Development and Characterization of LDPE/EVA Films Incorporating Carvacrol Essential Oil with Antifungal Activity
Abstract
1. Introduction
2. Materials and Methods
2.1. Materials
2.2. Preparation of OMtC and OMtT Hybrids
2.3. Preparation of LDPE/EVA/OMtC and LDPE/EVA/OMtT Films
2.4. Characterization Techniques
2.4.1. XRD Analysis
2.4.2. Mechanical Analysis
2.4.3. Oxygen Permeability Measurements of LDPE/EVA/OMtC and LDPE/EVA/OMtT Films
2.4.4. DPPH Radical Scavenging Assay
2.5. In Situ Antifungal Activity in Bread Spoilage
2.6. Microbial Load of Bread Samples
2.7. Statistical Analysis
3. Results
3.1. XRD Characterization of the Prepared Films
3.2. Mechanical Properties of Films
3.3. Membrane Oxygen Permeability Measurements
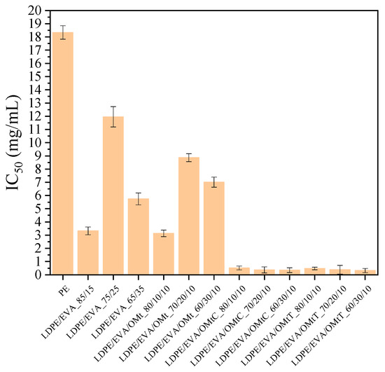
3.4. Antioxidant Activity (AOA)
3.5. Food Preservation and Fungal Growth Assessment
4. Conclusions
Author Contributions
Funding
Institutional Review Board Statement
Informed Consent Statement
Data Availability Statement
Conflicts of Interest
References
- Jiang, Y.; Zhang, Y.; Deng, Y. Latest Advances in Active Materials for Food Packaging and Their Application. Foods 2023, 12, 4055. [Google Scholar] [CrossRef] [PubMed]
- Fadiji, T.; Rashvand, M.; Daramola, M.O.; Iwarere, S.A. A Review on Antimicrobial Packaging for Extending the Shelf Life of Food. Processes 2023, 11, 590. [Google Scholar] [CrossRef]
- Sharma, S.; Mohler, J.; Mahajan, S.D.; Schwartz, S.A.; Bruggemann, L.; Aalinkeel, R. Microbial Biofilm: A Review on Formation, Infection, Antibiotic Resistance, Control Measures, and Innovative Treatment. Microorganisms 2023, 11, 1614. [Google Scholar] [CrossRef] [PubMed]
- Kadirvel, V.; Palanisamy, Y.; Ganesan, N.D. Active Packaging System—An Overview of Recent Advances for Enhanced Food Quality and Safety. Packag. Technol. Sci. 2024, 38, 145–162. [Google Scholar] [CrossRef]
- GilakHakimabadi, S.; Ehsani, M.; Khonakdar, H.A.; Ghaffari, M.; Jafari, S.H. Controlled-release of ferulic acid from active packaging based on LDPE/EVA blend: Experimental and modeling. Food Packag. Shelf Life 2019, 22, 100392. [Google Scholar] [CrossRef]
- Li, L.; Song, W.; Shen, C.; Dong, Q.; Wang, Y.; Zuo, S. Active Packaging Film Containing Oregano Essential Oil Microcapsules and Their Application for Strawberry Preservation. J. Food Process. Preserv. 2020, 44, e14799. [Google Scholar] [CrossRef]
- Asgher, M.; Qamar, S.A.; Bilal, M.; Iqbal, H.M.N. Bio-Based Active Food Packaging Materials: Sustainable Alternative to Conventional Petrochemical-Based Packaging Materials. Food Res. Int. 2020, 137, 109625. [Google Scholar] [CrossRef]
- Mączka, W.; Twardawska, M.; Grabarczyk, M.; Wińska, K. Carvacrol—A Natural Phenolic Compound with Antimicrobial Properties. Antibiotics 2023, 12, 824. [Google Scholar] [CrossRef]
- Rao, A.; Zhang, Y.; Muend, S.; Rao, R. Mechanism of antifungal activity of terpenoid phenols resembles calcium stress and inhibition of the TOR pathway. Antimicrob. Agents Chemother. 2010, 54, 5062–5069. [Google Scholar] [CrossRef]
- Sharifzadeh, A.; Fasaei, B.N.; Asadi, S.; Fatemi, N.; Mohammad, M.H.; Ghaffari, H. Evaluation of antifungal and apoptotic effects of linalool, citral, and carvacrol separately and in combination with nystatin against clinical isolates of Pichia kudriavzevii. BMC Microbiol. 2024, 24, 333. [Google Scholar] [CrossRef]
- Cox, S.D.; Mann, C.M.; Markham, J.L.; Bell, H.C.; Gustafson, J.E.; Warmington, J.R.; Wyllie, S.G. The mode of antimicrobial action of the essential oil of Melaleuca alternifolia (tea tree oil). J. Appl. Microbiol. 2000, 88, 170–175. [Google Scholar] [CrossRef] [PubMed]
- Duong, T.H.; Dinh, K.B.; Luu, T.; Chapman, J.; Baji, A.; Truong, V.K. Nanoengineered sustainable antimicrobial packaging: Integrating essential oils into polymer matrices to combat food waste. Int. J. Food Sci. Technol. 2024, 59, 5887–5901. [Google Scholar] [CrossRef]
- EFSA Panel on Food Contact Materials, Enzymes and Processing Aids (CEP); Silano, V.; Barat Baviera, J.M.; Bolognesi, C.; Chesson, A.; Cocconcelli, P.S.; Crebelli, R.; Gott, D.M.; Grob, K.; Lambré, C.; et al. Assessment of the impact of the IARC Monograph Vol. 121 on the safety of the substance styrene (FCM No 193) for its use in plastic food contact materials. EFSA J. 2020, 18, e06247. [Google Scholar]
- Jackson-Davis, A.; White, S.; Kassama, L.S.; Coleman, S.; Shaw, A.; Mendonca, A.; Cooper, B.; Thomas-Popo, E.; Gordon, K.; London, L. A Review of Regulatory Standards and Advances in Essential Oils as Antimicrobials in Foods. J. Food Prot. 2023, 86, 100025. [Google Scholar] [CrossRef]
- Sharma, S.; Barkauskaite, S.; Jaiswal, A.K.; Jaiswal, S. Essential oils as additives in active food packaging. Food Chem. 2021, 343, 128403. [Google Scholar] [CrossRef] [PubMed]
- Nahar, L.; Habibi, E.; Gavril, G.-L.; Abdelfattah, G.M.M.; Wrona, M.; Nerín, C.; Guo, M.; Sarker, S.D. Towards sustainable food packaging using natural compounds: A review of current research update. Food Bioprod. Process. 2025, 150, 260–274. [Google Scholar] [CrossRef]
- Bibow, A.; Oleszek, W. Essential Oils as Potential Natural Antioxidants, Antimicrobial, and Antifungal Agents in Active Food Packaging. Antibiotics 2024, 13, 1168. [Google Scholar] [CrossRef]
- de Sousa, D.P.; Damasceno, R.O.S.; Amorati, R.; Elshabrawy, H.A.; de Castro, R.D.; Bezerra, D.P.; Nunes, V.R.V.; Gomes, R.C.; Lima, T.C. Essential Oils: Chemistry and Pharmacological Activities. Biomolecules 2023, 13, 1144. [Google Scholar] [CrossRef]
- Devi, L.S.; Das, B.; Dutta, D.; Kumar, S. Essential oils as functional agents in biopolymer-based sustainable food packaging system: A review. Sustain. Chem. Pharm. 2024, 39, 101563. [Google Scholar] [CrossRef]
- Diowksz, A.; Kope’c, P.; Koziróg, A. The Inactivation of Microscopic Fungi in Bakery Products Using Hurdle Technology—A Case Study. Appl. Sci. 2024, 14, 10648. [Google Scholar] [CrossRef]
- Rahman, M.; Islam, R.; Hasan, S.; Zzaman, W.; Rana, M.R.; Ahmed, S.; Roy, M.; Sayem, A.; Matin, A.; Raposo, A.; et al. A Comprehensive Review on Bio-Preservation of Bread: An Approach to Adopt Wholesome Strategies. Foods 2022, 11, 319. [Google Scholar] [CrossRef] [PubMed]
- Gavahian, M.; Chu, Y.H.; Lorenzo, J.M.; Mousavi Khaneghah, A.; Barba, F.J. Essential oils as natural preservatives for bakery products: Understanding the mechanisms of action, recent findings, and applications. Crit. Rev. Food Sci. Nutr. 2018, 60, 310–321. [Google Scholar] [CrossRef] [PubMed]
- Jurkaninová, L.; Švec, I.; Kučerová, I.; Havrlentová, M.; Božik, M.; Klouček, P.; Leuner, O. The Use of Thyme and Lemongrass Essential Oils in Cereal Technology—Effect on Wheat Dough Behavior and Bread Properties. Appl. Sci. 2024, 14, 4831. [Google Scholar] [CrossRef]
- Safakas, K.; Lainioti, G.C.; Tsiamis, G.; Stathopoulou, P.; Ladavos, A. Utilizing Essential Oil Components as Natural Antifungal Preservatives in the Active Packaging of Bread. Polymers 2025, 17, 697. [Google Scholar] [CrossRef] [PubMed]
- Nostro, A.; Scaffaro, R.; D’Arrigo, M.; Botta, L.; Filocamo, A.; Marino, A.; Bisignano, G. Study on carvacrol and cinnamaldehyde polymeric films: Mechanical properties, release kinetics and antibacterial and antibiofilm activities. Appl. Microbiol. Biotechnol. 2012, 96, 1029–1038. [Google Scholar] [CrossRef]
- Sung, S.-Y.; Sin, L.T.; Tee, T.-T.; Bee, S.-T.; Rahmat, A.R. Effects of Allium sativum essence oil as antimicrobial agent for food packaging plastic film. Innov. Food Sci. Emerg. Technol. 2014, 26, 406–414. [Google Scholar] [CrossRef]
- Phala, K.; Mapossa, A.B.; Augustyn, W.; Combrinck, S.; Botha, B. Development of EVA and LLDPE polymer-based carvone and spearmint essential oil release systems for citrus postharvest diseases applications. Arab. J. Chem. 2023, 16, 104458. [Google Scholar] [CrossRef]
- Safakas, K.; Giotopoulou, I.; Giannakopoulou, A.; Katerinopoulou, K.; Lainioti, G.C.; Stamatis, H.; Barkoula, N.-M.; Ladavos, A. Designing Antioxidant and Antimicrobial Polyethylene Films with Bioactive Compounds/Clay Nanohybrids for Potential Packaging Applications. Molecules 2023, 28, 2945. [Google Scholar] [CrossRef]
- ASTM D638-14; Standard Test Method for Tensile Properties of Plastics. ASTM International: West Conshohocken, PA, USA, 2022. Available online: https://store.astm.org/d0638-14.html (accessed on 4 March 2025).
- ASTM D882; Standard Test Method for Tensile Properties of Thin Plastic Sheeting. ASTM International: West Conshohocken, PA, USA, 2018. Available online: https://store.astm.org/d0882-18.html (accessed on 20 May 2025).
- ASTM D3985-17; Standard Test Method for Oxygen Gas Transmission Rate Through Plastic Film and Sheeting Using a Coulometric Sensor. ASTM International: West Conshohocken, PA, USA, 2024. Available online: https://www.astm.org/d3985-17.html (accessed on 4 March 2025).
- Blois, M.S. Antioxidant Determinations by the Use of a Stable Free Radical. Nature 1958, 181, 1199–2000. [Google Scholar] [CrossRef]
- Payum, T.; Das, A.K.; Shankar, R.; Tamuly, C.; Hazarika, M. Antioxidant Potential of Solanum spirale Shoot and Berry: A Medicinal Food Plant Used in Arunachal Pradesh. Am. J. PharmTech Res. 2015, 5, 307–314. [Google Scholar]
- Bondet, V.; Brand-Williams, W.; Berset, C. Kinetics and Mechanisms of Antioxidant Activity Using the DPPH• Free Radical Method. LWT Food Sci. Technol. 1997, 30, 609–615. [Google Scholar] [CrossRef]
- Dadfar, S.M.A.; Alemzadeh, I.; Dadfar, S.M.R.; Vasheghani-Farahani, E. Studies on the oxygen barrier and mechanical properties of low density polyethylene/organoclay nanocomposite films in the presence of ethylene vinyl acetate copolymer as a new type of compatibilizer. J. Appl. Polym. Sci. 2011, 119, 2550–2557. [Google Scholar] [CrossRef]
- Hosseiny, S.S.; Riahinezhad, M.; Dadfar, S.M.A. A correlation between morphology and mechanical performance of injected-molded PE/EVA/clay nanocomposites: Insight into phase miscibility and interfacial phenomena. J. Appl. Polym. Sci. 2020, 137, 48877. [Google Scholar] [CrossRef]
- Takidis, G.; Bikiaris, D.N.; Papageorgiou, G.Z.; Achilias, D.S.; Sideridou, I. Compatibility of low-density polyethylene/poly(ethylene-co-vinyl acetate) binary blends prepared by melt mixing. J. Appl. Polym. Sci. 2003, 90, 841–852. [Google Scholar] [CrossRef]
- Zhong, Y.; Janes, D.; Zheng, Y.; Hetzer, M.; De Kee, D. Mechanical and oxygen barrier properties of organoclay-polyethylene nanocomposite films. Polym. Eng. Sci. 2007, 47, 1101–1107. [Google Scholar] [CrossRef]
- Pham, N.T.-H. Characterization of Low-Density Polyethylene and LDPE-Based/Ethylene-Vinyl Acetate with Medium Content of Vinyl Acetate. Polymers 2021, 13, 2352. [Google Scholar] [CrossRef]
- Bonilla, J.; Atarés, L.; Vargas, M.; Chiralt, A. Edible films and coatings to prevent the detrimental effect of oxygen on food quality: Possibilities and limitations. J. Food Eng. 2012, 110, 208–213. [Google Scholar] [CrossRef]
- Gupta, P. Role of oxygen absorbers in food as packaging material, their characterization and applications. J. Food Sci. Technol. 2024, 61, 242–252. [Google Scholar] [CrossRef]
- Farazi, Z.; Oromiehie, A.; Mousavi, S.M.; Hashemi, S.A. Preparation of LDPE/EVA/PE-MA, Nano Clay Blend Composite in the Stage Potassium Sorbate (KS) and Garlic Oil (GO) as an Antimicrobial Substance. Polym. Sci. 2018, 4, 6. [Google Scholar]
- Marini, J.; Branciforti, M.C.; Alves, R.M.V.; Bretas, R.E.S. Effect of EVA as compatibilizer on the mechanical properties, permeability characteristics, lamellae orientation, and long period of blown films of HDPE/clay nanocomposites. J. Appl. Polym. Sci. 2010, 118, 3340–3350. [Google Scholar] [CrossRef]
- Majeed, K.; Arjmandi, R.; Hassan, A. Mechanical and oxygen barrier properties of LDPE/MMT/MAPE and LDPE/MMT/EVA nanocomposite films: A comparison study. J. Phys. Sci. 2018, 29, 43–58. [Google Scholar] [CrossRef]
- Hosseinkhanli, H.; Sharif, A.; Aalaie, J.; Khalkhali, T.; Akhlaghi, S. Oxygen permeability and the mechanical and thermal properties of (low-density polyethylene)/poly (ethylene-co-vinyl acetate)/organoclay blown film nanocomposites. J. Vinyl Addit. Technol. 2013, 19, 132–139. [Google Scholar] [CrossRef]
- Vasile, C.; Baican, M. Progresses in Food Packaging, Food Quality, and Safety-Controlled-Release Antioxidant and/or Antimicrobial Packaging. Molecules 2021, 26, 1263. [Google Scholar] [CrossRef] [PubMed]
- Gilbert, R.J.; de Louvois, J.; Donovan, T.; Little, C.; Nye, K.; Ribeiro, C.D.; Richards, J.; Roberts, D.; Bolton, F.J. Guidelines for the microbiological quality of some ready-to-eat foods sampled at the point of sale. PHLS Advisory Committee for Food and Dairy Products. Commun. Dis. Public Health 2000, 3, 163–167. [Google Scholar] [PubMed]
- György, É.; Laslo, É. Microbiological Quality Assessment of Some Commercially Available Breads. Foods 2024, 13, 3271. [Google Scholar] [CrossRef]
- Ollinger, N.; Malachova, A.; Sulyok, M.; Krska, R.; Weghuber, J. Mycotoxin contamination in moldy slices of bread is mostly limited to the immediate vicinity of the visible infestation. Food Chem. X 2024, 23, 101563. [Google Scholar] [CrossRef]
- Pyrzynska, K.; Pekal, A. Application of free radical diphenylpicrylhydrazyl (DPPH) to estimate the antioxidant capacity of food samples. Anal. Methods 2013, 5, 4288–4295. [Google Scholar] [CrossRef]
- Silva, S.J.M.; Spencer, P.V.D.; Pinto, N.A.V.D.; Schmiele, M. Antimicrobial performance on molds isolated from muffin and antioxidant capacity of raw and roasted coffee oils (Coffea arabica L.). Res. Soc. Dev. 2020, 9, e9289109285. [Google Scholar] [CrossRef]
- Tanackov, D.K.; Dimić, G.R. Antifungal activity of essential oils in the control of food-borne fungi growth and mycotoxin biosynthesis in food. In Microbial Pathogens and Strategies for Combating Them: Science, Technology and Education; Méndez-Vilas, A., Ed.; Formatex Research Center: Badajoz, Spain, 2013; pp. 838–849. [Google Scholar]
- Ju, J.; Xu, X.; Xie, Y.; Guo, Y.; Cheng, Y.; Qian, H.; Yao, W. Inhibitory effects of cinnamon and clove essential oils on mold growth on baked foods. Food Chem. 2018, 240, 850–855. [Google Scholar] [CrossRef]
- Hu, Y.; Zhang, J.; Kong, W.; Zhao, G.; Yang, M. Mechanisms of antifungal and anti-aflatoxigenic properties of essential oil derived from turmeric (Curcuma longa L.) on Aspergillus flavus. Food Chem. 2007, 220, 1–8. [Google Scholar] [CrossRef]
- Grande-Tovar, C.D.; Chaves-Lopez, C.; Serio, A.; Rossi, C.; Paparella, A. Chitosan coatings enriched with essential oils: Effects on fungi involved in fruit decay and mechanisms of action. Trends Food Sci. Technol. 2018, 78, 61–71. [Google Scholar] [CrossRef]
- Sharma, P.; Ahuja, A.; Izrayeel, A.M.D.; Samyn, P.; Rastogi, V.K. Physicochemical and thermal characterization of poly (3-hydroxybutyrate-co-4-hydroxybutyrate) films incorporating thyme essential oil for active packaging of white bread. Food Control 2021, 133, 108688. [Google Scholar] [CrossRef]
- Ju, J.; Xie, Y.; Yu, H.; Guo, Y.; Cheng, Y.; Qian, H.; Yao, W. A novel method to prolong bread shelf life: Sachets containing essential oils components. LWT 2020, 131, 109744. [Google Scholar] [CrossRef]
- Saadati Ardestani, N.; Rojas, A.; Esfandiari, N.; Galotto, M.J.; Babhadiashar, A.; Sajadian, S.A. Supercritical Fluid Extraction from Zataria multiflora Boiss and Impregnation of Bioactive Compounds in PLA for the Development of Materials with Antibacterial Properties. Processes 2022, 10, 1787. [Google Scholar] [CrossRef]
- Esfandiari, N.; Rojas, A.; Babhadiashar, A.; Galotto, M.J.; Saadati Ardestani, N.; Sajadian, S.A. Effect of the Processing Conditions on the Supercritical Extraction and Impregnation of Rosemary Essential Oil in Linear Low-Density Polyethylene Films. Processes 2023, 11, 11. [Google Scholar] [CrossRef]





| Code | Film Composition (%) | 2θ (°) | d001 (Å) |
|---|---|---|---|
| LDPE | 100 | - | - |
| EVA | 100 | - | - |
| LDPE/EVA/OMt | 80/10/10 | 4.59 | 19.3 |
| LDPE/EVA/OMt | 70/20/10 | 4.53 | 19.5 |
| LDPE/EVA/OMt | 60/30/10 | 4.38 | 20.2 |
| LDPE/EVA/OMtC | 80/10/10 | 4.58 | 19.3 |
| LDPE/EVA/OMtC | 70/20/10 | 4.56 | 19.4 |
| LDPE/EVA/OMtC | 60/30/10 | 4.53 | 19.5 |
| LDPE/EVA/OMtT | 80/10/10 | 4.73 | 18.7 |
| LDPE/EVA/OMtT | 70/20/10 | 4.61 | 19.2 |
| LDPE/EVA/OMtT | 60/30/10 | 4.58 | 19.3 |
| Code | Thickness (mm) | OTR (cc/m2/Day) | Permeability O2 (×10−8 cm2/s) |
|---|---|---|---|
| LDPE | 0.1404 | 1268.18 | 2.06 ± 0.12 |
| LDPE/EVA_85/15 | 0.1500 | 1570.00 | 2.68 ± 0.13 |
| LDPE/EVA_75/25 | 0.1362 | 1709.00 | 2.68 ± 0.32 |
| LDPE/EVA_65/35 | 0.1283 | 2467.30 | 3.66 ± 0.22 |
| LDPE/EVA/OMt_80/10/10 | 0.1545 | 997.50 | 1.76 ± 0.13 |
| LDPE/EVA/OMt_70/20/10 | 0.1616 | 1054.40 | 1.96 ± 0.23 |
| LDPE/EVA/OMt_60/30/10 | 0.1437 | 1200.75 | 1.99 ± 0.01 |
| LDPE/EVA/OMtC_80/10/10 | 0.1645 | 1421.25 | 2.71 ± 0.01 |
| LDPE/EVA/OMtC_70/20/10 | 0.1353 | 2007.15 | 3.14 ± 0.07 |
| LDPE/EVA/OMtC_60/30/10 | 0.1379 | 2100.30 | 3.35 ± 0.22 |
| LDPE/EVA/OMtT_80/10/10 | 0.1399 | 1471.38 | 2.37 ± 0.02 |
| LDPE/EVA/OMtT_70/20/10 | 0.1375 | 1830.75 | 2.91 ± 0.19 |
| LDPE/EVA/OMtT_60/30/10 | 0.1345 | 2557.50 | 3.98 ± 0.07 |
| Code | Increase (%) |
|---|---|
| LDPE/EVA/OMtC_80/10/10_1 Month | +97 |
| LDPE/EVA/OMtC_80/10/10_1 Month env | +98 |
| LDPE/EVA/OMtC_70/20/10_1 Month | +98 |
| LDPE/EVA/OMtC_70/20/10_1 Month env | +98 |
| LDPE/EVA/OMtC_60/30/10_1 Month | +98 |
| LDPE/EVA/OMtC_60/30/10_1 Month env | +99 |
| LDPE/EVA/OMtT_80/10/10_1 Month | +97 |
| LDPE/EVA/OMtT_80/10/10_1 Month env | +97 |
| LDPE/EVA/OMtT_70/20/10_1 Month | +98 |
| LDPE/EVA/OMtT_70/20/10_1 Month env | +98 |
| LDPE/EVA/OMtT_60/30/10_1 Month | +98 |
| LDPE/EVA/OMtT_60/30/10_1 Month env | +98 |
| Bread Sample | Fungal Growth Intensity | |
|---|---|---|
| Day 0 | Day 60 | |
| Baguette | − | ++ |
| Baguette_PE/EVA/OMtC_80/10/10 | − | − |
Disclaimer/Publisher’s Note: The statements, opinions and data contained in all publications are solely those of the individual author(s) and contributor(s) and not of MDPI and/or the editor(s). MDPI and/or the editor(s) disclaim responsibility for any injury to people or property resulting from any ideas, methods, instructions or products referred to in the content. |
© 2025 by the authors. Licensee MDPI, Basel, Switzerland. This article is an open access article distributed under the terms and conditions of the Creative Commons Attribution (CC BY) license (https://creativecommons.org/licenses/by/4.0/).
Share and Cite
Safakas, K.; Lainioti, G.C.; Koutsodima, P.; Stathopoulou, P.; Ladavos, A. Development and Characterization of LDPE/EVA Films Incorporating Carvacrol Essential Oil with Antifungal Activity. Foods 2025, 14, 2069. https://doi.org/10.3390/foods14122069
Safakas K, Lainioti GC, Koutsodima P, Stathopoulou P, Ladavos A. Development and Characterization of LDPE/EVA Films Incorporating Carvacrol Essential Oil with Antifungal Activity. Foods. 2025; 14(12):2069. https://doi.org/10.3390/foods14122069
Chicago/Turabian StyleSafakas, Konstantinos, Georgia C. Lainioti, Pinelopi Koutsodima, Panagiota Stathopoulou, and Athanasios Ladavos. 2025. "Development and Characterization of LDPE/EVA Films Incorporating Carvacrol Essential Oil with Antifungal Activity" Foods 14, no. 12: 2069. https://doi.org/10.3390/foods14122069
APA StyleSafakas, K., Lainioti, G. C., Koutsodima, P., Stathopoulou, P., & Ladavos, A. (2025). Development and Characterization of LDPE/EVA Films Incorporating Carvacrol Essential Oil with Antifungal Activity. Foods, 14(12), 2069. https://doi.org/10.3390/foods14122069

