The Effects of Ultra-High Pressure Combined with Egg White Protein on the Gel Physical Properties of Reduced-Salt Shrimp Surimi
Abstract
1. Introduction
2. Materials and Methods
2.1. Materials and Chemicals
2.2. Extraction of Shrimp MP
2.3. Sample Preparation for Single-Factor Experiments
2.3.1. Preparation of Protein in Different Proportions
2.3.2. Preparation of Proteins Under Different Pressures
2.3.3. Preparation of Proteins at Different Pressure Times
2.4. Preparation of Protein Gel Samples
2.5. Whiteness
2.6. Gel Strength
2.7. Water Holding Capacity (WHC)
2.8. Optimization of Gel Parameters via Response Surface Methodology (RSM)
2.9. Optimized Sample Preparation and Validation Experiment
2.10. Cooking Loss
2.11. Moisture Distribution
2.12. Texture Profile Analysis (TPA)
2.13. Rheological Properties
2.14. Microstructure
2.15. Statistical Analysis
3. Results and Discussion
3.1. Single-Factor Test Results
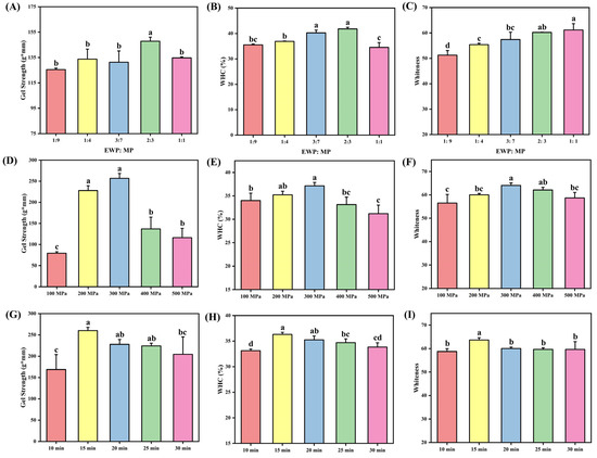
3.1.1. Effect of EWP Ratio on the Gel Properties of Shrimp Surimi
3.1.2. Effect of UHP Pressure on the Gel Properties of Shrimp Surimi
3.1.3. Effect of UHP Time on the Gel Properties of Shrimp Surimi
3.2. Optimization with RSM
3.2.1. Effect of EWP-UHP Treatment on the Gel Strength of Shrimp Surimi
3.2.2. Effect of EWP-UHP Treatment on the WHC of Shrimp Surimi
3.2.3. Determination and Validation of Optimal Processes
3.3. Effect of EWP-UHP on the Properties of Low-Salt Composite Protein Gels
3.3.1. Gel Strength
3.3.2. WHC
3.3.3. CL
3.3.4. Magnetic Resonance Imaging
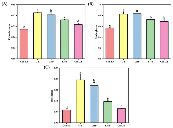
3.3.5. TPA
3.3.6. Rheological Properties
3.3.7. Microstructure
4. Conclusions
Supplementary Materials
Author Contributions
Funding
Institutional Review Board Statement
Informed Consent Statement
Data Availability Statement
Conflicts of Interest
Abbreviations
| UHP | Ultra-high pressure |
| EWP | Egg white protein |
| MP | Myofibrillar protein |
| WHC | Water holding capacity |
| RSM | Response surface methodology |
References
- Zhu, C.; Zhang, M.; Chen, H.; Zhang, Q.; Li, F.; Gu, Y.; Wang, K.; Zhao, G. Effect of NaCl on the structure and digestive properties of heat-treated myofibrillar proteins. Food Chem. 2025, 463, 141521. [Google Scholar] [CrossRef]
- Tahergorabi, R.; Beamer, S.K.; Matak, K.E.; Jaczynski, J. Salt substitution in surimi seafood and its effects on instrumental quality attributes. LWT 2012, 48, 175–181. [Google Scholar] [CrossRef]
- Gao, X.; Xie, Y.; Yin, T.; Hu, Y.; You, J.; Xiong, S.; Liu, R. Effect of high intensity ultrasound on gelation properties of silver carp surimi with different salt contents. Ultrason. Sonochem. 2021, 70, 105326. [Google Scholar] [CrossRef]
- World Health Organization. Global Sodium Benchmarks for Different Food Categories; World Health Organization: Geneva, Switzerland, 2021. [Google Scholar]
- Zhao, Y.; Wei, K.; Chen, J.; Wei, G.; Li, J.; Zheng, B.; Song, Y.; Gao, P.; Zhou, R. Enhancement of myofibrillar protein gelation by plant proteins for improved surimi gel characteristics: Mechanisms and performance. LWT 2024, 198, 116045. [Google Scholar] [CrossRef]
- Shi, T.; Yuan, L.; Kong, Y.; Bao, Y.; Zhang, H.; Lu, C.; Jin, W.; Monto, A.R.; Gao, R. Towards higher-quality low salt surimi gels: Significance of the combinatorial effects of chickpea protein with transglutaminase on their micro-structures. LWT 2024, 199, 116103. [Google Scholar] [CrossRef]
- Niu, F.; Lin, C.; Liao, H.; Zhang, B.; Zhang, J.; Pan, W. Formation mechanism of giant squid myofibrillar protein aggregates induced by egg white protein during heat treatment. Food Hydrocolloid. 2025, 158, 110573. [Google Scholar] [CrossRef]
- Huang, J.; Li, Z.; Liu, Y.; Tang, Z.; Feng, J.; Wu, Y.; Yang, J.; Tian, Y. Enhancing the gelation properties by synergistic interplay between eel myofibrillar protein and egg white protein. Int. J. Biol. Macromol. 2025, 306, 141598. [Google Scholar] [CrossRef]
- Luan, D.; Wang, C.; Li, S.; Xue, Q.; Wang, X.; Xue, C.; Wang, Y. Improving gel properties of low-salt silver carp surimi through single-mode microwave-assisted processing. Innov. Food Sci. Emerg. 2024, 97, 103841. [Google Scholar] [CrossRef]
- Li, Q.; Wang, H.; Lu, J.; Yang, M.; Zhang, M.; Lin, L.; Wang, C. Microwave-mediated fibrous blended gels of crab meat and surimi: Fibrous protein production method in the perspective of structural remodeling. Innov. Food Sci. Emerg. 2025, 100, 103910. [Google Scholar] [CrossRef]
- Zhang, X.; Guo, Q.; Shi, W. Ultrasound-assisted processing: Changes in gel properties, water-holding capacity, and protein aggregation of low-salt Hypophthalmichthys molitrix surimi by soy protein isolate. Ultrason. Sonochem. 2023, 92, 106258. [Google Scholar] [CrossRef]
- Razi, S.M.; Fahim, H.; Amirabadi, S.; Rashidinejad, A. An overview of the functional properties of egg white proteins and their application in the food industry. Food Hydrocolloid. 2023, 135, 108183. [Google Scholar] [CrossRef]
- Yaldagard, M.; Mortazavi, S.A.; Tabatabaie, F. The principles of ultra high pressure technology and its application in food processing/preservation: A review of microbiological and quality aspects. Afr. J. Biotechnol. 2008, 7, 2739–2767. [Google Scholar]
- Roobab, U.; Fidalgo, L.G.; Arshad, R.N.; Khan, A.W.; Zeng, X.A.; Bhat, Z.F.; Bekhit, A.E.D.A.; Batool, Z.; Aadil, R.M. High-pressure processing of fish and shellfish products: Safety, quality, and research prospects. Compr. Rev. Food Sci. F. 2022, 21, 3297–3325. [Google Scholar] [CrossRef] [PubMed]
- Li, D.; Li, N.; Wang, Y.; Zhang, K.; Tan, Z.; Liu, H.; Liu, X.; Wu, Q.; Zhou, D. Effect of konjac glucomannan on gelling and digestive properties of myofibrillar protein in Litopenaeus vannamei based on molecular docking. Food Hydrocolloid. 2024, 149, 109595. [Google Scholar] [CrossRef]
- Zhang, K.; Li, N.; Li, J.; Wang, Y.; Liu, C.; Liu, Y.; Liu, X.; Zhou, D.; Li, D. Improving the gelation and digestive properties of myofibrillar protein in Litopenaeus vannamei by ultra-high pressure. Food Biosci. 2023, 56, 103402. [Google Scholar] [CrossRef]
- Fan, X.; Zhang, K.; Tan, Z.; Xu, W.; Liu, X.; Zhou, D.; Li, D. Effects of ultrahigh pressure heat-assisted technology on the physicochemical and gelling properties of myofibrillar protein from Penaeus vannamei. Food Chem. 2025, 464, 141697. [Google Scholar] [CrossRef]
- Ye, T.; Chen, X.; Li, Q.; Chen, Z.; Lin, L.; Zheng, Z.; Lu, J. Towards more sustainable surimi gels: Deciphering the hybrid gelation of myofibrillar/plant proteins. Food Hydrocolloid. 2024, 146, 109189. [Google Scholar] [CrossRef]
- Chen, H.; Lan, X.; Guan, X.; Luo, R.; Zhang, Q.; Ren, H.; Xu, Z.; Tang, J. Comparative study on the effects of chitosan, carrageenan, and sodium alginate on the film-forming properties of fish skin gelatin. LWT 2024, 199, 116111. [Google Scholar] [CrossRef]
- Yu, X.; Wang, X.; Zou, L.; Cai, K.; Pan, J.; Chen, C. Insights into the in vitro digestibility of pork myofibrillar protein with different ionic polysaccharides from the perspective of gel characteristics. Food Chem. 2023, 426, 136520. [Google Scholar] [CrossRef]
- Zhao, Y.; Peng, N.; Wang, C.; Li, Y.; Liang, Y.; Guo, Z.; Sun, A.; Ren, X. Preparation and characterization of pea protein isolate-egg white protein composite gels. Food Hydrocolloid. 2024, 148, 109464. [Google Scholar] [CrossRef]
- Zhuang, Y.; Lin, H.; Du, L.; Gao, J.; Cao, W.; Qin, X.; Chen, Z.; Zheng, H.; Zhong, S. A novel tyrosinase inhibitory peptide obtained from Sipunculus nudus gelatin hydrolysate: Preparation, identification, and action mechanism. LWT 2024, 202, 116293. [Google Scholar]
- Huang, Y.; Yang, S.; Zhang, L.; Miao, S.; Xu, Z.; Zheng, B.; Deng, K. Combined Effects of Compound Low-Sodium Alternative Salts and Vacuum Tumbling on the Quality, Water Distribution, and Microstructure of Marinated Beef. Foods 2025, 14, 605. [Google Scholar] [CrossRef] [PubMed]
- Zhang, C.; Shi, R.; Liu, W.; Xu, Z.; Mi, S.; Sang, Y.; Yu, W.; Wang, X. Effect of different thermal processing methods on sensory, nutritional, physicochemical and structural properties of Penaeus vannamei. Food Chem. 2024, 438, 138003. [Google Scholar] [CrossRef]
- Bai, R.; Han, J.; Ye, X.; Yu, J.; Jiang, S.; Li, Z.; Zhang, L.; Yang, C.; Chen, Y.; Wang, S.; et al. Improvement on gel properties of chicken myofibrillar protein with electron beam irradiation: Based on protein structure, gel quality, water state. Int. J. Biol. Macromol. 2024, 280, 135806. [Google Scholar] [CrossRef]
- Zhang, K.; Liang, Y.; Tan, Z.; Zhou, D.; Li, D. Characterization of a novel chickpea protein-pullulan hydrogels that efficiently load and release sodium salts: Microstructures, molecular dynamics, and rheological properties. Food Res. Int. 2025, 204, 115951. [Google Scholar] [CrossRef]
- Liang, G.; Wen, Y.; Chen, W.; Li, X.; Zeng, M.; He, Z.; Goff, H.D.; Chen, J.; Wang, Z. Enhancing soy protein isolate gels: Combined control of pH and surface charge for improved structural integrity and gel strength. Food Biosci. 2024, 59, 103934. [Google Scholar] [CrossRef]
- Zhang, Z.; Zhao, Y.; Han, Y.; Teng, H.; Xu, Q. Crucial effect of ovomucin on alkali-induced egg white gel formation: Properties, structure and facilitation mechanism. Int. J. Biol. Macromol. 2024, 277, 134507. [Google Scholar] [CrossRef]
- Lv, Y.; Xu, L.; Tang, T.; Li, J.; Gu, L.; Chang, C.; Zhang, M.; Yang, Y.; Su, Y. Gel properties of soy protein isolate-potato protein-egg white composite gel: Study on rheological properties, microstructure, and digestibility. Food Hydrocolloid. 2023, 135, 108223. [Google Scholar] [CrossRef]
- Zhang, Y.; Liu, J.; Yan, Z.; Zhang, R.; Du, Z.; Shang, X.; Zhang, T.; Liu, X. Mechanism of ultrasound-induced soybean/egg white composite gelation: Gel properties, morphological structure and co-aggregation kinetics. Int. J. Biol. Macromol. 2024, 266, 131267. [Google Scholar] [CrossRef]
- Liu, Q.; Lin, Z.; Chen, X.; Chen, J.; Wu, J.; Chen, H.; Zeng, X. Characterization of structures and gel properties of ultra-high-pressure treated-myofibrillar protein extracted from mud carp (Cirrhinus molitorella) and quality characteristics of heat-induced sausage products. LWT 2022, 165, 113691. [Google Scholar] [CrossRef]
- Savadkoohi, S.; Kasapis, S. High pressure effects on the structural functionality of condensed globular-protein matrices. Int. J. Biol. Macromol. 2016, 88, 433–442. [Google Scholar] [CrossRef]
- Li, J.; Li, L.; Li, K.; Ren, D.; Wan, H.; Shi, L.; Cheng, F.; Zhao, W.; Cao, J.; Cheng, Y.; et al. Ultra-high pressure treatment improves the gel properties of Lentinan edodes polysaccharides-chicken myofibrillar protein composite. LWT 2025, 223, 117751. [Google Scholar] [CrossRef]
- Grossi, A.; Olsen, K.; Bolumar, T.; Rinnan, Å.; Øgendal, L.H.; Orlien, V. The effect of high pressure on the functional properties of pork myofibrillar proteins. Food Chem. 2016, 196, 1005–1015. [Google Scholar] [CrossRef]
- Li, Y.; Zhang, X.; Lu, F.; Kang, Z. Effect of sodium bicarbonate and sodium chloride on aggregation and conformation of pork myofibrillar protein. Food Chem. 2021, 350, 129233. [Google Scholar] [CrossRef] [PubMed]
- Li, J.; Li, X.; Wang, C.; Zhang, M.; Xu, Y.; Zhou, B.; Su, Y.; Yang, Y. Characteristics of gelling and water holding properties of hen egg white/yolk gel with NaCl addition. Food Hydrocolloid. 2018, 77, 887–893. [Google Scholar] [CrossRef]
- Sikes, A.L.; Tobin, A.B.; Tume, R.K. Use of high pressure to reduce cook loss and improve texture of low-salt beef sausage batters. Innov. Food Sci. Emerg. 2009, 10, 405–412. [Google Scholar] [CrossRef]
- Luo, X.; Wang, Q.; Wu, Y.; Duan, W.; Zhang, Y.; Geng, F.; Song, H.; Huang, Q.; An, F. Mechanism of effect of heating temperature on functional characteristics of thick egg white. LWT 2022, 154, 112807. [Google Scholar] [CrossRef]
- Niu, H.; Xia, X.; Wang, C.; Kong, B.; Liu, Q. Thermal stability and gel quality of myofibrillar protein as affected by soy protein isolates subjected to an acidic pH and mild heating. Food Chem. 2018, 242, 188–195. [Google Scholar] [CrossRef]
- Zhang, H.; Xiong, Y.; Bakry, A.M.; Xiong, S.; Yin, T.; Zhang, B.; Huang, J.; Liu, Z.; Huang, Q. Effect of yeast β-glucan on gel properties, spatial structure and sensory characteristics of silver carp surimi. Food Hydrocolloid. 2019, 88, 256–264. [Google Scholar] [CrossRef]
- Chen, X.; Tume, R.K.; Xiong, Y.; Xu, X.; Zhou, G.; Chen, C.; Nishiumi, T. Structural modification of myofibrillar proteins by high-pressure processing for functionally improved, value-added, and healthy muscle gelled foods. Crit. Rev. Food Sci. 2018, 58, 2981–3003. [Google Scholar] [CrossRef]
- Luo, H.B.; Guo, C.X.; Lin, L.; Si, Y.L.; Gao, X.; Xu, D.L.; Jia, R.; Yang, W.G. Combined Use of Rheology, LF-NMR, and MRI for Characterizing the Gel Properties of Hairtail Surimi with Potato Starch. Food Bioprocess Tech. 2020, 13, 637–647. [Google Scholar] [CrossRef]
- Mi, J.; Zhao, X.; Huang, P.; Hong, J.; Jia, R.; Deng, S.; Yu, X.; Wei, H.; Yang, W. Effect of hydroxypropyl distarch phosphate on the physicochemical characteristics and structure of shrimp myofibrillar protein. Food Hydrocolloid. 2022, 125, 107417. [Google Scholar] [CrossRef]
- Jiang, T.; Zhao, Y.J.; Huang, M.M.; Zhang, Z.Y.; Mao, Y.W.; Zuo, H.X. Influence of Interactions Between Drawing Soy Protein and Myofibrillar Proteins on Gel Properties. Foods 2025, 14, 1064. [Google Scholar] [CrossRef]
- Lv, Y.; Xu, L.; Su, Y.; Chang, C.; Gu, L.; Yang, Y.; Li, J. Effect of soybean protein isolate and egg white mixture on gelation of chicken myofibrillar proteins under salt/-free conditions. LWT 2021, 149, 111871. [Google Scholar] [CrossRef]
- Razi, S.M.; Motamedzadegan, A.; Matia-Merino, L.; Shahidi, S.-A.; Rashidinejad, A. The effect of pH and high-pressure processing (HPP) on the rheological properties of egg white albumin and basil seed gum mixtures. Food Hydrocolloid. 2019, 94, 399–410. [Google Scholar] [CrossRef]
- Gao, Y.; Luo, C.; Zhang, J.; Wei, H.; Zan, L.; Zhu, J. Konjac glucomannan improves the gel properties of low salt myofibrillar protein through modifying protein conformation. Food Chem. 2022, 393, 133400. [Google Scholar] [CrossRef]
- Chen, H.S.; Kong, B.H.; Guo, Y.Y.; Xia, X.F.; Diao, X.P.; Li, P.J. The Effectiveness of Cryoprotectants in Inhibiting Multiple Freeze-Thaw-Induced Functional and Rheological Changes in the Myofibrillar Proteins of Common Carp (Cyprinus carpio) Surimi. Food Biophys. 2013, 8, 302–310. [Google Scholar] [CrossRef]







| Factors | Code Levels | ||
|---|---|---|---|
| −1 | 0 | 1 | |
| A-EWP proportion | 0.3 | 0.4 | 0.5 |
| B-UHP pressure (MPa) | 200 | 300 | 400 |
| C-UHP time (min) | 10 | 15 | 20 |
| Factor 1 | Factor 2 | Factor 3 | Response 1 | Response 2 | |
|---|---|---|---|---|---|
| Std | A:EWP Proportion | B:UHP Pressure (MPa) | C:UHP Time (min) | R1 Gel Strength (g·mm) | R2 WHC (%) |
| 1 | 0.3 | 200 | 15 | 209.607 | 37.1757 |
| 2 | 0.5 | 200 | 15 | 197.687 | 35.7877 |
| 3 | 0.3 | 400 | 15 | 213.728 | 35.9106 |
| 4 | 0.5 | 400 | 15 | 170.934 | 30.3080 |
| 5 | 0.3 | 300 | 10 | 235.888 | 36.0274 |
| 6 | 0.5 | 300 | 10 | 231.573 | 35.8621 |
| 7 | 0.3 | 300 | 20 | 232.29 | 36.8198 |
| 8 | 0.5 | 300 | 20 | 194.968 | 31.7107 |
| 9 | 0.4 | 200 | 10 | 168.356 | 37.3983 |
| 10 | 0.4 | 400 | 10 | 210.167 | 33.8075 |
| 11 | 0.4 | 200 | 20 | 219.161 | 33.9561 |
| 12 | 0.4 | 400 | 20 | 156.849 | 34.3145 |
| 13 | 0.4 | 300 | 15 | 278.638 | 38.8762 |
| 14 | 0.4 | 300 | 15 | 271.463 | 40.5229 |
| 15 | 0.4 | 300 | 15 | 276.742 | 41.0508 |
| 16 | 0.4 | 300 | 15 | 270.841 | 41.1916 |
| 17 | 0.4 | 300 | 15 | 267.323 | 40.6998 |
| Source | df | Sum of Squares | Mean Square | F-Value | p-Value | |
|---|---|---|---|---|---|---|
| Model | 9 | 24,557.49 | 2728.61 | 67.12 | <0.0001 | Significant |
| A-EWP proportion | 1 | 1160.43 | 1160.43 | 28.55 | 0.0011 | |
| B-UHP pressure | 1 | 232.55 | 232.55 | 5.72 | 0.0480 | |
| C-UHP time | 1 | 228.06 | 228.06 | 5.61 | 0.0497 | |
| AB | 1 | 238.29 | 238.29 | 5.86 | 0.0460 | |
| AC | 1 | 272.37 | 272.37 | 6.70 | 0.0360 | |
| BC | 1 | 2710.38 | 2710.38 | 66.68 | <0.0001 | |
| A2 | 1 | 1681.33 | 1681.33 | 41.36 | 0.0004 | |
| B2 | 1 | 12,750.49 | 12,750.49 | 313.66 | <0.0001 | |
| C2 | 1 | 3624.23 | 3624.23 | 89.16 | <0.0001 | |
| Residual | 7 | 284.55 | 40.65 | |||
| Lack of Fit | 3 | 199.52 | 66.51 | 3.13 | 0.1497 | Not significant |
| Pure Error | 4 | 85.03 | 21.26 | |||
| Cor Total | 16 | 24,842.04 | ||||
| R2 | 0.9885 | |||||
| C.V. | 2.85% |
| Source | df | Sum of Squares | Mean Square | F-Value | p-Value | |
|---|---|---|---|---|---|---|
| Model | 9 | 159.38 | 17.71 | 23.01 | 0.0002 | Significant |
| A-EWP proportion | 1 | 18.80 | 18.80 | 24.44 | 0.0017 | |
| B-UHP pressure | 1 | 12.44 | 12.44 | 16.17 | 0.0051 | |
| C-UHP time | 1 | 4.95 | 4.95 | 6.44 | 0.0388 | |
| AB | 1 | 4.44 | 4.44 | 5.77 | 0.0473 | |
| AC | 1 | 6.11 | 6.11 | 7.94 | 0.0259 | |
| BC | 1 | 3.90 | 3.90 | 5.07 | 0.0591 | |
| A2 | 1 | 31.12 | 31.12 | 40.44 | 0.0004 | |
| B2 | 1 | 36.75 | 36.75 | 47.76 | 0.0002 | |
| C2 | 1 | 29.45 | 29.45 | 38.28 | 0.0005 | |
| Residual | 7 | 5.39 | 0.7695 | |||
| Lack of Fit | 3 | 1.93 | 0.6442 | 0.7461 | 0.5784 | Not significant |
| Pure Error | 4 | 3.45 | 0.8635 | |||
| Cor Total | 16 | 164.77 | ||||
| R2 | 0.9673 | |||||
| C.V. | 2.40% |
Disclaimer/Publisher’s Note: The statements, opinions and data contained in all publications are solely those of the individual author(s) and contributor(s) and not of MDPI and/or the editor(s). MDPI and/or the editor(s) disclaim responsibility for any injury to people or property resulting from any ideas, methods, instructions or products referred to in the content. |
© 2025 by the authors. Licensee MDPI, Basel, Switzerland. This article is an open access article distributed under the terms and conditions of the Creative Commons Attribution (CC BY) license (https://creativecommons.org/licenses/by/4.0/).
Share and Cite
Wang, Y.; Zhai, Z.; Yu, X.; Li, D. The Effects of Ultra-High Pressure Combined with Egg White Protein on the Gel Physical Properties of Reduced-Salt Shrimp Surimi. Foods 2025, 14, 2144. https://doi.org/10.3390/foods14122144
Wang Y, Zhai Z, Yu X, Li D. The Effects of Ultra-High Pressure Combined with Egg White Protein on the Gel Physical Properties of Reduced-Salt Shrimp Surimi. Foods. 2025; 14(12):2144. https://doi.org/10.3390/foods14122144
Chicago/Turabian StyleWang, Yefan, Zisheng Zhai, Xinchi Yu, and Deyang Li. 2025. "The Effects of Ultra-High Pressure Combined with Egg White Protein on the Gel Physical Properties of Reduced-Salt Shrimp Surimi" Foods 14, no. 12: 2144. https://doi.org/10.3390/foods14122144
APA StyleWang, Y., Zhai, Z., Yu, X., & Li, D. (2025). The Effects of Ultra-High Pressure Combined with Egg White Protein on the Gel Physical Properties of Reduced-Salt Shrimp Surimi. Foods, 14(12), 2144. https://doi.org/10.3390/foods14122144
