Effect of Yam Flour Modified with Plasma-Activated Water Combined with Extrusion Treatment on the Quality of Chinese Noodles
Abstract
1. Introduction
2. Materials and Methods
2.1. Materials
2.2. Methods
2.2.1. Preparation of Yam Flour
2.2.2. Preparation of PAW
2.2.3. PAW Extrusion Processing Yam Flour
2.2.4. Preparation of Yam Noodles
2.2.5. Determination of Chromaticity
2.2.6. Determination of Moisture Distribution
2.2.7. Determination of Textural Properties
Raw Yam Noodles
Cooked Yam Noodles
2.2.8. Determination of Cooking Characteristics
Optimal Steaming Time
Ratio of Broken Stripes
Water Absorption of Dry Matter
Cooking Loss in Noodle Preparation
2.2.9. Determination of Microstructure
2.2.10. Determination of In Vitro Digestibility of Starch
2.2.11. Data Analysis
3. Results and Discussion
3.1. Color of Noodles
3.2. Moisture Distribution
3.3. Textural Characteristics
3.4. Cooking Properties
3.4.1. Optimal Cooking Time and Strip Breakage
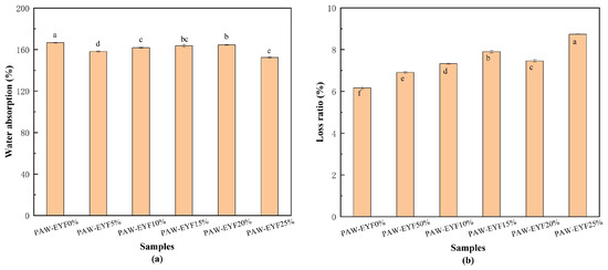
3.4.2. Absorption of Dry Matter
3.4.3. Cooking Loss Rate
3.5. Microstructure
3.6. In Vitro Digestive Properties
4. Conclusions
Author Contributions
Funding
Institutional Review Board Statement
Informed Consent Statement
Data Availability Statement
Conflicts of Interest
References
- Ahmed, I.; Qazi, I.M.; Jamal, S. Quality evaluation of noodles prepared from blending of broken rice and wheat flour. Starch-Stärke 2015, 67, 905–912. [Google Scholar] [CrossRef]
- Choo, C.L.; Aziz, N.A.A. Effects of banana flour and β-glucan on the nutritional and sensory evaluation of noodles. Food Chem. 2010, 119, 34–40. [Google Scholar] [CrossRef]
- Hu, F.; Li, J.; Zou, P.; Thakua, K.; Zhang, J.; Khan, M.; Wei, Z. Effects of Lycium barbarum on gluten structure, in vitro starch digestibility, and compound noodle quality. Food Biosci. 2023, 54, 102915. [Google Scholar] [CrossRef]
- Li, M.; Ma, S. A review of healthy role of dietary fiber in modulating chronic diseases. Food Res. Int. 2024, 191, 114682. [Google Scholar] [CrossRef]
- Gang, W.; Dan, W.; Qing, C.; Chen, L.; Gao, P.; Huang, M. Impacts of electron-beam-irradiation on microstructure and physical properties of yam (Dioscorea opposita Thunb.) flour. LWT-Food. Sci. Technol. 2022, 163, 113531. [Google Scholar] [CrossRef]
- Yan, Y.; Xue, X.; Jin, X.; Niu, B.; Chen, Z.; Ji, X.; Shi, M.; He, Y. Effect of annealing using plasma-activated water on the structure and properties of wheat flour. Front. Nutr. 2022, 9, 951588. [Google Scholar] [CrossRef]
- Shen, C.; Chen, W.; Aziz, T.; Al-Asmari, F.; Alghamdi, S.; Bayahya, S.; Cui, H.; Lin, L. Effects of cold plasma pretreatment before different drying process on the structural and functional properties of starch in Chinese yam. Int. J. Biol. Macromol. 2024, 274, 133307. [Google Scholar] [CrossRef]
- Chaple, S.; Sarangapani, C.; Jones, J.; Carey, W.; Causeret, L.; Genson, A.; Duffy, B.; Bourke, P. Effect of atmospheric cold plasma on the functional properties of whole wheat (Triticum aestivum L.) grain and wheat flour. Innov. Food Sci. Emerg. 2020, 66, 102529. [Google Scholar] [CrossRef]
- Zhao, Y.; Patange, A.; Sun, D.; Tiwari, B. Plasma-activated water: Physicochemical properties, microbial inactivation mechanisms, factors influencing antimicrobial effectiveness, and applications in the food industry. Compr. Rev. Food Sci. Food Saf. 2020, 19, 3951–3979. [Google Scholar] [CrossRef]
- Okyere, A.Y.; Rajendran, S.; Annor, G.A. Cold plasma technologies: Their effect on starch properties and industrial scale-up for starch modification. Curr. Res. Food Sci. 2022, 5, 451–463. [Google Scholar] [CrossRef]
- Guo, D.; Liu, H.; Zhou, L.; Xie, J.; He, C. Plasma-activated water production and its application in agriculture. J. Sci. Food Agric. 2021, 101, 4891–4899. [Google Scholar] [CrossRef] [PubMed]
- Jung, S.; Kim, H.J.; Park, S.; Yong, H.; Choe, J.; Jeon, H.; Choe, W.; Jo, C. The use of atmospheric pressure plasma-treated water as a source of nitrite for emulsion-type sausage. Meat Sci. 2015, 108, 132–137. [Google Scholar] [CrossRef]
- Ma, R.N.; Wang, G.M.; Tian, Y.; Wang, K.; Zhang, J.; Fang, J. Non-thermal plasma-activated water inactivation of food-borne pathogen on fresh produce. J. Hazard. Mater. 2015, 300, 643–651. [Google Scholar] [CrossRef]
- Guo, J.; Huang, K.; Wang, X.; Lyu, C.; Yang, N.; Li, Y.; Wang, J. Inactivation of yeast on grapes by plasma-activated water and its effects on quality attributes. J. Food Protect. 2017, 80, 225–230. [Google Scholar] [CrossRef]
- Xu, Y.Y.; Tian, Y.; Ma, R.N.; Liu, Q.; Zhang, J. Effect of plasma activated water on the postharvest quality of button mushrooms, Agaricus bisporus. Food Chem. 2016, 197 Pt A, 436–444. [Google Scholar] [CrossRef]
- Sarangapani, C.; Scally, L.; Gulan, M.; Cullen, P. Dissipation of pesticide residues on grapes and strawberries using plasma-activated water. Food Bioprocess Technol. 2020, 13, 1728–1741. [Google Scholar] [CrossRef]
- Qiao, C.; Zeng, F.; Wu, N.; Tan, B. Functional, physicochemical and structural properties of soluble dietary fiber from rice bran with extrusion cooking treatment. Food Hydrocoll. 2021, 121, 107057. [Google Scholar] [CrossRef]
- Ali, S.; Singh, B.; Sharma, S. Effect of processing temperature on morphology, crystallinity, functional properties, and in vitro digestibility of extruded corn and potato starches. J. Food Process. Preserv. 2020, 44, e14531. [Google Scholar] [CrossRef]
- Wang, B.; Dong, Y.; Fang, Y.; Gao, W.; Kang, X.; Liu, P.; Yan, S.; Cui, B.; El-Aty, A. Effects of different moisture contents on the structure and properties of corn starch during extrusion. Food Chem. 2022, 368, 130804. [Google Scholar] [CrossRef]
- Yan, X.; Wu, Z.; Li, M.; Yin, F.; Ren, K.; Tao, H. The combined effects of extrusion and heat-moisture treatment on the physicochemical properties and digestibility of corn starch. Int. J. Biol. Macromol. 2019, 134, 1108–1112. [Google Scholar] [CrossRef] [PubMed]
- Cheng, J.; Wang, J.; Chen, F.; Wu, D.; Gao, C.; Cheng, W.; Wang, Z.; Shen, X.; Tang, X. Effect of low temperature extrusion-modified potato starch addition on properties of whole wheat dough and texture of whole wheat youtiao. Food Chem. 2023, 412, 135595. [Google Scholar] [CrossRef] [PubMed]
- Wani, A.; Farooq, G.; Qadir, N.; Wani, T. Physico-chemical and rheological properties of bengal gram (Cicer arietinum L.) starch as affected by high temperature short timeextrusion. Int. J. Biol. Macromol. 2019, 131, 850–857. [Google Scholar] [CrossRef]
- Yan, Y.; Peng, B.; Niu, B.; Ji, X.; He, Y.; Shi, M. Understanding the structure, thermal, pasting, and rheological properties of potato and pea starches affected by annealing using plasma-activated water. Front. Nutr. 2022, 9, 842662. [Google Scholar] [CrossRef] [PubMed]
- Yan, Y.; Fang, J.; Zhu, X.; Ji, X.; Shi, M.; Niu, B. Effect of extrusion using plasma-activated water on the structural, physicochemical, antioxidant and in vitro digestive properties of yam flour. Food Chem. 2024, 460, 140687. [Google Scholar] [CrossRef] [PubMed]
- Zhu, F.; Cai, Y.; Sun, M.; Corke, H. Influence of amaranthus betacyanin pigments on the physical properties and color of wheat flours. J. Agric. Food Chem. 2008, 56, 8212–8217. [Google Scholar] [CrossRef]
- Cankurtaran, T.K.; Nermin, B. Effect of germinated and heat-moisture treated ancient wheat on some quality attributes and bioactive components of noodles. Food Chem. 2023, 404, 134577. [Google Scholar] [CrossRef]
- Yan, Y.; Feng, L.; Shi, M.; Cui, C.; Liu, Y. Effect of plasma-activated water on the structure and in vitro digestibility of waxy and normal maize starches during heat-moisture treatment. Food Chem. 2020, 306, 125589. [Google Scholar] [CrossRef]
- Shi, M.; Song, X.; Chen, J.; Ji, X.; Yan, Y. Effect of Oat Beta-Glucan on Physicochemical Properties and Digestibility of Fava Bean Starch. Foods 2024, 13, 2046. [Google Scholar] [CrossRef] [PubMed]
- Morris, C.F. Determinants of wheat noodle color. J. Sci. Food Agric. 2018, 98, 5171–5180. [Google Scholar] [CrossRef] [PubMed]
- Ouyang, J.; Fan, K.; Li, Q.; Wang, F.; Li, W.; Su, X. Mechanism of feed moisture levels in extrusion treatment to improve the instant properties of Chinese yam (Dioscorea opposita Thunb.) flour. Food Chem. 2023, 431, 137056. [Google Scholar] [CrossRef] [PubMed]
- Espinosa-Ramírez, J.; Rodriguez, A.; Rosa-Millán, J.; Heredia-Olea, E.; Pérez-Carrillo, E.; Serna-Saldívar, S. Shear-induced enhancement of technofunctional properties of whole grain flours through extrusion. Food Hydrocolloid. 2021, 111, 106400. [Google Scholar] [CrossRef]
- Djeukeu, W.A.; Gouado, I.; Leng, M.S.; Vijaykrishnaraj, M.; Prabhasankar, P. Effect of dried yam flour (Dioscorea schimperiana) on cooking quality, digestibility profile and antioxidant potential of wheat based pasta. J. Food Meas. Charact. 2017, 11, 1421–1429. [Google Scholar] [CrossRef]
- Chin, C.; Huda, N.; Yang, T. Incorporation of surimi powder in wet yellow noodles and its effects on the physicochemical and sensory properties. Int. Food Res. J. 2012, 19, 701–707. [Google Scholar]
- Liang, J.; Maeda, T.; Tao, X.; Wu, Y.; Tang, H. Physicochemical properties of Pueraria root starches and their effect on the improvement of buckwheat noodle quality. Cereal Chem. 2017, 94, 554–559. [Google Scholar] [CrossRef]
- Li, Y.; Liu, H.; Wang, Y.; Shabani, K.; Qin, X.; Liu, X. Comparison of structural features of reconstituted doughs affected by starches from different cereals and other botanical sources. J. Cereal Sci. 2020, 93, 102937. [Google Scholar] [CrossRef]
- Fu, B. Asian noodles: History, classification, raw materials, and processing. Food Res. Int. 2007, 41, 888–902. [Google Scholar] [CrossRef]
- Obadi, M.; Zhang, J.; Shi, Y.; Xu, B. Factors affecting frozen cooked noodle quality: A review. Trends Food Sci. Technol. 2021, 109, 662–673. [Google Scholar] [CrossRef]
- Sun, K.; Liao, A.; Zhang, F.; Thakur, K.; Zhang, J.; Huang, J.; Wei, Z. Microstructural, textural, sensory properties and quality of wheat-yam composite flour noodles. Foods 2019, 8, 519. [Google Scholar] [CrossRef] [PubMed]
- Guo, X.; Wei, X.; Zhu, K. The impact of protein cross-linking induced by alkali on the quality of buckwheat noodles. Food Chem. 2017, 221, 1178–1185. [Google Scholar] [CrossRef]
- Phongthai, S.; D’Amico, S.; Schoenlechner, R.; Homthawornchoo, W.; Rawdkuen, S. Effects of protein enrichment on the properties of rice flour based gluten-free pasta. LWT 2017, 80, 378–385. [Google Scholar] [CrossRef]
- Niu, M.; Hou, G.; Kindelspire, J.; Krishnan, P.; Zhao, S. Microstructural, textural, and sensory properties of whole-wheat noodle modified by enzymes and emulsifiers. Food Chem. 2017, 223, 16–24. [Google Scholar] [CrossRef] [PubMed]
- Ji, X.; Chen, J.; Jin, X.; Chen, J.; Ding, Y.; Shi, M.; Guo, X.; Yan, Y. Effect of Inulin on Thermal Properties, Pasting, Rheology, and In Vitro Digestion of Potato Starch. Starch-Stärke 2023, 75, 2200217. [Google Scholar] [CrossRef]






| Samples | L* | a* | b* | WI | A21 (%) | A22 (%) | A23 (%) |
|---|---|---|---|---|---|---|---|
| PAW-EYF 0% | 80.70 ± 0.14 a | 5.63 ± 0.10 a | 20.53 ± 0.13 a | 71.26 ± 0.18 a | 14.68 ± 0.04 c | 84.78 ± 0.02 a | 0.54 ± 0.01 a |
| PAW-EYF 5% | 76.91 ± 0.28 b | 5.09 ± 0.10 b | 17.64 ± 0.16 b | 70.50 ± 0.23 b | 16.75 ± 0.02 b | 82.48 ± 0.03 b,c | 0.47 ± 0.02 b |
| PAW-EYF 10% | 74.14 ± 0.49 c | 4.86 ± 0.11 c | 16.37 ± 0.24 c | 69.01 ± 0.32 c | 17.25 ± 0.07 a,b | 82.52 ± 0.32 b,c | 0.44 ± 0.04 b |
| PAW-EYF 15% | 72.20 ± 0.23 d | 4.25 ± 0.07 d | 15.86 ± 0.20 d | 67.71 ± 0.26 d | 17.53 ± 0.02 a | 82.27 ± 0.24 c | 0.38 ± 0.01 c |
| PAW-EYF 20% | 71.34 ± 0.22 e | 4.38 ± 0.14 d | 15.14 ± 0.23 e | 67.29 ± 0.24 d,e | 17.50 ± 0.45 a | 83.12 ± 0.91 b,c | 0.33 ± 0.01 d |
| PAW-EYF 25% | 70.50 ± 0.38 f | 3.64 ± 0.08 e | 14.22 ± 0.18 f | 67.04 ± 0.32 e | 16.93 ± 1.03 a,b | 83.69 ± 0.79 a,b | 0.24 ± 0.00 e |
| Samples | Moisture Content (%) | Optimal Steaming Time (min) | Ratio of Broken Bars (%) |
|---|---|---|---|
| PAW-EYF 0% | 25.59 ± 0.26 a | 2.99 ± 0.02 a | 0.00 ± 0.00 |
| PAW-EYF 5% | 24.69 ± 0.91 a,b | 2.73 ± 0.01 b | 0.00 ± 0.00 |
| PAW-EYF 10% | 24.71 ± 0.53 a,b | 2.49 ± 0.02 c | 0.00 ± 0.00 |
| PAW-EYF 15% | 25.50 ± 1.64 a | 2.27 ± 0.03 d | 0.00 ± 0.00 |
| PAW-EYF 20% | 24.03 ± 1.02 a,b | 2.16 ± 0.03 e | 0.00 ± 0.00 |
| PAW-EYF 25% | 23.21 ± 0.71 c | 2.11 ± 0.02 e | 0.00 ± 0.00 |
Disclaimer/Publisher’s Note: The statements, opinions and data contained in all publications are solely those of the individual author(s) and contributor(s) and not of MDPI and/or the editor(s). MDPI and/or the editor(s) disclaim responsibility for any injury to people or property resulting from any ideas, methods, instructions or products referred to in the content. |
© 2024 by the authors. Licensee MDPI, Basel, Switzerland. This article is an open access article distributed under the terms and conditions of the Creative Commons Attribution (CC BY) license (https://creativecommons.org/licenses/by/4.0/).
Share and Cite
Shi, M.; Chen, Y.; Zhu, X.; Ji, X.; Yan, Y. Effect of Yam Flour Modified with Plasma-Activated Water Combined with Extrusion Treatment on the Quality of Chinese Noodles. Foods 2025, 14, 77. https://doi.org/10.3390/foods14010077
Shi M, Chen Y, Zhu X, Ji X, Yan Y. Effect of Yam Flour Modified with Plasma-Activated Water Combined with Extrusion Treatment on the Quality of Chinese Noodles. Foods. 2025; 14(1):77. https://doi.org/10.3390/foods14010077
Chicago/Turabian StyleShi, Miaomiao, Yirui Chen, Xiaopei Zhu, Xiaolong Ji, and Yizhe Yan. 2025. "Effect of Yam Flour Modified with Plasma-Activated Water Combined with Extrusion Treatment on the Quality of Chinese Noodles" Foods 14, no. 1: 77. https://doi.org/10.3390/foods14010077
APA StyleShi, M., Chen, Y., Zhu, X., Ji, X., & Yan, Y. (2025). Effect of Yam Flour Modified with Plasma-Activated Water Combined with Extrusion Treatment on the Quality of Chinese Noodles. Foods, 14(1), 77. https://doi.org/10.3390/foods14010077

