Evaluation of Chongqing Tuo Tea at Different Grades: An Integrated Approach by Artificial and Intelligent Sensory, Non-Volatile, and Volatile Compounds Analysis
Abstract
1. Introduction
2. Materials and Methods
2.1. Chemicals and Reagents
2.2. Sample Preparation
2.3. Sensory Evaluation
2.4. Electronic Nose Analysis
2.5. Electronic Tongue Analysis
2.6. Extraction and Identification of Volatile Compounds
2.6.1. HS-SPME Conditions
2.6.2. Volatile Compounds Detection via GC-MS
2.6.3. Identification and Quantification of Volatile Compounds
2.7. Determination of Main Non-Volatile Compounds
2.7.1. Determination of Water Extract, Tea Polyphenols, and Soluble Sugars
2.7.2. HPLC Analysis of CAF, Catechins, GA, Flavones, and Flavonol Glycosides Content
2.7.3. HPLC Analysis of Free Amino Acids Content
2.8. Statistical Analysis
3. Results and Discussion
3.1. Artificial Sensory Evaluation Analysis
3.2. Intelligent Sensory Evaluation Analysis
3.3. Analysis of Volatile Compounds
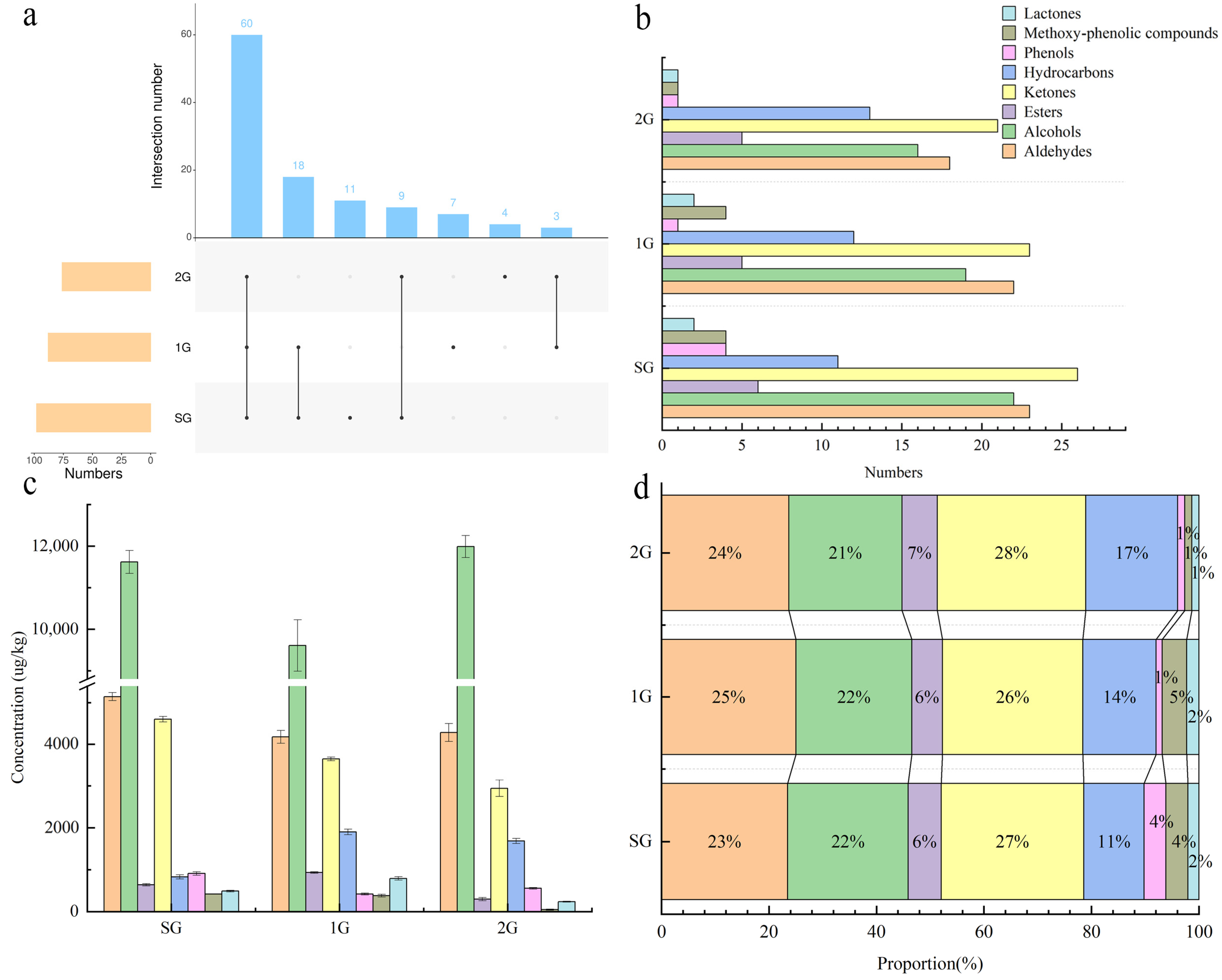
3.3.1. Volatile Compounds as Analyzed via GC-MS
3.3.2. OAV Analysis of Key Odor-Active Compounds
| No. | Compounds | Threshold (μg/kg) a | OAV | VIP | Significance | ||
|---|---|---|---|---|---|---|---|
| SG | 1G | 2G | |||||
| #1 | Hexanal | 5.00 | 4.24 | 4.60 | 6.64 | 1.0181 | 0.000 |
| #2 | (E)-2-Hexenal | 88.50 | 0.28 | 0.24 | n.f. | 0.9234 | 0.013 |
| #3 | 2-Heptanone | 140.00 | 0.29 | n.f. | n.f. | 1.0075 | 0.000 |
| #4 | 1-Heptanal | 2.80 | 50.34 | 46.75 | n.f. | 1.0240 | 0.000 |
| #5 | (E)-2-Heptenal | 51.00 | 1.64 | 0.70 | 4.82 | 1.0556 | 0.000 |
| #6 | Benzaldehyde | 350.00 | 1.90 | 1.03 | 1.28 | 0.9479 | 0.002 |
| #7 | 3,5,5-Trimethyl-hex-1-ene | n.f. b | n.f. | n.f. | n.f. | 1.0205 | 0.001 |
| #8 | 1-Octen-3-one | 4.00 | 17.75 | 8.23 | 35.23 | 1.0374 | 0.000 |
| #9 | 1-Octen-3-ol | 1.50 | 198.23 | 102.27 | 313.19 | 1.0538 | 0.000 |
| #10 | 6-Methyl-5-hepten-2-one | 68.00 | 5.09 | 2.70 | 1.27 | 1.0310 | 0.000 |
| #11 | β-Myrcene | 1.20 | n.f. | n.f. | 312.94 | 1.0590 | 0.000 |
| #12 | (E,Z)-2,4-Heptadienal | 94.80 | 7.76 | 5.88 | 6.08 | 1.0041 | 0.000 |
| #13 | Octanal | 0.59 | 220.15 | 251.11 | 301.46 | 0.9845 | 0.001 |
| #14 | (E,E)-2,4-Heptadienal | 15.40 | 54.80 | 49.04 | 49.41 | 0.9341 | 0.004 |
| #15 | p-Cymene | 5.01 | 7.58 | 19.40 | 13.07 | 1.0067 | 0.000 |
| #16 | (S)-(−)-limonene | 1040.00 | 0.15 | 0.24 | 0.32 | 0.9789 | 0.001 |
| #17 | 3-Octen-2-one | 250.00 | 0.13 | 0.02 | 0.12 | 0.9891 | 0.001 |
| #18 | Ocimene | 34.00 | n.f. | n.f. | 4.12 | 1.0603 | 0.000 |
| #19 | (2E,6E)-3,7,11-trimethyldodeca-2,6,10-trienal | n.f. | n.f. | n.f. | n.f. | 1.0412 | 0.000 |
| #20 | Benzyl alcohol | 2546.21 | 0.07 | n.f. | n.f. | 1.0186 | 0.000 |
| #21 | (E)-3,7-Dimethylocta-1,3,6-triene | 34.00 | 0.83 | 2.00 | 2.50 | 1.0276 | 0.000 |
| #22 | Phenylacetaldehyde | 6.30 | 19.27 | 15.79 | 25.57 | 0.9869 | 0.003 |
| #23 | 1-Ethyl-1H-pyrrole-2-carbaldehyde | 65,000.00 | 0.01 | 0.00 | 0.00 | 1.0454 | 0.000 |
| #24 | (E)-2-Decenol | n.f. | n.f. | n.f. | n.f. | 1.0605 | 0.000 |
| #25 | (E)-2-Octenal | 3.00 | 84.27 | 58.51 | 94.61 | 1.0294 | 0.000 |
| #26 | Acetophenone | 65.00 | 2.73 | n.f. | 2.29 | 1.0308 | 0.000 |
| #27 | 1-(2-Pyrrolyl)-1-ethanone | 58,585.25 | n.f. | 0.00 | n.f. | 1.0380 | 0.000 |
| #28 | (E)-Linalool oxide (Furan type) | 190.00 | 6.47 | 3.20 | 3.40 | 1.0117 | 0.000 |
| #29 | 1-Octanol | 23.00 | 8.15 | 3.24 | 5.47 | 1.0030 | 0.000 |
| #30 | 2-Nonyn-1-ol | n.f. | n.f. | n.f. | n.f. | 0.9962 | 0.000 |
| #31 | Terpinolene | 200.00 | 0.65 | 0.69 | 0.45 | 0.9680 | 0.005 |
| #32 | (Z)-Linalool oxide (Furan type) | 100.00 | 12.48 | 4.53 | 4.66 | 1.0158 | 0.000 |
| #33 | 2-Nonanone | 200.00 | 0.25 | n.f. | n.f. | 1.0053 | 0.000 |
| #34 | (E,E)-3,5-Octadien-2-one | 100.00 | 4.19 | 1.32 | 1.24 | 1.0156 | 0.000 |
| #35 | Linalool | 6.00 | 480.09 | 469.41 | 541.84 | 0.8862 | 0.028 |
| #36 | 3,7-Dimethylocta-1,5,7-trien-3-ol | 110.00 | 8.54 | 2.90 | 9.76 | 1.0483 | 0.000 |
| #37 | Nonanal | 3.10 | 157.85 | 137.21 | 148.74 | 0.7415 | 0.107 |
| #38 | Isophorone | 1.70 | 13.89 | 22.46 | 24.80 | 0.8868 | 0.016 |
| #39 | Caprylic acid methyl ester | 200.00 | 0.09 | n.f. | n.f. | 1.0126 | 0.000 |
| #40 | (E,E)-Alloocimene | 0.03 | 2083.00 | 1237.82 | n.f. | 1.0316 | 0.000 |
| #41 | (E)-3-Nonen-2-one | n.f. | n.f. | n.f. | n.f. | 0.9267 | 0.013 |
| #42 | 2,6,6-Trimethyl-2-cyclohexene-1,4-dione | n.f. | n.f. | n.f. | n.f. | 0.9898 | 0.000 |
| #43 | 1,2-Dimethoxybenzene | n.f. | n.f. | n.f. | n.f. | 1.0577 | 0.000 |
| #44 | 3,5-Dimethylphenol | 5000.00 | 0.01 | n.f. | n.f. | 1.0185 | 0.000 |
| #45 | 4-(5-Methyl-2-furyl)butan-2-one | n.f. | n.f. | n.f. | n.f. | 1.0427 | 0.000 |
| #46 | (2E,6Z)-2,6-Dodecadienal | n.f. | n.f. | n.f. | n.f. | 1.0309 | 0.000 |
| #47 | (E)-2-Nonenal | 0.19 | 371.43 | 458.15 | 327.34 | 0.7326 | 0.140 |
| #48 | Benzyl acetate | 364.00 | 0.16 | n.f. | n.f. | 1.0172 | 0.000 |
| #49 | 4-Ethylphenol | 13.00 | 5.88 | n.f. | n.f. | 1.0189 | 0.000 |
| #50 | (E)-Linalool oxide (Pyran type) | 500.00 | 0.50 | 0.15 | 0.25 | 1.0074 | 0.000 |
| #51 | (Z)-Linalool oxide (Pyran type) | 500.00 | 1.49 | 0.60 | 0.74 | 1.0056 | 0.000 |
| #52 | 4-Terpineol | 1200.00 | 0.38 | 0.54 | 0.64 | 1.0092 | 0.000 |
| #53 | 4-Methylacetophenone | 21.00 | 3.70 | 2.26 | 2.11 | 0.9698 | 0.001 |
| #54 | p-Cymen-8-ol | n.f. | n.f. | n.f. | n.f. | 1.0416 | 0.000 |
| #55 | Methyl salicylate | 40.00 | 11.08 | 1.97 | 3.84 | 1.0121 | 0.000 |
| #56 | (R)-(+)-α-Terpineol | 6800.00 | 0.29 | 0.45 | 0.53 | 1.0099 | 0.000 |
| #57 | Safranal | 0.70 | 569.34 | 371.20 | 437.26 | 0.9471 | 0.002 |
| #58 | Decyl aldehyde | 3.00 | 77.97 | 95.40 | 132.85 | 1.0221 | 0.000 |
| #59 | 3,5-Dimethylbenzaldehyde | n.f. | n.f. | n.f. | n.f. | 1.0597 | 0.000 |
| #60 | β-Cyclocitral | 5.00 | 62.02 | 32.06 | 4.46 | 1.0319 | 0.000 |
| #61 | Nerol | 680.00 | 0.31 | 0.28 | 0.29 | 0.4139 | 0.581 |
| #62 | 3,4-Dimethoxytoluene | 1.44 | 115.91 | 50.44 | n.f. | 1.0286 | 0.000 |
| #63 | (E)-Thujone | n.f. | n.f. | n.f. | n.f. | 1.0123 | 0.000 |
| #64 | Geraniol | 1.10 | 417.24 | 160.45 | 552.62 | 1.0426 | 0.000 |
| #65 | (E)-2-Decenal | 17.00 | n.f. | n.f. | 8.67 | 1.0426 | 0.000 |
| #66 | Citral | 40.00 | n.f. | n.f. | 1.52 | 1.0288 | 0.000 |
| #67 | 4-Ethyl-2-methoxyphenol | 89.25 | 3.33 | n.f. | n.f. | 1.0193 | 0.000 |
| #68 | 1-Methylnaphthalene | 7.50 | 5.37 | n.f. | 7.28 | 1.0352 | 0.000 |
| #69 | 2-Undecanone | 5.50 | 8.50 | 9.22 | n.f. | 1.0543 | 0.000 |
| #70 | (E,Z)-2,4-Decadienal | 0.04 | 431.94 | 1680.14 | n.f. | 1.0518 | 0.000 |
| #71 | Isopropyl salicylate | n.f. | n.f. | n.f. | n.f. | 1.0413 | 0.000 |
| #72 | 1,2,3-Trimethoxybenzene | n.f. | n.f. | n.f. | n.f. | 1.0578 | 0.000 |
| #73 | Theaspirane | 1000.00 | 0.08 | 0.18 | 0.12 | 0.9726 | 0.001 |
| #74 | 4-Ethyl-1,2-dimethoxybenzene | n.f. | n.f. | n.f. | n.f. | 0.9890 | 0.001 |
| #75 | 3-Nonen-2-one | 800.00 | 0.06 | 0.03 | n.f. | 1.0368 | 0.000 |
| #76 | Dehydro-ar-ionene | 2.50 | n.f. | 46.82 | n.f. | 1.0334 | 0.000 |
| #77 | γ-Nonalactone | 9.70 | 4.75 | 5.18 | n.f. | 0.9959 | 0.002 |
| #78 | 2-Undecenal | n.f. | n.f. | n.f. | n.f. | 1.0009 | 0.000 |
| #79 | β-Damascenone | 10.00 | 17.82 | 11.54 | 2.52 | 1.0360 | 0.000 |
| #80 | (Z)-Jasmone | 0.26 | 314.59 | 263.02 | 668.54 | 1.0208 | 0.000 |
| #81 | 6,10-Dimethyl-2-undecanone | n.f. | n.f. | n.f. | n.f. | 0.9993 | 0.000 |
| #82 | Dodecanal | 33.00 | 1.02 | n.f. | n.f. | 1.0189 | 0.000 |
| #83 | Dihydro-α-ionone | n.f. | n.f. | n.f. | n.f. | 1.0588 | 0.000 |
| #84 | α-Ionone | 3.78 | 152.58 | 113.06 | 67.80 | 1.0206 | 0.000 |
| #85 | Dihydro-β-ionone | 1.00 | n.f. | 175.77 | n.f. | 1.0354 | 0.000 |
| #86 | 4-(2,2-Dimethyl-6-methylenecyclohexyl)butan-2-one | n.f. | n.f. | n.f. | n.f. | 1.0094 | 0.000 |
| #87 | 6,10-Dimethyl-5,9-undecadien-2-one | 60.00 | 8.00 | 4.34 | 4.55 | 1.0141 | 0.000 |
| #88 | Caryophyllene | 64.00 | 2.71 | 0.63 | 3.61 | 1.0331 | 0.000 |
| #89 | 2,6-Di(tert-butyl)-4-hydroxy-4-methyl-2,5-cyclohexadien-1-one | n.f. | n.f. | n.f. | n.f. | 0.9827 | 0.001 |
| #90 | (−)-Alloaromadendrenepurum | n.f. | n.f. | n.f. | n.f. | 0.9982 | 0.000 |
| #91 | 4-Tert-butyl phenylacetone | n.f. | n.f. | n.f. | n.f. | 0.9832 | 0.003 |
| #92 | β-Ionone | 8.40 | 92.05 | 72.07 | 82.13 | 0.9800 | 0.000 |
| #93 | 5,6-Epoxy-β-ionone | n.f. | n.f. | n.f. | n.f. | 0.8974 | 0.011 |
| #94 | β-Cedrene | n.f. | n.f. | n.f. | n.f. | 1.0418 | 0.000 |
| #95 | 1,5-Cyclodecadiene,1,5-dimethyl | n.f. | n.f. | n.f. | n.f. | 1.0052 | 0.000 |
| #96 | 2,4-Ditert-butylphenol | 500.00 | 0.99 | 0.84 | 1.11 | 0.9586 | 0.006 |
| #97 | (Z)-Calamenene | n.f. | n.f. | n.f. | n.f. | 1.0355 | 0.000 |
| #98 | Dihydroactinidiolide | 500.00 | 0.89 | 1.48 | 0.47 | 1.0526 | 0.000 |
| #99 | Nerolidol | 250.00 | 0.29 | 0.10 | n.f. | 1.0023 | 0.000 |
| #100 | Spathulenol | n.f. | n.f. | n.f. | n.f. | 1.0443 | 0.000 |
| #101 | 2,2,4-Trimethylpentanediol-1,3-diisobutyrate | n.f. | n.f. | n.f. | n.f. | 0.5174 | 0.407 |
| #102 | Caryophyllene oxide | 200.00 | 0.16 | n.f. | 0.15 | 0.9936 | 0.001 |
| #103 | Cedrol | 0.50 | 88.21 | 545.63 | 275.98 | 1.0200 | 0.000 |
| #104 | Tridecane aldehyde | 70.00 | 0.36 | 1.09 | n.f. | 1.0404 | 0.000 |
| #105 | Epiglobulol | n.f. | n.f. | n.f. | n.f. | 1.0059 | 0.000 |
| #106 | α-Cadinol | n.f. | n.f. | n.f. | n.f. | 0.9882 | 0.002 |
| #107 | Isopropyl myristate | n.f. | n.f. | n.f. | n.f. | 0.7333 | 0.142 |
| #108 | Hexahydrofarnesyl acetone | n.f. | n.f. | n.f. | n.f. | 1.0328 | 0.000 |
| #109 | Diisobutyl phthalate | n.f. | n.f. | n.f. | n.f. | 1.0318 | 0.000 |
| #110 | Dibutyl phthalate | n.f. | n.f. | n.f. | n.f. | 1.0100 | 0.000 |
| #111 | (Z)-7-Hexadecenal | n.f. | n.f. | n.f. | n.f. | 1.0425 | 0.000 |
| #112 | Phytol | 640.00 | 0.01 | 0.09 | 0.01 | 1.0401 | 0.000 |
3.3.3. Multivariate Statistical Analysis
3.4. Analysis of Main Non-Volatile Compounds
3.4.1. Content Analysis of Main Non-Volatile Compounds
3.4.2. Multivariate Statistical Analysis
4. Conclusions
Supplementary Materials
Author Contributions
Funding
Institutional Review Board Statement
Informed Consent Statement
Data Availability Statement
Conflicts of Interest
References
- Wang, C.; Li, J.; Wu, X.J.; Zhang, Y.; He, Z.R.; Zhang, Y.; Zhang, X.M.; Li, Q.; Huang, J.A.; Liu, Z.H. Pu-erh Tea unique aroma: Volatile components, evaluation methods and metabolic mechanism of key odor-active compounds. Trends Food Sci. Technol. 2022, 124, 25–37. [Google Scholar] [CrossRef]
- Zhao, X.; Wang, Q.; Li, G.J.; Chen, F.; Qian, Y.; Wang, R. In vitro antioxidant, anti-mutagenic, anti-cancer and anti-angiogenic effects of Chinese bowl tea. J. Funct. Foods 2014, 7, 590–598. [Google Scholar] [CrossRef]
- DB 50/T 1099-2021; Chongqing Tuo Tea Processing Technical Regulations. Available online: http://www.trans1.cn/translation/show.php?itemid=46928 (accessed on 10 February 2024).
- Su, D.; Xu, T.S.; Li, Y.L.; Zhou, H.J. Flavor evolution in raw Pu-erh tea during manufacturing using different processing types. LWT. 2022, 154, 112905. [Google Scholar] [CrossRef]
- Chang, R.; Chen, S.M.; Luo, H.Y.; Zhang, L.; Zhang, Y.; Wang, J.; Zhong, Y.F. Quality and characteristic components of different types of Tuo tea. J. Food Saf. Qual. 2022, 13, 3867–3874. [Google Scholar] [CrossRef]
- Shahidi, F.; Lin, J.K.; Ho, C.T. Tea and Tea Products: Chemistry and Health-Promoting Properties; CRC Press: Boca Raton, FL, USA, 2008. [Google Scholar]
- Zhai, X.T.; Zhang, L.; Granvogl, M.; Ho, C.T.; Wan, X.C. Flavor of tea (Camellia sinensis): A review on odorants and analytical techniques. Compr. Rev. Food Sci. Food Saf. 2022, 21, 3867–3909. [Google Scholar] [CrossRef]
- Su, D.; He, J.J.; Zhou, Y.Z.; Li, Y.L.; Zhou, H.J. Aroma effects of key volatile compounds in Keemun black tea at different grades: HS-SPME-GC-MS, sensory evaluation, and chemometrics. Food Chem. 2022, 373, 131587. [Google Scholar] [CrossRef]
- Li, H.Z.; Li, M.; Yang, X.R.; Gui, X.; Chen, G.F.; Chu, J.Y.; He, X.W.; Wang, W.T.; Han, F.; Li, P. Microbial diversity and component variation in Xiaguan Tuo tea during pile fermentation. PLoS ONE 2018, 13, e0190318. [Google Scholar] [CrossRef]
- Luo, H.Y.; Wang, Y.; Gu, Y.; Yuan, L.Y.; Yang, J.; Wang, T.H.; Zhang, Y.; Wang, J.; Zhong, Y.F. Effect of drying process on the flavor quality of Chongqing tuo tea and crude tea for making it. Food Sci. 2022, 43, 259–266, (In Chinese with English abstract). [Google Scholar] [CrossRef]
- Wang, W.; Jin, S.; Guo, Y.L. Exploration of a method of distinguishing different nongxiang Tieguanyin tea grades based on aroma determined by GC-MS combined with chemometrics. Molecules 2019, 24, 1707. [Google Scholar] [CrossRef]
- Gu, H.W.; Yin, X.L.; Ma, Y.X.; Wang, J.; Yang, F.; Sun, W.; Ding, B.; Chen, Y.; Liu, Z. Differentiating grades of Xihu Longjing teas according to the contents of ten major components based on HPLC-DAD in combination with chemometrics. LWT 2020, 130, 109688. [Google Scholar] [CrossRef]
- GB/T 23776-2018; Methodology for Sensory Evaluation of Tea. Available online: http://down.foodmate.net/standard/sort/3/52614.html (accessed on 10 February 2024).
- Wang, S.Y.; Zhao, F.; Wu, W.X.; Wang, P.J.; Ye, N.X. Comparison of volatiles in different jasmine tea grade samples using electronic nose and automatic thermal desorption-gas chromatography-mass spectrometry followed by multivariate statistical analysis. Molecules 2020, 25, 380. [Google Scholar] [CrossRef] [PubMed]
- Wu, S.M.; Yu, Q.Y.; Shen, S.; Shan, X.J.; Hua, J.; Zhu, J.Y.; Qiu, J.R.; Deng, Y.L.; Zhou, Q.H.; Jiang, Y.W.; et al. Non-targeted metabolomics and electronic tongue analysis reveal the effect of rolling time on the sensory quality and nonvolatile metabolites of Congou black tea. LWT 2022, 169, 113971. [Google Scholar] [CrossRef]
- Kun, J.R.; Meng, Q.; Wei, C.C.; Xie, G.H.; Yan, J.N.; Ho, C.T.; Tong, H.R. Characterization of the key compounds responsible for the fermented soybean-like cup aroma of raw Pu-erh tea using instrumental and sensory methods. LWT 2022, 162, 113458. [Google Scholar] [CrossRef]
- GB/T 8305-2013; Tea-Determination of Water Extracts Content. Available online: http://www.trans1.cn/translation/show.php?itemid=15952 (accessed on 10 February 2024).
- GB/T 8313-2018; Determination of Total Polyphenols and Catechins Coontent in Tea. Available online: http://down.foodmate.net/standard/sort/3/53218.html (accessed on 10 February 2024).
- Li, Y.C.; Ran, W.; He, C.; Zhou, J.T.; Chen, Y.Q.; Yu, Z.; Ni, D.J. Effects of different tea tree varieties on the color, aroma, and taste of Chinese Enshi green tea. Food Chem. X 2022, 14, 100289. [Google Scholar] [CrossRef]
- Yan, J.N.; Lu, A.X.; Kun, J.R.; Wang, B.; Miao, Y.W.; Chen, Y.J.; Ho, C.T.; Meng, Q.; Tong, H.R. Characterization of triterpenoids as possible bitter-tasting compounds in teas infected with bird’s eye spot disease. Food Res. Int. 2023, 167, 112643. [Google Scholar] [CrossRef]
- Wan, Y.H.; Han, Y.X.; Deng, X.Y.; Chen, Y.J. Metabolomics analysis reveals the effect of two alpine foliar diseases on the non-volatile and volatile metabolites of tea. Foods 2023, 12, 1568. [Google Scholar] [CrossRef] [PubMed]
- Han, Z.S.; Wen, M.C.; Zhang, H.W.; Zhang, L.; Wan, X.C.; Ho, C.T. LC-MS based metabolomics and sensory evaluation reveal the critical compounds of different grades of Huangshan Maofeng green tea. Food Chem. 2022, 374, 131796. [Google Scholar] [CrossRef]
- Banerjee(Roy), R.; Chattopadhyay, P.; Tudu, B.; Bhattacharyya, N.; Bandyopadhyay, R. Artificial flavor perception of black tea using fusion of electronic nose and tongue response: A bayesian statistical approach. J. Food Eng. 2014, 142, 87–93. [Google Scholar] [CrossRef]
- Yang, Y.Q.; Zhu, H.K.; Chen, J.Y.; Xie, J.L.; Shen, S.; Deng, Y.L.; Zhu, J.Y.; Yuan, H.B.; Jiang, Y.W. Characterization of the key aroma compounds in black teas with different aroma types by using gas chromatography electronic nose, gas chromatography-ion mobility spectrometry, and odor activity value analysis. LWT 2022, 163, 113492. [Google Scholar] [CrossRef]
- Tan, J.Z.; Xu, J. Applications of electronic nose (e-Nose) and electronic tongue (e-Tongue) in food quality-related properties determination: A review. Artif. Intell. Agric. 2020, 4, 104–115. [Google Scholar] [CrossRef]
- Yin, X.; Xiao, Y.B.; Wang, K.F.; Wu, W.L.; Huang, J.; Liu, S.J.; Zhang, S.G. Effect of shaking manners on floral aroma quality and identification of key floral-aroma-active compounds in Hunan black tea. Food Res. Int. 2023, 174, 113515. [Google Scholar] [CrossRef]
- Ma, W.J.; Zhu, Y.; Ma, S.C.; Shi, J.; Yan, H.; Lin, Z.; Lv, H.P. Aroma characterisation of Liu-Pao tea based on volatile fingerprint and aroma wheel using SBSE-GC–MS. Food Chem. 2023, 414, 135739. [Google Scholar] [CrossRef]
- Li, Q.; Li, Y.D.; Luo, Y.; Xiao, L.Z.; Wang, K.B.; Huang, J.A.; Liu, Z.H. Characterization of the key aroma compounds and microorganisms during the manufacturing process of Fu Brick tea. LWT 2020, 127, 109355. [Google Scholar] [CrossRef]
- Du, L.P.; Wang, C.; Li, J.X.; Xiao, D.G.; Li, C.W.; Xu, Y.Q. Optimization of headspace solid-phase microextraction coupled with gas chromatography–mass spectrometry for detecting methoxyphenolic compounds in Pu-erh tea. J. Agric. Food Chem. 2013, 61, 561–568. [Google Scholar] [CrossRef] [PubMed]
- Zhu, J.C.; Niu, Y.W.; Xiao, Z.B. Characterization of the key aroma compounds in Laoshan green teas by application of odour activity value (OAV), gas chromatography-mass spectrometry-olfactometry (GC-MS-O) and comprehensive two-dimensional gas chromatography mass spectrometry (GC × GC-qMS). Food Chem. 2021, 339, 128136. [Google Scholar] [CrossRef]
- Ni, H.; Jiang, Q.X.; Lin, Q.; Ma, Q.Q.; Wang, L.; Weng, S.Y.; Huang, G.L.; Li, L.J.; Chen, F. Enzymatic hydrolysis and auto-isomerization during β-glucosidase treatment improve the aroma of instant white tea infusion. Food Chem. 2021, 342, 128565. [Google Scholar] [CrossRef]
- Guo, X.Y.; Ho, C.T.; Schwab, W.; Wan, X.C. Aroma profiles of green tea made with fresh tea leaves plucked in summer. Food Chem. 2021, 363, 130328. [Google Scholar] [CrossRef]
- Kang, S.; Yan, H.; Zhu, Y.; Liu, X.; Lv, H.P.; Zhang, Y.; Dai, W.D.; Guo, L.; Tan, J.F.; Peng, Q.H.; et al. Identification and quantification of key odorants in the world’s four most famous black teas. Food Res. Int. 2019, 121, 73–83. [Google Scholar] [CrossRef] [PubMed]
- Van Gemert, L.J. Complilations of Odour Threshold Values in Air, Water and Other Media; Karaat Grafimedia BV: Houten, The Netherlands, 2003. [Google Scholar]
- Hong, X.; Wang, C.; Jiang, R.G.; Hu, T.F.; Zheng, X.X.; Huang, J.N.; Liu, Z.H.; Li, Q. Characterization of the key aroma compounds in different aroma types of Chinese yellow tea. Foods 2022, 12, 27. [Google Scholar] [CrossRef]
- Xu, S.S.; Zeng, X.S.; Wu, H.T.; Shen, S.S.; Yang, X.G.; Deng, W.W.; Ning, J.M. Characterizing volatile metabolites in raw Pu’er tea stored in wet-hot or dry-cold environments by performing metabolomic analysis and using the molecular sensory science approach. Food Chem. 2021, 350, 129186. [Google Scholar] [CrossRef] [PubMed]
- Pang, X.L.; Yu, W.S.; Cao, C.D.; Yuan, X.X.; Qiu, J.; Kong, F.Y.; Wu, J.H. Comparison of potent odorants in raw and ripened Pu-erh tea infusions based on odor activity value calculation and multivariate analysis: Understanding the role of pile fermentation. J. Agric. Food Chem. 2019, 67, 13139–13149. [Google Scholar] [CrossRef]
- Chen, Y.J.; Yang, J.; Meng, Q.; Tong, H.R. Non-volatile metabolites profiling analysis reveals the tea flavor of “Zijuan” in different tea plantations. Food Chem. 2023, 412, 135534. [Google Scholar] [CrossRef]
- Scharbert, S.; Holzmann, N.; Hofmann, T. Identification of the astringent taste compounds in black tea infusions by combining instrumental analysis and human bioresponse. J. Agric. Food Chem. 2004, 52, 3498–3508. [Google Scholar] [CrossRef] [PubMed]
- Scharbert, S.; Hofmann, T. Molecular definition of black tea taste by means of quantitative studies, taste reconstitution, and omission experiments. J. Agric. Food Chem. 2005, 53, 5377–5384. [Google Scholar] [CrossRef] [PubMed]
- Zheng, P.C.; Qin, C.Y.; Liu, P.P.; Feng, L.; Ling, T.J.; Ning, J.M.; Zhang, L.; Wan, X.C. Untargeted metabolomics combined with bioassay reveals the change in critical bioactive compounds during the processing of Qingzhuan tea. Molecules 2021, 26, 6718. [Google Scholar] [CrossRef] [PubMed]
- Sun, M.; Yang, F.F.; Hou, W.Y.; Jiang, S.F.; Yang, R.Q.; Zhang, W.; Chen, M.J.; Yan, Y.H.; Tian, Y.X.; Yuan, H.Y. Dynamic variation of amino acid contents and identification of sterols in Xinyang Mao Jian green tea. Molecules 2022, 27, 3562. [Google Scholar] [CrossRef]
- Dresel, M.; Dunkel, A.; Hofmann, T. Sensomics analysis of key bitter compounds in the hard resin of hops (Humulus lupulus L.) and their contribution to the bitter profile of pilsner-type beer. J. Agric. Food Chem. 2015, 63, 3402–3418. [Google Scholar] [CrossRef]




| No. | Sensor | Response Substance |
|---|---|---|
| S1 | W1C | Aromatic compounds |
| S2 | W5S | Nitrogen oxides |
| S3 | W3C | Ammonia, aromatic compounds |
| S4 | W6S | Hydrocarbons, aromatic compounds |
| S5 | W5C | Short-chain alkanes |
| S6 | W1S | Alkanes, methyl compounds |
| S7 | W1W | Pyrazine, terpenes, inorganic sulfides, etc. |
| S8 | W2S | Alcohols, aldehydes, ketones |
| S9 | W2W | Aromatic, organic sulfides |
| S10 | W3S | Long-chain alkanes |
| Sample ID | Appearance | Liquor Color | Aroma | Taste | Infused Leaves | Total Score a |
|---|---|---|---|---|---|---|
| SG | green and bloom, slightly tippy | bright orange | strong and lasting aged aroma | heavy and thick | soft and bright | 93.17 ± 0.50 a |
| 1G | green and bloom, fairly tippy | still bright orange | comparatively aged aroma | heavy and mellow | still soft and bright | 89.93 ± 0.55 b |
| 2G | still green and bloom | still bright orange | slightly aged with an arohid aroma | mellow-thick with slightly astringent | uneven, still soft, and bright | 86.37 ± 0.42 c |
| No. | Compounds | CAS# | Rt a | RI-cal | RI-lit | ID b | Contents (μg/kg) c | ||
|---|---|---|---|---|---|---|---|---|---|
| SG | 1G | 2G | |||||||
| #1 | Hexanal | 66-25-1 | 6.277 | 802 | 802 | MS, RI | 21.18 ± 0.92 a | 23.01 ± 0.12 a | 33.18 ± 2.95 b |
| #2 | (E)-2-Hexenal | 6728-26-3 | 8.559 | 851 | 855 | MS, RI | 25.22 ± 3.63 a | 21.6 ± 12.62 b | n.d. d |
| #3 | 2-Heptanone | 110-43-0 | 10.295 | 889 | 889 | MS, RI | 40.17 ± 6.19 | n.d. | n.d. |
| #4 | 1-Heptanal | 111-71-7 | 11.052 | 904 | 896 | MS, RI | 140.96 ± 12.12 a | 130.91 ± 33.74 a | n.d. |
| #5 | (E)-2-Heptenal | 18829-55-5 | 14.15 | 953 | 978 | MS, RI | 83.71 ± 10.03 b | 35.81 ± 8.38 c | 245.80 ± 20.49 a |
| #6 | Benzaldehyde | 100-52-7 | 14.315 | 956 | 961 | MS, RI | 664.75 ± 44.97 a | 359.48 ± 19.47 b | 446.58 ± 93.63 b |
| #7 | 3,5,5-Trimethyl-hex-1-ene | 4316-65-8 | 15.242 | 970 | n.f. e | MS | 43.24 ± 3.09 b | 28.62 ± 5.68 c | 69.68 ± 8.45 a |
| #8 | 1-Octen-3-one | 4312-99-6 | 15.433 | 973 | 980 | MS, RI | 70.99 ± 9.16 b | 32.94 ± 1.84 c | 140.92 ± 19.53 a |
| #9 | 1-Octen-3-ol | 3391-86-4 | 15.714 | 978 | 964 | MS | 297.34 ± 15.46 b | 153.4 ± 31.90 c | 469.79 ± 4.44 a |
| #10 | 6-Methyl-5-hepten-2-one | 110-93-0 | 16.057 | 983 | 986 | MS, RI | 345.91 ± 14.24 a | 183.86 ± 1.58 b | 86.14 ± 0.26 c |
| #11 | β-Myrcene | 123-35-3 | 16.203 | 991 | 991 | MS, RI | n.d. | n.d. | 375.53 ± 21.03 |
| #12 | (E,Z)-2,4-Heptadienal | 5910-85-0 | 16.723 | 994 | 999 | MS, RI | 735.44 ± 7.56 a | 557.82 ± 25.52 b | 576.55 ± 8.49 b |
| #13 | Octanal | 124-13-0 | 17.23 | 1002 | 1001 | MS, RI | 129.23 ± 5.56 c | 147.40 ± 13.45 b | 176.96 ± 3.58 a |
| #14 | (E,E)-2,4-Heptadienal | 4313/3/5 | 17.698 | 1008 | 1015 | MS, RI | 843.84 ± 21.20 a | 755.28 ± 28.50 b | 760.93 ± 11.28 b |
| #15 | p-Cymene | 99-87-6 | 18.463 | 1019 | 1024 | MS, RI | 37.98 ± 1.57 c | 97.19 ± 2.64 a | 65.50 ± 8.33 b |
| #16 | (S)-(−)-limonene | 5989-54-8 | 18.746 | 1023 | 1028 | MS, RI | 153.83 ± 6.49 c | 249.75 ± 40.52 b | 331.58 ± 35.25 a |
| #17 | 3-Octen-2-one | 1669-44-9 | 19.57 | 1034 | 1040 | MS, RI | 31.33 ± 1.57 a | 6.08 ± 1.25 b | 29.93 ± 7.70 a |
| #18 | Ocimene | 13877-91-3 | 20.21 | 1043 | 1026 | MS | n.d. | n.d. | 140.11 ± 3.58 |
| #19 | (2E,6E)-3,7,11-trimethyldodeca-2,6,10-trienal | 502-67-0 | 20.595 | 1048 | 1730 | MS | n.d. | 30.93 ± 1.16 | n.d. |
| #20 | Benzyl alcohol | 100-51-6 | 19.267 | 1030 | 1034 | MS, RI | 189.20 ± 7.61 | n.d. | n.d. |
| #21 | (E)-3,7-Dimethylocta-1,3,6-triene | 3779-61-1 | 19.45 | 1033 | 1052 | MS | 28.15 ± 0.95 c | 67.9 ± 0.36 b | 84.83 ± 2.61 a |
| #22 | Phenylacetaldehyde | 122-78-1 | 19.78 | 1037 | 1043 | MS | 121.4 ± 8.90 b | 99.48 ± 7.95 b | 161.07 ± 18.25 a |
| #23 | 1-Ethyl-1H-pyrrole-2-carbaldehyde | 2167-14-8 | 20.03 | 1041 | 1046 | MS, RI | 370.70 ± 9.95 a | 289.66 ± 21.06 b | 97.91 ± 3.41 b |
| #24 | (E)-2-Decenol | 18409-18-2 | 20.881 | 1052 | 1251 | MS | 115.87 ± 5.23 a | 122.26 ± 2.19 a | n.d. |
| #25 | (E)-2-Octenal | 2548-87-0 | 21.026 | 1054 | 1062 | MS, RI | 252.81 ± 8.67 b | 175.53 ± 2.49 c | 283.84 ± 19.40 a |
| #26 | Acetophenone | 98-86-2 | 21.25 | 1058 | 1078 | MS, RI | 177.36 ± 1.88 a | n.d. | 148.77 ± 14.37 b |
| #27 | 1-(2-Pyrrolyl)-1-ethanone | 1072-83-9 | 21.295 | 1058 | 1072 | MS, RI | n.d. | 224.05 ± 19.60 | n.d. |
| #28 | (E)-Linalool oxide (Furan type) | 34995-77-2 | 21.739 | 1064 | 1070 | MS, RI | 1229.95 ± 32.54 a | 608.11 ± 51.13 b | 646.64 ± 32.84 b |
| #29 | 1-Octanol | 111-87-5 | 21.961 | 1067 | 1078 | MS, RI | 187.40 ± 10.07 a | 74.45 ± 7.01 c | 125.92 ± 12.81 b |
| #30 | 2-Nonyn-1-ol | 5921-73-3 | 22.267 | 1072 | 1105 | MS | 104.88 ± 3.78 a | 64.55 ± 7.06 c | 92.94 ± 4.57 b |
| #31 | Terpinolene | 586-62-9 | 22.728 | 1078 | 1088 | MS, RI | 129.92 ± 4.89 a | 138.5 ± 19.85 a | 89.02 ± 4.12 b |
| #32 | (Z)-Linalool oxide (Furan type) | 5989-33-3 | 22.906 | 1081 | 1080 | MS, RI | 1248.20 ± 22.86 a | 453.30 ± 58.90 b | 466.32 ± 8.65 b |
| #33 | 2-Nonanone | 821-55-6 | 23.375 | 1087 | 1090 | MS, RI | 49.31 ± 8.30 | n.d. | n.d. |
| #34 | (E,E)-3,5-Octadien-2-one | 30086-02-3 | 23.486 | 1089 | 1068 | MS | 419.49 ± 6.01 a | 132.41 ± 7.80 b | 123.51 ± 25.38 b |
| #35 | Linalool | 78-70-6 | 24.058 | 1097 | 1098 | MS, RI | 2880.55 ± 74.46 b | 2816.48 ± 150.69 b | 3251.05 ± 210.53 a |
| #36 | 3,7-Dimethylocta-1,5,7-trien-3-ol | 29957-43-5 | 24.288 | 1100 | 1110 | MS, RI | 939.91 ± 4.51 b | 318.63 ± 26.05 c | 1073.64 ± 22.23 a |
| #37 | Nonanal | 124-19-6 | 24.465 | 1103 | 1102 | MS, RI | 489.33 ± 39.91 a | 425.35 ± 5.87 b | 461.09 ± 33.96 ab |
| #38 | Isophorone | 78-59-1 | 25.392 | 1119 | 1118 | MS, RI | 23.62 ± 1.28 b | 38.18 ± 3.12 a | 42.16 ± 9.23 a |
| #39 | Caprylic acid methyl ester | 111-11-5 | 25.941 | 1128 | 1120 | MS, RI | 17.07 ± 1.98 | n.d. | n.d. |
| #40 | (E,E)-Alloocimene | 3016-19-1 | 26.115 | 1132 | 1140 | MS, RI | 62.49 ± 6.79 a | 37.13 ± 5.51 b | n.d. |
| #41 | (E)-3-Nonen-2-one | 18402-83-0 | 26.709 | 1142 | n.f. | MS | 46.91 ± 2.85 a | 46.19 ± 13.26 a | 20.47 ± 5.08 b |
| #42 | 2,6,6-Trimethyl-2-cyclohexene-1, 4-dione | 1125-21-9 | 26.967 | 1146 | 1139 | MS, RI | 68.98 ± 5.33 a | 28.07 ± 4.49 b | 33.00 ± 6.03 b |
| #43 | 1,2-Dimethoxybenzene | 91-16-7 | 27.074 | 1148 | 1148 | MS, RI | 74.81 ± 2.36 b | 115.53 ± 10.95 a | n.d. |
| #44 | 3,5-Dimethylphenol | 108-68-9 | 27.227 | 1151 | 1169 | MS, RI | 38.63 ± 1.60 | n.d. | n.d. |
| #45 | 4-(5-Methyl-2-furyl)butan-2-one | 13679-56-6 | 27.344 | 1153 | n.f. | MS | 180.87 ± 3.95 b | 243.6 ± 14.08 a | 103.1 ± 19.15 c |
| #46 | (2E,6Z)-2,6-Dodecadienal | 21662-13-5 | 27.495 | 1156 | 1159 | MS, RI | 68.12 ± 8.32 a | 37.77 ± 3.27 b | n.d. |
| #47 | (E)-2-Nonenal | 18829-56-6 | 27.902 | 1163 | 1166 | MS, RI | 70.57 ± 8.33 a | 87.05 ± 11.76 a | 62.19 ± 17.61 a |
| #48 | Benzyl acetate | 140-11-4 | 27.977 | 1164 | 1170 | MS, RI | 59.23 ± 3.92 | n.d. | n.d. |
| #49 | 4-Ethylphenol | 123-07-9 | 28.214 | 1168 | 1168 | MS, RI | 76.40 ± 2.37 | n.d. | n.d. |
| #50 | (E)-Linalool oxide (Pyran type) | 14049-11-7 | 28.351 | 1171 | 1173 | MS, RI | 248.83 ± 12.67 a | 74.68 ± 13.45 c | 122.94 ± 10.50 b |
| #51 | (Z)-Linalool oxide (Pyran type) | 39028-58-5 | 28.623 | 1175 | 1179 | MS, RI | 746.95 ± 34.20 a | 300.15 ± 47.15 b | 371.54 ± 24.20 b |
| #52 | 4-Terpineol | 562-74-3 | 28.816 | 1179 | 1179 | MS, RI | 452.31 ± 40.24 c | 647.01 ± 33.61 b | 765.63 ± 29.31 a |
| #53 | 4-Methylacetophenone | 122-00-9 | 29.023 | 1182 | 1183 | MS, RI | 77.62 ± 2.19 a | 47.41 ± 1.92 b | 44.35 ± 10.13 b |
| #54 | p-Cymen-8-ol | 1197-01-9 | 29.186 | 1185 | 1184 | MS, RI | 135.64 ± 0.89 a | 76.38 ± 6.29 b | n.d. |
| #55 | Methyl salicylate | 119-36-8 | 29.319 | 1187 | 1190 | MS, RI | 443.01 ± 28.76 a | 78.90 ± 6.70 c | 153.48 ± 12.78 b |
| #56 | (R)-(+)-α-Terpineol | 7785-53-7 | 29.563 | 1192 | 1195 | MS, RI | 1959.08 ± 139.25 c | 3080.27 ± 212.35 b | 3610.74 ± 150.39 a |
| #57 | Safranal | 116-26-7 | 29.684 | 1194 | 1221 | MS, RI | 398.54 ± 24.01 a | 259.84 ± 38.55 b | 306.08 ± 15.23 b |
| #58 | Decyl aldehyde | 112-31-2 | 30.166 | 1203 | 1207 | MS, RI | 233.90 ± 10.89 b | 286.21 ± 10.84 b | 398.55 ± 30.15 a |
| #59 | 3,5-Dimethylbenzaldehyde | 5779-95-3 | 30.398 | 1209 | 1169 | MS | 32.30 ± 2.19 b | 55.18 ± 3.41 a | n.d. |
| #60 | β-Cyclocitral | 432-25-7 | 30.57 | 1214 | 1224 | MS, RI | 310.10 ± 0.35 a | 160.3 ± 27.82 b | 22.28 ± 5.20 c |
| #61 | Nerol | 106-25-2 | 30.902 | 1222 | 1228 | MS, RI | 207.45 ± 6.97 a | 193.13 ± 25.46 a | 197.60 ± 10.69 a |
| #62 | 3,4-Dimethoxytoluene | 494-99-5 | 31.46 | 1237 | 1230 | MS, RI | 167.26 ± 3.32 a | 72.79 ± 17.33 b | n.d. |
| #63 | (E)-Thujone | 471-15-8 | 31.68 | 1242 | 1115 | MS | n.d. | 49.74 ± 4.15 b | 66.16 ± 9.33 a |
| #64 | Geraniol | 106-24-1 | 31.966 | 1250 | 1277 | MS, RI | 458.96 ± 47.65 c | 176.49 ± 20.43 b | 607.89 ± 35.27 a |
| #65 | (E)-2-Decenal | 3913-81-3 | 32.403 | 1261 | 1263 | MS, RI | n.d. | n.d. | 147.32 ± 27.53 |
| #66 | Citral | 5392-40-5 | 32.608 | 1266 | n.f. | MS | n.d. | n.d. | 60.68 ± 15.21 |
| #67 | 4-Ethyl-2-methoxyphenol | 2785-89-9 | 32.778 | 1271 | 1282 | MS | 297.02 ± 3.90 | n.d. | n.d. |
| #68 | 1-Methylnaphthalene | 90-12-0 | 33.534 | 1290 | 1297 | MS, RI | 40.27 ± 3.17 b | n.d. | 54.62 ± 8.66 a |
| #69 | 2-Undecanone | 112-12-9 | 33.587 | 1292 | 1291 | MS, RI | 46.74 ± 2.08 a | 50.7 ± 5.64 a | n.d. |
| #70 | (E,Z)-2,4-Decadienal | 25152-83-4 | 33.643 | 1293 | 1293 | MS, RI | 17.28 ± 2.71 b | 67.21 ± 1.37 a | n.d. |
| #71 | Isopropyl salicylate | 607-85-2 | 33.874 | 1299 | n.f. | MS | n.d. | 685.67 ± 24.29 | n.d. |
| #72 | 1,2,3-Trimethoxybenzene | 634-36-6 | 34.069 | 1305 | 1309 | MS, RI | 70.99 ± 6.01 b | 113.59 ± 8.89 a | n.d. |
| #73 | Theaspirane | 36431-72-8 | 34.197 | 1309 | 1298 | MS | 82.80 ± 12.95 c | 176.02 ± 18.47 a | 119.21 ± 14.72 b |
| #74 | 4-Ethyl-1,2-dimethoxybenzene | 5888-51-7 | 34.465 | 1318 | n.f. | MS | 107.06 ± 4.43 a | 76.95 ± 9.87 b | 47.13 ± 12.86 c |
| #75 | 3-Nonen-2-one | 14309-57-0 | 35.067 | 1337 | 1135 | MS, RI | 46.69 ± 4.70 a | 27.57 ± 1.64 b | n.d. |
| #76 | Dehydro-ar-ionene | 30364-38-6 | 35.492 | 1350 | 1355 | MS, RI | n.d. | 117.04 ± 15.08 | n.d. |
| #77 | γ-Nonalactone | 104-61-0 | 35.687 | 1357 | 1358 | MS, RI | 46.09 ± 0.79 a | 50.23 ± 17.9 a | n.d. |
| #78 | 2-Undecenal | 2463-77-6 | 35.862 | 1362 | 1376 | MS, RI | 63.19 ± 10.37 a | n.d. | 32.16 ± 3.57 b |
| #79 | β-Damascenone | 23726-93-4 | 36.273 | 1375 | 1384 | MS | 178.17 ± 13.77 a | 115.38 ± 9.11 b | 25.19 ± 4.70 c |
| #80 | (Z)-Jasmone | 488-10-8 | 36.697 | 1389 | 1396 | MS, RI | 81.79 ± 3.26 b | 68.38 ± 17.05 b | 173.82 ± 23.08 a |
| #81 | 6,10-Dimethyl-2-undecanone | 1604-34-8 | 37.01 | 1399 | n.f. | MS | 62.59 ± 12.61 | n.d. | n.d. |
| #82 | Dodecanal | 112-54-9 | 37.21 | 1405 | 1409 | MS, RI | 33.53 ± 1.02 | n.d. | n.d. |
| #83 | Dihydro-α-ionone | 31499-72-6 | 37.278 | 1408 | 1406 | MS, RI | 39.26 ± 3.80 b | 88.02 ± 1.21 a | n.d. |
| #84 | α-Ionone | 127-41-3 | 37.544 | 1417 | 1456 | MS | 576.76 ± 36.05 a | 427.36 ± 20.75 b | 256.29 ± 38.25 c |
| #85 | Dihydro-β-ionone | 17283-81-7 | 37.852 | 1427 | 1433 | MS, RI | n.d. | 175.77 ± 19.80 | n.d. |
| #86 | 4-(2,2-Dimethyl-6-methylenecyclohexyl)butan-2-one | 13720-12-2 | 37.92 | 1429 | n.f. | MS | 135.63 ± 15.20 a | n.d. | 60.65 ± 6.07 b |
| #87 | 6,10-Dimethyl-5,9-undecadien-2-one | 689-67-8 | 38.272 | 1441 | 1460 | MS | 480.24 ± 4.95 a | 260.63 ± 6.19 b | 272.99 ± 18.00 b |
| #88 | Caryophyllene | 87-44-5 | 38.417 | 1446 | 1418 | MS | 173.49 ± 28.06 b | 40.21 ± 14.49 c | 231.13 ± 15.42 a |
| #89 | 2,6-Di(tert-butyl)-4-hydroxy-4-methyl-2,5-cyclohexadien-1-one | 10396-80-2 | 38.569 | 1451 | 1478 | MS | 24.53 ± 3.79 a | n.d. | 20.04 ± 6.35 a |
| #90 | (−)-Alloaromadendrenepurum | 25246-27-9 | 38.651 | 1454 | 1460 | MS, RI | n.d. | 76.33 ± 10.90 a | 52.49 ± 7.40 b |
| #91 | 4-Tert-butyl phenylacetone | 81561-77-5 | 39.14 | 1471 | n.f. | MS | 223.22 ± 5.74 b | 173.71 ± 9.07 c | 264.15 ± 29.83 a |
| #92 | β-Ionone | 79-77-6 | 39.218 | 1473 | 1477 | MS, RI | 773.22 ± 30.16 a | 605.41 ± 22.53 c | 689.88 ± 19.29 b |
| #93 | 5,6-Epoxy-β-ionone | 23267-57-4 | 39.326 | 1477 | 1455 | MS | 292.98 ± 15.55 a | 231.77 ± 22.46 b | 236.95 ± 15.66 b |
| #94 | β-Cedrene | 546-28-1 | 39.664 | 1488 | 1418 | MS | n.d. | 633.81 ± 8.90 | n.d. |
| #95 | 1,5-Cyclodecadiene, 1,5-dimethyl | 15423-57-1 | 39.86 | 1495 | 1555 | MS | 42.96 ± 6.29 a | n.d. | 40.74 ± 9.13 a |
| #96 | 2,4-Ditert-butylphenol | 96-76-4 | 40.045 | 1501 | 1512 | MS, RI | 496.77 ± 46.72 a | 420.35 ± 22.51 b | 555.81 ± 19.76 a |
| #97 | (Z)-Calamenene | 483-77-2 | 40.687 | 1523 | 1557 | MS, RI | n.d. | 238.64 ± 26.56 | n.d. |
| #98 | Dihydroactinidiolide | 17092-92-1 | 40.732 | 1524 | 1493 | MS | 442.51 ± 17.6 b | 741.08 ± 44.27 a | 236.39 ± 10.27 c |
| #99 | Nerolidol | 40716-66-3 | 41.796 | 1560 | 1564 | MS, RI | 71.94 ± 15.49 a | 25.78 ± 0.74 b | n.d. |
| #100 | Spathulenol | 6750-60-3 | 42.277 | 1576 | 1578 | MS, RI | 22.13 ± 2.09 b | 90.98 ± 10.10 a | n.d. |
| #101 | 2,2,4-Trimethylpentanediol-1,3-diisobutyrate | 6846-50-0 | 42.469 | 1583 | 1588 | MS, RI | 60.86 ± 7.74 a | 74.44 ± 2.36 a | 70.32 ± 18.72 a |
| #102 | Caryophyllene oxide | 1139-30-6 | 42.994 | 1600 | 1583 | MS | 32.70 ± 6.02 a | n.d. | 29.05 ± 7.06 a |
| #103 | Cedrol | 77-53-2 | 43.173 | 1607 | 1601 | MS, RI | 44.11 ± 9.07 c | 272.82 ± 13.70 a | 137.99 ± 4.12 b |
| #104 | Tridecane aldehyde | 10486-19-8 | 43.376 | 1614 | 1518 | MS | 25.49 ± 6.28 b | 76.41 ± 10.02 a | n.d. |
| #105 | Epiglobulol | 88728-58-9 | 44.144 | 1641 | 1564 | MS | 44.77 ± 7.36 | n.d. | n.d. |
| #106 | α-Cadinol | 481-34-5 | 44.193 | 1643 | 1652 | MS, RI | 27.04 ± 4.10 a | n.d. | 42.89 ± 13.72 a |
| #107 | Isopropyl myristate | 110-27-0 | 49.027 | 1822 | 1812 | MS, RI | 29.76 ± 3.21 a | 36.24 ± 1.03 a | 24.35 ± 10.23 a |
| #108 | Hexahydrofarnesyl acetone | 502-69-2 | 49.394 | 1840 | 1801 | MS | 111.98 ± 26.49 b | 388.84 ± 30.93 a | 100.39 ± 4.34 b |
| #109 | Diisobutyl phthalate | 84-69-5 | 49.739 | 1856 | n.f. | MS | 29.34 ± 2.32 a | n.d. | 25.21 ± 0.67 b |
| #110 | Dibutyl phthalate | 84-74-2 | 51.419 | 1951 | n.f. | MS | n.d. | 54.95 ± 5.88 a | 25.21 ± 4.37 b |
| #111 | (Z)-7-Hexadecenal | 56797-40-1 | 51.758 | 1972 | 1798 | MS | 17.16 ± 1.67 b | 92.90 ± 4.58 a | 10.68 ± 3.01 b |
| #112 | Phytol | 150-86-7 | 53.534 | 2104 | 2096 | MS, RI | 6.47 ± 2.44 b | 57.82 ± 0.79 a | 6.63 ± 1.41 b |
| Compounds a | Content b | VIP | ||
|---|---|---|---|---|
| SG | 1G | 2G | ||
| Water extract (%) | 41.26 ± 0.06 a | 39.38 ± 0.69 ab | 37.99 ± 2.13 b | 0.8091 |
| Tea polyphenols (%) | 19.07 ± 0.70 a | 19.32 ± 1.23 a | 17.56 ± 1.43 a | 0.7911 |
| Soluble sugars (%) | 3.86 ± 0.13 a | 4.22 ± 0.02 a | 4.30 ± 0.36 a | 0.7719 |
| CAF (mg/g) | 44.59 ± 1.62 a | 47.29 ± 2.00 a | 46.85 ± 3.25 a | 0.7079 |
| C (mg/g) | 7.11 ± 0.28 a | 5.27 ± 0.22 b | 6.77 ± 0.43 a | 1.3715 |
| CG (mg/g) | 0.86 ± 0.08 b | 0.93 ± 0.05 b | 1.20 ± 0.05 a | 1.0486 |
| EC (mg/g) | 11.26 ± 0.36 a | 9.76 ± 0.22 b | 10.34 ± 0.83 ab | 1.0583 |
| ECG (mg/g) | 34.65 ± 1.72 a | 34.51 ± 1.45 a | 33.89 ± 3.87 a | 0.3467 |
| EGC (mg/g) | 36.76 ± 1.40 a | 28.74 ± 1.67 b | 30.01 ± 2.77 b | 1.0816 |
| EGCG (mg/g) | 52.71 ± 2.78 a | 50.30 ± 2.69 a | 39.93 ± 2.94 b | 1.0082 |
| GC (mg/g) | 24.66 ± 1.34 b | 32.42 ± 0.56 a | 29.51 ± 2.78 a | 1.1897 |
| GCG (mg/g) | 1.01 ± 0.56 a | 0.73 ± 0.03 a | 1.00 ± 0.09 a | 0.7236 |
| Non-galloylated catechins (mg/g) | 79.80 ± 3.38 a | 76.21 ± 2.50 a | 76.64 ± 5.15 a | 0.6016 |
| Ester catechins (mg/g) | 89.23 ± 4.09 a | 86.47 ± 4.14 a | 76.02 ± 6.81 b | 0.8797 |
| Total catechins (mg/g) | 169.03 ± 7.46 a | 162.68 ± 6.59 a | 152.66 ± 11.75 a | 0.7298 |
| GA (mg/g) | 2.50 ± 0.08 c | 3.74 ± 0.07 a | 3.22 ± 0.17 b | 1.3017 |
| Ala (mg/g) | 0.42 ± 0.01 a | 0.42 ± 0.01 a | 0.41 ± 0.00 a | 0.6313 |
| Arg (mg/g) | 0.40 ± 0.01 b | 0.55 ± 0.01 a | 0.38 ± 0.01 b | 1.4461 |
| Asn (mg/g) | 1.77 ± 0.01 a | 1.50 ± 0.00 c | 1.65 ± 0.02 b | 1.3649 |
| Asp (mg/g) | 0.22 ± 0.02 a | 0.19 ± 0.05 a | 0.17 ± 0.04 a | 0.5558 |
| Cys (mg/g) | 0.59 ± 0.03 b | 0.73 ± 0.15 ab | 0.80 ± 0.05 a | 0.7922 |
| GABA (mg/g) | 0.22 ± 0.00 b | 0.56 ± 0.08 a | 0.18 ± 0.02 b | 1.4196 |
| Gln (mg/g) | 1.61 ± 0.11 a | 1.48 ± 0.11 a | 1.22 ± 0.08 b | 0.9386 |
| Glu (mg/g) | 0.55 ± 0.01 a | 0.37 ± 0.02 b | 0.41 ± 0.04 b | 1.1778 |
| His (mg/g) | 0.47 ± 0.01 a | 0.42 ± 0.01 b | 0.38 ± 0.02 c | 0.9745 |
| Ile (mg/g) | 0.32 ± 0.01 b | 0.34 ± 0.01 b | 0.39 ± 0.02 a | 1.0221 |
| Leu (mg/g) | 0.40 ± 0.00 b | 0.42 ± 0.01 a | 0.35 ± 0.02 c | 1.2514 |
| Lys (mg/g) | 4.87 ± 0.11 a | 4.83 ± 0.31 a | 4.94 ± 0.25 a | 0.3314 |
| Phe (mg/g) | 0.20 ± 0.01 b | 0.23 ± 0.00 a | 0.17 ± 0.01 c | 1.3057 |
| Pro (mg/g) | 0.67 ± 0.00 a | 0.67 ± 0.00 a | 0.66 ± 0.00 b | 1.0283 |
| Ser (mg/g) | 0.04 ± 0.00 b | 0.030 ± 0.02 b | 0.08 ± 0.00 a | 1.134 |
| Thea (mg/g) | 6.56 ± 0.11 a | 5.89 ± 0.09 b | 5.83 ± 0.18 b | 1.0518 |
| Thr (mg/g) | 0.43 ± 0.02 a | 0.38 ± 0.01 b | 0.36 ± 0.01 c | 0.9929 |
| Trp (mg/g) | 1.60 ± 0.06 a | 1.66 ± 0.02 a | 1.47 ± 0.07 b | 1.1316 |
| Tyr (mg/g) | 0.59 ± 0.02 a | 0.57 ± 0.00 b | 0.55 ± 0.01 c | 0.9596 |
| Val (mg/g) | 0.48 ± 0.01 b | 0.47 ± 0.02 b | 0.54 ± 0.02 a | 1.1135 |
| Total free amino acids (mg/g) | 22.42 ± 0.31 a | 21.70 ± 0.71 ab | 20.93 ± 0.10 b | 0.8744 |
| Kae (mg/g) | 0.0012 ± 0.0001 b | 0.0010 ± 0.0001 b | 0.0015 ± 0.0001 a | 1.1929 |
| Kae-gluc (mg/g) | 0.0307 ± 0.0040 b | 0.0376 ± 0.0007 a | 0.0381 ± 0.0004 a | 0.9706 |
| Kae-rut (mg/g) | 0.0670 ± 0.0084 a | 0.0753 ± 0.0020 a | 0.0768 ± 0.0011 a | 0.8163 |
| Myr (mg/g) | 0.0010 ± 0.0002 a | 0.0012 ± 0.0006 a | 0.0009 ± 0.0001 a | 0.5697 |
| Myr-rha (mg/g) | 0.0124 ± 0.0021 c | 0.0160 ± 0.0003 b | 0.0188 ± 0.0004 a | 0.9507 |
| Que (mg/g) | 0.0010 ± 0.0003 b | 0.0004 ± 0.0002 c | 0.0020 ± 0.0001 a | 1.2478 |
| Que-gala (mg/g) | 0.0180 ± 0.0028 c | 0.0217 ± 0.0009 b | 0.0253 ± 0.0004 a | 0.922 |
| Que-glu (mg/g) | 0.0841 ± 0.0123 b | 0.1074 ± 0.0024 a | 0.1117 ± 0.0015 a | 0.9722 |
| Que-rut (mg/g) | 0.1048 ± 0.0121 b | 0.1258 ± 0.0036 a | 0.1228 ± 0.0018 a | 1.0088 |
| Vit (mg/g) | 0.0036 ± 0.0010 b | 0.0072 ± 0.0003 b | 0.0137 ± 0.0031 a | 0.9739 |
| Vit-rha (mg/g) | 0.0166 ± 0.0011 b | 0.0185 ± 0.0005 a | 0.0191 ± 0.0003 a | 0.931 |
| Total flavones and flavonol glycosides (mg/g) | 0.3404 ± 0.0442 b | 0.4120 ± 0.0091 a | 0.4308 ± 0.0055 a | 0.9382 |
Disclaimer/Publisher’s Note: The statements, opinions and data contained in all publications are solely those of the individual author(s) and contributor(s) and not of MDPI and/or the editor(s). MDPI and/or the editor(s) disclaim responsibility for any injury to people or property resulting from any ideas, methods, instructions or products referred to in the content. |
© 2024 by the authors. Licensee MDPI, Basel, Switzerland. This article is an open access article distributed under the terms and conditions of the Creative Commons Attribution (CC BY) license (https://creativecommons.org/licenses/by/4.0/).
Share and Cite
Miao, Y.; Wang, L.; Bai, F.; Zheng, S.; Yan, J.; Wei, H.; Meng, Q.; Tong, H. Evaluation of Chongqing Tuo Tea at Different Grades: An Integrated Approach by Artificial and Intelligent Sensory, Non-Volatile, and Volatile Compounds Analysis. Foods 2024, 13, 865. https://doi.org/10.3390/foods13060865
Miao Y, Wang L, Bai F, Zheng S, Yan J, Wei H, Meng Q, Tong H. Evaluation of Chongqing Tuo Tea at Different Grades: An Integrated Approach by Artificial and Intelligent Sensory, Non-Volatile, and Volatile Compounds Analysis. Foods. 2024; 13(6):865. https://doi.org/10.3390/foods13060865
Chicago/Turabian StyleMiao, Yiwen, Lilei Wang, Fei Bai, Shuting Zheng, Jingna Yan, Hao Wei, Qing Meng, and Huarong Tong. 2024. "Evaluation of Chongqing Tuo Tea at Different Grades: An Integrated Approach by Artificial and Intelligent Sensory, Non-Volatile, and Volatile Compounds Analysis" Foods 13, no. 6: 865. https://doi.org/10.3390/foods13060865
APA StyleMiao, Y., Wang, L., Bai, F., Zheng, S., Yan, J., Wei, H., Meng, Q., & Tong, H. (2024). Evaluation of Chongqing Tuo Tea at Different Grades: An Integrated Approach by Artificial and Intelligent Sensory, Non-Volatile, and Volatile Compounds Analysis. Foods, 13(6), 865. https://doi.org/10.3390/foods13060865

