Effectiveness of Differentiating Mold Levels in Soybeans with Electronic Nose Detection Technology
Abstract
1. Introduction
2. Materials and Methods
2.1. Preparation of Mold Spore Suspension
2.2. Inoculation and Incubation
2.3. E-Nose Detection
2.4. Data Analysis
3. Results and Analysis
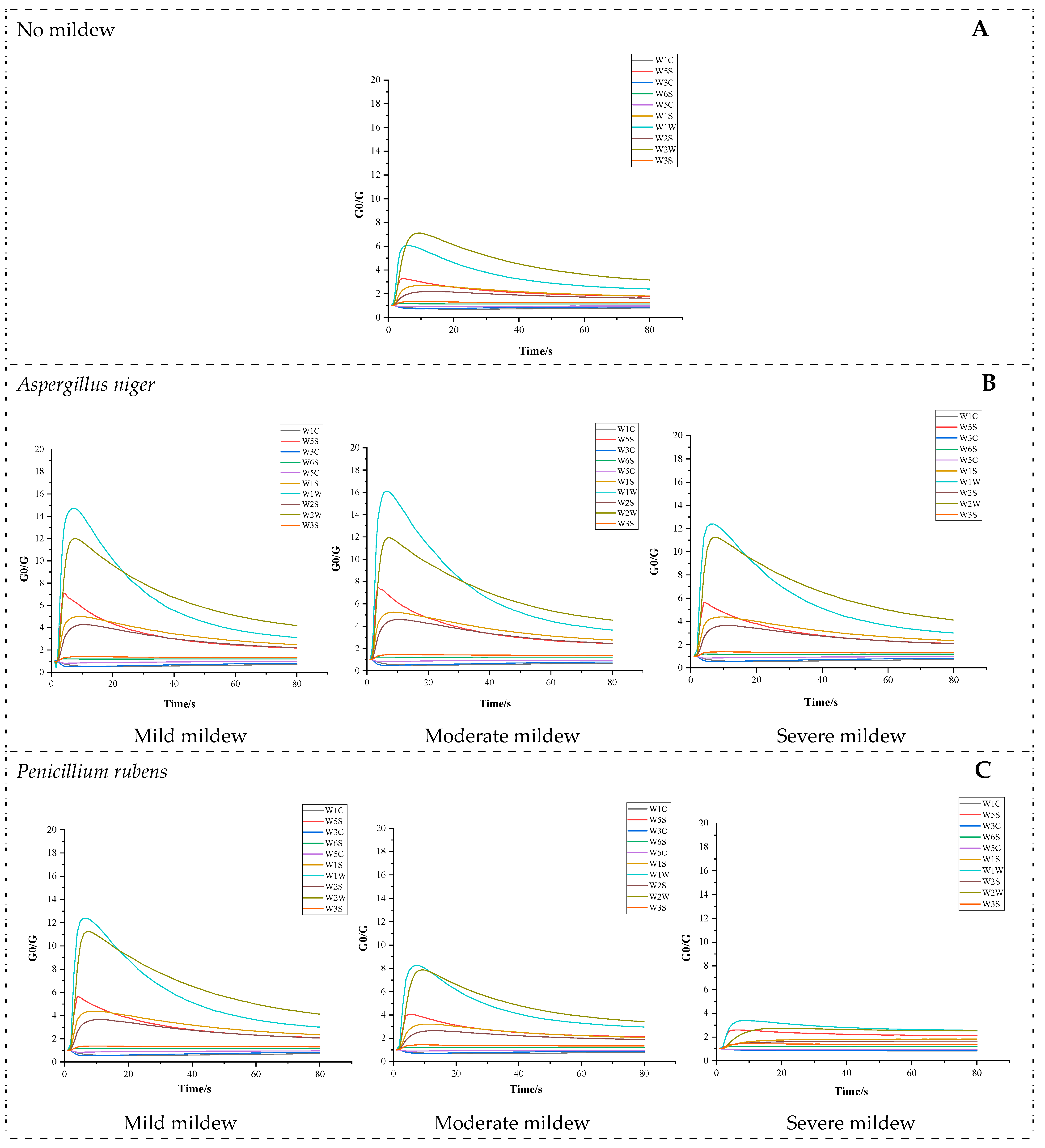
3.1. Sensor Response Analysis of Mold Inoculation and Natural Mildew Soybean
3.1.1. Aspergillus niger
3.1.2. Penicillium rubens
3.1.3. Rhizopus microsporus
3.1.4. Penicillium oxalicum
3.1.5. Aspergillus versicolor
3.1.6. Natural Mildew
3.2. Radar Map Analysis of Soybeans with Different Degrees of Mildew
3.3. Identification and Analysis of Mold Inoculation and Naturally Moldy Soybean
3.3.1. E-Nose Sensor Contribution Rate Analysis
3.3.2. PCA of Mold Inoculation and Natural Mildew Soybean
3.3.3. LDA of Mold Inoculation and Natural Mildew Soybean
3.4. Identification and Analysis of Soybean with Different Mildew Grades
3.4.1. PCA of Soybean with Different Mildew Grades
3.4.2. LDA of Soybean with Different Mildew Grades
4. Discussion
5. Conclusions
Author Contributions
Funding
Institutional Review Board Statement
Informed Consent Statement
Data Availability Statement
Conflicts of Interest
References
- Zhu, Y.-L.; Zhang, H.-S.; Zhao, X.-S.; Xue, H.-H.; Xue, J.; Sun, Y.-H. Composition, Distribution, and Antioxidant Activity of Phenolic Compounds in 18 Soybean Cultivars. J. AOAC Int. 2018, 101, 520–528. [Google Scholar] [CrossRef] [PubMed]
- Rizzo, G.; Baroni, L. Soy, Soy Foods and Their Role in Vegetarian Diets. Nutrients 2018, 10, 43. [Google Scholar] [CrossRef] [PubMed]
- Zhang, G.; Li, P.; Zhang, W.; Zhao, J. Analysis of Multiple Soybean Phytonutrients by Near-Infrared Reflectance Spectroscopy. Anal. Bioanal. Chem. 2017, 409, 3515–3525. [Google Scholar] [CrossRef]
- Hu, C.; Wong, W.-T.; Wu, R.; Lai, W.-F. Biochemistry and Use of Soybean Isoflavones in Functional Food Development. Crit. Rev. Food Sci. Nutr. 2020, 60, 2098–2112. [Google Scholar] [CrossRef] [PubMed]
- Carrera, C.S.; Seguin, P. Factors Affecting Tocopherol Concentrations in Soybean Seeds. J. Agric. Food Chem. 2016, 64, 9465–9474. [Google Scholar] [CrossRef]
- Zhang, S.; Hao, D.; Zhang, S.; Zhang, D.; Wang, H.; Du, H.; Kan, G.; Yu, D. Genome-Wide Association Mapping for Protein, Oil and Water-Soluble Protein Contents in Soybean. Mol. Genet. Genom. 2021, 296, 91–102. [Google Scholar] [CrossRef]
- Pan, L.; Farouk, M.; Qin, G.; Zhao, Y.; Bao, N. The Influences of Soybean Agglutinin and Functional Oligosaccharides on the Intestinal Tract of Monogastric Animals. Int. J. Mol. Sci. 2018, 19, 554. [Google Scholar] [CrossRef]
- Liu, S.; Zhang, M.; Feng, F.; Tian, Z. Toward a “Green Revolution” for Soybean. Mol. Plant 2020, 13, 688–697. [Google Scholar] [CrossRef]
- Sorour, H.; Uchino, T. Effect of Changing Temperature on the Deterioration of Soya Beans. Biosyst. Eng. 2004, 87, 453–462. [Google Scholar] [CrossRef]
- Zhang, Z.; Xie, Q.; Che, L. Effects of Gamma Irradiation on Aflatoxin B1 Levels in Soybean and on the Properties of Soybean and Soybean Oil. Appl. Radiat. Isot. 2018, 139, 224–230. [Google Scholar] [CrossRef] [PubMed]
- Li, X.; Yang, C.; Chen, J.; He, Y.; Deng, J.; Xie, C.; Xiao, X.; Long, X.; Wu, X.; Liu, W.; et al. Changing Light Promotes Isoflavone Biosynthesis in Soybean Pods and Enhances Their Resistance to Mildew Infection. Plant Cell Environ. 2021, 44, 2536–2550. [Google Scholar] [CrossRef]
- Guo, X.; Su, Y.; Liu, J.; Li, Y.; Li, F.; Lei, H. Multi-Plug Filtration Purification Combined with High-Performance Liquid Chromatography-Tandem Mass Spectrometry for the Simultaneous Determination of Pesticides, Veterinary Drugs, Mycotoxins, and Persistent Organic Pollutants in Livestock and Poultry Meat. Food Anal. Methods 2024, 17, 957–996. [Google Scholar] [CrossRef]
- Haq, I.U.; Taj, R.; Nafees, M.; Hussain, A. Mycotoxin Detection in Selected Medicinal Plants Using Chromatographic Techniques. Biomed. Chromatogr. 2024, 38, e5831. [Google Scholar] [CrossRef] [PubMed]
- Dichtl, K.; Seybold, U.; Ormanns, S.; Horns, H.; Wagener, J. Evaluation of a Novel Aspergillus Antigen Enzyme-Linked Immunosorbent Assay. J. Clin. Microbiol. 2019, 57, e00136-19. [Google Scholar] [CrossRef] [PubMed]
- Liu, S.; Zhao, J.; Guo, Y.; Ma, X.; Sun, C.; Cai, M.; Chi, Y.; Xu, K. Application of ATP-Based Bioluminescence Technology in Bacterial Detection: A Review. Analyst 2023, 148, 3452–3459. [Google Scholar] [CrossRef]
- El Sheikha, A.F. Molecular Detection of Mycotoxigenic Fungi in Foods: The Case for Using PCR-DGGE. Food Biotechnol. 2019, 33, 54–108. [Google Scholar] [CrossRef]
- Shen, F.; Wu, Q.; Liu, P.; Jiang, X.; Fang, Y.; Cao, C. Detection of Aspergillus spp. Contamination Levels in Peanuts by near Infrared Spectroscopy and Electronic Nose. Food Control 2018, 93, 1–8. [Google Scholar] [CrossRef]
- Siripatrawan, U.; Makino, Y. Monitoring Fungal Growth on Brown Rice Grains Using Rapid and Non-Destructive Hyperspectral Imaging. Int. J. Food Microbiol. 2015, 199, 93–100. [Google Scholar] [CrossRef]
- Gu, S.; Wang, J.; Wang, Y. Early Discrimination and Growth Tracking of Aspergillus spp. Contamination in Rice Kernels Using Electronic Nose. Food Chem. 2019, 292, 325–335. [Google Scholar] [CrossRef]
- Wang, Z.; Yuan, Y.; Hong, B.; Zhao, X.; Gu, Z. Characteristic Volatile Fingerprints of Four Chrysanthemum Teas Determined by HS-GC-IMS. Molecules 2021, 26, 7113. [Google Scholar] [CrossRef] [PubMed]
- Pennazza, G.; Fanali, C.; Santonico, M.; Dugo, L.; Cucchiarini, L.; Dachà, M.; D’Amico, A.; Costa, R.; Dugo, P.; Mondello, L. Electronic Nose and GC–MS Analysis of Volatile Compounds in Tuber magnatum Pico: Evaluation of Different Storage Conditions. Food Chem. 2013, 136, 668–674. [Google Scholar] [CrossRef] [PubMed]
- Coradi, P.C.; Padia, C.L.; Jaques, L.B.A.; Souza, G.A.C.D.; Lima, R.E.; Müller, A.; Teodoro, P.E.; Steinhaus, J.I.; Carneiro, L.D.O. Adaptation of Technological Packaging for Conservation of Soybean Seeds in Storage Units as an Alternative to Modified Atmospheres. PLoS ONE 2020, 15, e0241787. [Google Scholar] [CrossRef] [PubMed]
- Ferreira, C.D.; Ziegler, V.; Schwanz Goebel, J.T.; Hoffmann, J.F.; Carvalho, I.R.; Chaves, F.C.; De Oliveira, M. Changes in Phenolic Acid and Isoflavone Contents during Soybean Drying and Storage. J. Agric. Food Chem. 2019, 67, 1146–1155. [Google Scholar] [CrossRef] [PubMed]
- Chandel, A.; Mann, R.; Kaur, J.; Norton, S.; Edwards, J.; Spangenberg, G.; Sawbridge, T. Implications of Seed Vault Storage Strategies for Conservation of Seed Bacterial Microbiomes. Front. Microbiol. 2021, 12, 784796. [Google Scholar] [CrossRef]
- An, M.; Cao, C.; Wang, S.; Zhang, X.; Ding, W. Non-Destructive Identification of Moldy Walnut Based on NIR. J. Food Compos. Anal. 2023, 121, 105407. [Google Scholar] [CrossRef]
- Chen, H.; Luo, Y.; Xing, G.; Shi, Y.; Gu, S.; Wang, X. Early Identification of Aspergillus spp. in Vitro Based on HS-GC-IMS and Electronic Nose. Food Meas. 2024, 18, 8423–8433. [Google Scholar] [CrossRef]
- Paolesse, R.; Alimelli, A.; Martinelli, E.; Natale, C.D.; D’Amico, A.; D’Egidio, M.G.; Aureli, G.; Ricelli, A.; Fanelli, C. Detection of Fungal Contamination of Cereal Grain Samples by an Electronic Nose. Sens. Actuators B Chem. 2006, 119, 425–430. [Google Scholar] [CrossRef]
- Leite, A.M.; Silva, C.R.D.; Siqueira, T.A.; Oliveira, T.C.D.; Oliveira, A.J.D.; Santos, A.A.C.D.; Duarte, W.M.; Almici, M.D.S.; Ambrózio, V.C.; Silva, V.P.D.; et al. Reação de Acessos Tradicionais de Feijão Comum à Colletotrichum Lindemuthianum. Res. Soc. Dev. 2021, 10, e563101523629. [Google Scholar] [CrossRef]
- Wang, J.; Chen, L.; Liu, Y.; Olajide, T.M.; Jiang, Y.; Cao, W. Identification of Key Aroma-Active Compounds in Beef Tallow Varieties Using Flash GC Electronic Nose and GC × GC-TOF/MS. Eur. Food Res. Technol. 2022, 248, 1733–1747. [Google Scholar] [CrossRef]
- Jia, W.; Liang, G.; Tian, H.; Sun, J.; Wan, C. Electronic Nose-Based Technique for Rapid Detection and Recognition of Moldy Apples. Sensors 2019, 19, 1526. [Google Scholar] [CrossRef] [PubMed]
- Taylor, C.; Lough, F.; Stanforth, S.P.; Schwalbe, E.C.; Fowlis, I.A.; Dean, J.R. Analysis of Listeria Using Exogenous Volatile Organic Compound Metabolites and Their Detection by Static Headspace–Multi-Capillary Column–Gas Chromatography–Ion Mobility Spectrometry (SHS–MCC–GC–IMS). Anal. Bioanal. Chem. 2017, 409, 4247–4256. [Google Scholar] [CrossRef] [PubMed]
- Wang, S.; Chen, H.; Sun, B. Recent Progress in Food Flavor Analysis Using Gas Chromatography–Ion Mobility Spectrometry (GC–IMS). Food Chem. 2020, 315, 126158. [Google Scholar] [CrossRef]
- Song, X.; Qian, L.; Fu, L.; Cao, R.; Wang, X.; Chen, M. Real-time Mildew Detection and Gradation in Simulated Containerized Soybeans: Insights from GC-IMS Analysis of mVOCs and VOCs. Food Sci. Nutr. 2024, 12, 6772–6788. [Google Scholar] [CrossRef]
- Labanska, M.; Van Amsterdam, S.; Jenkins, S.; Clarkson, J.P.; Covington, J.A. Preliminary Studies on Detection of Fusarium Basal Rot Infection in Onions and Shallots Using Electronic Nose. Sensors 2022, 22, 5453. [Google Scholar] [CrossRef]
- GB 4789.15-2016; Food Safety National Standards for the Microbiological Examination of Foods to Determine the Total Fungal Colony Count in the Soybean Samples. National Standards of the People’s Republic of China: Beijing, China, 2016.
- LS/T6132-2018; The Detection of Stored Grain Fungi by the Spore Counting Method. Grain Industry Standards of the People’s Republic of China: Beijing, China, 2018.
- Jiang, S.; Wang, J.; Wang, Y.; Cheng, S. A Novel Framework for Analyzing MOS E-Nose Data Based on Voting Theory: Application to Evaluate the Internal Quality of Chinese Pecans. Sens. Actuators B Chem. 2017, 242, 511–521. [Google Scholar] [CrossRef]
- Gu, S.; Wang, Z.; Chen, W.; Wang, J. Early Identification of Aspergillus spp. Contamination in Milled Rice by E-nose Combined with Chemometrics. J. Sci. Food Agric. 2021, 101, 4220–4228. [Google Scholar] [CrossRef] [PubMed]
- Wen, R.; Kong, B.; Yin, X.; Zhang, H.; Chen, Q. Characterisation of Flavour Profile of Beef Jerky Inoculated with Different Autochthonous Lactic Acid Bacteria Using Electronic Nose and Gas Chromatography–Ion Mobility Spectrometry. Meat Sci. 2022, 183, 108658. [Google Scholar] [CrossRef]
- Gu, S.; Chen, W.; Wang, Z.; Wang, J. Rapid Determination of Potential Aflatoxigenic Fungi Contamination on Peanut Kernels during Storage by Data Fusion of HS-GC-IMS and Fluorescence Spectroscopy. Postharvest Biol. Technol. 2021, 171, 111361. [Google Scholar] [CrossRef]
- Gu, S.; Zhang, J.; Wang, J.; Wang, X.; Du, D. Recent Development of HS-GC-IMS Technology in Rapid and Non-Destructive Detection of Quality and Contamination in Agri-Food Products. TrAC Trends Anal. Chem. 2021, 144, 116435. [Google Scholar] [CrossRef]
- Porcelli, C.; Neiens, S.D.; Steinhaus, M. Molecular Background of a Moldy-Musty Off-Flavor in Cocoa. J. Agric. Food Chem. 2021, 69, 4501–4508. [Google Scholar] [CrossRef]
- Huang, Y.; Shen, F.; Zhao, T.; Fang, Y.; Liu, Q.; Liu, X. Rapid Detection of Moldy Maize Based on Gas Sensor Array. Sci. Technol. Food Ind. 2019, 40, 224–229. [Google Scholar] [CrossRef]
- Shen, F.; Liu, P.; Jiang, X.; Shao, X.; Wan, Z.; Song, W. Recognition of Harmful Fungal Species and Quantitative Detection of Fungal Contamination in Peanuts Based on Electronic Nose Technology. Trans. Chin. Soc. Agric. Eng. 2016, 32, 297–302. [Google Scholar] [CrossRef]









| No. in Array | Sensor Name | Reaction Compound | Typical Target |
|---|---|---|---|
| R1 | W1C | Aromatic compounds | C6H5CH3 |
| R2 | W5S | Oxynitride | NO2 |
| R3 | W3C | Aromatic constituents, mainly ammonia | C6H6 |
| R4 | W6S | Hydrogen | H2 |
| R5 | W5C | Alkanes, aromatic compounds | C3H8 |
| R6 | W1S | Broad methane | CH4 |
| R7 | W1W | Sulfides and organic sulfides | H2S |
| R8 | W2S | Broad alcohols | C2H5OH |
| R9 | W2W | Aromatics, organic sulfides | H2S |
| R10 | W3S | Alkanes, especially methane | CH4 |
Disclaimer/Publisher’s Note: The statements, opinions and data contained in all publications are solely those of the individual author(s) and contributor(s) and not of MDPI and/or the editor(s). MDPI and/or the editor(s) disclaim responsibility for any injury to people or property resulting from any ideas, methods, instructions or products referred to in the content. |
© 2024 by the authors. Licensee MDPI, Basel, Switzerland. This article is an open access article distributed under the terms and conditions of the Creative Commons Attribution (CC BY) license (https://creativecommons.org/licenses/by/4.0/).
Share and Cite
Song, X.; Qian, L.; Zhang, D.; Wang, X.; Fu, L.; Chen, M. Effectiveness of Differentiating Mold Levels in Soybeans with Electronic Nose Detection Technology. Foods 2024, 13, 4064. https://doi.org/10.3390/foods13244064
Song X, Qian L, Zhang D, Wang X, Fu L, Chen M. Effectiveness of Differentiating Mold Levels in Soybeans with Electronic Nose Detection Technology. Foods. 2024; 13(24):4064. https://doi.org/10.3390/foods13244064
Chicago/Turabian StyleSong, Xuejian, Lili Qian, Dongjie Zhang, Xinhui Wang, Lixue Fu, and Mingming Chen. 2024. "Effectiveness of Differentiating Mold Levels in Soybeans with Electronic Nose Detection Technology" Foods 13, no. 24: 4064. https://doi.org/10.3390/foods13244064
APA StyleSong, X., Qian, L., Zhang, D., Wang, X., Fu, L., & Chen, M. (2024). Effectiveness of Differentiating Mold Levels in Soybeans with Electronic Nose Detection Technology. Foods, 13(24), 4064. https://doi.org/10.3390/foods13244064

