Synergistic Effects and Kinetic Analysis in Co-Pyrolysis of Peanut Shells and Polypropylene
Abstract
1. Introduction
2. Materials and Methods
2.1. Sample Preparation
2.2. Sample Analysis
2.2.1. Elemental Analysis
2.2.2. Proximate Analysis
2.3. Thermogravimetric Analysis
2.4. Kinetic Method
2.5. Biochar Morphology Analysis Method
3. Results and Discussion
3.1. Characteristics of PS and PP
3.2. Pyrolysis Behaviors
3.2.1. Individual Pyrolysis Behavior of PS and PP
3.2.2. Co-Pyrolysis Behavior of PS1-PP1
3.3. Pyrolysis Characteristics
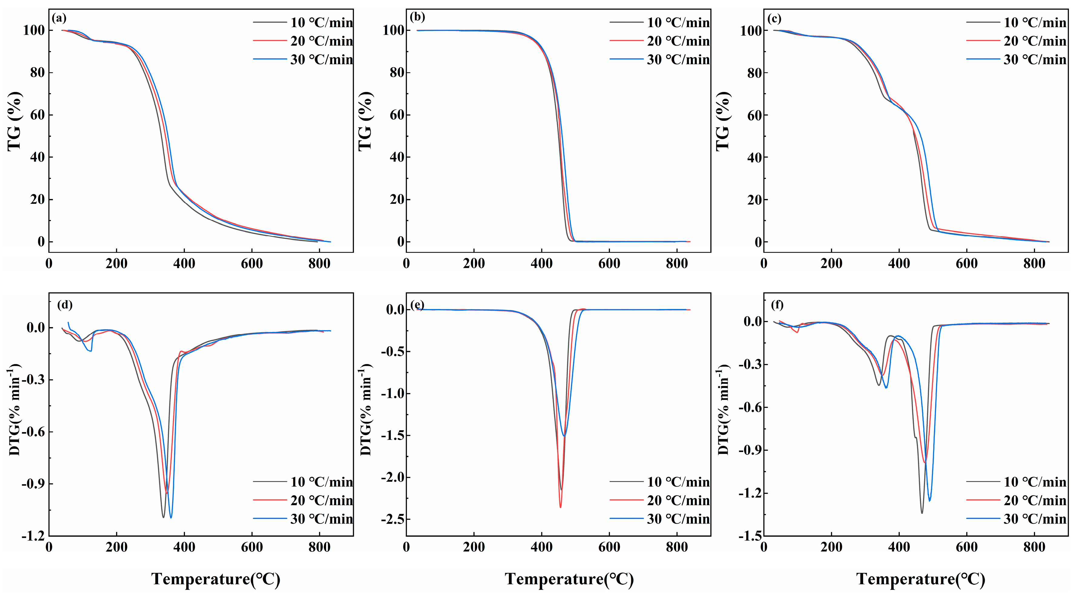
3.3.1. Effect of Heating Rate on Pyrolysis Characteristics
3.3.2. Effect of Blending Ratio on Pyrolysis Characteristics
3.4. Interaction between Co-Pyrolysis of PS with PP
3.5. Kinetics Model Analysis
3.5.1. Method of Kinetic Analysis
3.5.2. Kinetic Mechanism Functions
3.6. SEM Analysis
4. Conclusions
Author Contributions
Funding
Institutional Review Board Statement
Informed Consent Statement
Data Availability Statement
Conflicts of Interest
Abbreviation
| PS | Peanut shells | Y | Fitting equation |
| PP | Polypropylene | m0 | The initial mass (g) of the sample |
| PS-PP | Mixture of PS and PP | mt | The sample mass (g) at the time point of the reaction t |
| PS1-PP1 | Mixture ratio of 1: 1PS and PP | mf | The mass of solid remaining in the sample after the reaction (g) |
| PS1-PP2 | Mixture ratio of 1: 2PS and PP | SEM | Scanning electron microscopy |
| PS2-PP1 | Mixture ratio of 2: 1PS and PP | Td | The drying temperature |
| R2 | Correlation coefficient | DTGmax | Maximum temperature from the DTG curves |
| Ea | Activation energy | Ti | Initial temperature |
| CR | Coats-Redfern | Tf | Final temperature |
| α | Mass conversion rate | Tmax | Maximum temperature |
| A | Pre-exponential factor | Wexp | Experimental values |
| β | The heating rate constant | Wcal | Theoretical values |
| R | Universal gas constant (8.314 J/(mol·K)) | xm | The mass percentages of PS |
| T | Pyrolysis temperature (K) | xp | The mass percentages of plastics |
| n | Reaction order | Wm | The mass losses of PS during thermal decomposition |
| f(α) | Reaction mechanism function | Wp | The mass losses of PP during thermal decomposition |
References
- Gouws, S.M.; Carrier, M.; Bunt, J.R.; Neomagus, H. Co-pyrolysis of torrefied biomass and coal: Effect of pressure on synergistic reactions. J. Anal. Appl. Pyrolysis 2022, 161, 105363. [Google Scholar] [CrossRef]
- Li, G.; Yang, T.L.; Xiao, W.B.; Yao, X.L.; Su, M.; Pan, M.M.; Wang, X.Q.; Lyu, T. Enhanced biofuel production by co-pyrolysis of distiller’s grains and waste plastics: A quantitative appraisal of kinetic behaviors and product characteristics. Chemosphere 2023, 342, 140137. [Google Scholar] [CrossRef] [PubMed]
- Wang, Q.; Zhang, C.; Li, R.R. Plastic pollution induced by the COVID-19: Environmental challenges and outlook. Environ. Sci. Pollut. Res. 2023, 30, 40405–40426. [Google Scholar] [CrossRef] [PubMed]
- Hasan, M.M.; Hu, X.; Gunawan, R.; Li, C.Z. Pyrolysis of large mallee wood particles: Temperature gradients within a pyrolysing particle and effects of moisture content. Fuel Process. Technol. 2017, 158, 163–171. [Google Scholar] [CrossRef]
- Ansari, K.B.; Hassan, S.Z.; Bhoi, R.; Ahmad, E. Co-pyrolysis of biomass and plastic wastes: A review on reactants synergy, catalyst impact, process parameter, hydrocarbon fuel potential, COVID-19. J. Environ. Chem. Eng. 2021, 9, 106436. [Google Scholar] [CrossRef]
- Xu, Y.; Yang, K.; Zhou, J.H.; Zhao, G.H. Coal-Biomass Co-Firing Power Generation Technology: Current Status, Challenges and Policy Implications. Sustainability 2020, 12, 3692. [Google Scholar] [CrossRef]
- Li, G.; Hao, Y.H.; Yang, T.L.; Wu, J.H.; Xu, F.Z.; Li, L.L.; Wang, B.M.; Li, M.; Zhao, N.; Wang, N.; et al. Air pollutant emissions from sludge-bituminous briquettes as a potential household energy source. Case Stud. Therm. Eng. 2022, 37, 102251. [Google Scholar] [CrossRef]
- Wang, Q.; Zhou, Q.; An, S.; Yang, H.; Huang, L.H. Effect of Fe on CoxAl3FeyOm +/-delta Catalysts for Hydrogen Production by Auto-thermal Reforming of Acetic Acid. J. Inorg. Mater. 2019, 34, 811–816. [Google Scholar] [CrossRef]
- Esso, S.B.E.; Zhe, X.; Chaiwat, W.; Kamara, M.F.; Xu, L.F.; Jun, X.; Ebako, J.; Long, J.; Sheng, S.; Song, H.; et al. Review on synergistic effects during co-pyrolysis of biomass and plastic waste: Significance of operating conditions and interaction mechanism. Biomass Bioenerg. 2022, 159, 106415. [Google Scholar]
- Li, G.; Yang, T.L.; Xiao, W.B.; Jiahui Wu, J.H.; Xu, F.Z.; Li, L.L.; Gao, F.; Huang, Z.G. Sustainable Environmental Assessment of Waste-to-Energy Practices: Co-Pyrolysis of Food Waste and Discarded Meal Boxes. Foods 2022, 11, 3840. [Google Scholar] [CrossRef] [PubMed]
- Gouws, S.M.; Carrier, M.; Bunt, J.R.; Neomagus, H. Co-pyrolysis of coal and raw/torrefied biomass: A review on chemistry, kinetics and implementation. Renew. Sust. Energ. Rev. 2021, 135, 110189. [Google Scholar] [CrossRef]
- Chen, H.P.; Liu, Z.H.; Chen, X.; Chen, Y.Q.; Dong, Z.G.; Wang, X.H.; Yang, H.P. Comparative pyrolysis behaviors of stalk, wood and shell biomass: Correlation of cellulose crystallinity and reaction kinetics. Bioresour. Technol. 2020, 310, 123498. [Google Scholar] [CrossRef] [PubMed]
- Yang, H.P.; Dong, Z.G.; Liu, B.; Chen, Y.Q.; Gong, M.; Li, S.J.; Chen, H.P. A new insight of lignin pyrolysis mechanism based on functional group evolutions of solid char. Fuel 2021, 288, 119719. [Google Scholar] [CrossRef]
- Yu, D.X.; Hui, H.L.; Li, S.G. Two-step catalytic co-pyrolysis of walnut shell and LDPE for aromatic-rich oil. Energy Conv. Manag. 2019, 198, 111816. [Google Scholar] [CrossRef]
- Gunasee, S.D.; Danon, B.; Gorgens, J.F.; Mohee, R. Co-pyrolysis of LDPE and cellulose: Synergies during devolatilization and condensation. J. Anal. Appl. Pyrolysis 2017, 126, 307–314. [Google Scholar] [CrossRef]
- Li, G.; Zhang, J.; Li, H.; Hu, R.; Yao, X.; Liu, Y.; Zhou, Y.; Lyu, T. Towards high-quality biodiesel production from microalgae using original and anaerobically-digested livestock wastewater. Chemosphere 2021, 273, 128578. [Google Scholar] [CrossRef] [PubMed]
- Kai, X.P.; Li, R.D.; Yang, T.H.; Shen, S.Q.; Ji, Q.X.; Zhang, T. Study on the co-pyrolysis of rice straw and high density polyethylene blends using TG-FTIR-MS. Energy Conv. Manag. 2017, 146, 20–33. [Google Scholar] [CrossRef]
- Chen, R.J.; Zhang, S.Y.; Yang, X.X.; Li, G.H.; Zhou, H.; Li, Q.H.; Zhang, Y.G. Thermal behaviour and kinetic study of co-pyrolysis of microalgae with different plastics. Waste Manag. 2021, 126, 331–339. [Google Scholar] [CrossRef]
- Zhou, J.J.; Liu, G.J.; Wang, S.B.; Zhang, H.; Xu, F.F. TG-FTIR and Py-GC/MS study of the pyrolysis mechanism and composition of volatiles from flash pyrolysis of PVC. J. Energy Inst. 2020, 93, 2362–2370. [Google Scholar] [CrossRef]
- Singh, S.; Tagade, A.; Verma, A.; Sharma, A.; Tekade, S.P.; Sawarkar, A.N. Insights into kinetic and thermodynamic analyses of co-pyrolysis of wheat straw and plastic waste via thermogravimetric analysis. Bioresour. Technol. 2022, 356, 127332. [Google Scholar] [CrossRef] [PubMed]
- Huang, Y.; Guo, X.W.; Ding, Z.H.; Chen, Y.J.; Hu, X. Environmentally persistent free radicals in biochar derived from Laminaria japonica grown in different habitats. J. Anal. Appl. Pyrolysis 2020, 151, 104941. [Google Scholar] [CrossRef]
- Li, G.; Hao, Y.H.; Yang, T.L.; Xiao, W.B.; Pan, M.M.; Huo, S.H.; Lyu, T. Enhancing Bioenergy Production from the Raw and Defatted Microalgal Biomass Using Wastewater as the Cultivation Medium. Bioengineering 2022, 9, 637. [Google Scholar] [CrossRef] [PubMed]
- He, Q.; Guo, Q.H.; Ding, L.; Gong, Y.; Wei, J.T.; Yu, G.S. Co-pyrolysis Behavior and Char Structure Evolution of Raw/Torrefied Rice Straw and Coal Blends. Energy Fuels 2018, 32, 12469–12476. [Google Scholar] [CrossRef]
- Huang, Z.G.; Yu, Z.S.; Li, M.R.; Bin, Y.H.; Zhang, X.K.; Wei, C.; Liao, Y.F.; Zheng, A.Q.; Ma, X.Q. Catalytic co-pyrolysis of Chlorella vulgaris and urea: Thermal behaviors, product characteristics, and reaction pathways. J. Anal. Appl. Pyrolysis 2022, 167, 105667. [Google Scholar] [CrossRef]
- Tian, B.; Xu, L.; Jing, M.; Liu, N.; Tian, Y.Y. A comprehensive evaluation on pyrolysis behavior, kinetics, and primary volatile formation pathways of rice husk for application to catalytic valorization. Fuel Process. Technol. 2021, 214, 106715. [Google Scholar] [CrossRef]
- Li, G.; Hu, R.C.; Hao, Y.H.; Yang, T.L.; Li, L.L.; Luo, Z.H.; Xie, L.J.; Zhao, N.; Liu, C.; Sun, C.; et al. CO2 and air pollutant emissions from bio-coal briquettes. Environ. Technol. Innov. 2023, 29, 102975. [Google Scholar] [CrossRef]
- Francisco, M.; Resurreccion, A.V.A. Functional components in peanuts. Crit. Rev. Food Sci. Nutr. 2008, 48, 715–746. [Google Scholar] [CrossRef] [PubMed]
- Li, G.; Hu, R.C.; Wang, N.; Yang, T.L.; Xu, F.Z.; Li, J.L.; Wu, J.H.; Huang, Z.G.; Pan, M.M.; Lyu, T. Cultivation of microalgae in adjusted wastewater to enhance biofuel production and reduce environmental impact: Pyrolysis performances and life cycle assessment. J. Clean. Prod. 2022, 355, 131768. [Google Scholar] [CrossRef]
- Zhang, J.H.; Liu, J.Y.; Evrendilek, F.; Xie, W.M.; Kuo, J.H.; Zhang, X.C.; Buyukada, M. Kinetics, thermodynamics, gas evolution and empirical optimization of cattle manure combustion in air and oxy-fuel atmospheres. Appl. Therm. Eng. 2019, 149, 119–131. [Google Scholar] [CrossRef]
- Xiang, Z.P.; Liang, J.H.; Morgan, H.M.; Liu, Y.Y.; Mao, H.P.; Bu, Q. Thermal behavior and kinetic study for co-pyrolysis of lignocellulosic biomass with polyethylene over Cobalt modified ZSM-5 catalyst by thermogravimetric analysis. Bioresour. Technol. 2018, 247, 804–811. [Google Scholar] [CrossRef] [PubMed]
- Navarro, M.V.; Lopez, J.M.; Veses, A.; Callen, M.S.; Garcia, T. Kinetic study for the co-pyrolysis of lignocellulosic biomass and plastics using the distributed activation energy model. Energy 2018, 165, 731–742. [Google Scholar] [CrossRef]
- Tang, Z.Y.; Chen, W.; Chen, Y.Q.; Yang, H.P.; Chen, H.P. Co-pyrolysis of microalgae and plastic: Characteristics and interaction effects. Bioresour. Technol. 2019, 274, 145–152. [Google Scholar] [CrossRef] [PubMed]
- Kumar, A.; Yan, B.B.; Cheng, Z.J.; Tao, J.Y.; Hassan, M.; Li, J.; Kumari, L.; Oba, B.T.; Aborisade, M.A.; Jamro, I.A.; et al. Co-pyrolysis of hydrothermally pre-treated microalgae residue and polymeric waste (plastic/tires): Comparative and dynamic analyses of pyrolytic behaviors, kinetics, chars, oils, and in-situ gas emissions. Fuel 2023, 331, 125814. [Google Scholar] [CrossRef]
- Wang, S.; Jiang, D.; Cao, B.; Hu, Y.M.; Yuan, C.; Wang, Q.; He, Z.X.; Hui, C.W.; Abomohra, A.; Liu, X.L.; et al. Study on the interaction effect of seaweed bio-coke and rice husk volatiles during co-pyrolysis. J. Anal. Appl. Pyrolysis 2018, 132, 111–122. [Google Scholar] [CrossRef]
- Tang, Y.J.; Huang, Q.X.; Sun, K.; Chi, Y.; Yan, J.H. Co-pyrolysis characteristics and kinetic analysis of organic food waste and plastic. Bioresour. Technol. 2018, 249, 16–23. [Google Scholar] [CrossRef] [PubMed]
- He, W.J.; Yin, G.J.; Zhao, Y.B.; Zhang, L.J.; Xu, S.Y.; Huang, T.T.; Chang, L.; Lu, H.X. Interactions between free radicals during co-pyrolysis of lignite and biomass. Fuel 2021, 302, 121098. [Google Scholar] [CrossRef]
- Hongthong, S.; Leese, H.S.; Chuck, C.J. Valorizing Plastic-Contaminated Waste Streams through the Catalytic Hydrothermal Processing of Polypropylene with Lignocellulose. ACS Omega 2020, 5, 20586–20598. [Google Scholar] [CrossRef] [PubMed]
- Zulkafli, A.H.; Hassan, H.; Ahmad, M.A.; Din, A.T.M.; Wasli, S.M. Co-pyrolysis of biomass and waste plastics for production of chemicals and liquid fuel: A review on the role of plastics and catalyst types. Arab. J. Chem. 2023, 16, 104389. [Google Scholar] [CrossRef]
- Naqvi, S.R.; Hameed, Z.; Tariq, R.; Taqvi, S.A.; Ali, I.; Niazi, M.B.K.; Noor, T.; Hussain, A.; Iqbal, N.; Shahbaz, M. Synergistic effect on co-pyrolysis of rice husk and sewage sludge by thermal behavior, kinetics, thermodynamic parameters and artificial neural network. Waste Manag. 2019, 85, 131–140. [Google Scholar] [CrossRef] [PubMed]
- Chen, R.J.; Zhang, J.H.; Lun, L.Y.; Li, Q.H.; Zhang, Y.G. Comparative study on synergistic effects in co-pyrolysis of tobacco stalk with polymer wastes: Thermal behavior, gas formation, and kinetics. Bioresour. Technol. 2019, 292, 121970. [Google Scholar] [CrossRef] [PubMed]
- Abbas-Abadi, M.S.; Ureel, Y.; Eschenbacher, A.; Vermeire, F.H.; Varghese, R.J.; Oenema, J.; Stefanidis, G.D.; Van Geem, K.M. Challenges and opportunities of light olefin production via thermal and catalytic pyrolysis of end-of-life polyolefins: Towards full recyclability. Prog. Energy Combust. Sci. 2023, 96, 101046. [Google Scholar] [CrossRef]
- Fu, P.; Hu, S.; Xiang, J.; Sun, L.S.; Su, S.; An, S.M. Study on the gas evolution and char structural change during pyrolysis of cotton stalk. J. Anal. Appl. Pyrolysis 2012, 97, 130–136. [Google Scholar] [CrossRef]
- Nascimento, F.R.M.; Gonzalez, A.M.; Lora, E.E.S.; Ratner, A.; Palacio, J.C.E.; Reinaldo, R. Bench-scale bubbling fluidized bed systems around the world—Bed agglomeration and collapse: A comprehensive review. Int. J. Hydrogen Energy 2021, 46, 18740–18766. [Google Scholar] [CrossRef]
- Yin, Q.Q.; Ren, H.P.; Wang, R.K.; Zhao, Z.H. Evaluation of nitrate and phosphate adsorption on Al-modified biochar: Influence of Al content. Sci. Total Environ. 2018, 631–632, 895–903. [Google Scholar] [CrossRef] [PubMed]
- Shojaeiarani, J.; Bajwa, D.S.; Bajwa, S.G. Properties of Densified Solid Biofuels in Relation to Chemical Composition, Moisture Content, and Bulk Density of the Biomass. BioResources 2019, 14, 4996–5015. [Google Scholar] [CrossRef]





| Sample | Elemental Analysis (wt%) | Proximate Analysis (wt%) | |||||||
|---|---|---|---|---|---|---|---|---|---|
| C | H | O | N | S | Moisture | Volatile | Fixed Carbon | Ash | |
| PS | 41.56 ± 0.88 | 4.87 ± 0.34 | 50.47 ± 0.45 | 0.57 ± 0.12 | 0.11 ± 0.04 | 5.78 ± 0.21 | 62.07 ± 1.23 | 20.78 ± 0.32 | 11.57 ± 0.03 |
| PP | 83.76 ± 0.85 | 11.35 ± 0.88 | 20.56 ± 0.23 | 0 | 0 | 0.68 ± 0.08 | 99.45 ± 0.75 | 0.02 ± 0.0.04 | 0.01 ± 0.036 |
| Sample | β | Td | Ti | Tf | Tmax | DTGmax | Residue (%) |
|---|---|---|---|---|---|---|---|
| (°C·min−1) | (°C) | (°C) | (°C) | (°C) | (%·min−1) | ||
| PS | 10 | 88 ± 0.8 | 163 ± 1.7 | 635 ± 0.4 | 335 ± 2.1 | −1.09 ± 0.33 | 0.03 ± 0.07 |
| PP | 10 | / | 285 ± 1.5 | 498 ± 0.78 | 457 ± 3.54 | −2.14 ± 0.12 | 0.00 ± 0.06 |
| PS1-PP1 | 10 | 85 ± 0.63 | 170 ± 0.41 | 633 ± 2.7 | 340 ± 3.7/467 ± 2.36 | −0.44 ± 0.08/−1.33 ± 0.10 | 0.57 ± 0.25 |
| Sample | β | Temperature Range | Ea | A | R2 |
|---|---|---|---|---|---|
| (°C·min−1) | (°C) | (kJ·mol−1) | (min−1) | ||
| PS | 10 | 298–368 | 63.82 | 792.64 | 0.984 |
| 20 | 305–382 | 58.97 | 433.28 | 0.986 | |
| 30 | 315–387 | 64.54 | 1785.058 | 0.988 | |
| PP | 10 | 429–472 | 229.27 | 14,804.09 × 109 | 0.992 |
| 20 | 435–476 | 226.93 | 14,801.35 × 109 | 0.990 | |
| 30 | 432–493 | 199.83 | 176.97 × 109 | 0.989 | |
| PS1-PP1 | 10 | 290–353 | 45.62 | 5.57 | 0.996 |
| 417–482 | 93.82 | 19,334.38 | 0.924 | ||
| 20 | 297–365 | 42.76 | 4.84 | 0.998 | |
| 412–495 | 73.60 | 969.35 | 0.924 | ||
| 30 | 308–375 | 45.85 | 13.29 | 0.996 | |
| 435–507 | 86.49 | 10,336.71 | 0.900 |
| Sample | n | R2 | Y | Ea | |
|---|---|---|---|---|---|
| kJ mol−1 | |||||
| PS | 0.5 | 0. 981 | −6.126X − 3.23 | 50.93 | |
| 1 | 0.984 | −7.68X − 0.48 | 63.82 | ||
| 1.5 | 0.984 | −9.46X + 2.68 | 78.65 | ||
| 2 | 0.983 | −11.47X + 6.23 | 95.39 | ||
| 2.5 | 0.980 | −13.70X + 10.15 | 113.91 | ||
| 3 | 0.977 | −16.12X + 14.39 | 134.02 | ||
| PP | 0.5 | 0.999 | −21.31X + 15.81 | 177.19 | |
| 1 | 0.992 | −27.58X + 24.71 | 229.27 | ||
| 1. | 0.974 | −35.31X + 35.66 | 293.54 | ||
| 2 | 0.951 | −44.41X + 48.54 | 369.22 | ||
| 2.5 | 0.929 | −54.66X + 63.02 | 454.41 | ||
| 3 | 0.912 | −65.79X + 78.75 | 546.96 | ||
| PS1-PP1 | Stage1 | 0.5 | 0.997 | −5.13X − 5.76 | 42.63 |
| 1 | 0.996 | −5.49X − 5.10 | 45.62 | ||
| 1.5 | 0.995 | −5.86X − 4.41 | 48.73 | ||
| 2 | 0.994 | −6.25X − 3.70 | 51.96 | ||
| 2.5 | 0.993 | −6.65X − 2.96 | 55.31 | ||
| 3 | 0.992 | −7.07X − 2.20 | 58.78 | ||
| Stage2 | 0.5 | 0.946 | −8.29X − 2.049 | 68.93 | |
| 1 | 0.924 | −11.28X + 2.33 | 93.81 | ||
| 1.5 | 0.901 | −14.940X + 7.66 | 124.21 | ||
| 2 | 0.880 | −19.22X + 13.876 | 159.83 | ||
| 2.5 | 0.863 | −24.06X + 20.88 | 200.01 | ||
| 3 | 0.851 | −29.33X + 28.51 | 243.85 | ||
Disclaimer/Publisher’s Note: The statements, opinions and data contained in all publications are solely those of the individual author(s) and contributor(s) and not of MDPI and/or the editor(s). MDPI and/or the editor(s) disclaim responsibility for any injury to people or property resulting from any ideas, methods, instructions or products referred to in the content. |
© 2024 by the authors. Licensee MDPI, Basel, Switzerland. This article is an open access article distributed under the terms and conditions of the Creative Commons Attribution (CC BY) license (https://creativecommons.org/licenses/by/4.0/).
Share and Cite
Huang, Z.; Wu, J.; Yang, T.; Wang, Z.; Zhang, T.; Gao, F.; Yang, L.; Li, G. Synergistic Effects and Kinetic Analysis in Co-Pyrolysis of Peanut Shells and Polypropylene. Foods 2024, 13, 1191. https://doi.org/10.3390/foods13081191
Huang Z, Wu J, Yang T, Wang Z, Zhang T, Gao F, Yang L, Li G. Synergistic Effects and Kinetic Analysis in Co-Pyrolysis of Peanut Shells and Polypropylene. Foods. 2024; 13(8):1191. https://doi.org/10.3390/foods13081191
Chicago/Turabian StyleHuang, Zhigang, Jiahui Wu, Tenglun Yang, Zihan Wang, Tong Zhang, Fei Gao, Li Yang, and Gang Li. 2024. "Synergistic Effects and Kinetic Analysis in Co-Pyrolysis of Peanut Shells and Polypropylene" Foods 13, no. 8: 1191. https://doi.org/10.3390/foods13081191
APA StyleHuang, Z., Wu, J., Yang, T., Wang, Z., Zhang, T., Gao, F., Yang, L., & Li, G. (2024). Synergistic Effects and Kinetic Analysis in Co-Pyrolysis of Peanut Shells and Polypropylene. Foods, 13(8), 1191. https://doi.org/10.3390/foods13081191

