Italian Honeydew Honey Characterization by 1H NMR Spectroscopy
Abstract
1. Introduction
2. Materials and Methods
2.1. NMR Data Acquisition and Processing
2.2. Statistical Methods
3. Results and Discussion
3.1. Aliphatic Spectral Region
3.2. Anomeric Spectral Region
3.3. Aromatic Spectral Region
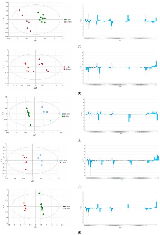
3.4. Multivariate Statistical Analysis
Supplementary Materials
Author Contributions
Funding
Institutional Review Board Statement
Informed Consent Statement
Data Availability Statement
Acknowledgments
Conflicts of Interest
Abbreviations
| CF-HDH | Citrus fruit honeydew |
| E-HDH | Eucalyptus honeydew |
| F-HDH | Fir honeydew |
| FO-HDH | Forest honeydew |
| O-HDH | Oak honeydew |
| HDH | Honeydew honey |
| HMF | 5-(hydroxymethyl)furfural |
| HSQC | Heteronuclear Single Quantum Coherence |
| MVA | Multivariate Analysis |
| NMR | Nuclear Magnetic Resonance |
| NOESY | Nuclear Overhauser Effect Spectroscopy |
| OSC | Orthogonal Signal Correction |
| PCA | Principal Component Analysis |
| PLS-DA | Projection to Latent Structures Discriminant Analysis |
| TOCSY | Total Correlation Spectroscopy |
References
- Utzeri, V.J.; Schiavo, G.; Ribani, A.; Tinarell, S.; Bertolini, F.; Bovo, S.; Fontanesi, L. Entomological signatures in honey: An environmental DNA metabarcoding approach can disclose information on plant-sucking insects in agricultural and forest landscapes. Sci. Rep. 2018, 8, 9996. [Google Scholar] [CrossRef] [PubMed]
- Kloft, W. Problems of practical importance in honeydew research. Bee World 1963, 44, 13–29. [Google Scholar] [CrossRef]
- Siddiqui, I.R. The sugars of honey. Adv. Carbohydr. Chem. Biochem. 1970, 25, 285–309. [Google Scholar] [CrossRef]
- Beretta, G.; Granata, P.; Ferrero, M.; Orioli, M.; Facino, M. Standardization of antioxidant properties of honey by a combination of spectrophotometric/fluorimetric assays and chemometrics. Anal. Chim. Acta 2005, 523, 185–191. [Google Scholar] [CrossRef]
- Lachman, J.; Orsák, M.; Hejtmánková, A.; Kovárová, E. Evaluation of antioxidant activity and total phenolics of selected Czech honeys. LWT Food Sci. Technol. 2010, 43, 52–58. [Google Scholar] [CrossRef]
- Majtan, J.; Majtanova, L.; Bohova, J.; Majtan, V. Honeydew Honey as a Potent Antibacterial Agent in Eradication of Multi-drug Resistant Stenotrophomonas maltophilia Isolates from Cancer Patients. Phytother. Res. 2011, 25, 584–587. [Google Scholar] [CrossRef]
- Stanciu, O.G.; Marghitas, L.A.; Bobis, O.; Popescu, O.; Bonta, V.; Maghear, O. Correlation between the phenolic content and antioxidant capacity of declared honeydew honeys produced in Transylvania. BUASVM CN Anim. Sci. Biotechnol. 2008, 65, 249–254. [Google Scholar]
- Doner, L.W. The sugars of honey: A review. J. Sci. Food Agric. 1977, 28, 443–456. [Google Scholar] [CrossRef]
- Sanz, M.L.; Gonzalez, M.; de Lorenzo, C.; Sanz, J.; Martínez-Castro, I. A contribution to the differentiation between nectar honey and honeydew honey. Food Chem. 2005, 91, 313–317. [Google Scholar] [CrossRef]
- Sanz, M.L.; Sanz, J.; Martinez-Castro, I. Presence of some cyclitols in honey. Food Chem. 2004, 84, 133–135. [Google Scholar] [CrossRef]
- Pita-Calvo, C.; Vázquez, M. Honeydew honeys: A review on the characterization and authentication of botanical and geographical origins. J. Agric. Food Chem. 2018, 66, 2523–2537. [Google Scholar] [CrossRef] [PubMed]
- Simova, S.; Atanassov, A.; Shishiniova, M.; Bankova, V. A rapid differentiation between oak honeydew honey and nectar and other honeydew honeys by NMR spectroscopy. Food Chem. 2012, 134, 1706–1710. [Google Scholar] [CrossRef] [PubMed]
- Nunes, A.; Sforça, M.L.; Rocco, S.A.; Schmitz, C.; Azevedo, G.Z.; dos Santos, B.R.; Moura, S.; Maraschin, M. Brazilian honey: Metabolomic analysis and characterization by 1D-and 2D-nuclear magnetic resonance (NMR) spectroscopy and chemometrics. Food Res. Int. 2025, 207, 116104. [Google Scholar] [CrossRef] [PubMed]
- Kahraman, K.; Göcenler, O.; Dag, Ç. Characterization of Turkish Pine honey and differentiation from floral honeys by NMR spectroscopy and chemometric analysis. J. Food Compos. Anal. 2024, 127, 105983. [Google Scholar] [CrossRef]
- Consonni, R.; Cagliani, L.R.; Cogliati, C. NMR characterization of saccharides in Italian honeys of different floral sources. J. Agric. Food Chem. 2012, 60, 4526–4534. [Google Scholar] [CrossRef]
- Cagliani, L.R.; Maestri, G.; Consonni, R. Detection and evaluation of saccharide adulteration in Italian honey by NMR spectroscopy. Food Control 2022, 133 Pt A, 108574. [Google Scholar] [CrossRef]
- Bharti, S.K.; Roy, R. Quantitative 1H NMR spectroscopy. TrAC 2012, 35, 5–26. [Google Scholar] [CrossRef]
- Would, S.; Antti, H.; Lindgren, F.; Ohman, J. Orthogonal signal correction of near-infrared spectra. Chemometr. Intell. Lab. 1998, 44, 175–185. [Google Scholar] [CrossRef]
- Campos, G.; Nappi, G.U.; Raslan, D.S.; Augusti, R. Substancias volateis em mel floral e mel de melato. J. Food Sci. Technol. 2020, 20, 18–22. [Google Scholar] [CrossRef]
- Castro-Vazquez, L.; Diaz-Maroto, M.C.; Perez-Coello, M.S. Volatile composition and contribution to the aroma of Spanish honeydew honeys. Identification of a new chemical marker. J. Agric. Food Chem. 2006, 54, 4809–4813. [Google Scholar] [CrossRef]
- Orthen, B.; Popp, M.; Smirnoff, N. Hydroxyl radical scavenging properties of cyclitols. Proc. R. Soc. 1994, 1028, 269–272. [Google Scholar] [CrossRef]
- Bogdanov, S.; Ruoff, K.; Persano Oddo, L. Physico-Chemical Methods for the Characterisation of Unifloral Honeys: A Review. Apidologie 2004, 35, S4–S17. [Google Scholar] [CrossRef]
- Donarski, J.A.; Jones, S.A.; Charlton, A.J. Application of Cryoprobe 1H Nuclear Magnetic Resonance Spectroscopy and Multivariate Analysis for the Verification of Corsican Honey. J. Agric. Food Chem. 2008, 56, 5451–5456. [Google Scholar] [CrossRef]
- Turski, M.P.; Turska, M.; Zgrajka, W.; Kuc, D.; Tursk, W.A. Presence of kynurenic acid in food and honeybee products. Amino Acids 2009, 36, 75–80. [Google Scholar] [CrossRef] [PubMed]
- Billaud, C.; Adrian, J. Fenugreek: Composition, nutritional value and physiological properties. Sci. Aliment. 2001, 21, 3–26. [Google Scholar] [CrossRef]
- Wang, Z.Y.; Cui, Z.Y.; Li, X.; Guan, Z.B.; Huang, X.Z.; Zu, T.H.; Jia, G.Q.; Zhu, F.M.; Li, J.; Zhang, J.J. Simultaneous determination of trigonelline and caffeine and its application in the identification of Chinese Citrus, Coffee and Rape honey. J. Food Meas. Charact. 2023, 18, 962–979. [Google Scholar] [CrossRef]
- Wang, J.; Simonavicius, N.; Wu, X.; Swaminath, G.; Reagan, J.; Tian, H.; Ling, L. Kynurenic Acid as a Ligand for Orphan GProtein-coupled Receptor GPR35. J. Biol. Chem. 2006, 281, 22021–22028. [Google Scholar] [CrossRef]
- Troisi, J.; Troisi, G.; Scala, G.; Richards, S.M. Chapter 9—Data analysis in metabolomics: From information to knowledge. In Metabolomics Perspectives—From Theory to Practical Application; Troisi, J., Ed.; Academic Press: Cambridge, MA, USA, 2022; pp. 287–379. [Google Scholar] [CrossRef]
- Hendrix, D.L.; Wei, Y.A.; Legget, J.E. Homopteran honeydew sugar composition is determined by both the insect and plant species. Comp. Biochem. Physiol. B 1992, 101, 23–27. [Google Scholar] [CrossRef]
- Fischer, M.K.; Shingleton, A.W. Host plant and ants influence the honeydew sugar composition of aphids. Funct. Ecol. 2001, 15, 544–550. [Google Scholar] [CrossRef]
- Quirantes-Piné, R.; Sanna, G.; Mara, A.; Borrás-Linares, I.; Mainente, F.; Picó, Y.; Zoccatelli, G.; Lozano-Sánchez, J.; Ciulu, M. Mass spectrometry characterization of honeydew honey: A critical review. Foods 2024, 13, 2229. [Google Scholar] [CrossRef]
- Svecnjak, L.; Bubalo, D.; Prdun, S.; Kus, P.M.; Marijanovic, Z.; Jerkovic, I. Comprehensive characterisation of Montpellier maple (Acer monspessulanum L.) honeydew honey by physicochemical analyses, FTIR-ATR, GC-MS, and UHPLC-DAD-QqTOF-MS: An insight into honeydew-to-honeydew honey transformation pathway and identification of chemical biomarkers. Food Chem. 2024, 478, 143553. [Google Scholar] [CrossRef]
- Sajtos, Z.; Ragyak, A.Z.; Hodi, F.; Szigeti, V.; Beller, G.; Baranyai, E. Hydroxymethylfurfural content of old honey samples_Does the sticky treat really last forever? LWT 2024, 193, 115781. [Google Scholar] [CrossRef]
- European Community COUNCIL DIRECTIVE 2001/110/EC of 20 December 2001 Relating to Honey. Available online: https://eur-lex.europa.eu/eli/dir/2001/110/oj/eng (accessed on 7 May 2025).
- Mara, A.; Mainente, F.; Soursou, V.; Picó, Y.; Perales, I.; Ghorab, A.; Sanna, G.; Borrás-Linares, I.; Zoccatelli, G.; Ciulu, M. New insights on quality, safety, nutritional, and nutraceutical properties of honeydew honeys from Italy. Molecules 2025, 30, 410. [Google Scholar] [CrossRef] [PubMed]





| Sample | Botany | Geographical Origin | Harvest Year |
|---|---|---|---|
| 1 | Citrus fruits | Sardinia | 2022 |
| 2 | Citrus fruits | Sicily | 2022 |
| 3 | Citrus fruits | Veneto | 2022 |
| 4 | Citrus fruits | Sicily | 2023 |
| 5 | Citrus fruits | Sicily | 2023 |
| 1 | Eucalyptus | Basilicata | 2022 |
| 2 | Eucalyptus | Sardinia | 2022 |
| 3 | Eucalyptus | Sardinia | 2022 |
| 4 | Eucalyptus | Sardinia | 2022 |
| 5 | Eucalyptus | Sardinia | 2022 |
| 6 | Eucalyptus | Sardinia | 2023 |
| 7 | Eucalyptus | Sardinia | 2023 |
| 8 | Eucalyptus | Sardinia | 2023 |
| 9 | Eucalyptus | Sardinia | 2023 |
| 10 | Eucalyptus | Sardinia | 2023 |
| 1 | Fir | Abruzzo | 2022 |
| 2 | Fir | Trentino A. Adige | 2022 |
| 3 | Fir | Trentino A. Adige | 2022 |
| 4 | Fir | Tuscany | 2022 |
| 5 | Fir | Veneto | 2022 |
| 6 | Fir | Veneto | 2022 |
| 1 | Forest | Emilia Romagna | 2022 |
| 2 | Forest | Lombardy | 2022 |
| 3 | Forest | Lombardy | 2022 |
| 4 | Forest | Piedmont | 2022 |
| 5 | Forest | Trentino A. Adige | 2022 |
| 6 | Forest | Trentino A. Adige | 2022 |
| 7 | Forest | Tuscany | 2022 |
| 8 | Forest | Tuscany | 2022 |
| 9 | Forest | Veneto | 2022 |
| 10 | Forest | Veneto | 2022 |
| 11 | Forest | Calabria | 2023 |
| 12 | Forest | Campania | 2023 |
| 13 | Forest | Emilia Romagna | 2023 |
| 14 | Forest | Liguria | 2023 |
| 15 | Forest | Lombardy | 2023 |
| 16 | Forest | Lombardy | 2023 |
| 17 | Forest | Marche | 2023 |
| 18 | Forest | San Marino | 2023 |
| 19 | Forest | Tuscany | 2023 |
| 20 | Forest | Veneto | 2023 |
| 21 | Forest | Veneto | 2023 |
| 1 | Oak | Apulia | 2022 |
| 2 | Oak | Calabria | 2022 |
| 3 | Oak | Marche | 2022 |
| 4 | Oak | Trentino A. Adige | 2022 |
| 5 | Oak | Apulia | 2023 |
| 6 | Oak | Emilia Romagna | 2023 |
Disclaimer/Publisher’s Note: The statements, opinions and data contained in all publications are solely those of the individual author(s) and contributor(s) and not of MDPI and/or the editor(s). MDPI and/or the editor(s) disclaim responsibility for any injury to people or property resulting from any ideas, methods, instructions or products referred to in the content. |
© 2025 by the authors. Licensee MDPI, Basel, Switzerland. This article is an open access article distributed under the terms and conditions of the Creative Commons Attribution (CC BY) license (https://creativecommons.org/licenses/by/4.0/).
Share and Cite
Iannone, D.; Cagliani, L.R.; Consonni, R. Italian Honeydew Honey Characterization by 1H NMR Spectroscopy. Foods 2025, 14, 2234. https://doi.org/10.3390/foods14132234
Iannone D, Cagliani LR, Consonni R. Italian Honeydew Honey Characterization by 1H NMR Spectroscopy. Foods. 2025; 14(13):2234. https://doi.org/10.3390/foods14132234
Chicago/Turabian StyleIannone, Dalila, Laura Ruth Cagliani, and Roberto Consonni. 2025. "Italian Honeydew Honey Characterization by 1H NMR Spectroscopy" Foods 14, no. 13: 2234. https://doi.org/10.3390/foods14132234
APA StyleIannone, D., Cagliani, L. R., & Consonni, R. (2025). Italian Honeydew Honey Characterization by 1H NMR Spectroscopy. Foods, 14(13), 2234. https://doi.org/10.3390/foods14132234

