Annatto-Enriched Egg Improves the Perception of Satiety in Healthy Adults—Randomized Clinical Trial: EGGANT Study
Abstract
1. Introduction
2. Materials and Methods
2.1. Type of Study
2.2. Study Population
2.3. Inclusion Criteria
2.4. Exclusion Criteria
2.5. Intervention
2.6. Procedure for Measuring Height
2.7. Procedure for Measuring Body Weight with a Portable Scale
2.8. Body Mass Index (BMI)
2.9. Procedure for Measuring the Abdominal Perimeter
2.10. Physical Activity
2.11. Blood Pressure (BP)
2.12. Diet
2.13. Blood Collection
2.14. Blood Lipids and Glucose
2.15. Ghrelin Measurement
2.16. Visual Analogue Scale (VAS) for Satiety Assessment
2.17. Statistical Analysis
2.18. Ethical Aspects
3. Results
3.1. Characteristics of the Intervened Population and Diet Analysis
3.2. Effects on Anthropometric Variables, Physical Activity, and Blood Pressure
3.3. Effects on Subjective and Objective Satiety
4. Discussion
5. Conclusions
Author Contributions
Funding
Institutional Review Board Statement
Informed Consent Statement
Data Availability Statement
Acknowledgments
Conflicts of Interest
References
- Anand, S.S.; Hawkes, C.; Souza, R.J.; De Mente, A.; Nugent, R.; Zulyniak, M.A.; Weis, T.; Bernstein, A.M.; Krauss, R.M.; Kromhout, D.; et al. Food consumption and its impact on CVD: Importance of solutions focused on the globalized food system. J. Am. Coll. Cardiol. 2016, 66, 43. [Google Scholar]
- Powell-Wiley, T.M.; Poirier, P.; Burke, L.E.; Després, J.-P.; Gordon-Larsen, P.; Lavie, C.J.; Lear, S.A.; Ndumele, C.E.; Neeland, I.J.; Sanders, P.; et al. Obesity and Cardiovascular Disease A Scientific Statement From the American Heart Association. Circulation 2021, 143, E984–E1010. [Google Scholar] [CrossRef]
- Ministerio de Salud y Protección Social; Instituto Nacional de Salud; Instituto Colombiano de Bienestar Familiar (ICBF); Universidad Nacional de Colombia. Encuesta Nacional de la Situación Nutricional—ENSIN 2015; Ministerio de Salud y Protección Social: Bogotá, Colombia, 2020; p. 683.
- Morell, P.; Fiszman, S. Revisiting the role of protein-induced satiation and satiety. Food Hydrocoll. 2017, 68, 199–210. [Google Scholar] [CrossRef]
- Kohanmoo, A.; Faghih, S.; Akhlaghi, M. Effect of short- and long-term protein consumption on appetite and appetite-regulating gastrointestinal hormones, a systematic review and meta-analysis of randomized controlled trials. Physiol. Behav. 2020, 22, 113123. [Google Scholar] [CrossRef] [PubMed]
- Santana, S. Resumenes de las ponencias presentadas en un taller internacional celebrado en ocasión del V congreso de avicultura: El huevo como aliado de la nutrición y la salud. Rev. Cuba. Aliment. Nutr. 2008, 18, 15. [Google Scholar]
- Egg Nutrition Center. A Dozen Ways to Become an Eggspert! [Internet]. EggNutritionCenter.org. 2019, p. 8. Available online: https://incredibleegg.wpengine.com/wp-content/uploads/2020/07/ENC-DozenWays-June2019-Interactive-1.pdf (accessed on 2 January 2024).
- Puglisi, M.J.; Fernandez, M.L. The Health Benefits of Egg Protein. Nutrients 2022, 14, 2904. [Google Scholar] [CrossRef] [PubMed]
- Ratliff, J.; Leite, J.O.; de Ogburn, R.; Puglisi, M.J.; VanHeest, J.; Fernandez, M.L. Consuming eggs for breakfast influences plasma glucose and ghrelin, while reducing energy intake during the next 24 hours in adult men. Nutr. Res. 2010, 30, 96–103. [Google Scholar]
- Bell, G.A.S.; Shamna, R.; Sangeetha, B.S.J. In vivo antioxidant activity of bark extract of Bixa orellana L. against acetaminophen–induced oxidative stress. Asian Pac. J. Trop. Biomed. 2012, 2, S700–S705. [Google Scholar]
- Gómez, G.C.; Castillo, J.C.Q.; Pérez, J.C.A.; Montoya, J.E.Z. Ethanolic extract from leaves of Bixa orellana L.: A potential natural food preservative. Interciencia 2012, 37, 547–551. [Google Scholar]
- Gonzalez, M. Estudio de la irritación dérmica primaria en piel dañada de conejos tras la exposición a un extracto alcohólico de Bixa orellana lin. Rev. Cuba Estomatol. 2003, 34, 25–30. [Google Scholar]
- Lima, L.R.P.; Oliveira, T.T.; Oliveira, M.G.A.; Nagem, T.J.; Pinto, A.S.; Stringheta, P.C.; Tinoco, A.L.A.; da Silva, S.J. Bixin, norbixin and quercetin and lipid metabolism effects in rabbits. Braz. J. Vet. Res. Anim. Sci. 2001, 38, 196–200. [Google Scholar] [CrossRef]
- De Paula, H.; Pedrosa, M.L.; Júnior, J.V.R.; Haraguchi, F.K.; dos Santos, R.C.; Silva, M.E. Effect of an aqueous extract of annatto (Bixa orellana) seeds on lipid profile and biochemical markers of renal and hepatic function in hipercholesterolemic rats. Braz. Arch. Biol. Technol. 2009, 52, 1373–1378. [Google Scholar]
- Russell, K.R.M.; Morrison, E.Y.S.A.; Ragoobirsingh, D. The effect of annatto on insulin binding properties in the dog. Phyther. Res. 2005, 19, 433–436. [Google Scholar]
- Kiokias, S.; Gordon, M.H. Antioxidant properties of annatto carotenoids. Food Chem. 2003, 83, 523–529. [Google Scholar] [CrossRef]
- Roehrs, M.; Conte, L.; da Silva, D.T.; Duarte, T.; Maurer, L.H.; de Carvalho, J.A.M.; Moresco, R.N.; Somacal, S.; Emanuelli, T. Annatto carotenoids attenuate oxidative stress and inflammatory response after high-calorie meal in healthy subjects. Food Res. Int. 2017, 100, 771–779. [Google Scholar]
- Rivera-Madrid, R.; Aguilar-Espinosa, M.; Cárdenas-Conejo, Y.; Garza-Caligaris, L.E. Carotenoid Derivates in Achiote (Bixa orellana) Seeds: Synthesis and Health Promoting Properties. Front. Plant Sci. 2016, 7, 1406. [Google Scholar] [CrossRef]
- Ministerio de Salud y Protección Social; Instituto Nacional de Salud; Instituto Colombiano de Bienestar Familiar (ICBF)Ministerio de Salud y protección Social. Análisis de Situación de Salud (ASIS) Colombia; Imprenta Nacional de Colombia, Ministerio de Salud y Protección Social: Bogotá, Colombia, 2016; p. 163. Available online: https://www.minsalud.gov.co/sites/rid/Lists/BibliotecaDigital/RIDE/VS/ED/PSP/asis-colombia-2016.pdf (accessed on 10 November 2023).
- Dehghan, M.; Mente, A.; Rangarajan, S.; Mohan, V.; Lear, S.; Swaminathan, S.; Wielgosz, A.; Seron, P.; Avezum, A.; Lopez-Jaramillo, P.; et al. Association of egg intake with blood lipids, cardiovascular disease, and mortality in 177,000 people in 50 countries. Am. J. Clin. Nutr. 2020, 111, 795–803. [Google Scholar]
- McNamara, D.J. The fifty year rehabilitation of the egg. Nutrients 2015, 7, 8716–8722. [Google Scholar] [CrossRef]
- Drouin-Chartier, J.; Chen, S.; Li, Y.; Schwab, A.L.; Stampfer, M.J.; Sacks, F.M.; Rosner, B.; Willett, W.C.; Hu, F.B.; Bhupathiraju, S.N. Egg con-sumption and risk of cardiovascular disease: Three large prospective US cohort studies, systematic review, and updated meta-analysis. BMJ 2020, 368, m513. [Google Scholar] [CrossRef] [PubMed]
- U.S. Department of Health and Human Services; U.S. Department of Agriculture. 2015–2020 Dietary Guidelines for Americans, 8th ed.; 2015. Available online: https://health.gov/our-work/food-nutrition/previous-dietary-guidelines/2015 (accessed on 4 January 2024).
- Kelly, E.R.; Plat, J.; Haenen, G.R.M.M.; Kijlstra, A.; Berendschot, T.T.J.M. The effect of modified eggs and an egg-yolk based beverage on serum lutein and zeaxanthin concentrations and macular pigment optical density: Results from a randomized trial. PLoS ONE 2014, 9, e92659. [Google Scholar]
- Missimer, A.; Dimarco, D.M.; Andersen, C.J.; Murillo, A.G.; Vergara-Jimenez, M.; Fernandez, M.L. Consuming two eggs per day, as compared to an oatmeal breakfast, increases plasma ghrelin while maintaining the LDL/HDL ratio. Nutrients 2017, 9, 89. [Google Scholar] [CrossRef] [PubMed]
- Blesso, C.N.; Andersen, C.J.; Barona, J.; Volek, J.S.; Fernandez, M.L. Whole egg consumption improves lipoprotein profiles and insulin sensitivity to a greater extent than yolk-free egg substitute in individuals with metabolic syndrome. Metabolism 2013, 62, 400–410. [Google Scholar] [CrossRef] [PubMed]
- DiMarco, D.M.; Norris, G.H.; Millar, C.L.; Blesso, C.N.; Fernandez, M.L. Intake of up to 3 Eggs per Day Is Associated with Changes in HDL Function and Increased Plasma Antioxidants in Healthy, Young Adults. J. Nutr. 2017, 147, 323–329. [Google Scholar] [CrossRef] [PubMed]
- Pourafshar, S.; Akhavan, N.S.; George, K.S.; Foley, E.M.; Johnson, S.A.; Keshavarz, B.; Arjmandi, B.H. Egg consumption may improve factors associated with glycemic control and insulin sensitivity in adults with pre-and type II diabetes. Food Funct. 2018, 9, 4469–4479. [Google Scholar] [PubMed]
- Lohman, T.G.; Roche, A.F.; Martorell, R. Anthropometric Standardization Reference Manual; Human Kinetics Books: Champaign, IL, USA, 1988; p. 90. [Google Scholar]
- World Health Organization (WHO). Obesity and Overweight. 2021. Available online: https://www.who.int/news-room/fact-sheets/detail/obesity-and-overweight (accessed on 10 November 2023).
- Ainsworth, B.E.; Haskell, W.L.; Whitt, M.C.; Irwin, M.L.; Swartz, A.M.; Strath, S.J.; O’Brien, W.L.; Bassett, D.R., Jr.; Schmitz, K.H.; Emplaincourt, P.O.; et al. Compendium of physical activities: An update of activity codes and MET intensities. Med. Sci. Sports Exerc. 2000, 32 (Suppl. 9), S498–S504. [Google Scholar] [CrossRef]
- Muntner, P.; Shimbo, D.; Carey, R.M.; Charleston, J.B.; Gaillard, T.; Misra, S.; Myers, M.G.; Ogedegbe, G.; Schwartz, J.E.; Townsend, R.R.; et al. Measurement of blood pressure in humans: A scientific statement from the American Heart Association. Hypertension 2019, 73, e35–e66. [Google Scholar] [CrossRef]
- Monsalve Álvarez, J.M.; González Zapata, L.I. Diseño de un cuestionario de frecuencia para evaluar ingesta alimentaria en la Universidad de Antioquia, Colombia. Nutr. Hosp. 2011, 26, 1333–1344. [Google Scholar]
- Galvis, Y.; Pineda, K.; Zapata, J.; Aristizabal, J.; Estrada, A.; Fernandez, M.L.; Barona-Acevedo, J. Consumption of Eggs Alone or Enriched with Annatto (Bixa orellana L.) Does Not Increase Cardiovascular Risk in Healthy Adults—A Randomized Clinical Trial, the Eggant Study. Nutrients 2023, 15, 369. [Google Scholar] [CrossRef]
- ABCAM. Human Ghrelin ELISA Kit. Available online: https://www.abcam.com/products/elisa/human-ghrelin-elisa-kit-ghrelin-28-ab263887.html (accessed on 18 January 2020).
- Flint, A.; Raben, A.; Blundell, J.E.; Astrup, A. Reproducibility, power and validity of visual analogue scales in assessment of appetite sensations in single test meal studies. Int. J. Obes. Relat. Metab. Disord. 2000, 24, 38–48. [Google Scholar] [CrossRef] [PubMed]
- Ho, J.; Tumkaya, T.; Aryal, S.; Choi, H.; Claridge-Chang, A. Moving beyond P values: Data analysis with estimation graphics. Nat. Methods 2019, 16, 565–566. [Google Scholar]
- Ballesteros, M.N.; Valenzuela, F.; Robles, A.E.; Artalejo, E.; Aguilar, D.; Andersen, C.J.; Valdez, H.; Fernandez, M.L. One egg per day improves inflammation when compared to an oatmeal-based breakfast without increasing other cardiometabolic risk factors in diabetic patients. Nutrients 2015, 7, 3449–3463. [Google Scholar] [CrossRef]
- Lemos, B.S.; Medina-Vera, I.; Blesso, C.N.; Fernandez, M.L. Intake of 3 eggs per day when compared to a choline bitartrate supplement, downregulates cholesterol synthesis without changing the LDL/HDL ratio. Nutrients 2018, 10, 258. [Google Scholar] [CrossRef] [PubMed]
- Eisenstein, J.; Roberts, S.B.; Dallal, G.; Saltzman, E. High-protein weightloss diets: Are they safe and do they work? A review of the experimental and epidemiologic data. Nutr. Rev. 2002, 60, 189–200. [Google Scholar] [CrossRef]
- Halton, T.L.; Hu, F.B. The effects of high protein diets on thermogenesis, satiety and weight loss: A critical review. J. Am. Coll. Nutr. 2004, 23, 373–385. [Google Scholar] [CrossRef] [PubMed]
- Lin, M.H.; Lu, S.C.; Huang, P.C.; Liu, Y.C.; Liu, S.Y. The amount of dietary cholesterol changes the mode of effects of (n-3) polyunsaturated fatty acid on lipoprotein cholesterol in hamsters. Ann. Nutr. Metab. 2004, 48, 321–328. [Google Scholar] [CrossRef] [PubMed]
- Zampelas, A.; Magriplis, E. New Insights into Cholesterol Functions: A Friend or an Enemy? Nutrients 2019, 11, 1645. [Google Scholar] [CrossRef]
- Sun, L.; Goh, H.J.; Govindharajulu, P.; Leow, M.K.; Henry, C.J. Differential Effects of Monounsaturated and Polyunsaturated Fats on Satiety and Gut Hormone Responses in Healthy Subjects. Foods 2019, 8, 634. [Google Scholar] [CrossRef]
- Cooper, J.A.; Stevenson, J.L.; Paton, C.M. Hunger and satiety responses to saturated fat-rich meals before and after a high PUFA diet. FASEB J. 2016, 30, 405–407. [Google Scholar] [CrossRef]
- Stevenson, J.L.; Paton, C.M.; Cooper, J.A. Hunger and satiety responses to high-fat meals after a high-polyunsaturated fat diet: A randomized trial. Nutrition 2017, 41, 14–23. [Google Scholar] [PubMed]
- Moran, L.J.; Luscombe-Marsh, N.D.; Noakes, M.; Wittert, G.A.; Keogh, J.B.; Clifton, P.M. The satiating effect of dietary protein is unrelated to postprandial ghrelin secretion. J. Clin. Endocrinol. Metab. 2005, 90, 5205–5211. [Google Scholar] [CrossRef] [PubMed]
- Moran, L.J.; Noakes, M.; Clifton, P.M.; Wittert, G.A.; Tomlinson, L.; Galletly, C.; Luscombe, N.D.; Norman, R.J. Ghrelin and measures of satiety are altered in polycystic ovary syndrome but not differentially affected by diet composition. J. Clin. Endocrinol. Metab. 2004, 89, 3337–3344. [Google Scholar] [CrossRef] [PubMed]
- Foster-Schubert, K.E.; Overduin, J.; Prudom, C.E.; Liu, J.; Callahan, H.S.; Gaylinn, B.D.; Thorner, M.O.; Cummings, D.E. Acyl and total ghrelin are suppressed strongly by ingested proteins, weakly by lipids, and biphasically by carbohydrates. J. Clin. Endocrinol. Metab. 2008, 93, 1971–1979. [Google Scholar] [CrossRef]
- El Khoury, D.T.; Obeid, O.; Azar, S.T.; Hwalla, N. Variations in postprandial ghrelin status following ingestion of high-carbohydrate, high-fat, and high-protein meals in males. Ann. Nutr. Metab. 2006, 50, 260–269. [Google Scholar] [CrossRef]
- Ibarra, A.; Astbury, N.M.; Olli, K.; Alhoniemi, E.; Tiihonen, K. Effect of polydextrose on subjective feelings of appetite during the satiation and satiety periods: A systematic review and meta-analysis. Nutrients 2016, 8, 45. [Google Scholar] [PubMed]
- Molan, A.L.; Lila, M.A.; Mawson, J. Satiety in rats following blueberry extract consumption induced by appetite-suppressing mechanisms unrelated to in vitro or in vivo antioxidant capacity. Food Chem. 2008, 107, 1039–1044. [Google Scholar]
- Petelin, A.; Kenig, S.; Kopinč, R.; Deželak, M.; Černelič Bizjak, M.; Jenko Pražnikar, Z. Effects of royal jelly administration on lipid profile, satiety, inflammation, and antioxidant capacity in asymptomatic overweight adults. Evid.-Based Complement Altern. Med. 2019, 13, 4969720. [Google Scholar] [CrossRef] [PubMed]
- Camacaro, J.; Gómez, J.; Jiménez, M.; Vega, C.; Manganiello, L. A liposoluble colorant from Annatto seeds (Bixa orellana L.) as an input for food industry. Rev. Ing. UC 2018, 25, 291–306. [Google Scholar]
- Tremblay, A.; Bellisle, F. Nutrients, satiety, and control of energy intake. Appl. Physiol. Nutr. Metab. 2015, 40, 971–979. [Google Scholar] [CrossRef] [PubMed]


| Egg Whites | Egg | Egg + Annatto | |||||||
|---|---|---|---|---|---|---|---|---|---|
| Median (±SD) | Median (±SD) | Median (±SD) | p1 | p2 | p3 | ||||
| Baseline | 8 Weeks | Baseline | 8 Weeks | Baseline | 8 Weeks | ||||
| Protein (g) | 69.3 (13.4) | 64.8 (13.4) | 71.4 (15.9) | 69.1 (11.9) | 71.5 (16.7) | 70.7 (11.9) | 0.192 | 0.193 | 0.741 |
| Total fat (g) | 64.6 (15) | 53.6 (15.3) | 69.2 (18.1) | 64.8 (13.9) | 65 (15.6) | 63.5 (13) | 0.008 | 0.008 | 0.07 |
| Saturated fatty acids (g) | 22.9 (6.39) | 18.8 (5.84) | 24.8 (7.11) | 23.0 (6.47) | 22.9 (6.42) | 22 (5.33) | 0.008 | 0.014 | 0.219 |
| Monounsaturated fatty acids (g) | 25.8 (6.30) | 21.8 (7.26) | 27.2 (7.44) | 25.4 (5.19) | 26.1 (6.54) | 25.3 (5.22) | 0.012 | 0.026 | 0.14 |
| Polyunsaturated fatty acids (g) | 11.1 (2.67) | 9.69 (2.73) | 12.2 (4.14) | 11.3 (2.73) | 11.5 (2.82) | 11.2 (2.68) | 0.037 | 0.033 | 0.37 |
| Carbohydrates (g) | 236 (69.8) | 211 (52.9) | 249 (80) | 219 (66.3) | 247 (70.9) | 225 (56.3) | 0.008 | 0.599 | 0.911 |
| Cholesterol (mg) | 497 (209) | 152 (76.5) | 482 (220) | 559 (43.1) | 465 (207.1) | 549 (64.2) | 0.000 | 0.000 | 0.000 |
| Fiber (g) | 14.8 (5.06) | 14.2 (4.85) | 15.4 (4.81) | 14.1 (3.73) | 15 (4.67) | 13.0 (4.92) | 0.03 | 0.622 | 0.677 |
| Energy (kcal) | 1802 (389) | 1589 (365) | 1890 (494) | 1718 (377) | 1841 (432) | 1748 (350) | 0.006 | 0.242 | 0.568 |
| Egg Whites | Egg | Egg + Annatto | |||||||
|---|---|---|---|---|---|---|---|---|---|
| Median (±SD) | Median (±SD) | Median (±SD) | p1 | p2 | p3 | ||||
| Baseline | 8 Weeks | Baseline | 8 Weeks | Baseline | 8 Weeks | ||||
| Waist circumference (cm) | 79.8 (8.39) | 80.5 (8.39) | 83.7 (9.24) | 83.7 (8.67) | 82.5 (6.08) | 83.7 (8.67) | 0.89 | 0.03 | 0.954 |
| Body weight (Kg) | 61.8 (9.1) | 61.6 (8.3) | 66.6 (10.1) | 66.3 (10.7) | 63.3 (8.8) | 63.7 (8.4) | 0.971 | 0.009 | 0.973 |
| Height (m) | 1.62 (0.08) | 1.62 (0.08) | 1.65 (0.08) | 1.65 (0.08) | 1.62 (0.1) | 1.62 (0.1) | 0.971 | 0.009 | 0.973 |
| BMI (kg/m2) | 23.5 (2.80) | 23.5 (2.69) | 24.4 (2.81) | 24.3 (2.96) | 24 (2.77) | 24.2 (2.79) | 0.998 | 0.202 | 0.953 |
| Physical activity (Mets) | 1124 (802) | 842 (653) | 1124 (1049) | 1322 (1099) | 1133 (798) | 1027 (807) | 0.11 | 0.272 | 0.84 |
| Systolic blood pressure (mm Hg) | 110 (11.9) | 110 (12.7) | 110 (9.8) | 108 (9.4) | 108 (7.9) | 106 (9.4) | 0.43 | 0.188 | 0.863 |
| Diastolic blood pressure (mm Hg) | 64.9 (7.7) | 64.6 (6.9) | 66.6 (6.8) | 64.5 (5.4) | 66.1 (7.7) | 64.3 (7.8) | 0.143 | 0.797 | 0.712 |
| Egg Whites | Egg | Egg + Annatto | p1 | P2 | P3 | ||||
|---|---|---|---|---|---|---|---|---|---|
| Median (±SD) | Median (±SD) | Median (±SD) | |||||||
| Baseline | 8 Weeks | Baseline | 8 Weeks | Baseline | 8 Weeks | ||||
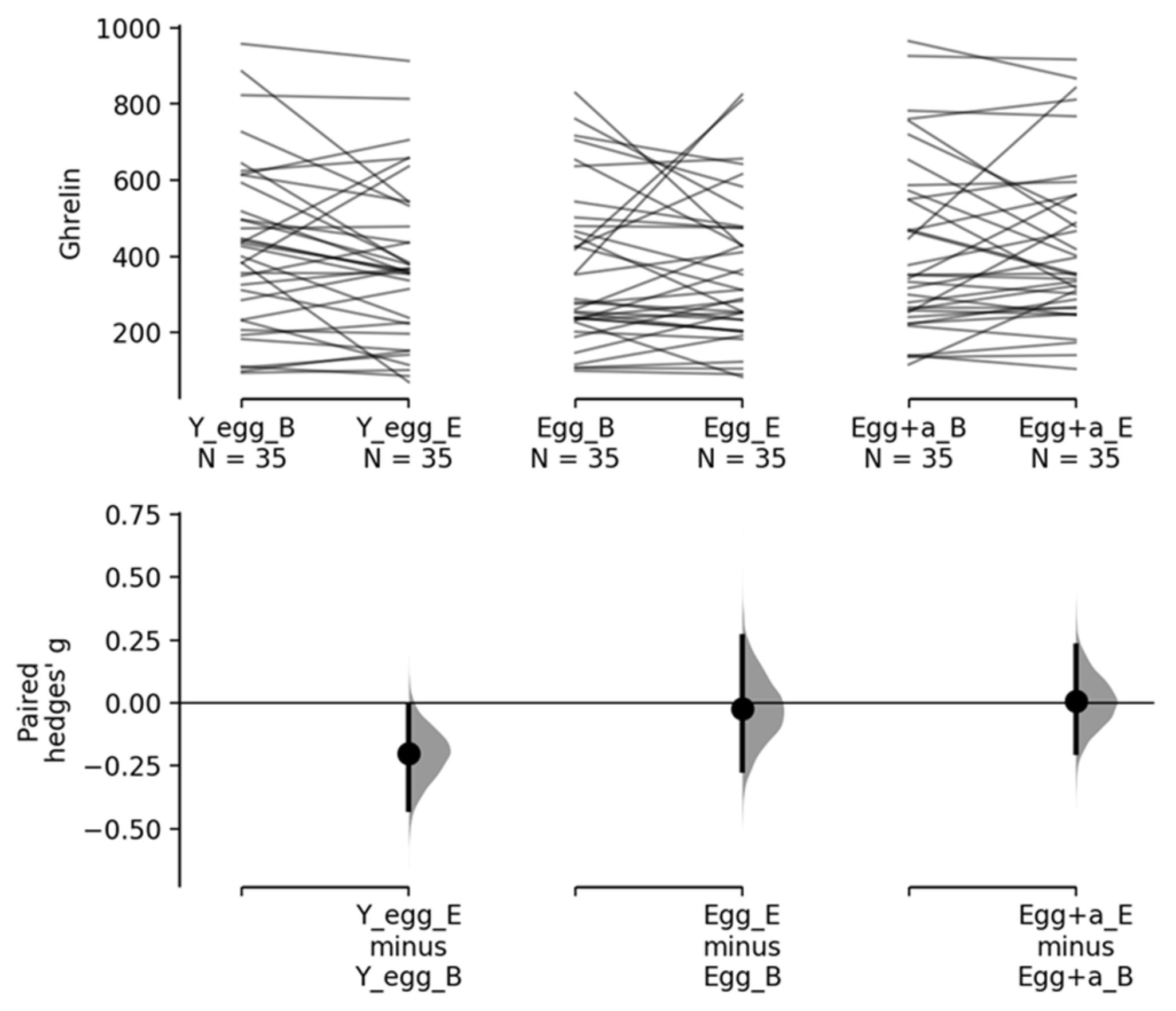
| Ghrelin (pg/mL) | 425 (221) | 397 (227) | 363 (202) | 359 (194) | 422 (231) | 424 (214) | 0.75 | 0.581 | 0.562 |
| Hunger | 4.77 (2.35) | 4.91 (2.13) | 5.23 (1.83) | 5.01 (2.02) | 5.2 (2.47) | 5.34 (2.27) | 0.945 | 0.503 | 0.85 |
| Satisfaction | 3.8 (2.01) | 3.86 (1.88) | 4.2 (2) | 4.57 (2.28) | 4.17 (1.79) | 4.8 (1.94) | 0.201 | 0.098 | 0.728 |
| Fullness | 3.8 (2.18) | 3.69 (1.86) | 3.99 (2.17) | 4.57 (2.5) | 3.74 (1.84) | 4.49 (1.99) | 0.151 | 0.347 | 0.494 |
| Prospective intake | 6.26 (2) | 5.77 (2.02) | 6.17 (2.13) | 6.06 (2.51) | 6.17 (1.77) | 5.86 (2.05) | 0.123 | 0.201 | 0.679 |
Disclaimer/Publisher’s Note: The statements, opinions and data contained in all publications are solely those of the individual author(s) and contributor(s) and not of MDPI and/or the editor(s). MDPI and/or the editor(s) disclaim responsibility for any injury to people or property resulting from any ideas, methods, instructions or products referred to in the content. |
© 2024 by the authors. Licensee MDPI, Basel, Switzerland. This article is an open access article distributed under the terms and conditions of the Creative Commons Attribution (CC BY) license (https://creativecommons.org/licenses/by/4.0/).
Share and Cite
Galvis-Pérez, Y.; Pineda, K.; Zapata, J.; Aristizabal, J.; Estrada, A.; Fernández, M.L.; Barona-Acevedo, J. Annatto-Enriched Egg Improves the Perception of Satiety in Healthy Adults—Randomized Clinical Trial: EGGANT Study. Foods 2024, 13, 731. https://doi.org/10.3390/foods13050731
Galvis-Pérez Y, Pineda K, Zapata J, Aristizabal J, Estrada A, Fernández ML, Barona-Acevedo J. Annatto-Enriched Egg Improves the Perception of Satiety in Healthy Adults—Randomized Clinical Trial: EGGANT Study. Foods. 2024; 13(5):731. https://doi.org/10.3390/foods13050731
Chicago/Turabian StyleGalvis-Pérez, Yeisson, Keilly Pineda, Juliana Zapata, Juan Aristizabal, Alejandro Estrada, María Luz Fernández, and Jacqueline Barona-Acevedo. 2024. "Annatto-Enriched Egg Improves the Perception of Satiety in Healthy Adults—Randomized Clinical Trial: EGGANT Study" Foods 13, no. 5: 731. https://doi.org/10.3390/foods13050731
APA StyleGalvis-Pérez, Y., Pineda, K., Zapata, J., Aristizabal, J., Estrada, A., Fernández, M. L., & Barona-Acevedo, J. (2024). Annatto-Enriched Egg Improves the Perception of Satiety in Healthy Adults—Randomized Clinical Trial: EGGANT Study. Foods, 13(5), 731. https://doi.org/10.3390/foods13050731

