Do You Know What You Drink? Comparative Research on the Contents of Radioisotopes and Heavy Metals in Different Types of Tea from Various Parts of the World
Abstract
1. Introduction
2. Materials and Methods
2.1. Samples Preparation
2.2. Radionuclide Determination in Tea Samples
2.3. Elemental Analysis of Tea Samples
2.3.1. Sam
2.3.2. Microelement Determination
2.3.3. Consumption Risk Assessment Calculations
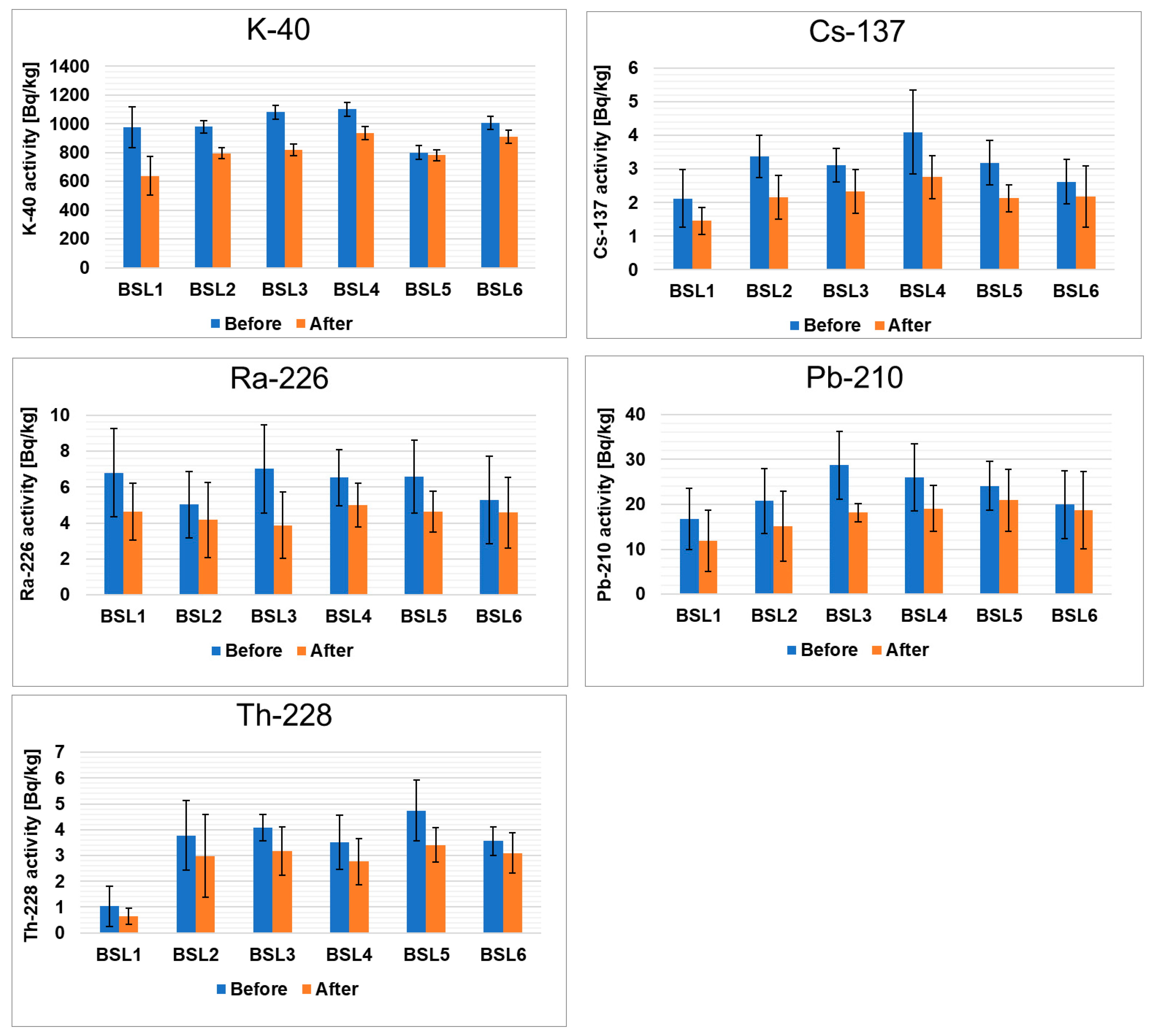
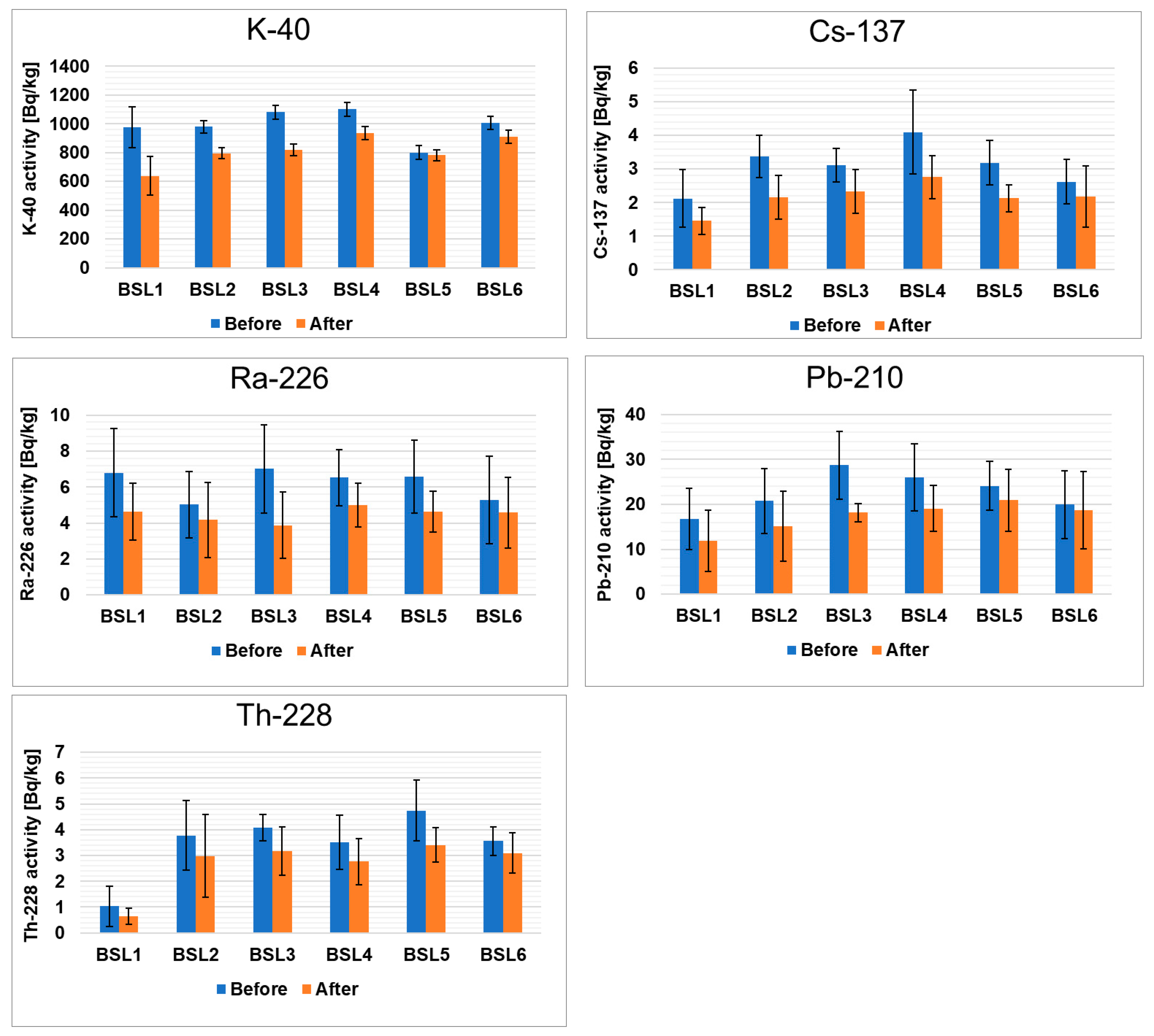
3. Results and Discussion
Consumption Risk Assessment
4. Conclusions
Supplementary Materials
Author Contributions
Funding
Institutional Review Board Statement
Informed Consent Statement
Data Availability Statement
Acknowledgments
Conflicts of Interest
References
- Novotny, J.A.; Baer, D.J. Encyclopedia of Human Nutrition, 3rd ed.; Caballero, B., Ed.; Academic Press: Cambridge, MA, USA, 2013; pp. 260–263. [Google Scholar] [CrossRef]
- Abbasi, E.; Yousefi, M.H.; Hashemi, S.; Hosseinzadeh, S.; Ghadimi, A.H.; Safapour, M.; Azari, A. Aflatoxin B1 and heavy metals in imported black tea to Bushehr, southern Iran; Contamination rate and risk assessment. J. Food Compost. Anal. 2022, 106, 104277. [Google Scholar] [CrossRef]
- Baruwa, D. Science and Practice in Tea Culture, 2nd ed.; Tea Research Association: Calcutta, India, 2008. [Google Scholar]
- Cabrera, C.; Artacho, R.; Gimenez, R. Beneficial effects of green tea—A review. J. Am. College Nutr. 2006, 25, 79–99. [Google Scholar] [CrossRef] [PubMed]
- Girolametti, F.; Annibaldi, A.; Illuminati, S.; Damiani, E.; Carloni, P.; Truzzi, C. Essential and potentially toxic elements (PTEs) content in European tea (Camellia sinensis) leaves: Risk assessment for consumers. Molecules 2023, 28, 3802. [Google Scholar] [CrossRef] [PubMed]
- Wu, C.D.; Wei, G. Tea as a functional food for oral health. Food Const. Oral Health. 2009, 19, 396–417. [Google Scholar] [CrossRef]
- Mukhtar, H.; Ahmad, D. Tea polyphenols: Prevention of cancer and optimizing health. Am. J. Clin. 2000, 71, 1698S–1702S. [Google Scholar] [CrossRef]
- Sang, S. Encyclopedia of Food and Health. Tea: Chemistry and Processing; Caballero, B., Finglas, P.M., Toldrá, F., Eds.; Academic Press: Cambridge, MA, USA, 2016; pp. 268–272. [Google Scholar] [CrossRef]
- Salahinejad, M.; Aflaki, F. Toxic and essential mineral elements content of black tea leaves and their tea infusions consumed in Iran. Biol. Trace Elem. Res. 2010, 134, 109–117. [Google Scholar] [CrossRef] [PubMed]
- Graham, H.N. Green tea composition, consumption, and polyphenol chemistry. Prev. Med. 1992, 21, 334–350. [Google Scholar] [CrossRef]
- Jurowski, K.; Kondratowicz-Pietruszka, E.; Krośniak, M. The control and comprehensive safety assessment of heavy metal impurities (As, Pb, and Cd) in green tea Camellia sinensis (L.) samples (Infusions) available in Poland. Biol. Trace Elem. Res. 2024, 202, 387–396. [Google Scholar] [CrossRef]
- Nasri, F.; Amini, N.; Mohammadi, P. Evaluating the arsenic, cadmium, lead, and copper levels in certain imported tea samples consumed in Iran. J. Adv. Environ. Health Res. 2017, 5, 241–245. [Google Scholar] [CrossRef]
- Farzaneh, V.; Carvalho, I.S. A review of the health benefit potentials of herbal plant infusions and their mechanism of actions. Ind. Crop. Prod. 2015, 65, 247–258. [Google Scholar] [CrossRef]
- Fung, K.F.; Wong, M.H. Effects of soil pH on the uptake of Al, F and other elements by tea plants. J. Sci. Food Agric. 2002, 82, 146–152. [Google Scholar] [CrossRef]
- De Oliveira, L.M.; Das, S.; da Silva, E.B.; Gao, P. Metal concentrations in traditional and herbal teas and their potential risks to human health. Sci. Total Environ. 2018, 633, 649–657. [Google Scholar] [CrossRef]
- Karak, T.; Bora, K.; Paul, R.K.; Das, S.; Puja, K.; Dutta, A.K.; Boruah, R.K. Paradigm shift of contamination risk of six heavy metals in tea (Camellia sinensis L.) growing soil: A new approach influenced by inorganic and organic amendments. J. Hazard. Mater. 2017, 338, 250–264. [Google Scholar] [CrossRef]
- Zhang, J.; Yang, R.; Li, Y.C.; Peng, Y.; Wen, X.; Ni, X. Distribution, accumulation, and potential risks of heavy metals in soil and tea leaves from geologically different plantations. Ecotoxicol. Environ. Saf. 2020, 195, 110475. [Google Scholar] [CrossRef]
- Elafify, M.; EL-Toukhy, M.; Sallam, K.I.; Sadoma, N.M.; Abd-Elghany, S.M.; Abdelkhalek, A.; El-Baz, A.H. Heavy metal residues in milk and some dairy products with insight into their health risk assessment and the role of Lactobacillus rhamnosus in reducing the lead and cadmium load in cheese. Food Chem. Adv. 2023, 2, 100261. [Google Scholar] [CrossRef]
- Várady, M.; Boržíková, J.; Popelka, P. Effect of processing method (natural, washed, honey, fermentation, maceration) on the availability of heavy metals in specialty coffee. Heliyon 2024, 10, e25563. [Google Scholar] [CrossRef]
- Amorello, D.; Barreca, S.; Gulli, E.; Orecchio, S. Platinum and rhodium in wine samples by using voltammetric techniques. Microchem. J. 2017, 130, 229–235. [Google Scholar] [CrossRef]
- Kosalec, I.; Cvek, J.; Tomić, S. Contaminants of medicinal herbs and herbal products. Arh. Hig. Rada Toksikol. 2009, 60, 485–501. [Google Scholar] [CrossRef] [PubMed]
- Orecchio, S.; Amorello, D.; Barreca, S., II. Wood pellets for home heating can be considered environmentally friendly fuels? Heavy metals determination by inductively coupled plasma-optical emission spectrometry (ICP-OES) in their ashes and the health risk assessment for the operators. Microchem. J. 2016, 127, 178–183. [Google Scholar] [CrossRef]
- Ju, Y.; Luo, Z.; Bi, J.; Liu, C.; Liu, X. Transfer of heavy metals from soil to tea and the potential human health risk in a regional high geochemical background area in southwest China. Sci. Total Environ. 2024, 908, 168122. [Google Scholar] [CrossRef] [PubMed]
- Fung, K.F.; Zhang, Z.Q.; Wong, J.W.; Wong, M.H. Aluminum and fluoride concentrations of three tea varieties growing at Lantau Island, Hong Kong. Environ. Geochem. Health 2003, 25, 219–232. [Google Scholar] [CrossRef] [PubMed]
- Tao, C.; Song, Y.; Chen, Z.; Zhao, W.; Ji, J.; Shen, N.; Ayoko, G.A.; Frost, R.L. Geological load and health risk of heavy metals uptake by tea from soil: What are the significant influencing factors? Catena 2021, 204, 105419. [Google Scholar] [CrossRef]
- Chen, Y.; Yu, M.; Xu, J.; Chen, X.; Shi, J. Differentiation of eight tea (Camellia sinensis) cultivars in China by elemental fingerprint of their leaves. J. Sci. Food Agric. 2009, 89, 2350–2355. [Google Scholar] [CrossRef]
- Yemane, M.; Chandravanshi, B.S.; Wondimu, T. Levels of essential and non-essential metals in leaves of the tea plant (Camellia sinensis L.) and soil of Wushwush farms, Ethiopia. Food Chem. 2008, 107, 1236–1243. [Google Scholar] [CrossRef]
- Malik, J.; Szakova, J.; Drabek, O.; Balik, J.; Kokoska, L. Determination of certain micro and macroelements in plant stimulants and their infusions. Food Chem. 2008, 111, 520–525. [Google Scholar] [CrossRef]
- Schmite, B.; Bitobrovec, A.; Hacke, A.; Pereira, R.P.; Weinert, P.L.; Dos Anjos, V.E. In vitro bioaccessibility of Al, Cu, Cd, and Pb following simulated gastro-intestinal digestion and total content of these metals in different Brazilian brands of yerba mate tea. Food Chem. 2019, 281, 285–293. [Google Scholar] [CrossRef]
- Schulzki, G.; Nüßlein, B.; Sievers, H. Transition rates of selected metals determined in various types of teas (Camellia sinensis L. Kuntze) and herbal/fruit infusions. Food Chem. 2017, 215, 22–30. [Google Scholar] [CrossRef]
- UNSCEAR (United National Scientific Committee on the Effects of Atomic Radiation). Sources, Effects and Risks of Ionizing Radiation; Report to the General Assembly with Annexes; United Nations Publication: New York, NY, USA, 2000. [Google Scholar]
- Lopes, J.M.; Garcez, R.W.D.; Filgueiras, R.A.; Silva, A.X.; Braz, D. Committed effective dose due to the intake of 40K, 226Ra, 228Ra and 228Th contained in foods included in the diet of the Rio de Janeiro city population. Brazil. Radiat. Prot. Dosim. 2018, 178, 149–155. [Google Scholar] [CrossRef]
- Cook, M.C.; Stukel, M.J.; Zhang, W.; Mercier, J.-F.; Cooke, M.W. The determination of Fukushima-derived cesium-134 and cesium-137 in Japanese green tea samples and their distribution subsequent to simulated beverage preparation. J. Environ. Radioact. 2016, 153, 23–30. [Google Scholar] [CrossRef]
- Brodziak-Dopierała, B.; Fischer, A. Analysis of mercury content in various types of tea (Camellia sinensis) and Yerba Mate (Ilex paraguariensis). Int. J. Environ. Res. Public Health 2022, 19, 5491. [Google Scholar] [CrossRef] [PubMed]
- USEPA. Risk Assessment Guidance for Superfund, Human Health, Evaluation Manual. EPA/540/1-89/002; Office of Emergency and Remedial Response: Washington, DC, USA, 1989. [Google Scholar]
- Krstić, M.; Stupar, M.; Đukić-Ćosić, D.; Baralić, K.; Đogo Mračević, S. Health risk assessment of toxic metals and toxigenic fungi in commercial herbal tea samples from Belgrade, Serbia. J. Food Compos. Anal. 2021, 104, 104159. [Google Scholar] [CrossRef]
- Solecki, J.; Reszka, M.; Chibowski, S. 90 Sr and 137 Cs radioisotopes and heavy metal concentrations in pharmaceutical herbal plants from the Lublin (Poland) region. J. Radioanal. Nucl. Chem. 2003, 257, 261–265. [Google Scholar] [CrossRef]
- Potassiom-Chemical Element. Available online: https://www.britannica.com/science/potassium (accessed on 4 January 2024).
- Garcêz, R.W.D.; Ldpes, J.M.; Folgueoras, R.A.; da Solva, A.X. Study of K-40, Ra-226, Ra-228 and Ra-224 activity concentrations in some seasoning and nuts obtained in Rio de Janeiro city, Brazil. Food Sci. Technol. 2019, 39, 120–126. [Google Scholar] [CrossRef]
- Titus, A.; Pereira, G.N. Potassium Dynamics in Coffee Soils. 2016. Available online: https://ecofriendlycoffee.org/potassium-dynamics-coffee-soils/ (accessed on 8 January 2021).
- Absar, N.; Abedin, J.; Rahman, M.M.; Miah, M.M.H.; Siddique, N.; Kamal, M.; Chowdhury, M.I.; Sulieman, A.A.M.; Faruque, M.R.I.; Khandaker, M.U.; et al. Radionuclides transfer from soil to tea leaves and estimation of committed effective dose to the Bangladesh populace. Life 2021, 11, 282. [Google Scholar] [CrossRef] [PubMed]
- Duc, H.H.; Minh, N.D.; Cuong, P.V.; Anh, L.T.; Leuangtakoun, S.; Loat, B.V. Transfer of 238U and 232Th from soils to tea leaves on Luong My Farm, Hoa Binh Province, Vietnam, VNU. J. Sci. Math. Phys. 2019, 35, 106–115. [Google Scholar]
- Khandaker, M.U.; Uwatse, O.B.; Shamsul Khairi, K.A.; Faruque, M.R.I.; Bradley, D.A. Terrestrial radionuclides in surface (dam) water and concomitant dose in metropolitan Kuala Lumpur. Radiat. Prot. Dosim. 2019, 185, 343–350. [Google Scholar] [CrossRef]
- Zehringer, M.; Kammerer, F.; Wagmann, M. Radionuclides in tea and their behaviour in the brewing process. J. Environ. Radioact. 2018, 192, 75–80. [Google Scholar] [CrossRef]
- Godyń, P.; Zielińska, M.; Dołhańczuk-Śródka, A.; Ziembik, Z.; Majcherczyk, T. Study of the excessive Pb-210 content in soil. Ecol. Chem. Eng. A 2013, 20, 1317–1325. [Google Scholar] [CrossRef]
- Harb, S. Measurement of the radioactivity of 238 U, 226 Ra, 210 Pb, 228 Th, 232 Th, 228 Ra, 137 Cs and 40 K in tea using gamma-spectrometry. J. Radioanal. Nucl. Chem. 2007, 274, 63–66. [Google Scholar] [CrossRef]
- Jin, C.W.; He, Y.F.; Zhang, K.; Zhou, G.D.; Shi, J.L.; Zheng, S.J. Lead contamination in tea leaves and non-edaphic factors affecting it. Chemosphere 2005, 61, 726–732. [Google Scholar] [CrossRef]
- Safari Sinegani, A.A.; Araki, H.M. Changes in chemical forms of lead in temperate and semiarid soils in sterile and unsterile conditions. Environ. Chem. Lett. 2010, 8, 323–330. [Google Scholar] [CrossRef]
- Clark, J.S.; Patterson, W.A. Pollen, Pb-210, and opaque spherules; an integrated approach to dating and sedimentation in the itertidal environment. J. Sed. Res. 1984, 54, 1251–1265. [Google Scholar] [CrossRef]
- Andersen, A.J. Investigations on the Plant Uptake of Fission Products from Contaminated Soils. I. Influence of Plant Species and Soil Types on the Uptake of Radioactive Strontium and Caesium; Risø National Laboratory: Risø, Denmark, 1967. [Google Scholar]
- Girault, F.; Perrier, F.; Ourcival, J.-M.; Ferry, R.; Gaudemer, Y.; Bourges, F.; Didon-Lescot, J.-F. Substratum influences uptake of radium-226 by plants. Sci. Total Environ. 2021, 766, 142655. [Google Scholar] [CrossRef]
- Vasconcelos, C.; Pereira, C.; Oliveira, A.H.; Santos, T.O.; Reis, P.L.; Rocha, Z. Natural Radioactivity in Sand Beaches Of Guarapari, Espírito Santo State, Brazil —A Comparative Study. In Proceedings of the 2011 International Nuclear Atlantic Conference-INAC 2011, Belo Horizonte, MG, Brazil, 24–28 October 2011; Associação Brasileira De Energia Nuclear-Aben, Natural Radioactivity in Sand Beaches of Guarapari: Espírito Santo State, Brazil, 2011; ISBN 978-85-99141-04-5. [Google Scholar]
- Ammendola, S.; Scotto d’Abusco, A. Oxidative Stress, Senescence and Mediterranean Diet Effects on Osteoarthritis, 2nd ed.; Preedy, V.R., Patel, V.B., Eds.; Academic Press: Cambridge, MA, USA, 2020; pp. 73–81. [Google Scholar] [CrossRef]
- Disler, P.B.; Lynch, S.R.; Charlton, R.W.; Torrance, J.D.; Bothwell, T.H.; Walker, R.B.; Mayet, F. The effect of tea on iron absorption. Gut 1975, 16, 193–200. [Google Scholar] [CrossRef]
- Street, R.; Száková, J.; Drábek, O.; Mládková, L. The status of micronutrients (Cu, Fe, Mn, Zn) in tea and tea infusions in selected samples imported to the Czech Republic. Czech J. Food Sci. 2006, 24, 62–71. [Google Scholar] [CrossRef]
- Dasdemir, Y.; Findik, B.T.; Yildiz, H.; Birisci, E. Blueberry-added black tea: Effects of infusion temperature, drying method, fruit concentration on the iron-polyphenol complex formation, polyphenols profile, antioxidant activity, and sensory properties. Food Chem. 2023, 410, 135463. [Google Scholar] [CrossRef] [PubMed]
- Sullivan, K. Vitamins and Minerals: A Practical Approach to a Healthy Diet and Safe Supplementation; Harpers Collins: New York, NY, USA, 2002. [Google Scholar]
- Ebdon, L. (Ed.) Trace Element Speciation for Environment, Food and Health; Royal Society of Chemistry: London, UK, 2001. [Google Scholar]
- Yin, L.; Jayan, H.; Cai, J.; El-Seedi, H.R.; Guo, Z.; Zou, X. Development of a sensitive SERS method for label-free detection of hexavalent chromium in tea using carbimazole redox reaction. Foods 2023, 12, 2673. [Google Scholar] [CrossRef] [PubMed]
- Karak, T.; Bhagat, R.M. Trace elements in tea leaves, made tea and tea infusion: A review. Food Res. Int. 2010, 43, 2234–2252. [Google Scholar] [CrossRef]
- Braganca, V.L.C.; Melnikov, P.; Zanoni, L.Z. Trace elements indifferent brands of yerba mate tea. Biol. Trace Elem. Res. 2011, 144, 1197–1204. [Google Scholar] [CrossRef] [PubMed]
- Lovkova, M.Y.; Buzuk, G.N. Medicinal plants: Copper concentrators and superconcentrators and its role in the metabolism of these species. Appl. Biochem. Microbiol. 2011, 47, 189–195. [Google Scholar] [CrossRef]
- Ghaedi, M.; Shokrollahi, A.; Salimibeni, A.; Joybar, S.; Noshadi, S.; Mofazzal, F.; Khodadoust, S. Synthesis and characterization of 1-chloro-4-hydroxy-9H-thioxanthen-9-one and its efficient application as neutral carrier for preparation of new copper selective electrode. IEEE Sens. J. 2011, 11, 2129–2136. [Google Scholar] [CrossRef]
- Ansari, R.; Delavar, A.F.; Aliakbar, A.; Mohammad-khah, A. Solid-state Cu(II) ion-selective electrode based on polyaniline-conducting polymer film doped with copper carmoisine dye complex. J. Solid State Electrochem. 2012, 16, 869–875. [Google Scholar] [CrossRef]
- Saha, D.; Mandal, S.; Saha, A. Copper induced oxidative stress in tea (Camellia sinensis) leaves. J. Environ. Biol. 2012, 33, 861–866. [Google Scholar] [PubMed]
- Novotny, J.A. Molybdenum Nutriture in Humans. J. Evid. Based Complement. Altern. Med. 2011, 16, 164–168. [Google Scholar] [CrossRef]
- Vyskocil, A.; Viau, C. Assessment of molybdenum toxicity in humans. J. Appl. Toxicol. 1999, 19, 185–219. [Google Scholar] [CrossRef]
- Flaten, T.P. Aluminium in tea concentrations, speciation and bioavailability. Coord. Chem. Rev. 2002, 228, 385–395. [Google Scholar] [CrossRef]
- Basaran, B.; Abanoz, Y.Y.; Şenol, N.D.; Oral, Z.F.Y.; Öztürk, K.; Kaban, G. The levels of heavy metal, acrylamide, nitrate, nitrite, N-nitrosamine compounds in brewed black tea and health risk assessment: Türkiye. J. Food Compos. Anal. 2023, 120, 105285. [Google Scholar] [CrossRef]
- Konishi, S. Promotive effects of aluminium on tea plant growth. Jpn. Agric. Res. Q. 1992, 26, 26–33. [Google Scholar]
- Yang, H.; Chen, Y.; Shido, J.M.; Hamasaki, R.T.; Iwaoka, W.T.; Nakamoto, S.T.; Wang, H.; Li, Q.X. Potential health risk of aluminum in four Camellia sinensis cultivars and its content as a function of leaf position. Int. J. Environ. Res. Public Health 2022, 19, 11952. [Google Scholar] [CrossRef] [PubMed]
- Greger, J.L. Dietary standards for manganese: Overlap between nutritional and toxicological studies. J. Nutr. 1998, 128, 368S–371S. [Google Scholar] [CrossRef] [PubMed]
- Frausto da Silva, J.J.R.; Williams, R.J.P. The Biological Chemistry of the Elements. The Inorganic Chemistry of Life, 2nd ed.; Oxford University Press: New York, NY, USA, 2001; pp. 436–448. [Google Scholar]
- De Browere, K.; Buekers, J.; Cornelis, C.; Schlekat, C.E.; Oller, R. Assessment of indirect human exposure to environmental sources of nickel: Oral exposure and risk characterization for systemic effects. Sci. Total Environ. 2012, 419, 25–36. [Google Scholar] [CrossRef] [PubMed]
- Kalafova, A.; Kovacik, J.; Capcarova, M.; Lukac, N.; Chrenek, P.; Chrastinova, L.; Schneidgenova, M.; Cupka, P.; Jurcik, R.; Massanyi, P. The effect of single nickel and combined nickel and zinc peroral administration on growth, total protein and cholesterol concentrations in rabbit females. Slov. J. Anim. Sci. 2008, 41, 179–183. [Google Scholar]
- Salehi, S.Y.; Hajiboland, R. A high internal phosphorus use efficiency in tea (Camellia sinensis L.) plants. Asian J. Plant Sci. 2008, 7, 30–36. [Google Scholar] [CrossRef]
- Hajiboland, R.; Salehi, S.Y. Remobilization of phosphorus in tea plants. J. Plant Nutr. 2014, 37, 1522–1533. [Google Scholar] [CrossRef]





| Name | Place of Origin | Acronym | |
|---|---|---|---|
| 1 | Black tea 1 | Sri Lanka | BSL1 |
| 2 | Black tea 2 | Sri Lanka | BSL2 |
| 3 | Black tea 3 | Sri Lanka | BSL3 |
| 4 | Black tea 4 | Sri Lanka | BSL4 |
| 5 | Black tea 5 | Sri Lanka | BSL5 |
| 6 | Black tea 6 | Sri Lanka | BSL6 |
| 7 | Black tea 7 | India | BI1 |
| 8 | Black tea 8 | India | BI2 |
| 9 | Black tea 9 | India | BI3 |
| 10 | Black tea 10 | India | BI4 |
| 11 | Black tea 11 | Kenya | BK1 |
| 12 | Black tea 12 | Iran | BIr1 |
| 13 | Black tea 13 | African and Indian teas | BM1 |
| 14 | Black tea 14 | Unknown | BX1 |
| 15 | Black tea 15 | Unknown | BX2 |
| 16 | Black tea 16 | Unknown | BX3 |
| 17 | Green tea 1 | Japan | GJ1 |
| 18 | Green tea 2 | Japan | GJ2 |
| 19 | Green tea 3 | China | GC1 |
| 20 | Green tea 4 | China | GC2 |
| 21 | Green tea 5 | India | GI1 |
| 22 | Green tea 6 | Brazil | GB1 |
| 23 | Green tea 7 | Java and Sumatra | GJS1 |
| 24 | Red tea 1 | China | RC1 |
| 25 | Red tea 2 | China | RC2 |
| 26 | Oolong tea 1 | China | OC1 |
| 27 | Oolong tea 2 | China | OC2 |
| 28 | White tea 1 | China (Fujian) | WC1 |
| 29 | White tea 2 | China | WC2 |
| 30 | White tea 3 | China | WC3 |
| Step | Time | Temperature [°C] | Relative Pressure [%] |
|---|---|---|---|
| First step heating | 10 | 25–125 | 20–60 |
| Stabilization | 10 | 125 | 60 |
| Second step heating | 10 | 125–180 | 60–95 |
| Mineralization | 20 | 180 | 95 |
| Cooling | 10 | 180–60 | 95–25 |
| Element | Wavelength [nm] | LOD [mg/kg] |
|---|---|---|
| Al | 394.401 | 1.500 |
| Cd | 228.802 | 0.051 |
| Co | 345.351 | 0.100 |
| Cr | 425.433 | 0.016 |
| Cu | 327.395 | 0.025 |
| Fe | 259.940 | 2.837 |
| Mo | 379.825 | 0.022 |
| Mn | 279.827 | 0.600 |
| Ni | 305.082 | 1.100 |
| P | 213.618 | 11.000 |
| Pb | 283.305 | 0.240 |
| V | 309.311 | 0.020 |
| Tea Label | HQCr | HQCu | HQMo | HQPb | HQMn | HQNi | THQ |
|---|---|---|---|---|---|---|---|
| BI1 | 2.03 × 10−3 | 4.95 × 10−2 | 2.71 × 10−2 | 7.68 × 10−2 | 4.09 × 10−1 | 4.09 × 10−4 | 0.5648 |
| BI2 | 1.32 × 10−4 | 7.30 × 10−2 | 6.09 × 10−3 | 7.68 × 10−2 | 1.98 × 10−1 | 1.71 × 10−4 | 0.3542 |
| BI3 | 3.35 × 10−5 | 2.44 × 10−2 | 8.86 × 10−3 | 7.68 × 10−2 | 1.09 × 10−1 | 1.10 × 10−4 | 0.2192 |
| BI4 | 7.85 × 10−5 | 7.35 × 10−2 | 4.66 × 10−2 | 7.68 × 10−2 | 1.97 × 10−1 | 3.11 × 10−4 | 0.3943 |
| BIr1 | 1.20 × 10−4 | 1.09 × 10−1 | 1.59 × 10−2 | 7.68 × 10−2 | 4.25 × 10−1 | 5.08 × 10−4 | 0.6273 |
| BK1 | 1.24 × 10−4 | 4.25 × 10−2 | 8.12 × 10−3 | 7.68 × 10−2 | 2.81 × 10−1 | 1.58 × 10−4 | 0.4087 |
| BM1 | 1.18 × 10−3 | 4.81 × 10−2 | 2.03 × 10−2 | 7.68 × 10−2 | 3.00 × 10−1 | 2.79 × 10−4 | 0.4467 |
| BSL1 | 2.55 × 10−5 | 4.86 × 10−2 | 1.38 × 10−2 | 8.57 × 10−2 | 1.21 × 10−1 | 1.18 × 10−4 | 0.2692 |
| BSL2 | 1.71 × 10−4 | 9.17 × 10−2 | 8.86 × 10−3 | 7.68 × 10−2 | 8.82 × 10−2 | 1.61 × 10−4 | 0.2659 |
| BSL3 | 3.72 × 10−5 | 5.16 × 10−2 | 8.86 × 10−3 | 7.68 × 10−2 | 1.23 × 10−1 | 1.06 × 10−4 | 0.2604 |
| BSL4 | 1.23 × 10−3 | 3.72 × 10−2 | 2.12 × 10−2 | 7.68 × 10−2 | 8.79 × 10−2 | 2.02 × 10−4 | 0.2245 |
| BSL5 | 1.81 × 10−3 | 6.41 × 10−2 | 3.02 × 10−2 | 7.68 × 10−2 | 1.39 × 10−1 | 2.34 × 10−4 | 0.3121 |
| BSL6 | 3.94 × 10−5 | 5.70 × 10−2 | 6.65 × 10−3 | 7.68 × 10−2 | 1.36 × 10−1 | 1.34 × 10−4 | 0.2766 |
| BX1 | 1.11 × 10−3 | 5.03 × 10−2 | 2.31 × 10−2 | 7.68 × 10−2 | 3.09 × 10−1 | 2.84 × 10−4 | 0.4606 |
| BX2 | 4.45 × 10−4 | 6.16 × 10−2 | 1.44 × 10−2 | 7.68 × 10−2 | 3.35 × 10−1 | 2.42 × 10−4 | 0.4885 |
| BX3 | 1.98 × 10−4 | 4.48 × 10−2 | 1.55 × 10−2 | 7.68 × 10−2 | 4.44 × 10−1 | 2.09 × 10−4 | 0.5815 |
| GB1 | 5.91 × 10−5 | 3.64 × 10−2 | 1.58 × 10−2 | 7.68 × 10−2 | 4.84 × 10−1 | 2.08 × 10−4 | 0.6133 |
| GC1 | 9.14 × 10−5 | 3.46 × 10−2 | 1.12 × 10−2 | 7.68 × 10−2 | 4.54 × 10−1 | 1.44 × 10−4 | 0.5768 |
| GC2 | 4.46 × 10−5 | 3.59 × 10−2 | 7.48 × 10−3 | 7.68 × 10−2 | 2.86 × 10−1 | 2.39 × 10−4 | 0.4065 |
| GI1 | 1.57 × 10−5 | 6.30 × 10−2 | 6.55 × 10−3 | 7.68 × 10−2 | 1.04 × 10−1 | 1.07 × 10−4 | 0.2505 |
| GJ1 | 4.00 × 10−6 | 3.12 × 10−2 | 5.17 × 10−3 | 7.68 × 10−2 | 1.89 × 10−1 | 1.04 × 10−4 | 0.3023 |
| GJ2 | 1.26 × 10−3 | 4.02 × 10−2 | 3.97 × 10−2 | 7.68 × 10−2 | 4.55 × 10−1 | 2.28 × 10−4 | 0.6132 |
| GJS1 | 3.88 × 10−5 | 5.56 × 10−2 | 7.66 × 10−3 | 7.68 × 10−2 | 8.96 × 10−2 | 1.01 × 10−4 | 0.2298 |
| OC1 | 5.42 × 10−5 | 3.66 × 10−2 | 9.78 × 10−3 | 7.68 × 10−2 | 2.29 × 10−1 | 1.27 × 10−4 | 0.3524 |
| OC2 | 6.31 × 10−5 | 3.52 × 10−2 | 7.66 × 10−3 | 7.68 × 10−2 | 3.52 × 10−1 | 1.01 × 10−4 | 0.4718 |
| RC1 | 1.27 × 10−4 | 4.12 × 10−2 | 1.33 × 10−2 | 7.68 × 10−2 | 2.16 × 10−1 | 2.38 × 10−4 | 0.3477 |
| RC2 | 1.63 × 10−4 | 6.55 × 10−2 | 2.13 × 10−2 | 7.68 × 10−2 | 2.37 × 10−1 | 1.97 × 10−4 | 0.4010 |
| WC1 | 3.57 × 10−5 | 6.76 × 10−2 | 1.02 × 10−2 | 7.68 × 10−2 | 2.66 × 10−1 | 2.12 × 10−4 | 0.4208 |
| WC2 | 3.66 × 10−5 | 6.68 × 10−2 | 8.77 × 10−3 | 7.68 × 10−2 | 3.54 × 10−1 | 2.43 × 10−4 | 0.5066 |
| WC3 | 4.12 × 10−5 | 4.97 × 10−2 | 2.01 × 10−2 | 7.68 × 10−2 | 2.86 × 10−1 | 1.85 × 10−4 | 0.4328 |
Disclaimer/Publisher’s Note: The statements, opinions and data contained in all publications are solely those of the individual author(s) and contributor(s) and not of MDPI and/or the editor(s). MDPI and/or the editor(s) disclaim responsibility for any injury to people or property resulting from any ideas, methods, instructions or products referred to in the content. |
© 2024 by the authors. Licensee MDPI, Basel, Switzerland. This article is an open access article distributed under the terms and conditions of the Creative Commons Attribution (CC BY) license (https://creativecommons.org/licenses/by/4.0/).
Share and Cite
Grządka, E.; Bastrzyk, A.; Orzeł, J.; Oszczak-Nowińska, A.; Fliszkiewicz, B.; Siemieniuk, M.; Sobczyński, K.; Spławski, O.; Gołębiowska, K.; Ronda, O.; et al. Do You Know What You Drink? Comparative Research on the Contents of Radioisotopes and Heavy Metals in Different Types of Tea from Various Parts of the World. Foods 2024, 13, 742. https://doi.org/10.3390/foods13050742
Grządka E, Bastrzyk A, Orzeł J, Oszczak-Nowińska A, Fliszkiewicz B, Siemieniuk M, Sobczyński K, Spławski O, Gołębiowska K, Ronda O, et al. Do You Know What You Drink? Comparative Research on the Contents of Radioisotopes and Heavy Metals in Different Types of Tea from Various Parts of the World. Foods. 2024; 13(5):742. https://doi.org/10.3390/foods13050742
Chicago/Turabian StyleGrządka, Elżbieta, Anna Bastrzyk, Jolanta Orzeł, Agata Oszczak-Nowińska, Bartłomiej Fliszkiewicz, Mateusz Siemieniuk, Krzysztof Sobczyński, Olgierd Spławski, Katarzyna Gołębiowska, Oskar Ronda, and et al. 2024. "Do You Know What You Drink? Comparative Research on the Contents of Radioisotopes and Heavy Metals in Different Types of Tea from Various Parts of the World" Foods 13, no. 5: 742. https://doi.org/10.3390/foods13050742
APA StyleGrządka, E., Bastrzyk, A., Orzeł, J., Oszczak-Nowińska, A., Fliszkiewicz, B., Siemieniuk, M., Sobczyński, K., Spławski, O., Gołębiowska, K., Ronda, O., & Cieślik, B. M. (2024). Do You Know What You Drink? Comparative Research on the Contents of Radioisotopes and Heavy Metals in Different Types of Tea from Various Parts of the World. Foods, 13(5), 742. https://doi.org/10.3390/foods13050742

