Assessment of Immobilized Lacticaseibacillus rhamnosus OLXAL-1 Cells on Oat Flakes for Functional Regulation of the Intestinal Microbiome in a Type-1 Diabetic Animal Model
Abstract
1. Introduction
2. Materials and Methods
2.1. Bacterial Strain and Growth Conditions
2.2. Cell Immobilization on Oat Flakes and Preparation of Freeze-Dried Cultures
2.3. Animals and Induction of T1DM
2.4. Dietary Intervention Protocol
2.5. Sample Collection
2.6. Determination of Metabolic and Inflammatory Markers
2.7. Examination of Fecal Microbial Composition
2.8. Analysis of Intestinal Tissue and Fluid Microbiota
2.9. DNA Extraction, PCR Amplification, and 16S rRNA Sequencing
2.10. Fecal Lactic Acid and Short Chain Fatty Acids (SCFAs) Profile
2.11. Statistical Analysis
3. Results and Discussion
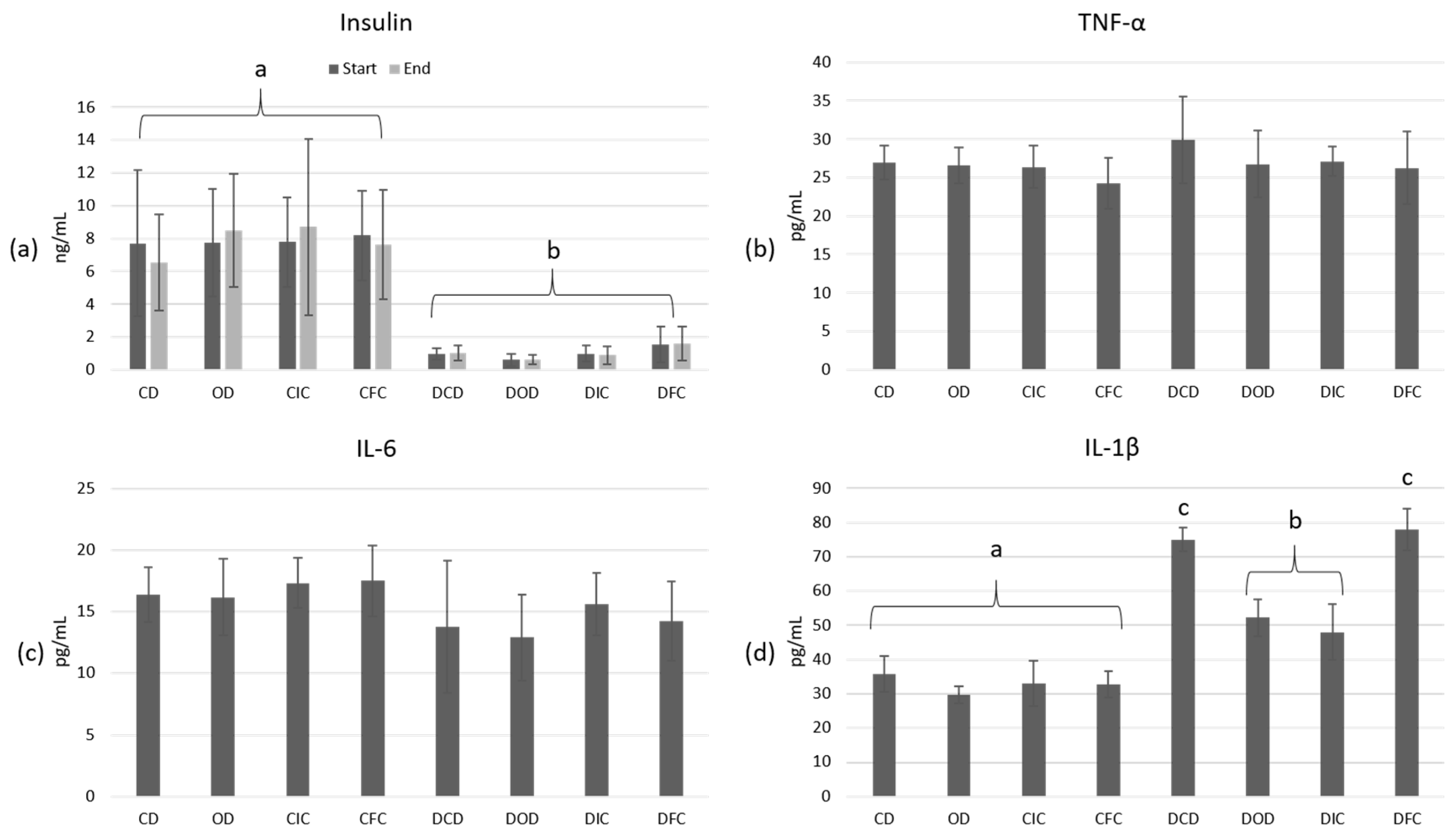
3.1. Effect of the Dietary Intervention on Metabolic and Inflammatory Markers
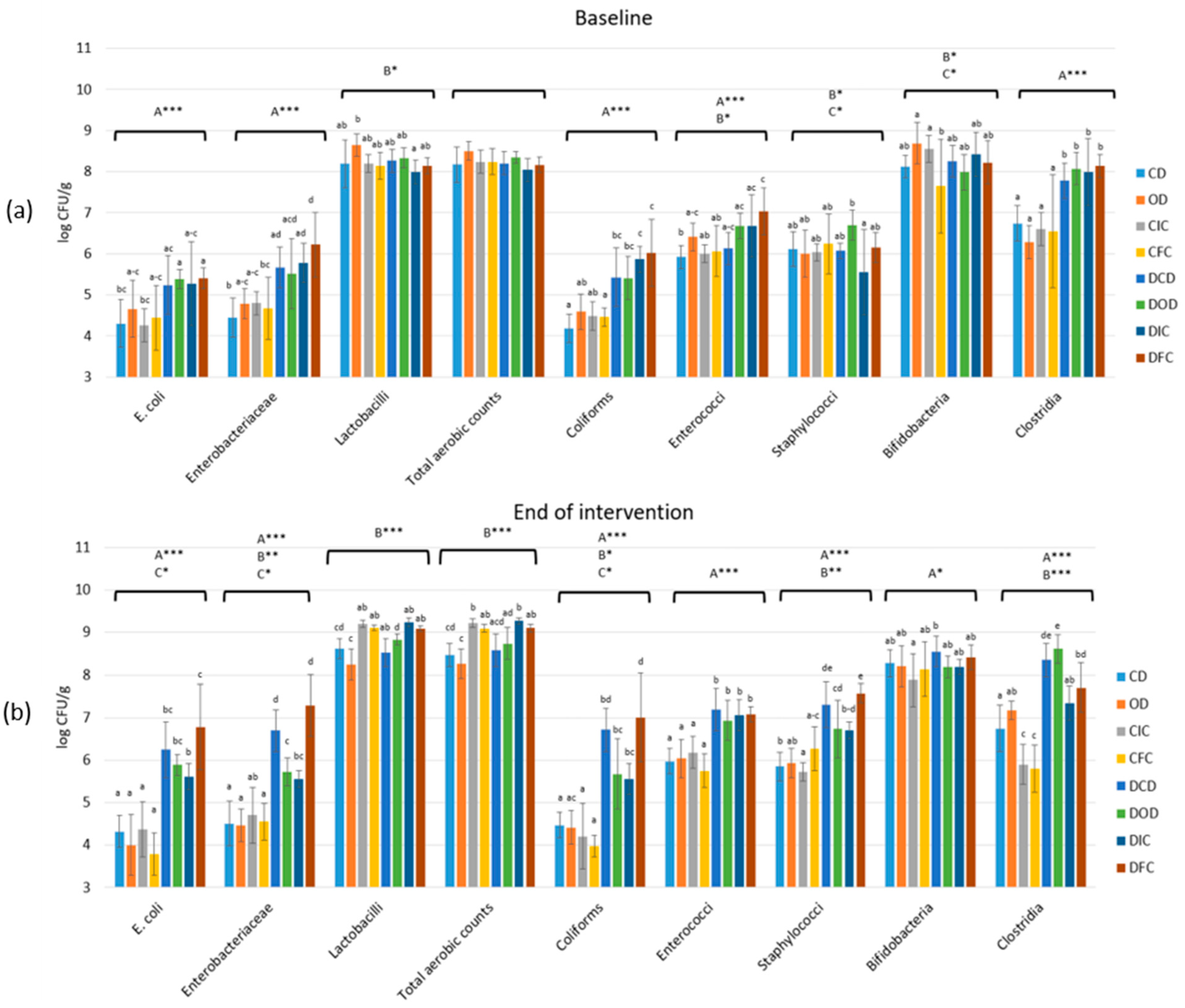
3.2. Effect of the Dietary Intervention on Fecal, Intestinal Tissue, and Fluid Microbiota
3.3. Effect of the Dietary Intervention on the Fecal Microbiome Using Next-Generation Sequencing
3.4. Effect of the Dietary Intervention on Fecal Lactic Acid and Short Chain Fatty Acids (SCFAs) Profile
3.5. Study’s Limitations and Future Perspectives
4. Conclusions
Author Contributions
Funding
Institutional Review Board Statement
Informed Consent Statement
Data Availability Statement
Acknowledgments
Conflicts of Interest
References
- Furuyama, K.; Chera, S.; van Gurp, L.; Oropeza, D.; Ghila, L.; Damond, N.; Vethe, H.; Paulo, J.A.; Joosten, A.M.; Berney, T.; et al. Diabetes relief in mice by glucose-sensing insulin-secreting human α-cells. Nature 2019, 567, 43–48. [Google Scholar] [CrossRef] [PubMed]
- Rawshani, A.; Landin-Olsson, M.; Svensson, A.M.; Nyström, L.; Arnqvist, H.J.; Bolinder, J.; Gudbjörnsdottir, S. The incidence of diabetes among 0-34 year olds in Sweden: New data and better methods. Diabetologia 2014, 57, 1375–1381. [Google Scholar] [CrossRef] [PubMed]
- Diaz-Valencia, P.A.; Bougnères, P.; Valleron, A.J. Global epidemiology of type 1 diabetes in young adults and adults: A systematic review. BMC Public Health 2015, 15, 255. [Google Scholar] [CrossRef] [PubMed]
- Atkinson, M.A. The pathogenesis and natural history of type 1 diabetes. Cold Spring Harb. Perspect. Med. 2012, 2, a007641. [Google Scholar] [CrossRef] [PubMed]
- Niechciał, E.; Michalak, M.; Skowrońska, B.; Fichna, P. Increasing trend of childhood type 1 diabetes incidence: 20-year observation from Greater Poland Province, Poland. Acta Diabetol. 2024, 61, 1609–1617. [Google Scholar] [CrossRef] [PubMed]
- Wang, Z.; Xie, Z.; Lu, Q.; Chang, C.; Zhou, Z. Beyond Genetics: What Causes Type 1 Diabetes. Clin. Rev. Allergy Immunol. 2017, 52, 273–286. [Google Scholar] [CrossRef] [PubMed]
- Aschner, P.; Basit, A.; Fawwad, A.; Guariguata, L.; James, S.; Karuranga, S.; Malanda, B.; Mbanya, J.C.; O’neill, S.; Ogle, G.; et al. IDF Atlas Reports. Int. Diabetes Fed. 2022, 102, 147–148. [Google Scholar]
- Mønsted, M.Ø.; Falck, N.D.; Pedersen, K.; Buschard, K.; Holm, L.J.; Haupt-Jorgensen, M. Intestinal permeability in type 1 diabetes: An updated comprehensive overview. J. Autoimmun. 2021, 122, 102674. [Google Scholar] [CrossRef] [PubMed]
- Bielka, W.; Przezak, A.; Pawlik, A. The role of the gut microbiota in the pathogenesis of diabetes. Int. J. Mol. Sci. 2022, 23, 480. [Google Scholar] [CrossRef] [PubMed]
- Gradisteanu Pircalabioru, G.; Corcionivoschi, N.; Gundogdu, O.; Chifiriuc, M.C.; Marutescu, L.G.; Ispas, B.; Savu, O. Dysbiosis in the development of type 1 diabetes and associated complications: From mechanisms to targeted gut microbes manipulation therapies. Int. J. Mol. Sci. 2021, 22, 2763. [Google Scholar] [CrossRef]
- Wen, L.; Ley, R.E.; Volchkov, P.Y.; Stranges, P.B.; Avanesyan, L.; Stonebraker, A.C.; Hu, C.; Wong, F.S.; Szot, G.L.; Bluestone, J.A.; et al. Innate immunity and intestinal microbiota in the development of Type 1 diabetes. Nature 2008, 455, 1109–1113. [Google Scholar] [CrossRef] [PubMed]
- Giongo, A.; Gano, K.A.; Crabb, D.B.; Mukherjee, N.; Novelo, L.L.; Casella, G.; Drew, J.C.; Ilonen, J.; Knip, M.; Hyöty, H.; et al. Toward defining the autoimmune microbiome for type 1 diabetes. ISME J. 2011, 5, 82–91. [Google Scholar] [CrossRef] [PubMed]
- Beyan, H.; Wen, L.; Leslie, R.D. Guts, germs, and meals: The origin of type 1 diabetes. Curr. Diab. Rep. 2012, 12, 456–462. [Google Scholar] [CrossRef] [PubMed]
- Fuhri Snethlage, C.M.; Nieuwdorp, M.; Hanssen, N.M.J. Faecal microbiota transplantation in endocrine diseases and obesity. Best Pract. Res. Clin. Endocrinol. Metab. 2021, 35, 101483. [Google Scholar] [CrossRef] [PubMed]
- Boerner, B.P.; Sarvetnick, N.E. Type 1 diabetes: Role of intestinal microbiome in humans and mice. Ann. N. Y. Acad. Sci. 2011, 1243, 103–118. [Google Scholar] [CrossRef] [PubMed]
- Murri, M.; Leiva, I.; Gomez-Zumaquero, J.M.; Tinahones, F.J.; Cardona, F.; Soriguer, F.; Queipo-Ortuño, M.I. Gut microbiota in children with type 1 diabetes differs from that in healthy children: A case-control study. BMC Med. 2013, 11, 46. [Google Scholar] [CrossRef] [PubMed]
- Kin, K.L.; Lorca, G.L.; Gonzalez, C.F. Biochemical properties of two cinnamoyl esterases purified from a Lactobacillus johnsonii strain isolated from stool samples of diabetes-resistant rats. Appl. Environ. Microbiol. 2009, 75, 5018–5024. [Google Scholar] [CrossRef]
- Valladares, R.; Sankar, D.; Li, N.; Williams, E.; Lai, K.K.; Abdelgeliel, A.S.; Gonzalez, C.F.; Wasserfall, C.H.; Larkin, J.; Schatz, D.; et al. Lactobacillus johnsonii N6.2 mitigates the development of type 1 diabetes in BB-DP rats. PLoS ONE 2010, 5, e10507. [Google Scholar] [CrossRef] [PubMed]
- World Health Organization (WHO); Food and Agriculture Organization of the United Nations (FAO). Guidelines for the Evaluation of Probiotics in Food. In Report of a Joint FAO/WHO Working Group on Drafting Guidelines for the Evaluation of Probiotics in Food; World Health Organization (WHO): London, ON, Canada, 2002; pp. 1–11. Available online: https://isappscience.org/wp-content/uploads/2019/04/probiotic_guidelines.pdf (accessed on 14 December 2024).
- Ouwehand, A.C. A review of dose-responses of probiotics in human studies. Benef. Microbes 2017, 8, 143–151. [Google Scholar] [CrossRef] [PubMed]
- Kwok, K.O.; Fries, L.R.; Silva-Zolezzi, I.; Thakkar, S.K.; Iroz, A.; Blanchard, C. Effects of Probiotic Intervention on Markers of Inflammation and Health Outcomes in Women of Reproductive Age and Their Children. Front. Nutr. 2022, 9, 889040. [Google Scholar] [CrossRef]
- Plaza-Díaz, J.; Ruiz-Ojeda, F.J.; Vilchez-Padial, L.M.; Gil, A. Evidence of the anti-inflammatory effects of probiotics and synbiotics in intestinal chronic diseases. Nutrients 2017, 9, 555. [Google Scholar] [CrossRef]
- Bezirtzoglou, E.; Stavropoulou, E.; Kantartzi, K.; Tsigalou, C.; Voidarou, C.; Mitropoulou, G.; Prapa, I.; Santarmaki, V.; Kompoura, V.; Yanni, A.E.; et al. Maintaining digestive health in diabetes: The role of the gut microbiome and the challenge of functional foods. Microorganisms 2021, 9, 516. [Google Scholar] [CrossRef] [PubMed]
- Cristofori, F.; Dargenio, V.N.; Dargenio, C.; Miniello, V.L.; Barone, M.; Francavilla, R. Anti-Inflammatory and Immunomodulatory Effects of Probiotics in Gut Inflammation: A Door to the Body. Front. Immunol. 2021, 12, 578386. [Google Scholar] [CrossRef]
- Dimitrellou, D.; Kandylis, P.; Sidira, M.; Koutinas, A.A.; Kourkoutas, Y. Free and immobilized Lactobacillus casei ATCC 393 on whey protein as starter cultures for probiotic Feta-type cheese production. J. Dairy Sci. 2014, 97, 4675–4685. [Google Scholar] [CrossRef] [PubMed]
- Nikolaou, A.; Galanis, A.; Kanellaki, M.; Tassou, C.; Akrida-Demertzi, K.; Kourkoutas, Y. Assessment of free and immobilized kefir culture in simultaneous alcoholic and malolactic cider fermentations. LWT Food Sci. Technol. 2017, 76, 67–78. [Google Scholar] [CrossRef]
- Nelios, G.; Prapa, I.; Nikolaou, A.; Mitropoulou, G.; Yanni, A.E.; Kostomitsopoulos, N.; Kourkoutas, Y. Cereals and Fruits as Effective Delivery Vehicles of Lacticaseibacillus rhamnosus through Gastrointestinal Transit. Appl. Sci. 2023, 13, 8643. [Google Scholar] [CrossRef]
- Nelios, G.; Santarmaki, V.; Pavlatou, C.; Dimitrellou, D.; Kourkoutas, Y. New Wild-Type Lacticaseibacillus rhamnosus Strains as Candidates to Manage Type 1 Diabetes. Microorganisms 2022, 10, 272. [Google Scholar] [CrossRef]
- Zhao, Y.; Li, M.; Wang, Y.; Geng, R.; Fang, J.; Liu, Q.; Kang, S.G.; Zeng, W.C.; Huang, K.; Tong, T. Understanding the mechanism underlying the anti-diabetic effect of dietary component: A focus on gut microbiota. Crit. Rev. Food Sci. Nutr. 2023, 63, 7378–7398. [Google Scholar] [CrossRef]
- Asnicar, F.; Berry, S.E.; Valdes, A.M.; Nguyen, L.H.; Piccinno, G.; Drew, D.A.; Leeming, E.; Gibson, R.; Le Roy, C.; Khatib, H.A.; et al. Microbiome connections with host metabolism and habitual diet from 1,098 deeply phenotyped individuals. Nat. Med. 2021, 27, 321–332. [Google Scholar] [CrossRef] [PubMed]
- Llanaj, E.; Dejanovic, G.M.; Valido, E.; Bano, A.; Gamba, M.; Kastrati, L.; Minder, B.; Stojic, S.; Voortman, T.; Marques-Vidal, P.; et al. Effect of oat supplementation interventions on cardiovascular disease risk markers: A systematic review and meta-analysis of randomized controlled trials. Eur. J. Nutr. 2022, 61, 1749–1778. [Google Scholar] [CrossRef] [PubMed]
- Kristek, A.; Schär, M.Y.; Soycan, G.; Alsharif, S.; Kuhnle, G.G.C.; Walton, G.; Spencer, J.P.E. The gut microbiota and cardiovascular health benefits: A focus on wholegrain oats. Nutr. Bull. 2018, 43, 358–373. [Google Scholar] [CrossRef]
- Thies, F.; Masson, L.F.; Boffetta, P.; Kris-Etherton, P. Oats and CVD risk markers: A systematic literature review. Br. J. Nutr. 2014, 112, S19–S30. [Google Scholar] [CrossRef] [PubMed]
- Schuster, J.; Benincá, G.; Vitorazzi, R.; del Bosco, S.M. Effects of oats on lipid profile, insulin resistance and weight loss. Nutr. Hosp. 2015, 32, 2111–2116. [Google Scholar] [CrossRef] [PubMed]
- Bao, L.; Cai, X.; Xu, M.; Li, Y. Effect of oat intake on glycaemic control and insulin sensitivity: A meta-analysis of randomised controlled trials. Br. J. Nutr. 2014, 112, 457–466. [Google Scholar] [CrossRef] [PubMed]
- Paudel, D.; Dhungana, B.; Caffe, M.; Krishnan, P. A review of health-beneficial properties of oats. Foods 2021, 10, 2591. [Google Scholar] [CrossRef] [PubMed]
- Nikolaou, A.; Mitropoulou, G.; Nelios, G.; Kourkoutas, Y. Novel Functional Grape Juices Fortified with Free or Immobilized Lacticaseibacillus rhamnosus OLXAL-1. Microorganisms 2023, 11, 646. [Google Scholar] [CrossRef] [PubMed]
- Furman, B.L. Streptozotocin-Induced Diabetic Models in Mice and Rats. Curr. Protoc. 2021, 1, e78. [Google Scholar] [CrossRef] [PubMed]
- Yanni, A.E.; Mitropoulou, G.; Prapa, I.; Agrogiannis, G.; Kostomitsopoulos, N.; Bezirtzoglou, E.; Kourkoutas, Y.; Karathanos, V.T. Functional modulation of gut microbiota in diabetic rats following dietary intervention with pistachio nuts (Pistacia vera L.). Metab. Open 2020, 7, 100040. [Google Scholar] [CrossRef] [PubMed]
- Kompoura, V.; Prapa, I.; Vasilakopoulou, P.B.; Mitropoulou, G.; Nelios, G.; Balafas, E.; Kostomitsopoulos, N.; Chiou, A.; Karathanos, V.T.; Bezirtzoglou, E.; et al. Corinthian Currants Supplementation Restores Serum Polar Phenolic Compounds, Reduces IL-1beta, and Exerts Beneficial Effects on Gut Microbiota in the Streptozotocin-Induced Type-1 Diabetic Rat. Metabolites 2023, 13, 415. [Google Scholar] [CrossRef]
- Prapa, I.; Kompoura, V.; Pavlatou, C.; Nelios, G.; Mitropoulou, G.; Kostomitsopoulos, N.; Plessas, S.; Bezirtzoglou, E.; Karathanos, V.T.; Yanni, A.E.; et al. Effects of Free or Immobilized Pediococcus acidilactici ORE5 on Corinthian Currants on Gut Microbiome of Streptozotocin-Induced Diabetic Rats. Microorganisms 2024, 12, 2004. [Google Scholar] [CrossRef]
- Lagkouvardos, I.; Fischer, S.; Kumar, N.; Clavel, T. Rhea: A transparent and modular R pipeline for microbial profiling based on 16S rRNA gene amplicons. PeerJ 2017, 5, e2836. [Google Scholar] [CrossRef] [PubMed]
- Nikolaou, A.; Nelios, G.; Kanellaki, M.; Kourkoutas, Y. Freeze-dried immobilized kefir culture in cider-making. J. Sci. Food Agric. 2020, 100, 3319–3327. [Google Scholar] [CrossRef]
- Prapa, I.; Yanni, A.E.; Nikolaou, A.; Kostomitsopoulos, N.; Kalogeropoulos, N.; Bezirtzoglou, E.; Karathanos, V.T.; Kourkoutas, Y. Dietary Pistachio (Pistacia vera L.) Beneficially Alters Fatty Acid Profiles in Streptozotocin-Induced Diabetic Rat. Appl. Sci. 2022, 12, 4606. [Google Scholar] [CrossRef]
- Al-Ishaq, R.K.; Abotaleb, M.; Kubatka, P.; Kajo, K.; Büsselberg, D. Flavonoids and their anti-diabetic effects: Cellular mechanisms and effects to improve blood sugar levels. Biomolecules 2019, 9, 430. [Google Scholar] [CrossRef] [PubMed]
- Hossein-Nia, B.; Khorram, S.; Rezazadeh, H.; Safaiyan, A.; Ghiasi, R.; Tarighat-Esfanjani, A. The effects of natural clinoptilolite and nano-sized clinoptilolite supplementation on lipid profile, food intakes and body weight in rats with streptozotocin-induced diabetes. Adv. Pharm. Bull. 2018, 8, 211–216. [Google Scholar] [CrossRef] [PubMed]
- Jing, S.; Zhao, Z.; Wu, J.; Yan, L.J. Antioxidative and hypoglycemic effect of ta-ermi extracts on streptozotocin-induced diabetes. Diabetes, Metab. Syndr. Obes. 2020, 13, 2147–2155. [Google Scholar] [CrossRef] [PubMed]
- Zafar, M.; Naeem-ul-Hassan Naqvi, S. Effects of STZ-Induced Diabetes on the Relative Weights of Kidney, Liver and Pancreas in Albino Rats: A Comparative Study. Int. J. Morphol. 2010, 28, 135–142. [Google Scholar] [CrossRef]
- Wang, R.; Zhang, Z.; Aihemaitijiang, S.; Ye, C.; Halimulati, M.; Huang, X.; Qin, H. Oat β Glucan Ameliorates Renal Function and Gut Microbiota in Diabetic Rats. Front. Nutr. 2022, 9, 875060. [Google Scholar] [CrossRef] [PubMed]
- Zhu, Y.; Dong, L.; Huang, L.; Shi, Z.; Dong, J.; Yao, Y.; Shen, R. Effects of oat β-glucan, oat resistant starch, and the whole oat flour on insulin resistance, inflammation, and gut microbiota in high-fat-diet-induced type 2 diabetic rats. J. Funct. Foods 2020, 69, 103939. [Google Scholar] [CrossRef]
- Arellano-García, L.; Macarulla, M.T.; Cuevas-Sierra, A.; Martínez, J.A.; Portillo, M.P.; Milton-Laskibar, I. Lactobacillus rhamnosus GG administration partially prevents diet-induced insulin resistance in rats: A comparison with its heat-inactivated parabiotic. Food Funct. 2023, 14, 8865–8875. [Google Scholar] [CrossRef] [PubMed]
- Nopparat, J.; Khuituan, P.; Peerakietkhajorn, S.; Teanpaisan, R. Probiotics of Lacticaseibacillus paracasei SD1 and Lacticaseibacillus rhamnosus SD11 attenuate inflammation and β-cell death in streptozotocin-induced type 1 diabetic mice. PLoS ONE 2023, 18, e0284303. [Google Scholar] [CrossRef] [PubMed]
- Dikeman, D.T.; Westman, E.C. Carbohydrate-restricted diets and Type 1 diabetes mellitus: Research considerations. Curr. Opin. Endocrinol. Diabetes Obes. 2021, 28, 437–440. [Google Scholar] [CrossRef] [PubMed]
- Cano-Cano, F.; Gómez-Jaramillo, L.; Ramos-García, P.; Arroba, A.I.; Aguilar-Diosdado, M. IL-1β Implications in Type 1 Diabetes Mellitus Progression: Systematic Review and Meta-Analysis. J. Clin. Med. 2022, 11, 1303. [Google Scholar] [CrossRef]
- Hajmrle, C.; Smith, N.; Spigelman, A.F.; Dai, X.; Senior, L.; Bautista, A.; Ferdaoussi, M.; MacDonald, P.E. Interleukin-1 signaling contributes to acute islet compensation. JCI Insight 2016, 1, e86055. [Google Scholar] [CrossRef] [PubMed]
- Fève, B.; Bastard, J.P. The role of interleukins in insulin resistance and type 2 diabetes mellitus. Nat. Rev. Endocrinol. 2009, 5, 305–311. [Google Scholar] [CrossRef] [PubMed]
- Peiró, C.; Lorenzo, Ó.; Carraro, R.; Sánchez-Ferrer, C.F. IL-1β inhibition in cardiovascular complications associated to diabetes mellitus. Front. Pharmacol. 2017, 8, 363. [Google Scholar] [CrossRef] [PubMed]
- Palmér, R.; Nyman, E.; Penney, M.; Marley, A.; Cedersund, G.; Agoram, B. Effects of il-1β-blocking therapies in type 2 diabetes mellitus: A quantitative systems pharmacology modeling approach to explore underlying mechanisms. CPT Pharmacomet. Syst. Pharmacol. 2014, 3, 1–8. [Google Scholar] [CrossRef] [PubMed]
- Aharon-Hananel, G.; Jörns, A.; Lenzen, S.; Raz, I.; Weksler-Zangen, S. Antidiabetic effect of interleukin-1β antibody therapy through β-Cell protection in the cohen diabetes- sensitive rat. Diabetes 2015, 64, 1780–1785. [Google Scholar] [CrossRef] [PubMed][Green Version]
- Spohn, G.; Schori, C.; Keller, I.; Sladko, K.; Sina, C.; Guler, R.; Schwarz, K.; Johansen, P.; Jennings, G.T.; Bachmann, M.F. Preclinical efficacy and safety of an anti-IL-1β vaccine for the treatment of type 2 diabetes. Mol. Ther. Methods Clin. Dev. 2014, 1, 14048. [Google Scholar] [CrossRef] [PubMed]
- Meydani, M. Potential health benefits of avenanthramides of oats. Nutr. Rev. 2009, 67, 731–735. [Google Scholar] [CrossRef]
- Suchecka, D.; Błaszczyk, K.; Harasym, J.; Gudej, S.; Wilczak, J.; Gromadzka-ostrowska, J. Impact of purified oat 1-3, 1-4- b -d-glucan of different molecular weight on alleviation of inflammation parameters during gastritis. J. Funct. Foods 2017, 28, 11–18. [Google Scholar] [CrossRef]
- Koenig, R.; Dickman, J.R.; Kang, C.; Zhang, T.; Chu, Y.F.; Ji, L.L. Avenanthramide supplementation attenuates exercise-induced inflammation in postmenopausal women. Nutr. J. 2014, 13, 21. [Google Scholar] [CrossRef] [PubMed]
- Wang, Y.; Qi, W.; Guo, X.; Song, G.; Pang, S.; Fang, W.; Peng, Z. Effects of oats, tartary buckwheat, and foxtail millet supplementation on lipid metabolism, oxido-inflammatory responses, gut microbiota, and colonic SCFA composition in high-fat diet fed rats. Nutrients 2022, 14, 2760. [Google Scholar] [CrossRef] [PubMed]
- Zheng, D.; Dou, J.; Liu, G.; Pan, Y.; Yan, Y.; Liu, F.; Gaisano, H.Y.; Lu, J.; He, Y. Association between triglyceride level and glycemic control among insulin-treated patients with type 2 diabetes. J. Clin. Endocrinol. Metab. 2019, 104, 1211–1220. [Google Scholar] [CrossRef]
- Guo, R.; Wei, L.; Cao, Y.; Zhao, W. Normal triglyceride concentration and the risk of diabetes mellitus type 2 in the general population of China. Front. Endocrinol. 2024, 15, 1330650. [Google Scholar] [CrossRef] [PubMed]
- Zhao, J.; Zhang, Y.; Wei, F.; Song, J.; Cao, Z.; Chen, C.; Zhang, K.; Feng, S.; Wang, Y.; Li, W.D. Triglyceride is an independent predictor of type 2 diabetes among middle-aged and older adults: A prospective study with 8-year follow-ups in two cohorts. J. Transl. Med. 2019, 17, 1–7. [Google Scholar] [CrossRef]
- Guy, J.; Ogden, L.; Wadwa, R.P.; Hamman, R.F.; Mayer-Davis, E.J.; LIese, A.D.; D’Agostino, R.; Marcovina, S.; Dabelea, D. Lipid and lipoprotein profiles in youth with and without type 1 diabetes: The SEARCH for diabetes in youth case-control study. Diabetes Care 2009, 32, 416–420. [Google Scholar] [CrossRef]
- Unger, G.; Benozzi, S.F.; Perruzza, F.; Pennacchiotti, G.L. Triglycerides and glucose index: A useful indicator of insulin resistance. Endocrinol. Nutr. (Engl. Ed.) 2014, 61, 533–540. [Google Scholar] [CrossRef]
- Wunderling, K.; Zurkovic, J.; Zink, F.; Kuerschner, L.; Thiele, C. Triglyceride cycling enables modification of stored fatty acids. Nat. Metab. 2023, 5, 699–709. [Google Scholar] [CrossRef] [PubMed]
- Yan, G.; Li, S.; Wen, Y.; Luo, Y.; Huang, J.; Chen, B.; Lv, S.; Chen, L.; He, L.; He, M.; et al. Characteristics of intestinal microbiota in C57BL/6 mice with non-alcoholic fatty liver induced by high-fat diet. Front. Microbiol. 2022, 13, 1051200. [Google Scholar] [CrossRef]
- Ma, Y.; Deng, X.; Yang, X.; Wang, J.; Li, T.; Hua, G.; Han, D.; Da, L.; Li, R.; Rong, W.; et al. Characteristics of Bacterial Microbiota in Different Intestinal Segments of Aohan Fine-Wool Sheep. Front. Microbiol. 2022, 13, 874536. [Google Scholar] [CrossRef] [PubMed]
- Leeming, E.R.; Johnson, A.J.; Spector, T.D.; Roy, C.I.L. Effect of diet on the gut microbiota: Rethinking intervention duration. Nutrients 2019, 11, 2862. [Google Scholar] [CrossRef] [PubMed]
- Edith Marius, F.K.; François, Z.N.; Pierre Marie, K.; Rui Yan, W.; Taicheng, Z.; Li, Y. Screening and Characterization of Lactobacillus sp. from the Water of Cassava’s Fermentation for Selection as Probiotics. Food Biotechnol. 2018, 32, 15–34. [Google Scholar] [CrossRef]
- Liu, P.; Wang, Y.; Yang, G.; Zhang, Q.; Meng, L.; Xin, Y.; Jiang, X. The role of short-chain fatty acids in intestinal barrier function, inflammation, oxidative stress, and colonic carcinogenesis. Pharmacol. Res. 2021, 165, 105420. [Google Scholar] [CrossRef] [PubMed]
- Wang, G.; Si, Q.; Yang, S.; Jiao, T.; Zhu, H.; Tian, P.; Wang, L.; Li, X.; Gong, L.; Zhao, J.; et al. Lactic acid bacteria reduce diabetes symptoms in mice by alleviating gut microbiota dysbiosis and inflammation in different manners. Food Funct. 2020, 11, 5898–5914. [Google Scholar] [CrossRef] [PubMed]
- Pahwa, R.; Balderas, M.; Jialal, I.; Chen, X.; Luna, R.A.; Devaraj, S. Gut Microbiome and Inflammation: A Study of Diabetic Inflammasome-Knockout Mice. J. Diabetes Res. 2017, 2017, 3–8. [Google Scholar] [CrossRef] [PubMed]
- Demirci, M.; Bahar Tokman, H.; Taner, Z.; Keskin, F.E.; Çağatay, P.; Ozturk Bakar, Y.; Özyazar, M.; Kiraz, N.; Kocazeybek, B.S. Bacteroidetes and Firmicutes levels in gut microbiota and effects of hosts TLR2/TLR4 gene expression levels in adult type 1 diabetes patients in Istanbul, Turkey. J. Diabetes Complicat. 2020, 34, 107449. [Google Scholar] [CrossRef]
- Menofy, N.G.E.; Radwan, H.M.; Radwan, S.M.R. The Diversity of Gut Microbiota among Type 1 and Type 2 Egyptian Diabetic Patients. Egypt. J. Med. Microbiol. 2020, 29, 123–130. [Google Scholar] [CrossRef]
- Lippert, K.; Kedenko, L.; Antonielli, L.; Kedenko, I.; Gemeier, C.; Leitner, M.; Kautzky-Willer, A.; Paulweber, B.; Hackl, E. Gut microbiota dysbiosis associated with glucose metabolism disorders and the metabolic syndrome in older adults. Benef. Microbes 2017, 8, 545–556. [Google Scholar] [CrossRef]
- Turnbaugh, P.J.; Hamady, M.; Yatsunenko, T.; Cantarel, B.L.; Duncan, A.; Ley, R.E.; Sogin, M.L.; Jones, W.J.; Roe, B.A.; Affourtit, J.P.; et al. A core gut microbiome in obese and lean twins. Nature 2009, 457, 480–484. [Google Scholar] [CrossRef] [PubMed]
- Wang, Y.; Dilidaxi, D.; Wu, Y.; Sailike, J.; Sun, X.; Nabi, X. hua Composite probiotics alleviate type 2 diabetes by regulating intestinal microbiota and inducing GLP-1 secretion in db/db mice. Biomed. Pharmacother. 2020, 125, 109914. [Google Scholar] [CrossRef] [PubMed]
- Hänninen, A.; Toivonen, R.; Pöysti, S.; Belzer, C.; Plovier, H.; Ouwerkerk, J.P.; Emani, R.; Cani, P.D.; De Vos, W.M. Akkermansia muciniphila induces gut microbiota remodelling and controls islet autoimmunity in NOD mice. Gut 2018, 67, 1445–1453. [Google Scholar] [CrossRef]
- Peng, L.; Li, Z.R.; Green, R.S.; Holzman, I.R.; Lin, J. Butyrate enhances the intestinal barrier by facilitating tight junction assembly via activation of AMP-activated protein kinase in Caco-2 cell monolayers. J. Nutr. 2009, 139, 1619–1625. [Google Scholar] [CrossRef] [PubMed]
- Mandaliya, D.K.; Seshadri, S. Short Chain Fatty Acids, pancreatic dysfunction and type 2 diabetes. Pancreatology 2019, 19, 617–622, Erratum in Pancreatology 2019, 19, 616. [Google Scholar] [CrossRef]
- Maslowski, K.M.; Vieira, A.T.; Ng, A.; Kranich, J.; Sierro, F.; Di, Y.; Schilter, H.C.; Rolph, M.S.; MacKay, F.; Artis, D.; et al. Regulation of inflammatory responses by gut microbiota and chemoattractant receptor GPR43. Nature 2009, 461, 1282–1286. [Google Scholar] [CrossRef]
- Wang, C.; Wang, X.; Huang, Y.; Bu, X.; Xiao, S.; Qin, C.; Qiao, F.; Qin, J.G.; Chen, L. Effects of dietary T-2 toxin on gut health and gut microbiota composition of the juvenile Chinese mitten crab (Eriocheir sinensis). Fish Shellfish Immunol. 2020, 106, 574–582. [Google Scholar] [CrossRef] [PubMed]
- Liu, Y.X.; Qin, Y.; Chen, T.; Lu, M.; Qian, X.; Guo, X.; Bai, Y. A practical guide to amplicon and metagenomic analysis of microbiome data. Protein Cell 2021, 12, 315–330. [Google Scholar] [CrossRef] [PubMed]
- Corrêa, R.O.; Vieira, A.; Sernaglia, E.M.; Lancellotti, M.; Vieira, A.T.; Avila-Campos, M.J.; Rodrigues, H.G.; Vinolo, M.A.R. Bacterial short-chain fatty acid metabolites modulate the inflammatory response against infectious bacteria. Cell. Microbiol. 2017, 19, e12720. [Google Scholar] [CrossRef] [PubMed]
- Frost, G.; Sleeth, M.L.; Sahuri-Arisoylu, M.; Lizarbe, B.; Cerdan, S.; Brody, L.; Anastasovska, J.; Ghourab, S.; Hankir, M.; Zhang, S.; et al. The short-chain fatty acid acetate reduces appetite via a central homeostatic mechanism. Nat. Commun. 2014, 5, 3611. [Google Scholar] [CrossRef] [PubMed]
- Gao, Z.; Yin, J.; Zhang, J.; Ward, R.E.; Martin, R.J.; Lefevre, M.; Cefalu, W.T.; Ye, J. Butyrate improves insulin sensitivity and increases energy expenditure in mice. Diabetes 2009, 58, 1509–1517. [Google Scholar] [CrossRef] [PubMed]
- Traisaeng, S.; Batsukh, A.; Chuang, T.H.; Herr, D.R.; Huang, Y.F.; Chimeddorj, B.; Huang, C.M. Leuconostoc mesenteroides fermentation produces butyric acid and mediates Ffar2 to regulate blood glucose and insulin in type 1 diabetic mice. Sci. Rep. 2020, 10, 7928. [Google Scholar] [CrossRef]
- Plummer, E.L.; Bradshaw, C.S.; Doyle, M.; Fairley, C.K.; Murray, G.L.; Bateson, D.; Masson, L.; Slifirski, J.; Tachedjian, G.; Vodstrcil, L.A. Lactic acid-containing products for bacterial vaginosis and their impact on the vaginal microbiota: A systematic review. PLoS ONE 2021, 16, e0246953. [Google Scholar] [CrossRef]
- Singh, R.; Gholipourmalekabadi, M.; Shafikhani, S.H. Animal models for type 1 and type 2 diabetes: Advantages and limitations. Front. Endocrinol. 2024, 15, 1359685. [Google Scholar] [CrossRef] [PubMed]
- Prapa, I.; Yanni, A.E.; Kompoura, V.; Mitropoulou, G.; Panas, P.; Kostomitsopoulos, N.; Kourkoutas, Y. Functional Modulation of Gut Microbiota and Blood Parameters in Diabetic Rats Following Dietary Intervention with Free or Immobilized Pediococcus acidilactici SK Cells on Pistachio Nuts. Nutrients 2024, 16, 4221. [Google Scholar] [CrossRef] [PubMed]
- Zhu, W.; Zhang, X.; Wang, D.; Yao, Q.; Ma, G.-L.; Fan, X. Simulator of the Human Intestinal Microbial Ecosystem (SHIME®): Current Developments, Applications, and Future Prospects. Pharmaceuticals 2024, 17, 1639. [Google Scholar] [CrossRef]
- Liu, T.; Zhang, L.; Joo, D.; Sun, S.C. NF-κB signaling in inflammation. Sig. Transduct. Target. Ther. 2017, 2, 17023. [Google Scholar] [CrossRef]
- Adamska, E.; Ostrowska, L.; Goŕska, M.; Kreţowski, A. The role of gastrointestinal hormones in the pathogenesis of obesity and type 2 diabetes. Prz. Gastroenterol. 2014, 9, 69–76. [Google Scholar] [CrossRef] [PubMed]
- Fan, S.; Xu, Y.; Lu, Y.; Jiang, Z.; Li, H.; Morrill, J.C.; Cai, J.; Wu, Q.; Xu, Y.; Xue, M.; et al. A neural basis for brain leptin action on reducing type 1 diabetic hyperglycemia. Nat. Commun. 2021, 12, 2662. [Google Scholar] [CrossRef]







| Control Diet | Oat Flakes Supplemented Diet | |
|---|---|---|
| Proteins (g) | 19.50 | 18.95 |
| Carbohydrates (g) | 41.51 | 43.05 |
| Fats (g) | 6.00 | 6.09 |
| Dietary fiber (g) | 4.20 | 4.73 |
| Moisture content (%) | 12.00 | 11.89 |
| Ash (%) | 6.00 | 5.48 |
| Freeze-dried oat flakes (g) | 0 | 10.00 |
| Energy (Kcal) | 298 | 302 |
| CD | OD | CIC | CFC | DCD | DOD | DIC | DFC | |
|---|---|---|---|---|---|---|---|---|
| Intestinal fluid (cecum) | Cell populations (log CFU/g) | |||||||
| E. coli | 4.65 ± 0.66 a–c | 4.22 ± 0.69 a | 4.22 ± 0.69 a | 4.55 ± 0.35 ab | 6.16 ± 0.24 de | 5.51 ± 0.75 cd | 5.35 ± 0.39 b–d | 6.47 ± 0.28 e |
| Enterobacteriaceae | 4.59 ± 0.69 a–c | 4.08 ± 0.91 a | 4.35 ± 0.48 ab | 4.61 ± 0.38 a–c | 6.23 ± 0.17 cd | 5.42 ± 1.00 de | 5.31 ± 0.37 b–d | 6.50 ± 0.23 e |
| Lactobacilli | 7.38 ± 0.32 a | 7.33 ± 0.64 a | 8.28 ± 0.29 b | 8.32 ± 0.25 b | 7.55 ± 0.28 a | 7.48 ± 0.70 a | 8.42 ± 0.21 b | 8.36 ± 0.24 b |
| Total mesophilic counts | 7.40 ± 0.27 a | 7.40 ± 0.41 a | 8.29 ± 0.21 b | 8.27 ± 0.37 b | 7.56 ± 0.31 a | 7.41 ± 0.45 a | 8.44 ± 0.18 b | 8.31 ± 0.31 b |
| Coliforms | 4.63 ± 0.65 ab | 4.26 ± 0.68 a | 4.15 ± 0.85 a | 4.29 ± 0.50 a | 6.21 ± 0.13 cd | 5.43 ± 0.74 b–d | 5.34 ± 0.35 bc | 6.41 ± 0.33 d |
| Enterococci | 5.13 ± 0.12 cd | 4.74 ± 0.33 c | 5.54 ± 0.81 acd | 5.65 ± 0.12 ad | 6.32 ± 0.22 ab | 6.51 ± 0.36 b | 6.30 ± 0.49 ab | 6.21 ± 0.30 ab |
| Staphylococci | 5.21 ± 0.14 bc | 4.76 ± 0.37 b | 4.64 ± 0.31 b | 5.52 ± 0.30 ac | 6.24 ± 0.23 ad | 6.28 ± 0.41 d | 5.57 ± 0.65 ac | 6.18 ± 0.31 ad |
| Bifidobacteria | 7.27 ± 0.14 ab | 7.08 ± 0.08 ab | 7.54 ± 0.45 ac | 7.58 ± 0.41 ac | 6.57 ± 0.35 b | 6.74 ± 0.09 ab | 8.40 ± 0.27 c | 7.38 ± 0.78 ab |
| Clostridia | 6.00 ± 0.12 bc | 5.81 ± 0.16 b | 5.29 ± 0.32 e | 6.71 ± 0.42 a | 7.46 ± 0.20 d | 7.31 ± 0.17 d | 6.62 ± 0.26 ac | 6.73 ± 0.29 a |
| Intestinal tissue (cecum) | ||||||||
| E. coli | 3.43 ± 0.71 ab | 3.26 ± 0.67 a | 3.29 ± 0.76 a | 3.53 ± 0.44 ab | 5.49 ± 0.30 cd | 4.61 ± 0.74 cd | 4.36 ± 0.34 bc | 5.53 ± 0.36 d |
| Enterobacteriaceae | 3.15 ± 0.63 ab | 3.12 ± 0.77 b | 3.75 ± 0.89 ab | 3.76 ± 0.42 ab | 5.50 ± 0.21 cd | 4.46 ± 0.84 ac | 4.37 ± 0.40 ac | 5.55 ± 0.30 d |
| Lactobacilli | 6.04 ± 0.34 a | 5.99 ± 0.57 a | 6.94 ± 0.41 b | 6.97 ± 0.35 b | 5.86 ± 0.41 a | 6.11 ± 0.62 a | 6.87 ± 0.39 b | 7.05 ± 0.26 b |
| Total aerobic counts | 6.12 ± 0.31 a | 6.12 ± 0.33 a | 7.00 ± 0.30 b | 6.99 ± 0.39 b | 5.96 ± 0.19 a | 6.13 ± 0.37 a | 6.98 ± 0.20 b | 7.15 ± 0.21 b |
| Coliforms | 3.49 ± 0.76 ac | 3.12 ± 0.63 a | 3.01 ± 0.92 a | 3.16 ± 0.56 a | 5.45 ± 0.17 c | 4.57 ± 0.69 bc | 4.49 ± 0.39 bc | 5.57 ± 0.44 c |
| Enterococci | 3.84 ± 0.19 bc | 3.39 ± 0.28 b | 4.20 ± 0.77 bc | 4.30 ± 0.22 c | 5.42 ± 0.32 a | 5.92 ± 0.31 a | 5.72 ± 0.53 a | 5.63 ± 0.42 a |
| Staphylococci | 4.13 ± 0.17 bc | 3.67 ± 0.38 bc | 3.55 ± 0.37 b | 4.43 ± 0.41 cd | 5.76 ± 0.30 a | 5.84 ± 0.42 a | 5.14 ± 0.65 ad | 5.75 ± 0.42 a |
| Bifidobacteria | 5.88 ± 0.20 a | 5.69 ± 0.15 a | 6.14 ± 0.54 a | 6.18 ± 0.48 a | 5.67 ± 0.42 a | 5.66 ± 0.16 a | 7.34 ± 0.36 b | 6.32 ± 0.82 ab |
| Clostridia | 4.91 ± 0.26 ab | 4.73 ± 0.13 af | 4.20 ± 0.36 f | 5.62 ± 0.48 c–e | 6.36 ± 0.16 e | 6.03 ± 0.15 de | 5.16 ± 0.23 a–c | 5.47 ± 0.36 b–d |
| Phylum | Relative Abundances (%) | |||||||||||||||
|---|---|---|---|---|---|---|---|---|---|---|---|---|---|---|---|---|
| CD | OD | CIC | CFC | DCD | DOD | DIC | DFC | |||||||||
| Week 0 | Week 4 | Week 0 | Week 4 | Week 0 | Week 4 | Week 0 | Week 4 | Week 0 | Week 4 | Week 0 | Week 4 | Week 0 | Week 4 | Week 0 | Week 4 | |
| Firmicutes | 88.93 ± 3.09 ab | 78.22 ± 5.87 ab | 69.76 ± 1.07 ab | 76.95 ± 1.30 ab | 60.36 ± 7.09 a | 90.00 ± 8.82 ab | 75.01 ± 6.38 ab | 79.38 ± 11.19 ab | 87.61 ± 7.88 ab | 83.63 ± 12.44 ab | 95.67 ± 0.28 b | 84.46 ± 2.51 ab | 78.88 ± 12.85 ab | 87.71 ± 0.16 ab | 60.00 ± 8.80 a | 65.75 ± 4.38 ab |
| Bacteroidetes | 10.25 ± 2.54 ab | 16.41 ± 7.36 a–c | 24.60 ± 7.39 a–c | 18.01 ± 2.08 a–c | 35.88 ± 3.18 bc | 9.27 ± 8.18 ab | 19.14 ± 2.64 a–c | 11.13 ± 2.48 ab | 12.00 ± 7.81 a–c | 12.55 ± 9.05 a–c | 4.10 ± 0.25 a | 14.00 ± 0.92 a–c | 20.72 ± 12.52 a–c | 9.56 ± 0.27 ab | 39.21 ± 8.08 a–c | 18.32 ± 1.15 a–c |
| Actinobacteria | 0.42 ± 0.46 a | 0.09 ± 0.04 a | 0.31 ± 0.22 a | 0.07 ± 0.01 a | 0.88 ± 0.03 a | 0.41 ± 0.41 a | 0.06 ± 0.02 a | 0.07 ± 0.02 a | 0.22 ± 0.05 a | 1.00 ± 0.37 ab | 0.11 ± 0.01 a | 0.57 ± 0.30 ab | 0.30 ± 0.31 ab | 2.67 ± 0.43 b | 0.71 ± 0.74 a | 11.21 ± 0.90 c |
| Verrucomicrobia | 0.36 ± 0.09 | 5.27 ± 1.53 | 5.33 ± 6.54 | 4.97 ± 0.79 | 2.88 ± 3.87 | 0.31 ± 0.23 | 5.79 ± 3.72 | 9.42 ± 3.72 | 0.17 ± 0.11 | 2.82 ± 3.77 | 0.12 ± 0.02 | 0.97 ± 1.23 | 0.10 ± 0.01 | 0.07 ± 0.01 | 0.08 ± 0.01 | 4.71 ± 6.43 |
| CD | OD | CIC | CFC | DCD | DOD | DIC | DFC | |||||||||
|---|---|---|---|---|---|---|---|---|---|---|---|---|---|---|---|---|
| Week 0 | Week 4 | Week 0 | Week 4 | Week 0 | Week 4 | Week 0 | Week 4 | Week 0 | Week 4 | Week 0 | Week 4 | Week 0 | Week 4 | Week 0 | Week 4 | |
| Lactic acid | 1.63 ± 0.91 a | 1.17 ± 0.52 a | 1.95 ± 0.33 a | 2.48 ± 1.10 a | 3.01 ± 0.65 a | 12.66 ± 2.51 b | 2.23 ± 1.13 a | 12.23 ± 0.60 b | 1.83 ± 0.53 a | 2.17 ± 1.30 a | 2.21 ± 0.79 a | 2.53 ± 0.66 a | 2.45 ± 0.91 a | 13.94 ± 3.89 b | 2.72 ± 0.91 a | 12.76 ± 2.52 b |
| Acetic acid | 19.11 ± 5.49 ac | 22.73 ± 10.30 a–c | 20.98 ± 3.09 a–c | 19.19 ± 8.22 a | 22.15 ± 5.49 a | 20.24 ± 5.86 a | 24.45 ± 3.89 a–d | 24.62 ± 3.13 a–d | 37.79 ± 4.93 b–e | 25.58 ± 9.69 a–d | 32.68 ± 5.35 a–e | 20.98 ± 6.97 ac | 38.8 ± 7.04 de | 47.83 ± 10.30 ef | 36.53 ± 6.59 b–e | 62.49 ± 8.32 f |
| Propionic acid | 1.77 ± 1.03 | 2.17 ± 1.72 | 1.87 ± 0.51 | 2.91 ± 1.94 | 1.96 ± 0.72 | 1.69 ± 1.80 | 1.08 ± 0.30 | 1.32 ± 0.61 | 3.51 ± 2.07 | 3.64 ± 2.80 | 2.11 ± 1.31 | 4.17 ± 2.53 | 1.37 ± 0.65 | 2.8 ± 1.00 | 2.30 ± 0.48 | 4.12 ± 2.48 |
| Isobutyric acid | 0.20 ± 0.11 a–c | 0.29 0.11 c | 0.13 ± 0.09 a–c | 0.10 ± 0.03 ab | 0.05 ± 0.03 a | 0.08 ± 0.03 ab | 0.15 ± 0.06 a–c | 0.17 ± 0.09 a–c | 0.11 ± 0.04 a–c | 0.24 ± 0.19 bc | 0.13 ± 0.06 a–c | 0.26 ± 0.06 bc | 0.06 ± 0.04 a | 0.05 ± 0.02 a | 0.09 ± 0.05 ab | 0.05 ± 0.05 a |
| Butyric acid | 1.71 ± 0.78 a | 1.76 ± 1.10 a | 1.69 ± 0.44 a | 1.11 ± 0.41 a | 1.42 ± 0.41 a | 4.84 ± 0.41 b | 1.20 ± 0.55 a | 1.49 ± 0.60 a | 0.95 ± 0.38 a | 1.55 ± 0.95 a | 1.05 ± 0.44 a | 1.79 ± 0.51 a | 1.35 ± 0.84 a | 1.18 ± 0.55 a | 1.46 ± 0.24 a | 1.22 ± 0.51 a |
| Isovaleric acid | 0.06 ± 0.01 | 0.15 ± 0.12 | 0.07 ± 0.05 | 0.12 ± 0.04 | 0.04 ± 0.02 | 0.14 ± 0.04 | 0.10 ± 0.06 | 0.13 ± 0.05 | 0.05 ± 0.02 | 0.12 ± 0.02 | 0.07 ± 0.04 | 0.10 ± 0.02 | 0.04 ± 0.02 | 0.10 ± 0.02 | 0.04 ± 0.05 | 0.10 ± 0.04 |
| Valeric acid | 0.23 ± 0.17 | 0.21 ± 0.17 | 0.15 ± 0.07 | 0.10 ± 0.07 | 0.07 ± 0.03 | 0.18 ± 0.10 | 0.14 ± 0.08 | 0.21 ± 0.10 | 0.09 ± 0.03 | 0.20 ± 0.03 | 0.10 ± 0.03 | 0.18 ± 0.07 | 0.07 ± 0.06 | 0.05 ± 0.03 | 0.10 ± 0.06 | 0.04 ± 0.02 |
Disclaimer/Publisher’s Note: The statements, opinions and data contained in all publications are solely those of the individual author(s) and contributor(s) and not of MDPI and/or the editor(s). MDPI and/or the editor(s) disclaim responsibility for any injury to people or property resulting from any ideas, methods, instructions or products referred to in the content. |
© 2024 by the authors. Licensee MDPI, Basel, Switzerland. This article is an open access article distributed under the terms and conditions of the Creative Commons Attribution (CC BY) license (https://creativecommons.org/licenses/by/4.0/).
Share and Cite
Nelios, G.; Prapa, I.; Mitropoulou, G.; Kompoura, V.; Balafas, E.; Kostomitsopoulos, N.; Yanni, A.E.; Kourkoutas, Y. Assessment of Immobilized Lacticaseibacillus rhamnosus OLXAL-1 Cells on Oat Flakes for Functional Regulation of the Intestinal Microbiome in a Type-1 Diabetic Animal Model. Foods 2024, 13, 4134. https://doi.org/10.3390/foods13244134
Nelios G, Prapa I, Mitropoulou G, Kompoura V, Balafas E, Kostomitsopoulos N, Yanni AE, Kourkoutas Y. Assessment of Immobilized Lacticaseibacillus rhamnosus OLXAL-1 Cells on Oat Flakes for Functional Regulation of the Intestinal Microbiome in a Type-1 Diabetic Animal Model. Foods. 2024; 13(24):4134. https://doi.org/10.3390/foods13244134
Chicago/Turabian StyleNelios, Grigorios, Ioanna Prapa, Gregoria Mitropoulou, Vasiliki Kompoura, Evangelos Balafas, Nikolaos Kostomitsopoulos, Amalia E. Yanni, and Yiannis Kourkoutas. 2024. "Assessment of Immobilized Lacticaseibacillus rhamnosus OLXAL-1 Cells on Oat Flakes for Functional Regulation of the Intestinal Microbiome in a Type-1 Diabetic Animal Model" Foods 13, no. 24: 4134. https://doi.org/10.3390/foods13244134
APA StyleNelios, G., Prapa, I., Mitropoulou, G., Kompoura, V., Balafas, E., Kostomitsopoulos, N., Yanni, A. E., & Kourkoutas, Y. (2024). Assessment of Immobilized Lacticaseibacillus rhamnosus OLXAL-1 Cells on Oat Flakes for Functional Regulation of the Intestinal Microbiome in a Type-1 Diabetic Animal Model. Foods, 13(24), 4134. https://doi.org/10.3390/foods13244134

