Dietary Factors and Risk of Gout: A Two-Sample Mendelian Randomization Study
Abstract
1. Introduction
2. Methods
2.1. Exposure Phenotypic Data
2.2. Outcome Phenotypic Data
2.3. Instrumental Variable Selection
2.4. MR Estimate
2.5. Sensitivity Analysis
2.6. Estimation of Sample Overlap
3. Results
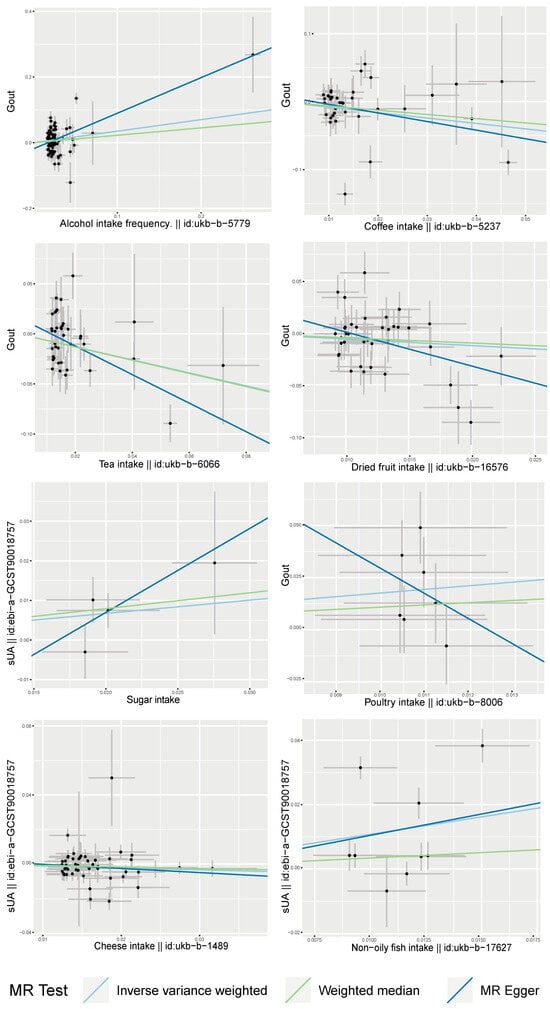
3.1. Causality between Non-Oily Fish Intake and Serum Uric Acid Level
3.2. Causality between Sugar Intake and Serum Uric Acid Level
3.3. Causality between Cheese Intake and Serum Uric Acid Level
3.4. Causality between Alcohol Intake Frequency and Gout
3.5. Causality between Tea Intake and Gout
3.6. Causality between Dried Fruit Intake and Gout
3.7. Causality between Coffee Intake and Gout
3.8. Causality between Poultry Intake and Gout
4. Discussion
5. Conclusions
Supplementary Materials
Author Contributions
Funding
Institutional Review Board Statement
Informed Consent Statement
Data Availability Statement
Acknowledgments
Conflicts of Interest
References
- GBD 2017 DALYs and HALE Collaborators. Global, regional, and national disability-adjusted life-years (DALYs) for 359 diseases and injuries and healthy life expectancy (HALE) for 195 countries and territories, 1990–2017: A systematic analysis for the Global Burden of Disease Study 2017. Lancet 2019, 392, 1859–1922, Erratum in Lancet 2019, 393, e44. [Google Scholar] [CrossRef] [PubMed] [PubMed Central]
- Wang, R.; Halimulati, M.; Huang, X.; Ma, Y.; Li, L.; Zhang, Z. Sulforaphane-driven reprogramming of gut microbiome and metabolome ameliorates the progression of hyperuricemia. J. Adv. Res. 2023, 52, 19–28. [Google Scholar] [CrossRef] [PubMed] [PubMed Central]
- Strilchuk, L.; Fogacci, F.; Cicero, A.F. Safety and tolerability of available urate-lowering drugs: A critical review. Expert Opin. Drug Saf. 2019, 18, 261–271. [Google Scholar] [CrossRef] [PubMed]
- Dehlin, M.; Jacobsson, L.; Roddy, E. Global epidemiology of gout: Prevalence, incidence, treatment patterns and risk factors. Nat. Rev. Rheumatol. 2020, 16, 380–390. [Google Scholar] [CrossRef] [PubMed]
- Roddy, E.; Zhang, W.; Doherty, M. The changing epidemiology of gout. Nat. Clin. Pract. Rheumatol. 2007, 3, 443–449. [Google Scholar] [CrossRef] [PubMed]
- Chen, Y.; Luo, L.; Hu, S.; Gan, R.; Zeng, L. The chemistry, processing, and preclinical anti-hyperuricemia potential of tea: A comprehensive review. Crit. Rev. Food Sci. Nutr. 2023, 63, 7065–7090. [Google Scholar] [CrossRef] [PubMed]
- Li, P.; Wang, H.; Guo, L.; Gou, X.; Chen, G.; Lin, D.; Fan, D.; Guo, X.; Liu, Z. Association between gut microbiota and preeclampsia-eclampsia: A two-sample Mendelian randomization study. BMC Med. 2022, 20, 443. [Google Scholar] [CrossRef] [PubMed] [PubMed Central]
- Freuer, D.; Meisinger, C.; Linseisen, J. Causal relationship between dietary macronutrient composition and anthropometric measures: A bidirectional two-sample Mendelian randomization analysis. Clin. Nutr. 2021, 40, 4120–4131. [Google Scholar] [CrossRef] [PubMed]
- Mitchell, R.E.; Elsworth, B.L.; Mitchell, R.; Raistrick, C.A.; Paternoster, L.; Hemani, G.; Gaunt, T.R. MRC IEU UK Biobank GWAS Pipeline Version 2; University of Bristol: Bristol, UK, 2019. [Google Scholar]
- Meddens, S.F.W.; de Vlaming, R.; Bowers, P.; Burik, C.A.P.; Linnér, R.K.; Lee, C.; Okbay, A.; Turley, P.; Rietveld, C.A.; Fontana, M.A.; et al. Genomic analysis of diet composition finds novel loci and associations with health and lifestyle. Mol. Psychiatry 2021, 26, 2056–2069. [Google Scholar] [CrossRef] [PubMed] [PubMed Central]
- Kurki, M.I.; Karjalainen, J.; Palta, P.; Sipilä, T.P.; Kristiansson, K.; Donner, K.M.; Reeve, M.P.; Laivuori, H.; Aavikko, M.; Kaunisto, M.A.; et al. FinnGen provides genetic insights from a well-phenotyped isolated population. Nature 2023, 613, 508–518. [Google Scholar] [CrossRef]
- Zhao, N.; Guo, P.; Tang, M.; Yang, F.; Zhang, T.; Mao, R. Evidence for a causal relationship between psoriasis and cutaneous melanoma: A bidirectional two-sample Mendelian randomized study. Front. Immunol. 2023, 14, 1201167. [Google Scholar] [CrossRef] [PubMed] [PubMed Central]
- Yang, W.; Yang, Y.; He, L.; Zhang, M.; Sun, S.; Wang, F.; Han, B. Dietary factors and risk for asthma: A Mendelian randomization analysis. Front. Immunol. 2023, 14, 1126457. [Google Scholar] [CrossRef] [PubMed] [PubMed Central]
- Burgess, S.; Davies, N.M.; Thompson, S.G. Bias due to participant overlap in two-sample Mendelian randomization. Genet. Epidemiol. 2016, 40, 597–608. [Google Scholar] [CrossRef] [PubMed] [PubMed Central]
- Choi, H.K.; Curhan, G. Coffee, tea, and caffeine consumption and serum uric acid level: The third national health and nutrition examination survey. Arthritis Rheumatol. 2007, 57, 816–821. [Google Scholar] [CrossRef] [PubMed]
- Choi, H.K.; Curhan, G. Coffee consumption and risk of incident gout in women: The Nurses’ Health Study. Am. J. Clin. Nutr. 2010, 92, 922–927. [Google Scholar] [CrossRef] [PubMed] [PubMed Central]
- Honda, S.; Miura, Y.; Masuda, A.; Masuda, T. Identification of crypto- and neochlorogenic lactones as potent xanthine oxidase inhibitors in roasted coffee beans. Biosci. Biotechnol. Biochem. 2014, 78, 2110–2116. [Google Scholar] [CrossRef] [PubMed]
- Li, X.; Song, P.; Li, J.; Wang, P.; Li, G. Relationship between hyperuricemia and dietary risk factors in Chinese adults: A cross-sectional study. Rheumatol. Int. 2015, 35, 2079–2089. [Google Scholar] [CrossRef] [PubMed]
- Guasch-Ferré, M.; Bulló, M.; Babio, N.; Martínez-González, M.A.; Estruch, R.; Covas, M.-I.; Wärnberg, J.; Arós, F.; Lapetra, J.; Serra-Majem, L.; et al. Mediterranean diet and risk of hyperuricemia in elderly participants at high cardiovascular risk. J. Gerontol. A Biol. Sci. Med. Sci. 2013, 68, 1263–1270. [Google Scholar] [CrossRef] [PubMed]
- Lyu, L.C.; Hsu, C.Y.; Yeh, C.Y.; Lee, M.S.; Huang, S.H.; Chen, C.L. A case-control study of the association of diet and obesity with gout in Taiwan. Am. J. Clin. Nutr. 2003, 78, 690–701. [Google Scholar] [CrossRef] [PubMed]
- Wang, Y.; Yang, R.; Cao, Z.; Han, S.; Han, T.; Jiang, W.; Wang, X.; Wei, W. The Association of Food Groups and Consumption Time with Hyperuricemia: The U.S. National Health and Nutrition Examination Survey, 2005–2018. Nutrients 2023, 15, 3109. [Google Scholar] [CrossRef] [PubMed] [PubMed Central]
- Choi, H.K.; Atkinson, K.; Karlson, E.W.; Willett, W.; Curhan, G. Purine-rich foods, dairy and protein intake, and the risk of gout in men. N. Engl. J. Med. 2004, 350, 1093–1103. [Google Scholar] [CrossRef] [PubMed]
- Kong, B.; Liu, F.; Zhang, S.; Wu, Y.; Li, Y.; Xiong, J.; Tang, Y.; Li, Y.; Yao, P. Associations between dietary patterns and serum uric acid concentrations in children and adolescents: A cross-sectional study. Food Funct. 2023, 14, 9803–9814. [Google Scholar] [CrossRef] [PubMed]
- Bae, J.; Park, P.S.; Chun, B.-Y.; Choi, B.Y.; Kim, M.K.; Shin, M.-H.; Lee, Y.-H.; Shin, D.H.; Kim, S.-K. The effect of coffee, tea, and caffeine consumption on serum uric acid and the risk of hyperuricemia in Korean Multi-Rural Communities Cohort. Rheumatol. Int. 2015, 35, 327–336. [Google Scholar] [CrossRef] [PubMed]
- Ebrahimpour-Koujan, S.; Saneei, P.; Larijani, B.; Esmaillzadeh, A. Consumption of sugar sweetened beverages and dietary fructose in relation to risk of gout and hyperuricemia: A systematic review and meta-analysis. Crit. Rev. Food Sci. Nutr. 2020, 60, 1–10. [Google Scholar] [CrossRef] [PubMed]
- Yokose, C.; McCormick, N.; Rai, S.K.; Lu, N.; Curhan, G.; Schwarzfuchs, D.; Shai, I.; Choi, H.K. Effects of Low-Fat, Mediterranean, or Low-Carbohydrate Weight Loss Diets on Serum Urate and Cardiometabolic Risk Factors: A Secondary Analysis of the Dietary Intervention Randomized Controlled Trial (DIRECT). Diabetes Care 2020, 43, 2812–2820. [Google Scholar] [CrossRef] [PubMed] [PubMed Central]
- Juraschek, S.P.; McAdams-Demarco, M.; Gelber, A.C.; Sacks, F.M.; Appel, L.J.; White, K.J.; Miller, E.R. Effects of Lowering Glycemic Index of Dietary Carbohydrate on Plasma Uric Acid Levels: The OmniCarb Randomized Clinical Trial. Arthritis Rheumatol. 2016, 68, 1281–1289. [Google Scholar] [CrossRef] [PubMed] [PubMed Central]
- Belanger, M.J.; Wee, C.C.; Mukamal, K.J.; Miller, E.R.; Sacks, F.M.; Appel, L.J.; Shmerling, R.H.; Choi, H.K.; Juraschek, S.P. Effects of dietary macronutrients on serum urate: Results from the OmniHeart trial. Am. J. Clin. Nutr. 2021, 113, 1593–1599. [Google Scholar] [CrossRef] [PubMed] [PubMed Central]
- Zou, F.; Zhao, X.; Wang, F. A review on the fruit components affecting uric acid level and their underlying mechanisms. J. Food Biochem. 2021, 45, e13911. [Google Scholar] [CrossRef] [PubMed]
- Zhang, C.; Li, L.; Zhang, Y.; Zeng, C. Recent advances in fructose intake and risk of hyperuricemia. Biomed. Pharmacother. 2020, 131, 110795. [Google Scholar] [CrossRef] [PubMed]
- Kaneko, K.; Aoyagi, Y.; Fukuuchi, T.; Inazawa, K.; Yamaoka, N. Total purine and purine base content of common foodstuffs for facilitating nutritional therapy for gout and hyperuricemia. Biol. Pharm. Bull. 2014, 37, 709–721. [Google Scholar] [CrossRef] [PubMed]
- Yan, Y.; Jiang, W.; Spinetti, T.; Tardivel, A.; Castillo, R.; Bourquin, C.; Guarda, G.; Tian, Z.; Tschopp, J.; Zhou, R. Omega-3 fatty acids prevent inflammation and metabolic disorder through inhibition of NLRP3 inflammasome activation. Immunity 2013, 38, 1154–1163. [Google Scholar] [CrossRef] [PubMed]
- Huang, T.; Li, K.; Asimi, S.; Chen, Q.; Li, D. Effect of vitamin B-12 and n-3 polyunsaturated fatty acids on plasma homocysteine, ferritin, C-reaction protein, and other cardiovascular risk factors: A randomized controlled trial. Asia Pac. J. Clin. Nutr. 2015, 24, 403–411. [Google Scholar] [CrossRef] [PubMed]
- Stamp, L.K.; Grainger, R.; Frampton, C.; Drake, J.; Hill, C.L. Effect of omega-three supplementation on serum urate and gout flares in people with gout; a pilot randomized trial. BMC Rheumatol. 2022, 6, 31. [Google Scholar] [CrossRef] [PubMed] [PubMed Central]
- Bowden, J.; Davey Smith, G.; Burgess, S. Mendelian randomization with invalid instruments: Effect estimation and bias detection through Egger regression. Int. J. Epidemiol. 2015, 44, 512–525. [Google Scholar] [CrossRef] [PubMed] [PubMed Central]
- Zupo, R.; Castellana, F.; Boninfante, B.; Lampignano, L.; Lattanzio, A.; Sardone, R.; Giannelli, G.; De Pergola, G. Uric Acid and Potassium Serum Levels Are Independent Predictors of Blood Pressure Non-Dipping in Overweight or Obese Subjects. Nutrients 2019, 11, 2970. [Google Scholar] [CrossRef]





Disclaimer/Publisher’s Note: The statements, opinions and data contained in all publications are solely those of the individual author(s) and contributor(s) and not of MDPI and/or the editor(s). MDPI and/or the editor(s) disclaim responsibility for any injury to people or property resulting from any ideas, methods, instructions or products referred to in the content. |
© 2024 by the authors. Licensee MDPI, Basel, Switzerland. This article is an open access article distributed under the terms and conditions of the Creative Commons Attribution (CC BY) license (https://creativecommons.org/licenses/by/4.0/).
Share and Cite
Ou, G.; Wu, J.; Wang, S.; Jiang, Y.; Chen, Y.; Kong, J.; Xu, H.; Deng, L.; Zhao, H.; Chen, X.; et al. Dietary Factors and Risk of Gout: A Two-Sample Mendelian Randomization Study. Foods 2024, 13, 1269. https://doi.org/10.3390/foods13081269
Ou G, Wu J, Wang S, Jiang Y, Chen Y, Kong J, Xu H, Deng L, Zhao H, Chen X, et al. Dietary Factors and Risk of Gout: A Two-Sample Mendelian Randomization Study. Foods. 2024; 13(8):1269. https://doi.org/10.3390/foods13081269
Chicago/Turabian StyleOu, Guosen, Jialin Wu, Shiqi Wang, Yawen Jiang, Yaokang Chen, Jingwen Kong, Huachong Xu, Li Deng, Huan Zhao, Xiaoyin Chen, and et al. 2024. "Dietary Factors and Risk of Gout: A Two-Sample Mendelian Randomization Study" Foods 13, no. 8: 1269. https://doi.org/10.3390/foods13081269
APA StyleOu, G., Wu, J., Wang, S., Jiang, Y., Chen, Y., Kong, J., Xu, H., Deng, L., Zhao, H., Chen, X., & Xu, L. (2024). Dietary Factors and Risk of Gout: A Two-Sample Mendelian Randomization Study. Foods, 13(8), 1269. https://doi.org/10.3390/foods13081269

