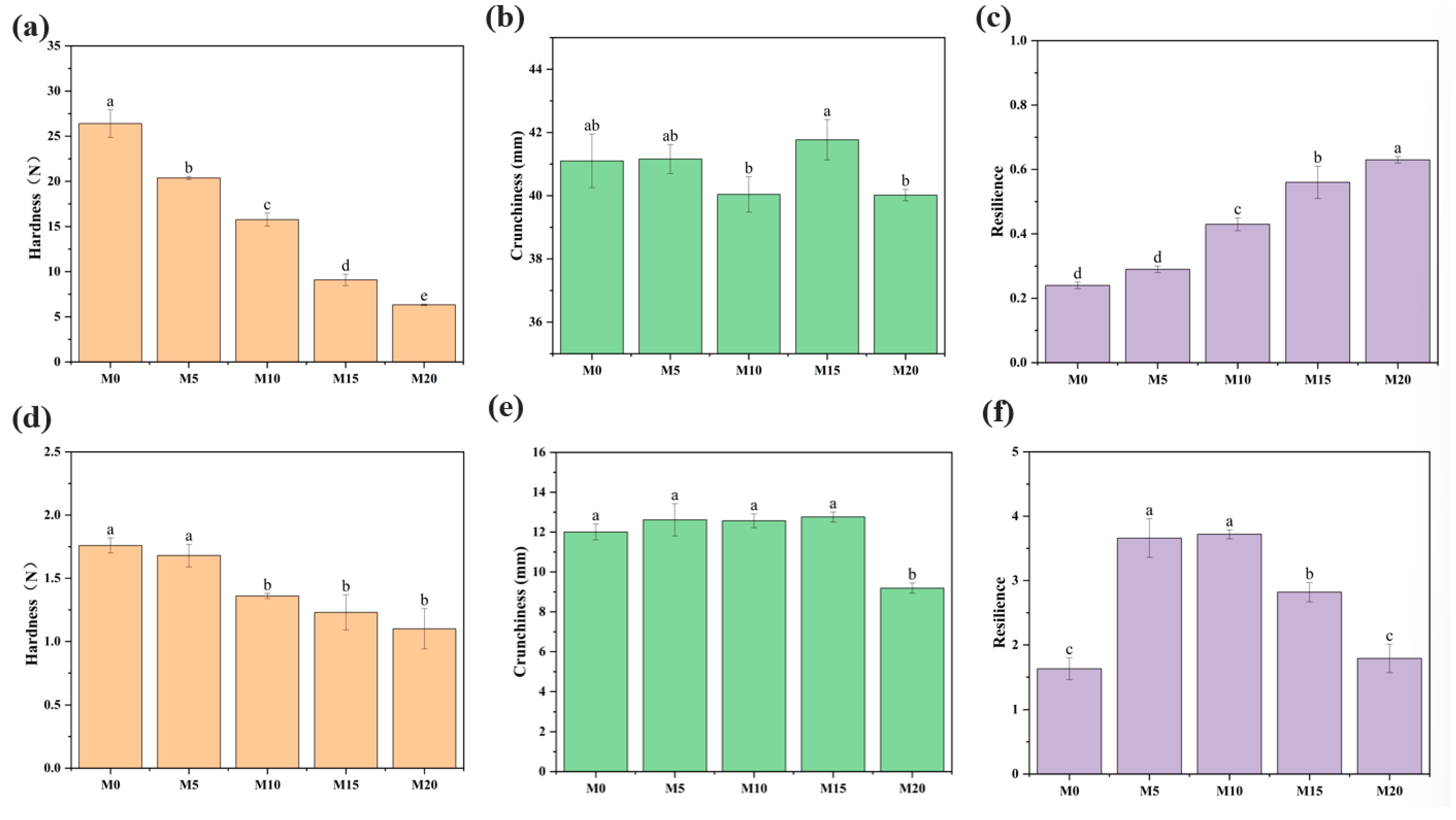
3.5. Texture Analysis of Biscuits
3.6. Multivariate Statistical Analysis
3.7. Nutritional Values
3.8. Sensory Evaluation of Biscuits
4. Conclusions
Author Contributions
Funding
Institutional Review Board Statement
Informed Consent Statement
Data Availability Statement
Conflicts of Interest
References
- Saeed, I.; Shaheen, S.; Hussain, K.; Khan, M.A.; Jaffer, M.; Mahmood, T.; Khalid, S.; Sarwar, S.; Tahir, A.; Khan, F. Assessment of mold and yeast in some bakery products of Lahore, Pakistan based on LM and SEM. Microsc. Res. Tech. 2018, 82, 85–91. [Google Scholar] [CrossRef] [PubMed]
- Bartkiene, E.; Zokaityte, E.; Kentra, E.; Starkute, V.; Klupsaite, D.; Mockus, E.; Zokaityte, G.; Cernauskas, D.; Rocha, J.M.; Guiné, R.P.F. Characterisation of Lacto-Fermented Cricket (Acheta domesticus) Flour and Its Influence on the Quality Parameters and Acrylamide Formation in Wheat Biscuits. Fermentation 2023, 9, 153. [Google Scholar] [CrossRef]
- Thomas M.S. Wolever, D.M. Carbohydrate and the regulation of blood glucose and metabolism. Nutr. Rev. 2003, 61, S40–S48. [Google Scholar]
- Asadi, S.Z.; Khan, M.A.; Zaidi, S. A study on the shelf life of cookies incorporated with sapota and beetroot leaf powders. J. Food Sci. Technol. 2022, 59, 3848–3856. [Google Scholar] [CrossRef]
- Banerjee, S.; Haldar, S.; Reddy, N.; Reddy, R.; Nagananda, G.S.; Mitra, J. Under-utilized germinated horse gram (Macrotyloma uniflorum) protein—Extraction, process optimization, characterization and its use in cookies fortification. LWT 2022, 160, 113276. [Google Scholar] [CrossRef]
- Mai, T.H.A.; Tran, T.T.T.; Le, V.V.M. Use of pitaya peel powder for partial replacement of wheat flour in cookie making: Effects of particle size of pitaya peel powder on the product quality. J. Food Process. Preserv. 2021, 46, e16214. [Google Scholar] [CrossRef]
- Moro, T.M.A.; Celegatti, C.M.; Pereira, A.P.A.; Lopes, A.S.; Barbin, D.F.; Pastore, G.M.; Clerici, M.T.P.S. Use of burdock root flour as a prebiotic ingredient in cookies. LWT 2018, 90, 540–546. [Google Scholar] [CrossRef]
- Mihaly Cozmuta, A.; Uivarasan, A.; Peter, A.; Nicula, C.; Kovacs, D.E.; Mihaly Cozmuta, L. Yellow Mealworm (Tenebrio molitor) Powder Promotes a High Bioaccessible Protein Fraction and Low Glycaemic Index in Biscuits. Nutrients 2023, 15, 997. [Google Scholar] [CrossRef]
- Zhou, Y.; Wang, D.; Zhou, S.; Duan, H.; Guo, J.; Yan, W. Nutritional Composition, Health Benefits, and Application Value of Edible Insects: A Review. Foods 2022, 11, 3961. [Google Scholar] [CrossRef] [PubMed]
- Zuk-Golaszewska, K.; Galecki, R.; Obremski, K.; Smetana, S.; Figiel, S.; Golaszewski, J. Edible Insect Farming in the Context of the EU Regulations and Marketing-An Overview. Insects 2022, 13, 446. [Google Scholar] [CrossRef]
- Wang, Y.-S.; Shelomi, M. Review of Black Soldier Fly (Hermetia illucens) as Animal Feed and Human Food. Foods 2017, 6, 91. [Google Scholar] [CrossRef]
- Skotnicka, M.; Mazurek, A.; Kowalski, S. The Acceptance of Cream Soups with the Addition of Edible Insects (Mealworm, T. molitor; House Cricket, A. domesticus; Buffalo Worm, A. diaperinus; Grasshopper, R. differens) among Young People and Seniors in Poland. Nutrients 2023, 15, 5047. [Google Scholar] [CrossRef]
- Aguilar-Toala, J.E.; Cruz-Monterrosa, R.G.; Liceaga, A.M. Beyond Human Nutrition of Edible Insects: Health Benefits and Safety Aspects. Insects 2022, 13, 1007. [Google Scholar] [CrossRef] [PubMed]
- Navarro del Hierro, J.; Hernández-Ledesma, B.; Martin, D. Potential of edible insects as a new source of bioactive compounds against metabolic syndrome. In Current Advances for Development of Functional Foods Modulating Inflammation and Oxidative Stress; Academic Press: Cambridge, MA, USA, 2022; pp. 331–364. [Google Scholar] [CrossRef]
- Tanga, C.M.; Kababu, M.O. New insights into the emerging edible insect industry in Africa. Anim. Front. 2023, 13, 26–40. [Google Scholar] [CrossRef]
- Taglieri, I.; Bedini, S.; Zinnai, A.; Sanmartin, C.; Conti, B.; Farina, P.; Chiriboga Ortega, R.D.; De Leo, M.; Braca, A.; Tavarini, S.; et al. Effects of flaxseed cake fortification on bread shelf life, and its possible use as feed for Tenebrio molitor larvae in a circular economy: Preliminary results. J. Sci. Food Agric. 2022, 102, 1736–1743. [Google Scholar] [CrossRef]
- Nowak, V.; Persijn, D.; Rittenschober, D.; Charrondiere, U.R. Review of food composition data for edible insects. Food Chem. 2016, 193, 39–46. [Google Scholar] [CrossRef] [PubMed]
- European, C. Commission Implementing Regulation (EU) 2025/89 of 20 January 2025 Authorising the Placing on the Market of UV-Treated Powder of Whole Tenebrio molitor Larvae (Yellow Mealworm) as a Novel Food and Amending Implementing Regulation (EU) 2017/2470. Union, O.J.o.t.E., Ed. 2025. Available online: https://eur-lex.europa.eu/legal-content/EN/TXT/PDF/?uri=OJ:L_202500089 (accessed on 28 August 2025).
- Borges, M.M.; da Costa, D.V.; Trombete, F.M.; Câmara, A.K.F.I. Edible insects as a sustainable alternative to food products: An insight into quality aspects of reformulated bakery and meat products. Curr. Opin. Food Sci. 2022, 46, 100864. [Google Scholar] [CrossRef]
- Kotsou, K.; Chatzimitakos, T.; Athanasiadis, V.; Bozinou, E.; Athanassiou, C.G.; Lalas, S.I. Innovative Applications of Tenebrio molitor Larvae in Food Product Development: A Comprehensive Review. Foods 2023, 12, 4223. [Google Scholar] [CrossRef]
- Draszanowska, A.; Kurp, L.; Starowicz, M.; Paszczyk, B.; Czarnowska-Kujawska, M.; Olszewska, M.A. Effect of the Addition of Yellow Mealworm (Tenebrio molitor) on the Physicochemical, Antioxidative, and Sensory Properties of Oatmeal Cookies. Foods 2024, 13, 3166. [Google Scholar] [CrossRef]
- Son, Y.J.; Choi, S.Y.; Hwang, I.K.; Nho, C.W.; Kim, S.H. Could Defatted Mealworm (Tenebrio molitor) and Mealworm Oil Be Used as Food Ingredients? Foods 2020, 9, 40. [Google Scholar] [CrossRef]
- Zydenbos, S.; Humphrey-Taylor, V. BISCUITS, COOKIES, AND CRACKERS | Nature of the Products. Encycl. Food Sci. Nutr. Second Ed. 2002, 524–528. [Google Scholar] [CrossRef]
- Lu, L.; He, C.; Liu, B.; Wen, Q.; Xia, S. Incorporation of chickpea flour into biscuits improves the physicochemical properties and in vitro starch digestibility. LWT 2022, 159, 113222. [Google Scholar] [CrossRef]
- GB/T24853-2010; General Pasting Method for Wheat or Rye Flour or Starch-Using the Rapid Visco Analyzer. China Standards Press: Beijing, China, 2010. (In Chinese)
- AACC. General Pasting Method for Wheat or Rye Flour of Starch Using the RAPID VISCO Analyser; Method 76-21.02; American Association of Cereal Chemists International: St. Paul, MN, USA, 2000. [Google Scholar] [CrossRef]
- Xie, X.; Zhang, J.; Yuan, Z.; Wang, H.; An, J.; Deng, L. Characterization of wheat dough and Chinese steamed bread using mealworm powder formulated with medium-gluten and whole wheat flour. J. Sci. Food Agric. 2024, 104, 1732–1740. [Google Scholar] [CrossRef]
- Guo, J.; Qi, X.; Liu, Y.; Guan, E.; Wen, J.; Bian, K. Structure-activity relationship between gluten and dough quality of sprouted wheat flour based on air classification-induced component recombination. J. Sci. Food Agric. 2023, 103, 6905–6911. [Google Scholar] [CrossRef]
- GB/T14614-2019; Inspection of Grain and Oils-Doughs Rheological Properties Determinationof Wheat Flour-Farinograph Test. China Standards Press: Beijing, China, 2019. (In Chinese)
- AACC. Farinograph Method for Flour; Method 54-21.01; American Association of Cereal Chemists International: St. Paul, MN, USA, 2000. [Google Scholar] [CrossRef]
- Pasqualone, A.; Laddomada, B.; Spina, A.; Todaro, A.; Guzmàn, C.; Summo, C.; Mita, G.; Giannone, V. Almond by-products: Extraction and characterization of phenolic compounds and evaluation of their potential use in composite dough with wheat flour. LWT 2018, 89, 299–306. [Google Scholar] [CrossRef]
- GB/T14615-2019; Inspection of Grain and Oils-Doughs Rheological Properties Determinationof Wheat Flour-Extensograph Test. China Standards Press: Beijing, China, 2019. (In Chinese)
- AACC. Extensigraph Method, General; American Association of Cereal Chemists International: St. Paul, MN, USA, 2000; p. Method 54-10.01. [Google Scholar] [CrossRef]
- Yue, Q.; Li, M.; Liu, C.; Li, L.; Zheng, X.; Bian, K. Comparison of uniaxial/biaxial extensional rheological properties of mixed dough with traditional rheological test results: Relationship with the quality of steamed bread. Int. J. Food Sci. Technol. 2020, 55, 2751–2761. [Google Scholar] [CrossRef]
- Xie, X.; Yuan, Z.; Fu, K.; An, J.; Deng, L. Effect of Partial Substitution of Flour with Mealworm (Tenebrio molitor L.) Powder on Dough and Biscuit Properties. Foods 2022, 11, 2156. [Google Scholar] [CrossRef] [PubMed]
- Yang, B.; Guo, M.; Zhao, Z. Incorporation of wheat malt into a cookie recipe and its effect on the physicochemical properties of the corresponding dough and cookies. LWT 2020, 117, 108651. [Google Scholar] [CrossRef]
- GB5009.5—2016; National Food Safety Standard—Determination of Protein in Food. China Standards Press: Beijing, China, 2016. (In Chinese)
- Ran, M.; Chen, C.; Li, C.; He, L.; Zeng, X. Effects of replacing fat with Perilla seed on the characteristics of meatballs. Meat Sci. 2020, 161, 107995. [Google Scholar] [CrossRef] [PubMed]
- GB5009.6—2016; National Food Safety Standard—Determination of Fat in Food. China Standards Press: Beijing, China, 2016. (In Chinese)
- GB28050—2011; National Food Safety Standard—General Rules for Nutrition Labels on Prepackaged Foods. China Standards Press: Beijing, China, 2011. (In Chinese)
- GB5009.3—2016; National Food Safety Standard—Determination of Moisture Content in Food. China Standards Press: Beijing, China, 2016. (In Chinese)
- GB5009.4—2016; National Food Safety Standard—Determination of Ash Content in Food. China Standards Press: Beijing, China, 2016. (In Chinese)
- Zheng, L.; Yu, Y.; Tong, Z.; Zou, Q.; Han, S.; Jiang, H. The characteristics of starch gels molded by 3D printing. J. Food Process. Preserv. 2019, 43, e13993. [Google Scholar] [CrossRef]
- Torbica, A.; Hadnađev, M.; Dapčević, T. Rheological, textural and sensory properties of gluten-free bread formulations based on rice and buckwheat flour. Food Hydrocoll. 2010, 24, 626–632. [Google Scholar] [CrossRef]
- Whitney, K.; Simsek, S. Potato flour as a functional ingredient in bread: Evaluation of bread quality and starch characteristics. Int. J. Food Sci. Technol. 2020, 55, 3639–3649. [Google Scholar] [CrossRef]
- Liu, L.; Xu, J.; Zhang, G.; Gao, N.; Xu, X.; Zhao, R. Effect of ultra-fine ground whole grain highland barley substitution on wheat dough properties and bread qualities. Cereal Chem. 2024, 101, 1032–1042. [Google Scholar] [CrossRef]
- Zhang, Y.; Guo, X.; Xiong, H.; Zhu, T. Effect of modified soy protein isolate on dough rheological properties and noodle qualities. J. Food Process Pres. 2022, 46, e16371. [Google Scholar] [CrossRef]
- Galkowska, D.; Witczak, T.; Witczak, M. Ancient Wheat and Quinoa Flours as Ingredients for Pasta Dough-Evaluation of Thermal and Rheological Properties. Molecules 2021, 26, 7033. [Google Scholar] [CrossRef]
- Mohammed, I.; Ahmed, A.R.; Senge, B. Effects of chickpea flour on wheat pasting properties and bread making quality. J. Food Sci. Tech. 2014, 51, 1902–1910. [Google Scholar] [CrossRef]
- Cappelli, A.; Oliva, N.; Bonaccorsi, G.; Lorini, C.; Cini, E. Assessment of the rheological properties and bread characteristics obtained by innovative protein sources (Cicer arietinum, Acheta domesticus, Tenebrio molitor): Novel food or potential improvers for wheat flour? LWT 2020, 118, 108867. [Google Scholar] [CrossRef]
- Li, M.; Cui, Y.; Liu, C.; Zheng, X.; Lu, Y. Influence of gluten quality and mixing time on the rheological and structural properties of starch-gluten dough. J. Food Eng. 2026, 402, 112677. [Google Scholar] [CrossRef]
- Ma, M.; Xie, Y.; Wang, C. Effect of anthocyanin-rich extract from black soybean coat on wheat dough rheology and noodle texture. J. Food Process. Preserv. 2020, 45, e15007. [Google Scholar] [CrossRef]
- Siddique, B.; Wang, A.; Wu, L.; Ahmad, I. Effect of Millet flour addition on dough rheology, chapati quality, and moisture distribution. Food Humanit. 2024, 2, 100249. [Google Scholar] [CrossRef]
- Millar, K.A.; Barry-Ryan, C.; Burke, R.; McCarthy, S.; Gallagher, E. Dough properties and baking characteristics of white bread, as affected by addition of raw, germinated and toasted pea flour. Innov. Food Sci. Emerg. Technol. 2019, 56, 102189. [Google Scholar] [CrossRef]
- González, C.M.; Garzón, R.; Rosell, C.M. Insects as ingredients for bakery goods. A comparison study of H. illucens, A. domestica and T. molitor flours. Innov. Food Sci. Emerg. Technol. 2019, 51, 205–210. [Google Scholar] [CrossRef]
- Fang, F.; Diatta, A.; Simsek, S.; Torres-Aguilar, P.; Watanabe, H.; Higashiyama, T.; Campanella, O.H.; Hamaker, B.R. Effect of isomaltodextrin on dough rheology and bread quality. Int. J. Food Sci. Technol. 2022, 57, 1554–1562. [Google Scholar] [CrossRef]
- Al-Sahlany, S.T.G.; Al-musafer, A.M.S. Effect of substitution percentage of banana peels flour in chemical composition, rheological characteristics of wheat flour and the viability of yeast during dough time. J. Saudi Soc. Agric. Sci. 2020, 19, 87–91. [Google Scholar] [CrossRef]
- Liu, X.; Mu, T.; Sun, H.; Zhang, M.; Chen, J.; Fauconnier, M.L. Influence of different hydrocolloids on dough thermo-mechanical properties and in vitro starch digestibility of gluten-free steamed bread based on potato flour. Food Chem. 2018, 239, 1064–1074. [Google Scholar] [CrossRef]
- Li, J.; Zhu, Y.; Yadav, M.P.; Li, J. Effect of various hydrocolloids on the physical and fermentation properties of dough. Food Chem. 2019, 271, 165–173. [Google Scholar] [CrossRef]
- Jia, S.; Cao, J.; Dai, Y.; Hou, H.; Wang, W.; Ding, X.; Zhang, H. Effect of potassium carbonate on rheological properties of dough and its mechanism. LWT 2021, 152, 112335. [Google Scholar] [CrossRef]
- Rainero, G.; Bianchi, F.; Rizzi, C.; Cervini, M.; Giuberti, G.; Simonato, B. Breadstick fortification with red grape pomace: Effect on nutritional, technological and sensory properties. J. Sci. Food Agric. 2022, 102, 2545–2552. [Google Scholar] [CrossRef] [PubMed]
- Saha, S.; Gupta, A.; Singh, S.R.K.; Bharti, N.; Singh, K.P.; Mahajan, V.; Gupta, H.S. Compositional and varietal influence of finger millet flour on rheological properties of dough and quality of biscuit. LWT—Food Sci. Technol. 2011, 44, 616–621. [Google Scholar] [CrossRef]
- Ma, S.; Wang, Z.; Liu, N.; Zhou, P.; Bao, Q.; Wang, X. Effect of wheat bran dietary fibre on the rheological properties of dough during fermentation and Chinese steamed bread quality. Int. J. Food Sci. Tech. 2020, 56, 1623–1630. [Google Scholar] [CrossRef]
- Bresciani, A.; Cardone, G.; Jucker, C.; Savoldelli, S.; Marti, A. Technological Performance of Cricket Powder (Acheta domesticus L.) in Wheat-Based Formulations. Insects 2022, 13, 546. [Google Scholar] [CrossRef]
- Hu, X.; Cheng, L.; Hong, Y.; Li, Z.; Li, C.; Gu, Z. An extensive review: How starch and gluten impact dough machinability and resultant bread qualities. Crit. Rev. Food Sci. Nutr. 2023, 63, 1930–1941. [Google Scholar] [CrossRef]
- Xie, X.; Cai, K.; Yuan, Z.; Shang, L.; Deng, L. Effect of Mealworm Powder Substitution on the Properties of High-Gluten Wheat Dough and Bread Based on Different Baking Methods. Foods 2022, 11, 4057. [Google Scholar] [CrossRef] [PubMed]
- Zafar, T.A.; Allafi, A.R.; Alkandari, D.; Al-Othman, A. Rheological characteristics of wheat-chickpea composite flour doughs and effect of Amla powder (Phyllanthus emblica L.) addition on the functional properties of bread. Food Sci. Technol. Int. 2021, 27, 264–275. [Google Scholar] [CrossRef] [PubMed]
- Kotsiou, K.; Sacharidis, D.-D.; Matsakidou, A.; Biliaderis, C.G.; Lazaridou, A. Physicochemical and functional aspects of composite wheat-roasted chickpea flours in relation to dough rheology, bread quality and staling phenomena. Food Hydrocoll. 2022, 124, 107322. [Google Scholar] [CrossRef]
- Talens, C.; Lago, M.; Simó-Boyle, L.; Odriozola-Serrano, I.; Ibargüen, M. Desirability-based optimization of bakery products containing pea, hemp and insect flours using mixture design methodology. LWT 2022, 168, 113878. [Google Scholar] [CrossRef]
- Ukom, A.; Ndukwe, B.; Ebuka, E.; Adiegwu, E. Formulations of Yellow Maize-based Ogi flour fortified with Orange-fleshed sweet potato (Ipomoea batatas) and African yam bean (Sphenostylis stenocarpa) flours: Effect on the bioactive constituents, colour and pasting properties. Food Humanit. 2024, 3, 100381. [Google Scholar] [CrossRef]
- Schouten, M.A.; Tappi, S.; Glicerina, V.; Rocculi, P.; Angeloni, S.; Cortese, M.; Caprioli, G.; Vittori, S.; Romani, S. Formation of acrylamide in biscuits during baking under different heat transfer conditions. LWT 2022, 153, 112541. [Google Scholar] [CrossRef]
- Rodríguez-García, J.; Salvador, A.; Hernando, I. Replacing Fat and Sugar with Inulin in Cakes: Bubble Size Distribution, Physical and Sensory Properties. Food Bioprocess. Technol. 2013, 7, 964–974. [Google Scholar] [CrossRef]
- Zhang, F.; Guo, J.; Li, P.; Zhao, F.; Yang, X.; Cheng, Q.; Elmore, J.S.; Wang, P.; Cui, C. Effects of different thawing methods on physical and physicochemical properties of frozen dough and quality of corresponding steamed bread. Food Chem. 2024, 447, 138932. [Google Scholar] [CrossRef]
- Duda, A.; Adamczak, J.; Chelminska, P.; Juszkiewicz, J.; Kowalczewski, P. Quality and Nutritional/Textural Properties of Durum Wheat Pasta Enriched with Cricket Powder. Foods 2019, 8, 46. [Google Scholar] [CrossRef] [PubMed]
- Ding, Y.; Zhao, L.; Liu, Y.; Sun, J.; Pi, Y.; Shao, J.H. Effects of protein aggregation induced by NaCl and temperature on gelation of silkworm (Antheraea pernyi) pupa raw powder. Int. J. Biol. Macromol. 2023, 253, 126679. [Google Scholar] [CrossRef] [PubMed]
- Zugravu, C.; Tarcea, M.; Nedelescu, M.; Nuţă, D.; Guiné, R.P.F.; Constantin, C. Knowledge: A Factor for Acceptance of Insects as Food. Sustainability 2023, 15, 4820. [Google Scholar] [CrossRef]









| Flour (%) | Mealworm Protein Powder (%) | Yeast (%) | Table Salt (%) | White Granulated Sugar (%) | Milk (%) | Butter (%) | Egg Yolk (%) | Baking Soda (%) | |
|---|---|---|---|---|---|---|---|---|---|
| Soda crackers | |||||||||
| M0 | 100 | - | 2 | 1.33 | - | 40 | 20 | - | 0.67 |
| M5 | 95 | 5 | 2 | 1.33 | - | 40 | 20 | - | 0.67 |
| M10 | 90 | 10 | 2 | 1.33 | - | 40 | 20 | - | 0.67 |
| M15 | 85 | 15 | 2 | 1.33 | - | 40 | 20 | - | 0.67 |
| M20 | 80 | 20 | 2 | 1.33 | - | 40 | 20 | - | 0.67 |
| Cookies | |||||||||
| M0 | 100 | - | - | 0.67 | 26.67 | - | 66.67 | 20 | - |
| M5 | 95 | 5 | - | 0.67 | 26.67 | - | 66.67 | 20 | - |
| M10 | 90 | 10 | - | 0.67 | 26.67 | - | 66.67 | 20 | - |
| M15 | 85 | 15 | - | 0.67 | 26.67 | - | 66.67 | 20 | - |
| M20 | 80 | 20 | - | 0.67 | 26.67 | - | 66.67 | 20 | - |
| Peak Viscosity (RVU) | Trough Viscosity (RVU) | Breakdown (RVU) | Final Viscosity (RVU) | Setback (RVU) | Peak Time (min) | Pasting Temperature (°C) | |
|---|---|---|---|---|---|---|---|
| M0 | 376.46 ± 1.20 a | 359.95 ± 0.56 a | 16.51 ± 0.64 d | 429.25 ± 0.72 a | 69.31 ± 0.16 a | 7.20 ± 0.00 a | 80.63 ± 1.34 b |
| M5 | 329.68 ± 9.01 b | 308.35 ± 7.92 b | 21.33 ± 1.09 c | 336.84 ± 12.67 b | 28.49 ± 4.75 bc | 7.15 ± 0.09 a | 81.19 ± 1.07 b |
| M10 | 323.79 ± 0.04 b | 296.21 ± 1.36 b | 27.58 ± 1.40 b | 326.58 ± 3.36 b | 30.37 ± 1.99 b | 7.20 ± 0.00 a | 80.22 ± 0.47 b |
| M15 | 293.80 ± 0.14 c | 259.31 ± 0.14 c | 34.49 ± 0.00 a | 274.69 ± 3.37 c | 15.38 ± 3.23 d | 7.20 ± 0.00 a | 82.57 ± 2.16 b |
| M20 | 237.97 ± 8.33 d | 220.08 ± 9.89 d | 17.89 ± 1.56 cd | 239.08 ± 10.60 d | 19.00 ± 0.71 cd | 7.20 ± 0.00 a | 86.74 ± 0.63 a |
| Water Absorption (%) | Dough Development Time (min) | Stability Time (min) | Degree of Softening (FU) | Farinograph Quality Number (mm) | |
|---|---|---|---|---|---|
| M0 | 57.20 ± 0.10 a | 1.27 ± 0.12 d | 1.17 ± 0.06 d | 114.67 ± 7.64 b | 18.33 ± 0.58 d |
| M5 | 57.43 ± 0.23 a | 1.70 ± 0.10 d | 3.73 ± 0.47 c | 137.00 ± 11.27 a | 29.33 ± 3.51 c |
| M10 | 55.33 ± 0.06 c | 3.30 ± 0.26 c | 7.00 ± 0.61 b | 77.67 ± 5.69 c | 81.67 ± 5.86 b |
| M15 | 56.53 ± 0.21 b | 5.73 ± 0.15 b | 6.10 ± 0.70 b | 108.33 ± 1.15 b | 79.00 ± 1.73 b |
| M20 | 54.63 ± 0.06 d | 8.10 ± 0.60 a | 8.57 ± 0.29 a | 67.33 ± 2.08 c | 101.67 ± 5.59 a |
| L* (Brightness/Darkness) | a* (Redness/Greenness) | b* (Yellowness/Blueness) | Baking Expansion Ratio (%) | |
|---|---|---|---|---|
| M0 | 75.65 ± 0.82 a | 4.25 ± 0.05 e | 27.36 ± 0.30 d | 198.96 ± 3.88 a |
| M5 | 64.48 ± 0.10 b | 6.58 ± 0.15 d | 30.70 ± 0.20 c | 183.23 ± 2.54 b |
| M10 | 60.76 ± 0.47 c | 9.86 ± 0.58 c | 33.12 ± 0.20 a | 162.83 ± 2.76 c |
| M15 | 56.39 ± 1.11 d | 11.80 ± 0.29 b | 31.65 ± 0.18 b | 156.08 ± 0.92 c |
| M20 | 50.87 ± 0.96 e | 14.84 ± 0.12 a | 31.87 ± 0.35 b | 135.74 ± 1.28 d |
| L* (Brightness/Darkness) | a* (Redness/Greenness) | b* (Yellowness/Blueness) | Baking Expansion Ratio (%) | |
|---|---|---|---|---|
| M0 | 71.75 ± 0.15 a | 2.25 ± 0.13 c | 26.48 ± 0.38 b | 93.77 ± 0.72 a |
| M5 | 64.11 ± 0.47 b | 6.60 ± 0.38 b | 29.87 ± 0.93 a | 94.07 ± 3.04 a |
| M10 | 60.49 ± 0.97 c | 7.60 ± 0.09 a | 29.89 ± 0.75 a | 94.14 ± 2.71 a |
| M15 | 55.81 ± 0.92 d | 7.59 ± 0.30 a | 29.05 ± 0.63 a | 91.23 ± 0.66 ab |
| M20 | 50.88 ± 0.73 e | 7.72 ± 0.15 a | 28.56 ± 0.63 a | 86.06 ± 1.08 b |
Disclaimer/Publisher’s Note: The statements, opinions and data contained in all publications are solely those of the individual author(s) and contributor(s) and not of MDPI and/or the editor(s). MDPI and/or the editor(s) disclaim responsibility for any injury to people or property resulting from any ideas, methods, instructions or products referred to in the content. |
© 2025 by the authors. Licensee MDPI, Basel, Switzerland. This article is an open access article distributed under the terms and conditions of the Creative Commons Attribution (CC BY) license (https://creativecommons.org/licenses/by/4.0/).
Share and Cite
Yang, A.; Chen, H.; Tian, H.; An, J.; Shang, L.; Tao, Y.; Deng, L. Sustainable Protein-Enriched Biscuits: Effects of Mealworm Protein Powder on the Properties of Wheat Flour and Biscuit Quality. Foods 2025, 14, 3063. https://doi.org/10.3390/foods14173063
Yang A, Chen H, Tian H, An J, Shang L, Tao Y, Deng L. Sustainable Protein-Enriched Biscuits: Effects of Mealworm Protein Powder on the Properties of Wheat Flour and Biscuit Quality. Foods. 2025; 14(17):3063. https://doi.org/10.3390/foods14173063
Chicago/Turabian StyleYang, Ao, Hongrui Chen, Haixin Tian, Jianhui An, Longchen Shang, Yexing Tao, and Lingli Deng. 2025. "Sustainable Protein-Enriched Biscuits: Effects of Mealworm Protein Powder on the Properties of Wheat Flour and Biscuit Quality" Foods 14, no. 17: 3063. https://doi.org/10.3390/foods14173063
APA StyleYang, A., Chen, H., Tian, H., An, J., Shang, L., Tao, Y., & Deng, L. (2025). Sustainable Protein-Enriched Biscuits: Effects of Mealworm Protein Powder on the Properties of Wheat Flour and Biscuit Quality. Foods, 14(17), 3063. https://doi.org/10.3390/foods14173063

