Optimization of Extraction and Refining Parameters of Oil from Dotted Gizzard Shad (Konosirus punctatus)
Abstract
1. Introduction
2. Materials and Methods
2.1. Raw Materials and Chemicals
2.2. Analysis of Nutritional Components in Dotted Gizzard Shad
2.3. Fish Oil Extraction
2.4. Single-Factor and Response Surface Experimental Design
2.5. Fish Oil Refining
2.6. Physicochemical Properties Determination
2.7. Fatty Acids Determination
2.8. Volatile Components Determination
2.9. Key Volatile Components Identification Method
2.10. Statistical Analysis
3. Results and Discussion
3.1. Nutritional Components of Dotted Gizzard Shad
3.2. Optimization of Dotted Gizzard shad Oil Extraction Parameters
3.2.1. Protease Screening
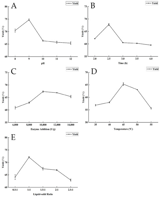
3.2.2. Single-Factor Experiments for Extracting Dotted Gizzard Shad Oil
3.2.3. Response Surface Optimization Experiment for Extracting Dotted Gizzard Shad Oil
3.3. Optimization of Refining Parameters for Dotted Gizzard Shad Oil
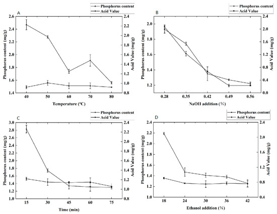
3.3.1. Single-Factor Experiments for One-Step Degumming and Deacidification
3.3.2. Orthogonal Experiment for One-Step Degumming and Deacidification
3.4. Physicochemical Properties of Dotted Gizzard Shad Oil
3.5. Fatty Acid Composition
3.6. Volatile Compounds
3.6.1. Volatile Components and Their Relative Contents
3.6.2. Analysis of Differences in Volatile Components
4. Conclusions
Supplementary Materials
Author Contributions
Funding
Institutional Review Board Statement
Informed Consent Statement
Data Availability Statement
Acknowledgments
Conflicts of Interest
References
- Anandganesh, E.; Nazar, A.R.; Marichamy, G.; Das, S.; Gowtham, K.; Shanker, S. Extraction and evaluation of fish body oil from three different low value fishes of parangipettal coast, tamil nadu. Int. J. Curr. Res. 2016, 8, 38517–38525. [Google Scholar] [CrossRef]
- Lv, M. Study on the Diet Composition of Juvenile of Liza haematocheila and Konosirus punctatus and Its Relationship with Ambient Phytoplankton. Master’s Thesis, Shanghai Ocean University, Shanghai, China, 2016. [Google Scholar]
- Xiao, Y.; Li, R.; Zheng, L.; Jaia, L. Studies on Controlled Enzymolysis of Clupanodom Punchtatus Protein and Antioxidant Activity of Its Hydrolysates. J. Chin. Inst. Food Sci. Technol. 2010, 10, 91–97. [Google Scholar] [CrossRef]
- Rodrigues, M.; Rosa, A.; Almeida, A.; Martins, R.; Ribeiro, T.â.; Pintado, M.; Gonçalves, R.F.S.; Pinheiro, A.C.; Fonseca, A.J.M.; Maia, M.R.G.; et al. Omega-3 fatty acids from fish by-products: Innovative extraction and application in food and feed. Food Bioprod. Process. 2024, 145, 32–41. [Google Scholar] [CrossRef]
- Šimat, V.; Vlahović, J.; Soldo, B.; Skroza, D.; Ljubenkov, I.; Generalić Mekinić, I. Production and Refinement of Omega-3 Rich Oils from Processing By-Products of Farmed Fish Species. Foods 2019, 8, 125. [Google Scholar] [CrossRef] [PubMed]
- Hao, S.; Wei, Y.; Li, L.; Yang, X.; Cen, J.; Huang, H.; Lin, W.; Yuan, X. The effects of different extraction methods on composition and storage stability of sturgeon oil. Food Chem. 2015, 173, 274–282. [Google Scholar] [CrossRef] [PubMed]
- Aitta, E.; Damerau, A.; Marsol-Vall, A.; Fabritius, M.; Pajunen, L.; Kortesniemi, M.; Yang, B. Enzyme-assisted aqueous extraction of fish oil from Baltic herring (Clupea harengus membras) with special reference to emulsion-formation, extraction efficiency, and composition of crude oil. Food Chem. 2023, 424, 136381. [Google Scholar] [CrossRef] [PubMed]
- Silvia, F.G.; Nicola, C.; Francesca, D.; Francesco, S.; Giuseppe, M.; Debora, F.; Tonia, T. From tuna viscera to added-value products: A circular approach for fish-waste recovery by green enzymatic hydrolysis. Food Bioprod. Process. 2023, 137, 155–167. [Google Scholar] [CrossRef]
- Aitta, E.; Marsol-Vall, A.; Damerau, A.; Yang, B. Enzyme-Assisted Extraction of Fish Oil from Whole Fish and by-Products of Baltic Herring (Clupea harengus membras). Foods 2021, 10, 1811. [Google Scholar] [CrossRef] [PubMed]
- Zhou, D.; Zhu, B.; Tong, L.; Wu, H.; Qin, L.; Tan, H.; Chi, Y.; Qu, J.; Murata, Y. Original article: Extraction of lipid from scallop (Patinopecten yessoensis) viscera by enzyme-assisted solvent and supercritical carbon dioxide methods. Int. J. Food Sci. Technol. 2010, 45, 1787–1793. [Google Scholar] [CrossRef]
- Chen, Y.; Tang, J.; Gong, X.; Huang, K.; Shan, Q.; Bao, J. Research progress on extraction of fish oil, enrichment of polyunsaturated fatty acids and application progress of EPA and DHA. Food Mach. 2021, 37, 205–210+220. [Google Scholar] [CrossRef]
- Dandjouma, A.K.A.; Tchiégang, C.; Kapseu, C.; Linder, M.; Parmentier, M. Enzyme-assisted hexane extraction of Ricinodendron heudelotii (Bail.) Pierre ex Pax seeds oil. Int. J. Food Sci. Technol. 2008, 43, 1169–1175. [Google Scholar] [CrossRef]
- Xu, Q.; Zhou, Y.; Wu, Y.; Jia, Q.; Gao, G.; Nie, F. Enzyme-assisted solvent extraction for extraction of blueberry anthocyanins and separation using resin adsorption combined with extraction technologies. Int. J. Food Sci. Technol. 2016, 51, 2567–2573. [Google Scholar] [CrossRef]
- Menegazzo, M.L.; Petenuci, M.E.; Fonseca, G.G. Production and characterization of crude and refined oils obtained from the co-products of Nile tilapia and hybrid sorubim processing. Food Chem. 2014, 157, 100–104. [Google Scholar] [CrossRef] [PubMed]
- Doshi, K.; Trivedi, Y.; Ray, P.; Singh, P.S. Degumming of crude vegetable oil by membrane separation: Probing structure-performance and stability of PVDF membranes. Sep. Sci. Technol. 2019, 54, 360–369. [Google Scholar] [CrossRef]
- Wang, B.; Sun, S.; Yao, N.; Chu, C. A novel method for simultaneous degumming and deacidification of corn oil by miscella refining in one step. LWT 2021, 137, 110480. [Google Scholar] [CrossRef]
- Zhang, X.; Lin, L.; Chen, Z.; Zhang, J.; Wang, X.; Tao, N. Characterization of refined fish oil from small fish in Mauritania. Aquac. Fish. 2022, 7, 639–646. [Google Scholar] [CrossRef]
- GB5009.5—2016; National Standard for Food Safety Determination of Protein in Food. Standards Press of China: Beijing, China, 2016.
- GB/T 5009.3-2016; National Standard for Food Safety Determination of Moisture in Food. Standards Press of China: Beijing, China, 2016.
- GB5009.6—2016; National Standard for Food Safety Determination of Crude Fat in Food. Standards Press of China: Beijing, China, 2016.
- GB5009.4—2016; National Standard for Food Safety Determination of Ash in Food. Standards Press of China: Beijing, China, 2016.
- Bai, D. Study on Extraction, Purification and Antioxidant Activity of Deep-Sea Skipjack Tuna (Katsuwonus pelamis) Oil. Master’s Thesis, Zhejiang Ocean University, Zhoushan, China, 2018. [Google Scholar]
- Crexi, V.T.; Monte, M.L.; Soares, L.A.d.S.; Pinto, L.A.A. Production and refinement of oil from carp (Cyprinus carpio) viscera. Food Chem. 2010, 119, 945–950. [Google Scholar] [CrossRef]
- Yang, M.; Wang, Y.; Zhang, J. Study on optimization of decolorization process of rosemary fat-soluble antioxidant by response surface methodolog. China Oils Fats 2023, 49, 1–9. [Google Scholar] [CrossRef]
- GB 5009.227-2016; Inspection of Grain and Oils-Determination of Phosphatide Content. Standards Press of China: Beijing, China, 2016.
- GB5009.229—2016; National Standards for Food Safety Determination of Acid Value in Food. Standards Press of China: Beijing, China, 2016.
- GB/T 5532-2022; Animal and Vegetable Fats and Oils—Determination of Iodine Value. Standards Press of China: Beijing, China, 2022.
- GB5009.227—2016; National Standards for Food Safety Determination of Peroxide Value in Food. Standards Press of China: Beijing, China, 2016.
- Pei, H.; He, S.; Liu, S.; Chen, H.; Song, J.; Liu, Q.; Wang, L.; Sun, H. Aroma characteristics and odor source analysis of roasted Xinjiang thin-shell walnuts (Juglans regia L.) by using multivariate statistical analysis. Food Biosci. 2023, 56, 103312. [Google Scholar] [CrossRef]
- Zhao, Y.; Han, L.; Ge, S.; Sun, S.; Gui, L.; Hou, S.; Wang, Z.; Yang, B. Analysis of the Influence of Different Extraction Methods on the Volatile Flavor of Tibetan Sheep Oil Based on GC-IMS. China Oils Fats 2024, 1–15. [Google Scholar] [CrossRef]
- Liu, D.; Zhou, G.; Xu, X. “ROAV”Method: A New Method for Determining Key Odor Compounds of Rugao Ham. Food Sci. 2008, 29, 370–374. [Google Scholar]
- Xiao, Y.; Li, R.; Zheng, L. Analysis and Evaluation of Protein and Amino Acids Composition of Fish Meat for Clupanodom punchtatus. Acta Nutr. Sin. 2011, 33, 413–415. [Google Scholar] [CrossRef]
- Jiang, X.; Li, X.; Chen, H.; Guo, J.; Lin, Y.; Guo, F.; Zheng, Z. Optimization of enzymatic extraction of fish oil from sardine viscera and its quality analysis. China Oils Fats 2023, 48, 14–19. [Google Scholar] [CrossRef]
- Gao, X. Investigation on Emulsification Mechanism in Aqueous Enzymatic Extraction of Edible Oil from Schizochytrium sp. Master’s Thesis, Tianjin University, Tianjin, China, 2021. [Google Scholar]
- Afolabi, H.K.; Mudalip, S.K.A.; Alara, O.R. Microwave-assisted extraction and characterization of fatty acid from eel fish (Monopterus albus). Beni-Suef Univ. J. Basic Appl. Sci. 2018, 7, 465–470. [Google Scholar] [CrossRef]
- Firatligil-Durmus, E.; Evranuz, O. Response surface methodology for protein extraction optimization of red pepper seed (Capsicum frutescens). LWT-Food Sci. Technol. 2010, 43, 226–231. [Google Scholar] [CrossRef]
- Rahman, N.; Hashem, S.; Akther, S.; Jothi, J.S. Impact of various extraction methods on fatty acid profile, physicochemical properties, and nutritional quality index of Pangus fish oil. Food Sci. Nutr. 2023, 11, 4688–4699. [Google Scholar] [CrossRef]
- Wang, Y.; Kuo, C.; Lee, C.; Kuo, W.; Tsai, M.; Sun, P. Enzyme-Assisted Aqueous Extraction of Cobia Liver Oil and Protein Hydrolysates with Antioxidant Activity. Catalysts 2020, 10, 1323. [Google Scholar] [CrossRef]
- Li, X.; Dong, H. Processing of Cereals and Oils, 4th ed.; China Agricultural University Press: Beijing, China, 2021; pp. 214–217. [Google Scholar]
- Xu, Y.; Liang, P.; Chen, L.; Cheng, W.; Cheng, X.; Zhang, H. Extraction Process of Phospholipids from Eggs of Large Yellow Croaker and Analysis of Fatty Acids Composition. J. Chin. Inst. Food Sci. Technol. 2017, 17, 74–81. [Google Scholar] [CrossRef]
- Zhao, Q.; Li, P.; Wang, M.; Zhang, W.; Zhao, W.; Yang, R. Fate of phospholipids during aqueous extraction processing of peanut and effect of demulsification treatments on oil-phosphorus-content. Food Chem. 2020, 331, 127367. [Google Scholar] [CrossRef] [PubMed]
- Lamas, D.L. Effect of enzymatic degumming process on the physicochemical and nutritional properties of fish byproducts oil. Appl. Food Res. 2022, 2, 100170. [Google Scholar] [CrossRef]
- Cui, Y.; Yu, X.; Li, S.; Wang, Y.; Dai, Z.; Zhang, Y.; Chen, K.; Shen, Q. Extraction and Lipidomic Profiling of Phospholipids from Shrimp Heads. Food Sci. 2018, 39, 218–225. [Google Scholar] [CrossRef]
- Sorita, G.D.; Favaro, S.P.; Ambrosi, A.; Di Luccio, M. Aqueous extraction processing: An innovative and sustainable approach for recovery of unconventional oils. Trends Food Sci. Technol. 2023, 133, 99–113. [Google Scholar] [CrossRef]
- SC/T3502-2016; The standards of the aquatic industry of the People’s Republic of China. Standards Press of China: Beijing, China, 2016.
- Bhosle, B.M.; Subramanian, R. New approaches in deacidification of edible oils––A review. J. Food Eng. 2005, 69, 481–494. [Google Scholar] [CrossRef]
- Chakraborty, K.; Joseph, D. Production and characterization of refined oils obtained from Indian oil sardine (Sardinella longiceps). J. Agric. Food Chem. 2015, 63, 998–1009. [Google Scholar] [CrossRef] [PubMed]
- Šimat, V.; Vlahović, J.; Soldo, B.; Generalić Mekinić, I.; Čagalj, M.; Hamed, I.; Skroza, D. Production and characterization of crude oils from seafood processing by-products. Food Biosci. 2020, 33, 100484. [Google Scholar] [CrossRef]
- Zhang, L.; Wei, W.; Huang, L.; Zheng, T.; Zhong, R.; Pang, J.; Chen, L.; Cheng, W.; Liang, P. Quality assessment of large yellow croaker (Larimichthys crocea) roe oil before and after refining. RSC Adv. 2021, 11, 14103–14112. [Google Scholar] [CrossRef] [PubMed]
- Zhang, Q.; Wang, W.; Wu, S.; Zhong, B.; Peng, B.; Li, J.; Hu, M.; Tu, Z. Changes in the Quality and Flavor Components of Snakehead Fish Oil during Refining. Food Sci. 2023, 44, 208–216. [Google Scholar] [CrossRef]
- Aidos, I.; Schelvis-Smit, R.; Veldman, M.; Luten, J.B.; van der Padt, A.; Boom, R.M. Chemical and sensory evaluation of crude oil extracted from herring byproducts from different processing operations. J. Agric. Food Chem. 2003, 51, 1897–1903. [Google Scholar] [CrossRef] [PubMed]
- Song, G.; Zhang, M.; Peng, X.; Yu, X.; Dai, Z.; Shen, Q. Effect of deodorization method on the chemical and nutritional properties of fish oil during refining. LWT 2018, 96, 560–567. [Google Scholar] [CrossRef]
- Chakraborty, K.; Joseph, D. Cooking and pressing is an effective and eco-friendly technique for obtaining high quality oil from Sardinella longiceps. Eur. J. Lipid Sci. Technol. 2015, 117, 837–850. [Google Scholar] [CrossRef]
- de Oliveira, D.A.S.B.; Minozzo, M.G.; Licodiedoff, S.; Waszczynskyj, N. Physicochemical and sensory characterization of refined and deodorized tuna (Thunnus albacares) by-product oil obtained by enzymatic hydrolysis. Food Chem. 2016, 207, 187–194. [Google Scholar] [CrossRef] [PubMed]
- Kien, C.L.; Bunn, J.Y.; Poynter, M.E.; Stevens, R.; Bain, J.; Ikayeva, O.; Fukagawa, N.K.; Champagne, C.M.; Crain, K.I.; Koves, T.R.; et al. A Lipidomics Analysis of the Relationship Between Dietary Fatty Acid Composition and Insulin Sensitivity in Young Adults. Diabetes 2013, 62, 1054–1063. [Google Scholar] [CrossRef] [PubMed]
- Ge, L.; Yang, H.; Lu, W.; Cui, Y.; Jian, S.; Song, G.; Xue, J.; He, X.; Wang, Q.; Shen, Q. Identification and comparison of palmitoleic acid (C16:1 n-7)-derived lipids in marine fish by-products by UHPLC-Q-exactive orbitrap mass spectrometry. J. Food Compos. Anal. 2023, 115, 104925. [Google Scholar] [CrossRef]
- Swanson, D.; Block, R.; Mousa, S.A. Omega-3 Fatty Acids EPA and DHA: Health Benefits Throughout Life. Adv. Nutr. 2012, 3, 1–7. [Google Scholar] [CrossRef] [PubMed]
- Vaisali, C.; Charanyaa, S.; Belur, P.D.; Regupathi, I. Refining of edible oils: A critical appraisal of current and potential technologies. Int. J. Food Sci. Technol. 2015, 50, 13–23. [Google Scholar] [CrossRef]
- Putri, A.R.; Aliaño-González, M.J.; Ferreiro, M.; Setyaningsih, W.; Rohman, A.; Riyanto, S.; Palma, M. Development of a methodology based on headspace-gas chromatography-ion mobility spectrometry for the rapid detection and determination of patin fish oil adulterated with palm oil. Arab. J. Chem. 2020, 13, 7524–7532. [Google Scholar] [CrossRef]
- Liu, D.; Bai, L.; Feng, X.; Chen, Y.P.; Zhang, D.; Yao, W.; Zhang, H.; Chen, G.; Liu, Y. Characterization of Jinhua ham aroma profiles in specific to aging time by gas chromatography-ion mobility spectrometry (GC-IMS). Meat Sci. 2020, 168, 108178. [Google Scholar] [CrossRef]
- Serfert, Y.; Drusch, S.; Schwarz, K. Chemical stabilisation of oils rich in long-chain polyunsaturated fatty acids during homogenisation, microencapsulation and storage. Food Chem. 2009, 113, 1106–1112. [Google Scholar] [CrossRef]
- Genovese, A.; Caporaso, N.; Sacchi, R. Flavor Chemistry of Virgin Olive Oil: An Overview. Appl. Sci. 2021, 11, 1639. [Google Scholar] [CrossRef]
- Xu, L.; Yu, X.; Li, M.; Chen, J.; Wang, X. Monitoring oxidative stability and changes in key volatile compounds in edible oils during ambient storage through HS-SPME/GC–MS. Int. J. Food Prop. 2017, 20, S2926–S2938. [Google Scholar] [CrossRef]
- Song, G.; Dai, Z.; Shen, Q.; Peng, X.; Zhang, M. Analysis of the Changes in Volatile Compound and Fatty Acid Profiles of Fish Oil in Chemical Refining Process. Eur. J. Lipid Sci. Technol. 2018, 120, 1700219. [Google Scholar] [CrossRef]
- Carrapiso, A.I.; Noseda, B.; García, C.; Reina, R.; Sánchez del Pulgar, J.; Devlieghere, F. SIFT-MS analysis of Iberian hams from pigs reared under different conditions. Meat Sci. 2015, 104, 8–13. [Google Scholar] [CrossRef] [PubMed]
- Yang, Y.; Meng, X.; Xu, M.; Lian, Y.; Yang, H.; Ma, Y. Effects of Different Extraction Methods on the Volatile Components of Pepper Seed Oil by GC-IMS. Food Res. Dev. 2023, 44, 184–192. [Google Scholar] [CrossRef]
- Varlet, V.; Knockaert, C.; Prost, C.; Sérot, T. Comparison of odor-active volatile compounds of fresh and smoked salmon. J. Agric. Food Chem. 2006, 54, 3391–3401. [Google Scholar] [CrossRef] [PubMed]
- Lu, P.; Li, D.F.; Yin, J.D.; Zhang, L.Y.; Wang, Z.Y. Flavour differences of cooked longissimus muscle from Chinese indigenous pig breeds and hybrid pig breed (Duroc x Landrace x Large White). Food Chem. 2008, 107, 1529–1537. [Google Scholar] [CrossRef]
- Wang, Y.; Wang, X.; Huang, Y.; Liu, C.; Yue, T.; Cao, W. Identification and biotransformation analysis of volatile markers during the early stage of Salmonella contamination in chicken. Food Chem. 2024, 431, 137130. [Google Scholar] [CrossRef] [PubMed]
- Wu, S.; Yang, J.; Dong, H.; Liu, Q.; Li, X.; Zeng, X.; Bai, W. Key aroma compounds of Chinese dry-cured Spanish mackerel (Scomberomorus niphonius) and their potential metabolic mechanisms. Food Chem. 2021, 342, 128381. [Google Scholar] [CrossRef] [PubMed]
- Li, C.; Wu, J.; Li, Y.; Dai, Z. Identification of the aroma compounds in stinky mandarin fish (Siniperca chuatsi) and comparison of volatiles during fermentation and storage. Int. J. Food Sci. Technol. 2013, 48, 2429–2437. [Google Scholar] [CrossRef]
- Liu, P.; Wang, X.; Xiang, Q.; Sun, W.; Li, Y.; Li, J.; Chen, Z.; Che, Z. Optimization of Intelligent Post-fermentation and Quality Analysis of Pixian Broad-bean Paste. Food Sci. 2020, 41, 166–176. [Google Scholar] [CrossRef]
- Qiu, Z.; Zhang, M.; Li, L.; Zhang, B.; Qiao, Y.; Zheng, Z. Effect of blend oil on the volatile aroma profile and storage quality of garlic paste. Food Chem. 2022, 371, 131160. [Google Scholar] [CrossRef]
- Sérot, T.; Regost, C.; Arzel, J. Identification of odour-active compounds in muscle of brown trout (Salmo trutta) as affected by dietary lipid sources. J. Sci. Food Agric. 2002, 82, 636–643. [Google Scholar] [CrossRef]
- Hu, X.-f.; Li, J.-l.; Zhang, L.; Wang, H.; Peng, B.; Hu, Y.-m.; Liang, Q.-x.; Tu, Z.-c. Effect of frying on the lipid oxidation and volatile substances in grass carp (Ctenopharyngodon idellus) fillet. J. Food Process. Preserv. 2022, 46, e16342. [Google Scholar] [CrossRef]
- Yun, J.; Cui, C.; Zhang, S.; Zhu, J.; Peng, C.; Cai, H.; Yang, X.; Hou, R. Use of headspace GC/MS combined with chemometric analysis to identify the geographic origins of black tea. Food Chem. 2021, 360, 130033. [Google Scholar] [CrossRef]
- Shao, S.; Xu, M.; Lin, Y.; Chen, X.; Fang, D.; Cai, J.; Wang, J.; Jin, S.; Ye, N. Differential Analysis of Aroma Components of Huangguanyin Oolong Tea from Different Geographical Origins Using Electronic Nose and Headspace Solid-Phase Microextraction-Gas Chromatography-Mass Spectrometry. Food Sci. 2023, 44, 232–239. [Google Scholar] [CrossRef]
- Brito, I.L.; de Souza, E.L.; Felex, S.S.; Madruga, M.S.; Yamashita, F.; Magnani, M. Nutritional and sensory characteristics of gluten-free quinoa (Chenopodium quinoa Willd)-based cookies development using an experimental mixture design. J. Food Sci. Technol. 2015, 52, 5866–5873. [Google Scholar] [CrossRef]
- Xu, J.; Zhang, Y.; Hu, C.; Yu, B.; Wan, C.; Chen, B.; Lu, L.; Yuan, L.; Wu, Z.; Chen, H. The flavor substances changes in Fuliang green tea during storage monitoring by GC–MS and GC-IMS. Food Chem. X 2024, 21, 101047. [Google Scholar] [CrossRef] [PubMed]
- Xie, W.; Lu, K.; Yu, J. Research progress on aroma of aquatic products. J. Food Sci. Technol. 2022, 40, 11–21. [Google Scholar] [CrossRef]





| Source | Sum of Squares | df | Mean Square | F Value | p-Value |
|---|---|---|---|---|---|
| Model | 311.77 | 14 | 22.27 | 119.98 | <0.0001 |
| A | 3.40 | 1 | 3.40 | 18.33 | 0.0008 |
| B | 1.83 | 1 | 1.83 | 9.83 | 0.0073 |
| C | 20.57 | 1 | 20.57 | 110.81 | <0.0001 |
| D | 25.46 | 1 | 25.46 | 137.18 | <0.0001 |
| AB | 5.78 | 1 | 5.78 | 31.16 | <0.0001 |
| AC | 3.84 | 1 | 3.84 | 20.70 | 0.0005 |
| AD | 5.11 | 1 | 5.11 | 27.52 | 0.0001 |
| BC | 3.63 | 1 | 3.63 | 19.55 | 0.0006 |
| BD | 4.28 | 1 | 4.28 | 23.09 | 0.0003 |
| CD | 12.32 | 1 | 12.32 | 66.38 | <0.0001 |
| A2 | 41.40 | 1 | 41.40 | 223.03 | <0.0001 |
| B2 | 29.36 | 1 | 29.36 | 158.18 | <0.0001 |
| C2 | 9.32 | 1 | 9.32 | 50.22 | <0.0001 |
| D2 | 206.15 | 1 | 206.15 | 1110.67 | <0.0001 |
| Residual | 2.60 | 14 | 0.19 | ||
| Lack of fit | 2.42 | 10 | 0.24 | 5.31 | 0.0609 |
| Pure error | 0.18 | 4 | 0.046 | ||
| Cor total | 314.37 | 28 | |||
| R2 | 0.9917 | ||||
| Adj R2 | 0.9835 | ||||
| CV% | 0.61 |
| NO. | A-NaOH Addition | B-Ethanol Addition | C-Temperature | D-Time | Phosphorus Content |
|---|---|---|---|---|---|
| 1 | 0.56 | 24 | 70 | 30 | 2.32 |
| 2 | 0.56 | 30 | 50 | 45 | 1.93 |
| 3 | 0.49 | 18 | 70 | 45 | 3.08 |
| 4 | 0.49 | 30 | 60 | 30 | 1.47 |
| 5 | 0.49 | 24 | 50 | 60 | 1.85 |
| 6 | 0.42 | 30 | 70 | 60 | 2.06 |
| 7 | 0.42 | 18 | 50 | 30 | 3.51 |
| 8 | 0.56 | 18 | 60 | 60 | 1.86 |
| 9 | 0.42 | 24 | 60 | 45 | 1.92 |
| k1 | 2.497 | 2.796 | 2.409 | 2.412 | |
| k2 | 2.134 | 2.031 | 1.753 | 2.312 | |
| k3 | 2.039 | 1.843 | 2.486 | 1.946 | |
| R | 0.458 | 0.952 | 0.754 | 0.467 |
| Process Stage | Acid Value (mg/g) | Iodine Value (mg/g) | Peroxide Value (meq/kg) | Anisidine Value | Extraction Rate (%) | Bleaching Rate (%) | Phospholipid Content (mg/g) | |
|---|---|---|---|---|---|---|---|---|
| Crude fish oil (CO1) | 3.20 ± 0.09 b | 127.96 ± 1.13 b | 2.99 ± 0.02 b | - | 74.94 ± 0.45% a | - | - | |
| Crude fish oil (CO2) | 3.31 ± 0.01 b | - | 3.54 ± 0.06 a | - | 58.93 ± 0.50% b | - | 6.80 ± 0.01 | |
| Degummed with phosphoric acid | 4.93 ± 0.5 a | - | 2.42 ± 0.1 c | - | - | - | - | |
| Deacidified with NaOH | 0.99 ± 0.07 c | - | 1.11 ± 0.03 d | - | - | - | - | |
| One-step degumming and deacidification | 0.31 ± 0.01 b | 142.92 ± 1.15 a | 2.89 ± 0.10 b | 14.45 ± 0.69 a | - | - | 1.18 ± 0.01 | |
| Deodorized | 0.23 ± 0.02 c | 145.78 ± 0.13 a | 0.42 ± 0.09 e | 6.25 ± 0.24 b | - | 88.04 ± 0.02% | - | |
| SC/T3502-2016 1 | Crude oil | ≤8.0 | ≥120 | ≤12 | - | - | - | - |
| Refined oil | ≤1.0 | ≥140 | ≤5.0 | ≤20.0 | - | - | - | |
| Fatty Acid Composition | Crude Oil | Refined Oil |
|---|---|---|
| C12:0 | 0.1 ± 0.00 | 0.09 ± 0.00 |
| C14:0 | 8.32 ± 0.01 | 8.19 ± 0.01 |
| C15:0 | 0.56 ± 0.00 | 0.56 ± 0.00 |
| C16:0 | 25.36 ± 0.01 | 25.10 ± 0.02 |
| C17:0 | 0.29 ± 0.00 | 0.30 ± 0.00 |
| C18:0 | 3.33 ± 0.00 | 3.40 ± 0.00 |
| C20:0 | 0.43 ± 0.01 | 0.47 ± 0.00 |
| C24:0 | 0.10 ± 0.01 | 0.11 ± 0.00 |
| ∑SFA | 38.51 ± 0.02 | 38.23 ± 0.04 |
| C14:1 | 0.11 ± 0.00 | 0.11 ± 0.00 |
| C16:1 | 10.82 ± 0.00 | 10.74 ± 0.00 |
| C17:1 | 1.58 ± 0.05 | 1.59 ± 0.00 |
| C18:1 | 23.37 ± 0.04 | 24.04 ± 0.06 |
| C20:1 | 1.20 ± 0.00 | 1.24 ± 0.01 |
| C24:1 | 0.12 ± 0.00 | 0.14 ± 0.00 |
| ∑MUFA | 37.21 ± 0.02 | 37.86 ± 0.07 |
| C18:2 | 1.12 ± 0.01 | 1.13 ± 0.00 |
| C18:3 n-3 | 0.28 ± 0.00 | 0.28 ± 0.00 |
| C18:3 n-6 | 1.41 ± 0.01 | 1.47 ± 0.01 |
| C20:2 | 0.24 ± 0.00 | 0.26 ± 0.00 |
| C20:3 | 0.16 ± 0.00 | 0.16 ± 0.00 |
| C20:4 | 1.04 ± 0.00 | 0.99 ± 0.00 |
| EPA | 10.92 ± 0.01 | 10.83 ± 0.01 |
| DHA | 9.10 ± 0.01 | 8.80 ± 0.02 |
| ∑EPA + DHA | 20.02 ± 0.00 | 19.63 ± 0.00 |
| ∑PUFA | 24.28 ± 0.02 | 23.92 ± 0.04 |
| ∑UFA | 61.49 ± 0.02 | 61.78 ± 0.04 |
| Aldehydes | CAS | RI | RT | DT | Crude Oil | Refined Oil | |
|---|---|---|---|---|---|---|---|
| 1 | E-2-Heptenal | C18829555 | 960.7 | 506.767 | 1.25659 | 0.20 ± 0.02% | 0.10 ± 0.00% |
| 2 | D-Heptanal | C111717 | 898.9 | 403.928 | 1.69466 | 0.86 ± 0.02% | 1.12 ± 0.03% |
| 3 | M-Heptanal | C111717 | 899.2 | 404.32 | 1.32824 | 2.28 ± 0.04% | 1.97 ± 0.07% |
| 4 | Benzaldehyde | C100527 | 960 | 505.461 | 1.15374 | 0.18 ± 0.03% | 0.18 ± 0.03% |
| 5 | E-2-Hexenal | C6728263 | 799.7 | 288.287 | 1.18608 | 0.98 ± 0.02% | 0.34 ± 0.01% |
| 6 | D-Hexanal | C66251 | 788.1 | 277.246 | 1.56101 | 6.42 ± 0.13% | 4.14 ± 0.09% |
| 7 | M-Hexanal | C66251 | 791 | 279.909 | 1.2547 | 2.39 ± 0.04% | 1.64 ± 0.07% |
| 8 | D-E-2-Pentenal | C1576870 | 746.9 | 238.597 | 1.35999 | 4.17 ± 0.06% | 4.04 ± 0.08% |
| 9 | M-E-2-Pentenal | C1576870 | 751 | 242.189 | 1.10872 | 3.79 ± 0.05% | 0.75 ± 0.01% |
| 10 | Propanal | C123386 | 812.9 | 301.49 | 1.05233 | 7.90 ± 0.3% | 20.62 ± 0.18% |
| 11 | Isobutanal | C78842 | 517 | 129.568 | 1.27545 | 2.15 ± 0.04% | 0.36 ± 0.01% |
| 12 | Benzeneacetaldehyde | C122781 | 993.4 | 571.56 | 1.25387 | 0.07 ± 0.01% | 0.12 ± 0.01% |
| 13 | Furfural | C98011 | 807 | 295.499 | 1.32662 | 0.03 ± 0.00% | 0.09 ± 0.00% |
| 14 | D-Pentanal | C110623 | 693.6 | 196.123 | 1.42641 | 0.98 ± 0.02% | 0.63 ± 0.02% |
| 15 | M-Pentanal | C110623 | 689.2 | 193.011 | 1.18405 | 3.02 ± 0.03% | 1.37 ± 0.01% |
| 16 | D-3-Methylbutanal | C590863 | 653.2 | 177.466 | 1.40501 | 7.93 ± 0.30% | 0.28 ± 0.02% |
| 17 | M-3-Methylbutanal | C590863 | 602 | 157.669 | 1.39959 | 1.25 ± 0.02% | 0.39 ± 0.00% |
| 18 | E-2-Octenal | C2548870 | 1065.8 | 696.914 | 1.33599 | 0.08 ± 0.00% | 0.04 ± 0.01% |
| 19 | D-Butanal | C123728 | 579.6 | 149.732 | 1.28537 | 2.20 ± 0.03% | 3.03 ± 0.01% |
| 20 | M-Butanal | C123728 | 565.4 | 144.899 | 1.11597 | 0.85 ± 0.01% | 0.10 ± 0.01% |
| Alcohols | |||||||
| 21 | D-2-Propanol | C67630 | 511.3 | 127.881 | 1.23074 | 2.12 ± 0.03% | 0.41 ± 0.01% |
| 22 | M-2-Propanol | C67630 | 504.8 | 125.98 | 1.17873 | 6.96 ± 0.13% | 8.89 ± 0.17% |
| 23 | 3-Octanol | C589980 | 1012.5 | 603.52 | 1.40111 | 1.16 ± 0.03% | 1.41 ± 0.08% |
| 24 | 1-Octen-3-ol | C3391864 | 980.5 | 545.027 | 1.15571 | 0.78 ± 0.11% | 0.44 ± 0.01% |
| 25 | 5-Methyl-2-furanmethanol | C3857258 | 947.8 | 483.267 | 1.26573 | 0.29 ± 0.02% | 0.14 ± 0.01% |
| 26 | 2-Hexen-1-ol | C2305217 | 847.9 | 339.337 | 1.18191 | 1.37 ± 0.03% | 0.50 ± 0.03% |
| 27 | E-2-Hexen-1-ol | C928950 | 847 | 338.223 | 1.51255 | 0.11 ± 0.00% | 0.08 ± 0.01% |
| 28 | 2-Methylbutanol | C137326 | 786.9 | 276.149 | 1.47139 | 1.40 ± 0.09% | 0.67 ± 0.02% |
| 29 | 2,3-Butanediol | C513859 | 793.4 | 282.217 | 1.35508 | 0.91 ± 0.05% | 2.25 ± 0.13% |
| 30 | 4-Methyl-2-pentanol | C108112 | 773.4 | 262.954 | 1.27752 | 0.39 ± 0.00% | 0.08 ± 0.01% |
| 31 | 3-Methyl-3-buten-1-ol | C763326 | 738.4 | 231.198 | 1.29392 | 0.19 ± 0.01% | 0.04 ± 0.00% |
| 32 | 2-Methyl-1-propanol | C78831 | 637.3 | 171.081 | 1.17234 | 2.55 ± 0.02% | 0.75 ± 0.03% |
| 33 | 1-Propanol | C71238 | 571.6 | 146.985 | 1.21978 | 0.97 ± 0.04% | 1.02 ± 0.03% |
| 34 | Pentan-1-ol | C71410 | 764.3 | 254.299 | 1.24834 | 0.51 ± 0.02% | 0.24 ± 0.02% |
| 35 | D-Ethanol | C64175 | 447.6 | 110.388 | 1.1307 | 0.21 ± 0.01% | 1.72 ± 0.03% |
| 36 | M-Ethanol | C64175 | 466.7 | 115.384 | 1.12427 | 0.24 ± 0.03% | 0.96 ± 0.02% |
| 37 | 3-Furanmethanol | C4412913 | 975.1 | 534.352 | 1.10663 | 0.33 ± 0.17% | 0.21 ± 0.05% |
| 38 | n-Butanol | C71363 | 694.4 | 196.702 | 1.38834 | 1.98 ± 0.07% | 0.71 ± 0.01% |
| 39 | 2-Methyl-1-pentanol | C105306 | 847.1 | 338.421 | 1.29448 | 0.08 ± 0.00% | 0.24 ± 0.02% |
| 40 | 2-Furanmethanol | C98000 | 817 | 305.649 | 1.12721 | 0.45 ± 0.01% | 1.61 ± 0.04% |
| Ethers | |||||||
| 41 | Dipropyldisulfide | C629196 | 1107.8 | 780.639 | 1.47993 | 0.57 ± 0.04% | 0.53 ± 0.02% |
| 42 | 2-Butoxyethanol | C111762 | 903.3 | 410.397 | 1.19809 | 0.40 ± 0.00% | 0.21 ± 0.01% |
| 43 | 1,2-Dimethoxyethane | C110714 | 645.2 | 174.204 | 1.31184 | 2.66 ± 0.07% | 0.29 ± 0.01% |
| 44 | 1-Propene-3-methylthio | C10152768 | 700.5 | 201.214 | 1.04482 | 0.22 ± 0.01% | 1.50 ± 0.02% |
| Esters | |||||||
| 45 | Methyl 2-methylbutanoate | C868575 | 774.7 | 264.229 | 1.1792 | 1.69 ± 0.01% | 0.68 ± 0.01% |
| 46 | Aceticacidethylester | C141786 | 604.7 | 158.661 | 1.10089 | 0.54 ± 0.01% | 0.28 ± 0.01% |
| 47 | Z-3-Hexenylacetate | C3681718 | 1012.7 | 603.827 | 1.82125 | 0.07 ± 0.01% | 0.12 ± 0.01% |
| Ketones | |||||||
| 48 | 2-Heptanone | C110430 | 891.1 | 392.535 | 1.2576 | 0.55 ± 0.07% | 0.32 ± 0.00% |
| 49 | 2,3-Pentanedione | C600146 | 698.5 | 199.71 | 1.22401 | 1.29 ± 0.03% | 0.29 ± 0.03% |
| 50 | 2,3-Butanedione | C431038 | 568 | 145.764 | 1.17656 | 0.23 ± 0.02% | 0.23 ± 0.01% |
| 51 | Acetoin | C513860 | 750.7 | 241.962 | 1.32257 | 0.34 ± 0.01% | 0.10 ± 0.01% |
| 52 | Pentan-2-one | C107879 | 677.6 | 187.761 | 1.12236 | 0.09 ± 0.01% | 1.05 ± 0.04% |
| 53 | 3-Pentanone | C96220 | 647.6 | 175.171 | 1.34788 | 0.18 ± 0.01% | 0.05 ± 0.00% |
| 54 | 2-Butanone | C78933 | 573 | 147.466 | 1.0589 | 0.12 ± 0.01% | 0.10 ± 0.00% |
| 55 | 1-Hydroxy-2-propanone | C116096 | 668.6 | 183.888 | 1.03674 | 0.37 ± 0.01% | 2.52 ± 0.04% |
| Hydrocarbons | |||||||
| 56 | Decamethylcyclopentasiloxane | C541026 | 1162.6 | 905.275 | 1.82155 | 1.05 ± 0.08% | 0.79 ± 0.09% |
| 57 | 2,2,4,6,6-Pentamethylheptane | C13475826 | 896.5 | 400.362 | 1.14775 | 0.68 ± 0.03% | 1.05 ± 0.03% |
| 58 | 1,4-Dioxane | C123911 | 689.9 | 193.495 | 1.32961 | 6.63 ± 0.04% | 1.97 ± 0.02% |
| 59 | Styrene | C100425 | 104.2 | 898.9 | 403.829 | 0.28 ± 0.01% | 0.78 ± 0.03 |
| Furan | |||||||
| 60 | D-2-Acetylfuran | C1192627 | 872.1 | 368.147 | 1.11778 | 1.42 ± 0.03% | 1.25 ± 0.04% |
| 61 | M-2-Acetylfuran | C1192627 | 909.8 | 420.436 | 1.11715 | 0.17 ± 0.03% | 0.65 ± 0.03% |
| 62 | D-2-Ethylfuran | C3208160 | 725.2 | 220.263 | 1.04892 | 4.77 ± 0.21% | 13.61 ± 0.33% |
| 63 | M-2-Ethylfuran | C3208160 | 923.7 | 442.406 | 1.04686 | 1.07 ± 0.09% | 3.74 ± 0.03% |
| Phenols | |||||||
| 64 | o-Cresol | C95487 | 988.4 | 561.097 | 1.10663 | 1.02 ± 0.15% | 0.93 ± 0.07% |
| Acids | |||||||
| 65 | 3-Methylvaleric acid | C105431 | 934.6 | 460.515 | 1.26877 | 0.42 ± 006% | 0.15 ± 0.02% |
| 66 | 2-Methylbutyric acid | C116530 | 829.1 | 318.403 | 1.20936 | 0.73 ± 0.01% | 0.49 ± 0.01% |
| 67 | Acetic acid | C64197 | 620.1 | 164.412 | 1.04808 | 0.38 ± 0.02% | 0.91 ± 0.01% |
| 68 | Formic acid | C64186 | 544.7 | 138.12 | 1.04707 | 0.06 ± 0.00% | 0.12 ± 0.00% |
| 69 | Propanoic acid | C79094 | 685.9 | 191.38 | 1.26274 | 0.13 ± 0.03% | 0.14 ± 0.01% |
| Others | |||||||
| 70 | β-Ocimene | C13877913 | 1010 | 599.523 | 1.67401 | 0.72 ± 0.13% | 0.46 ± 0.05% |
| 71 | α-Terpinene | C99865 | 1010 | 599.523 | 1.22638 | 0.16 ± 0.03% | 0.05 ± 0.00% |
| 72 | 1,8-Cineol | C470826 | 1038.3 | 647.172 | 1.2951 | 0.08 ± 0.01% | 0.06 ± 0.00% |
| 73 | 2-Acetylpyrrole | C1072839 | 1013.1 | 604.442 | 1.49339 | 0.15 ± 0.01% | 0.44 ± 0.04% |
| Key Compounds | ROAV | Sensory Description | ||
|---|---|---|---|---|
| VIP Score | Crude Oil | Refined Oil | ||
| D-heptanal | 1.04682 | 0.80 | 1.62 | Citrus |
| M-heptanal | 1.01792 | 2.13 | 2.85 | Citrus |
| E-2-hexenal | 1.06407 | 1.52 | 0.81 | Grassy |
| D-hexanal | 1.06037 | 100.00 | 100.00 | Grassy, fatty |
| M-hexanal | 1.05614 | 37.24 | 39.63 | Grassy, fatty |
| M-(E)-2-pentenal | 1.06447 | 0.12 | 0.04 | Grassy |
| Propanal | 1.06407 | 5.43 | 21.97 | Earthy, nutty |
| D-3-methylbutanal | 1.06477 | 34.30 | 1.88 | Fruity, apple |
| M-3-methylbutanal | 1.06425 | 5.41 | 2.62 | Fruity, apple |
| Isobutanal | 1.06462 | 29.54 | 7.67 | - |
| benzene acetaldehyde | 1.00532 | 0.82 | 2.17 | Fruity, floral |
| D-pentanal | 1.06061 | 3.82 | 3.80 | Fruity |
| M-pentanal | 1.06382 | 11.76 | 8.27 | Fruity |
| (E)-2-octenal | 1.04072 | 1.25 | 0.97 | Fruity, fatty |
| D-Butanal | 1.06353 | 0.51 | 1.10 | Fruity |
| M-Butanal | 1.06452 | 0.20 | 0.04 | Fruity |
| oct-1-en-3-ol | 1.00079 | 36.44 | 31.88 | Mushroom, fatty |
| 2-methyl-1-propanol | 1.06446 | 0.74 | 0.34 | - |
| methyl 2-methylbutanoate | 1.0646 | 87.72 | 54.75 | Fruity |
| acetic acid ethyl ester | 1.06314 | 5.05 | 4.06 | Fruity |
| Acetoin | 1.06175 | 0.29 | 0.13 | Buttery, creamy |
| Styrene | 1.06164 | 0.26 | 1.13 | Sweet |
| 3-Methyl valeric acid | 1.02516 | 1.96 | 1.09 | Grassy |
Disclaimer/Publisher’s Note: The statements, opinions and data contained in all publications are solely those of the individual author(s) and contributor(s) and not of MDPI and/or the editor(s). MDPI and/or the editor(s) disclaim responsibility for any injury to people or property resulting from any ideas, methods, instructions or products referred to in the content. |
© 2024 by the authors. Licensee MDPI, Basel, Switzerland. This article is an open access article distributed under the terms and conditions of the Creative Commons Attribution (CC BY) license (https://creativecommons.org/licenses/by/4.0/).
Share and Cite
Guo, Y.; Shao, J.; Sun, J.; Wang, Z.; Jiang, B. Optimization of Extraction and Refining Parameters of Oil from Dotted Gizzard Shad (Konosirus punctatus). Foods 2024, 13, 1278. https://doi.org/10.3390/foods13081278
Guo Y, Shao J, Sun J, Wang Z, Jiang B. Optimization of Extraction and Refining Parameters of Oil from Dotted Gizzard Shad (Konosirus punctatus). Foods. 2024; 13(8):1278. https://doi.org/10.3390/foods13081278
Chicago/Turabian StyleGuo, Ying, Juanjuan Shao, Jilu Sun, Zhen Wang, and Baojie Jiang. 2024. "Optimization of Extraction and Refining Parameters of Oil from Dotted Gizzard Shad (Konosirus punctatus)" Foods 13, no. 8: 1278. https://doi.org/10.3390/foods13081278
APA StyleGuo, Y., Shao, J., Sun, J., Wang, Z., & Jiang, B. (2024). Optimization of Extraction and Refining Parameters of Oil from Dotted Gizzard Shad (Konosirus punctatus). Foods, 13(8), 1278. https://doi.org/10.3390/foods13081278
