Convective Drying with the Application of Ultrasonic Pre-Treatment: The Effect of Applied Conditions on the Selected Properties of Dried Apples
Abstract
1. Introduction
2. Materials and Methods
2.1. Materials
2.2. Ultrasonic Pre-Treatment
2.3. Convection Drying
2.4. Measurement of Selected Properties of Dried Apples
2.4.1. Dry Matter Content
2.4.2. Water Activity
2.4.3. Density
2.4.4. Colour
2.4.5. Hygroscopicity
2.4.6. Total Polyphenolic Content and Antioxidant Capacity
2.5. Statistical Methods: Analysis of Variance, Experimental Design
3. Results and Discussion
3.1. The Selected Physiochemical and Physical Properties of Apples Dried with and Without Ultrasonic Pre-Treatment
3.2. The Colour and Antioxidant Attributes of Apples Dried with and Without Ultrasonic Pre-Treatment
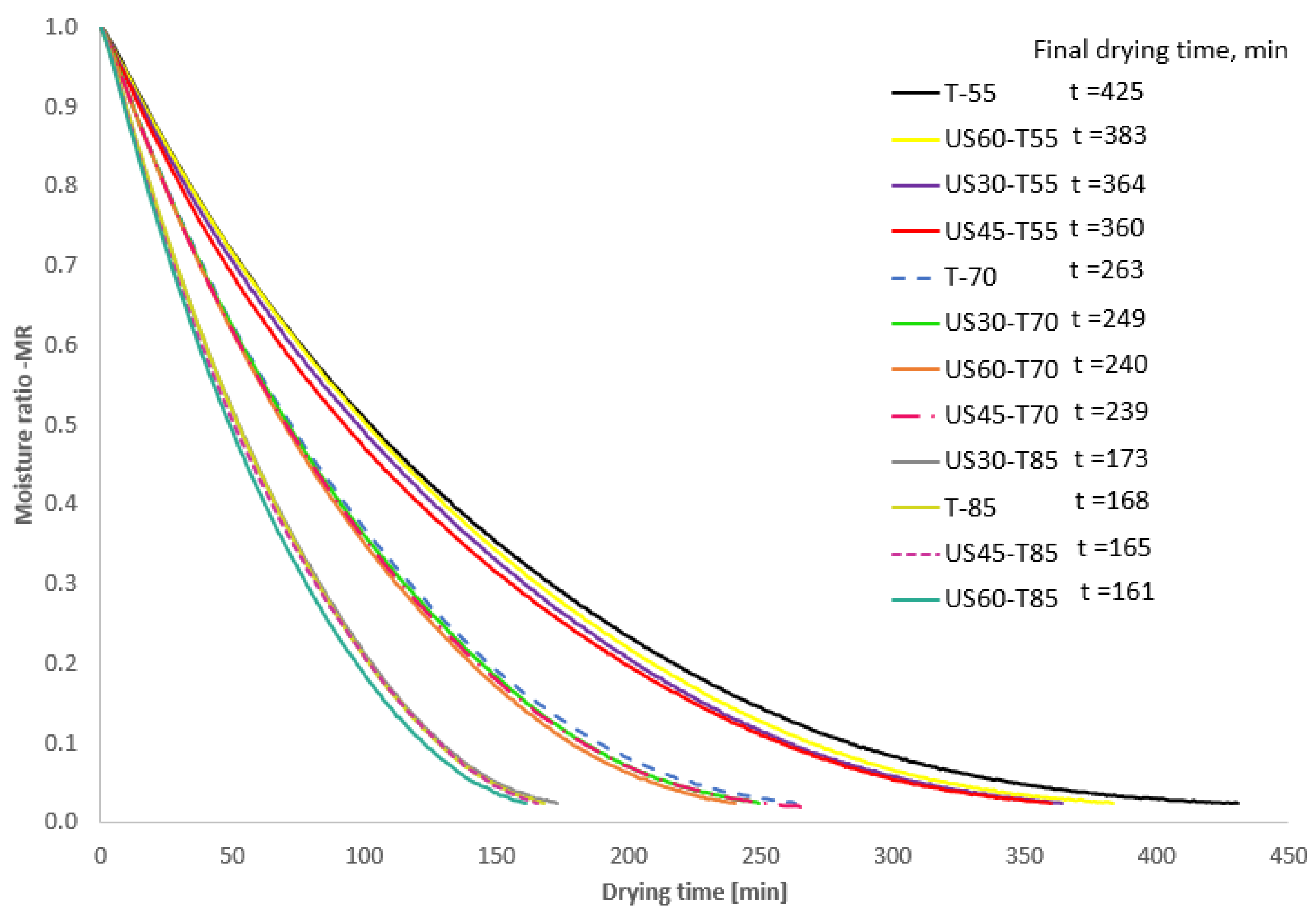
3.3. Drying Kinetics of Apples Dried with and Without Ultrasonic Pre-Treatment
3.4. Modelling and Selection of the Best Conditions of the Applied Process
4. Conclusions
Author Contributions
Funding
Institutional Review Board Statement
Informed Consent Statement
Data Availability Statement
Conflicts of Interest
References
- Kentish, S.; Ashokkumar, M. The physical and chemical effects of ultrasound. In Ultrasound Technologies for Food and Bioprocessing; Feng, H., Barbosa-Cánovas, G.V., Weiss, J., Eds.; Springer: New York, NY, USA, 2010; pp. 1–12. [Google Scholar]
- Fan, K.; Zhang, M.; Mujumdar, A.S. Application of airborne ultrasound in the convective drying of fruits and vegetables: A review. Ultrason. Sonochem. 2017, 39, 47–57. [Google Scholar] [CrossRef] [PubMed]
- Rawson, A.; Tiwari, B.K.; Tuohy, M.G.; O’Donnell, C.P.; Brunton, N. Effect of ultrasound and blanching pretreatments on polyacetylene and carotenoid content of hot air and freeze dried carrot discs. Ultrason. Sonochem. 2011, 18, 1172–1179. [Google Scholar] [CrossRef] [PubMed]
- Fernandes, F.A.N.; Gallão, M.I.; Rodrigues, S. Effect of osmotic dehydration and ultrasound pre-treatment on cell structure: Melon dehydration. LWT 2008, 41, 604–610. [Google Scholar] [CrossRef]
- Önal, B.; Adiletta, G.; Crescitelli, A.; Di Matteo, M.; Russo, P. Optimization of hot air drying temperature combined with pre-treatment to improve physico-chemical and nutritional quality of ‘Annurca’ apple. Food Bioprod. Process. 2019, 115, 87–99. [Google Scholar] [CrossRef]
- Rani, P.; Tripathy, P.P. Effect of ultrasound and chemical pretreatment on drying characteristics and quality attributes of hot air dried pineapple slices. J. Food Sci. Technol. 2019, 56, 4911–4924. [Google Scholar] [CrossRef]
- Jin, W.; Zhang, M.; Shi, W. Evaluation of ultrasound pretreatment and drying methods on selected quality attributes of bitter melon (Momordica charantia L.). Dry. Technol. 2019, 37, 387–396. [Google Scholar] [CrossRef]
- Wang, J.; Xiao, H.-W.; Ye, J.-H.; Wang, J.; Raghavan, V. Ultrasound pretreatment to enhance drying kinetics of kiwifruit (Actinidia deliciosa) slices: Pros and cons. Food Bioprocess Technol. 2019, 12, 865–876. [Google Scholar] [CrossRef]
- Miraei Ashtiani, S.-H.; Rafiee, M.; Mohebi Morad, M.; Martynenko, A. Cold plasma pretreatment improves the quality and nutritional value of ultrasound-assisted convective drying: The case of goldenberry. Dry. Technol. 2022, 40, 1639–1657. [Google Scholar] [CrossRef]
- Fernandes, F.A.N.; Rodrigues, S. Application of ultrasound and ultrasound-assisted osmotic dehydration in drying of fruits. Dry. Technol. 2008, 26, 1509–1516. [Google Scholar] [CrossRef]
- Zhang, L.; Liao, L.; Qiao, Y.; Wang, C.; Shi, D.; An, K.; Hu, J. Effects of ultrahigh pressure and ultrasound pretreatments on properties of strawberry chips prepared by vacuum-freeze drying. Food Chem. 2020, 303, 125386. [Google Scholar] [CrossRef]
- Ni, J.; Ding, C.; Zhang, Y.; Song, Z.; Xu, W. Influence of ultrasonic pretreatment on electrohydrodynamic drying process of goji berry. J. Food Process. Preserv. 2020, 44, e14600. [Google Scholar] [CrossRef]
- Önal, B.; Adiletta, G.; Di Matteo, M.; Russo, P.; Ramos, I.N.; Silva, C.L.M. Microwave and ultrasound pre-treatments for drying of the “Rocha” Pear: Impact on phytochemical parameters, color changes and drying kinetics. Foods 2021, 10, 853. [Google Scholar] [CrossRef] [PubMed]
- Schössler, K.; Jäger, H.; Knorr, D. Novel contact ultrasound system for the accelerated freeze-drying of vegetables. Innov. Food Sci. Emerg. Technol. 2012, 16, 113–120. [Google Scholar] [CrossRef]
- Casim, S.; Romero-Bernal, A.R.; Contigiani, E.; Mazzobre, F.; Gómez, P.L.; Alzamora, S.M. Design of apple snacks—A study of the impact of calcium impregnation method on physicochemical properties and structure of apple tissues during convective drying. Innov. Food Sci. Emerg.Technol. 2023, 85, 103342. [Google Scholar] [CrossRef]
- Nowacka, M.; Wiktor, A.; Anuszewska, A.; Dadan, M.; Rybak, K.; Witrowa-Rajchert, D. The application of unconventional technologies as pulsed electric field, ultrasound and microwave-vacuum drying in the production of dried cranberry snacks. Ultrason. Sonochem. 2019, 56, 1–13. [Google Scholar] [CrossRef]
- Nowacka, M.; Fijalkowska, A.; Wiktor, A.; Dadan, M.; Tylewicz, U.; Dalla Rosa, M.; Witrowa-Rajchert, D. Influence of power ultrasound on the main quality properties and cell viability of osmotic dehydrated cranberries. Ultrasonics 2018, 83, 33–41. [Google Scholar] [CrossRef]
- Jakubczyk, E.; Jaskulska, A. The effect of freeze-drying on the properties of Polish vegetable soups. Appl. Sci. 2021, 11, 654. [Google Scholar] [CrossRef]
- Majdi, H.; Esfahani, J.A.; Mohebbi, M. Optimization of convective drying by response surface methodology. Comput. Electron. Agric. 2019, 156, 574–584. [Google Scholar] [CrossRef]
- Rodrigues, S.; Oliveira, F.I.P.; Gallão, M.I.; Fernandes, F.A.N. Effect of immersion time in osmosis and ultrasound on papaya cell structure during dehydration. Dry. Technol. 2009, 27, 220–225. [Google Scholar] [CrossRef]
- Fijalkowska, A.; Nowacka, M.; Witrowa-Rajchert, D. The physical, optical and reconstitution properties of apples subjected to ultrasound before drying. Ital. J. Food Sci 2017, 29, 343–356. [Google Scholar] [CrossRef]
- Mayor, L.; Sereno, A. Modelling shrinkage during convective drying of food materials: A review. J. Food Eng. 2004, 61, 373–386. [Google Scholar] [CrossRef]
- Tapia, M.S.; Alzamora, S.M.; Chirife, J. Effects of water activity (a) on microbial stability as a hurdle in food preservation. In Water Activity in Foods; Barbosa-Cánovas, G.V., Fontana, A.J., Jr., Schmidt, S.J., Labuza, T.P., Eds.; John Wiley & Sons, Inc.: Chicago, IL, USA, 2020; pp. 323–355. [Google Scholar]
- Çakmak, R.Ş.; Tekeoğlu, O.; Bozkır, H.; Ergün, A.R.; Baysal, T. Effects of electrical and sonication pretreatments on the drying rate and quality of mushrooms. LWT 2016, 69, 197–202. [Google Scholar] [CrossRef]
- Nadery Dehsheikh, F.; Taghian Dinani, S. Coating pretreatment of banana slices using carboxymethyl cellulose in an ultrasonic system before convective drying. Ultrason. Sonochem. 2019, 52, 401–413. [Google Scholar] [CrossRef] [PubMed]
- Caballero-Cerón, C.; Serment-Moreno, V.; Velazquez, G.; Torres, J.A.; Welti-Chanes, J. Hygroscopic properties and glass transition of dehydrated mango, apple and banana. J. Food Sci. Technol. 2018, 55, 540–549. [Google Scholar] [CrossRef]
- Therdthai, N.; Zhou, W. Characterization of microwave vacuum drying and hot air drying of mint leaves (Mentha cordifolia Opiz ex Fresen). J. Food Eng. 2009, 91, 482–489. [Google Scholar] [CrossRef]
- Pandiselvam, R.; Aydar, A.Y.; Kutlu, N.; Aslam, R.; Sahni, P.; Mitharwal, S.; Gavahian, M.; Kumar, M.; Raposo, A.; Yoo, S.; et al. Individual and interactive effect of ultrasound pre-treatment on drying kinetics and biochemical qualities of food: A critical review. Ultrason. Sonochem. 2023, 92, 106261. [Google Scholar] [CrossRef]
- Kutlu, N.; Pandiselvam, R.; Kamiloglu, A.; Saka, I.; Sruthi, N.U.; Kothakota, A.; Socol, C.T.; Maerescu, C.M. Impact of ultrasonication applications on color profile of foods. Ultrason. Sonochem. 2022, 89, 106109. [Google Scholar] [CrossRef]
- Cao, Y.; Tao, Y.; Zhu, X.; Han, Y.; Li, D.; Liu, C.; Liao, X.; Show, P.L. Effect of microwave and air-borne ultrasound-assisted air drying on drying kinetics and phytochemical properties of broccoli floret. Dry. Technol. 2020, 38, 1733–1748. [Google Scholar] [CrossRef]
- Kek, S.P.; Chin, N.L.; Yusof, Y.A. Direct and indirect power ultrasound assisted pre-osmotic treatments in convective drying of guava slices. Food Bioprod. Process. 2013, 91, 495–506. [Google Scholar] [CrossRef]
- Ren, F.; Perussello, C.A.; Zhang, Z.; Kerry, J.P.; Tiwari, B.K. Impact of ultrasound and blanching on functional properties of hot-air dried and freeze dried onions. LWT 2018, 87, 102–111. [Google Scholar] [CrossRef]
- Wang, J.; Zhao, Y.-M.; Tian, Y.-T.; Yan, C.-L.; Guo, C.-Y. Ultrasound-assisted extraction of total phenolic compounds from Inula helenium. Sci. World J. 2013, 2013, 157527. [Google Scholar] [CrossRef] [PubMed]
- Vallespir, F.; Crescenzo, L.; Rodríguez, Ó.; Marra, F.; Simal, S. Intensification of low-temperature drying of mushroom by means of power ultrasound: Effects on drying kinetics and quality parameters. Food Bioprocess Technol. 2019, 12, 839–851. [Google Scholar] [CrossRef]
- Cárcel, J.A.; Castillo, D.; Simal, S.; Mulet, A. Influence of temperature and ultrasound on drying kinetics and antioxidant properties of red pepper. Dry. Technol. 2019, 37, 486–493. [Google Scholar] [CrossRef]
- Ortuño, C.; Pérez-Munuera, I.; Puig, A.; Riera, E.; Garcia-Perez, J.V. Influence of power ultrasound application on mass transport and microstructure of orange peel during hot air drying. Phys. Proc. 2010, 3, 153–159. [Google Scholar] [CrossRef][Green Version]
- Aydar, A.Y. Investigation of ultrasound pretreatment time and microwave power level on drying and rehydration kinetics of green olives. Food Sci. Technol. 2020, 41, 238–244. [Google Scholar] [CrossRef]




| Run | Coded Factor X1 | Coded Factor X2 | Drying Temperature, °C (X1) | US Time, Min (X2) |
|---|---|---|---|---|
| 1 | −1 | −1 | 55 | 30 |
| 2 | −1 | 1 | 55 | 60 |
| 3 | 1 | −1 | 85 | 30 |
| 4 | 1 | 1 | 85 | 60 |
| 5 | −1 | 0 | 55 | 45 |
| 6 | 1 | 0 | 85 | 45 |
| 7 | 0 | −1 | 70 | 30 |
| 8 | 0 | 1 | 70 | 60 |
| 9 (C) | 0 | 0 | 70 | 45 |
| 10 (C) | 0 | 0 | 70 | 45 |
| 11 (C) | 0 | 0 | 70 | 45 |
| Kind of Treatment | Dry Matter, % | Water Activity | Density g/cm3 | Hygroscopicity 24 h, g H2O/100 g d. m |
|---|---|---|---|---|
| T-55 | 90.5 ± 0.4 ab | 0.253 ± 0.003 e | 0.44 ± 0.03 c | 24.5± 0.3 bcd |
| US30-T55 | 91.0 ± 1.5 ab | 0.303 ± 0.003 f | 0.38 ± 0.00 bc | 25.0 ± 0.2 cd |
| US45-T55 | 90.7 ± 0.1 ab | 0.302 ± 0.002 f | 0.38 ± 0.02 abc | 25.5 ± 0.2 de |
| US60-T55 | 87.7 ± 2.5 a | 0.293 ± 0.003 f | 0.40 ± 0.01 bc | 30.6 ± 0.1 g |
| T-70 | 90.6 ± 0.2 ab | 0.249 ± 0.002 e | 0.45 ± 0.00 c | 26.3 ± 0.5 ef |
| US30-T70 | 93.0 ± 0.5 bc | 0.188 ± 0.004 b | 0.41 ± 0.02 bc | 23.5 ± 0.5 ab |
| US45-T70 | 92.6 ± 0.5 bc | 0.234 ± 0.005 d | 0.36 ± 0.01 abc | 23.8 ± 0.3 b |
| US60-T70 | 93.7 ± 0.7 bc | 0.189 ± 0.001 d | 0.28 ± 0.00 a | 22.3 ± 0.4 a |
| T-85 | 94.7 ± 1.0 c | 0.161 ± 0.002 a | 0.36 ± 0.02 abc | 24.1 ± 0.9 bc |
| US30-T85 | 92.6 ± 1.4 bc | 0.200 ± 0.002 b | 0.33 ± 0.01 ab | 27.2 ± 0.4 f |
| US45-T85 | 93.2 ± 0.3 bc | 0.224 ± 0.001 cd | 0.35 ± 0.00 abc | 23.4 ± 0.4 ab |
| US60-T85 | 94.6 ± 0.5 c | 0.216 ± 0.001 c | 0.32± 0.02 ab | 23.9 ± 0.3 bc |
| Factor | US Time | Drying Temperature |
|---|---|---|
| Dry matter | ns | * |
| Water activity | * | * |
| Density | ns | * |
| Hygroscopicity 24 h, | * | * |
| L* | ns | * |
| a* | * | * |
| b* | * | ns |
| ΔE | * | ns |
| EC 50 ABTS | * | * |
| Polyphenols content | * | ns |
| Drying time | ns | * |
| Kind of Treatment | L* | a* | b* | ΔE |
|---|---|---|---|---|
| Fresh | 75.5 ± 3.2 ab | –3.5 ± 0.4 a | 19.1 ± 2.3 a | - |
| T-55 | 85.2 ± 3.0 b | –2.6 ± 1.1 ab | 31.8 ± 2.1 bcd | 16.2 ± 3.1 abc |
| US30-T55 | 80.8 ± 4.0 ab | –0.8 ± 1.1 bcde | 31.1 ± 2.3 bcd | 13.8 ± 2.8 ab |
| US45-T55 | 83.3 ± 4.1 b | –2.2 ± 1.1 ab | 33.0 ± 3.0 bcd | 16.5 ± 2.4 abc |
| US60-T55 | 80.0 ± 3.8 ab | 0.6 ± 1.1 e | 36.3 ± 1.6 cd | 18.6 ± 2.0 bc |
| T-70 | 81.1 ± 4.3 ab | –1.3 ± 1.1 bcde | 33.6 ± 4.1 bcd | 16.3 ± 3.8 abc |
| US30-T70 | 73.2 ± 3.5 a | –1.5 ± 1.1 bcde | 30.4 ± 1.0 ab | 12.1 ± 0.9 a |
| US45-T70 | 77.7 ± 4.4 b | –0.4 ± 1.1 cde | 33.3 ± 2.7 bcd | 15.4 ± 3.0 abc |
| US60-T70 | 77.5 ± 4.6 b | 0.6 ± 1.1 e | 37.8 ± 3.5 bcd | 19.8 ± 3.5 abc |
| T-85 | 83.1 ± 3.6 ab | –1.7 ± 1.1 abc | 31.0 ± 4.0 bcd | 14.8 ± 3.1 ab |
| US30-T85 | 80.9 ± 2.9 ab | –1.7 ± 1.1 abcd | 29.2 ± 3.7 bcd | 12.0 ± 2.9 ab |
| US45-T85 | 79.1 ± 4.8 ab | 0.5 ± 1.1 de | 30.9 ± 7.6 abc | 13.7 ± 7.1 ab |
| US60-T85 | 76.6 ± 4.1 ab | 2.8 ± 1.1 f | 37.8 ± 2.1 d | 20.2 ± 2.1 c |
| bo | b1 | b2 | b1b2 | b12 | b22 | R2 | R2adj | |
|---|---|---|---|---|---|---|---|---|
| D.m. | 77.9 | ns | 0.618 * | 0.006 * | 0.001 ns | −0.005 * | 0.905 | 0.825 |
| Aw | 1.3 | 0.009 ns | −0.033 * | 0.00003 * | −0.0001 * | 0.0002 * | 0.947 | 0.903 |
| L* | 140.0 | 1.041 ns | −2.336 ns | 0.004 ns | −0.009 ns | 0.017 ns | 0.632 | 0.326 |
| a* | 10.3 | −0.349 * | −0.189 ns | 0.004 ns | 0.002 ns | 0.0006 ns | 0.815 | 0.661 |
| b* | 26.8 | 0520 * | 0.392 ns | 0.004 ns | 0.005 ns | −0.004 ns | 0.919 | 0.852 |
| ΔE | 26.8 | 0.364 * | −0.208 ns | 0.004 ns | 0.004 ns | 0.00006 ns | 0.865 | 0.753 |
| EC50 ABTS | 3.4 | 0.025 | −0.084 ns | 0.0003 ns | −0.0005 * | 0.0005 ns | 0.835 | 0.698 |
| TPC | −5.1 | 0.010 ns | 0.368 ns | −0.001 ns | 0.001 ns | −0.002 ns | 0.561 | 0.196 |
| Tdrying | 1063 | 1.609 ns | −14.61 * | −0.03 ns | 0.009 ns | 0.088 ns | 0.990 | 0.982 |
| Density | 0.6 | 0.004 ns | −0.006 ns | −0.00002 ns | −0.0004 ns | 0.00004 ns | 0.383 | 0.100 |
| H24 | 50.5 | 0.437 ns | −0.993 * | −0.009 * | 0.003 * | 0.001 * | 0.842 | 0.709 |
Disclaimer/Publisher’s Note: The statements, opinions and data contained in all publications are solely those of the individual author(s) and contributor(s) and not of MDPI and/or the editor(s). MDPI and/or the editor(s) disclaim responsibility for any injury to people or property resulting from any ideas, methods, instructions or products referred to in the content. |
© 2024 by the authors. Licensee MDPI, Basel, Switzerland. This article is an open access article distributed under the terms and conditions of the Creative Commons Attribution (CC BY) license (https://creativecommons.org/licenses/by/4.0/).
Share and Cite
Jakubczyk, E.; Rybak, K.; Witrowa-Rajchert, D.; Wiktor, A.; Rąbkowski, R.; Nowacka, M. Convective Drying with the Application of Ultrasonic Pre-Treatment: The Effect of Applied Conditions on the Selected Properties of Dried Apples. Foods 2024, 13, 3893. https://doi.org/10.3390/foods13233893
Jakubczyk E, Rybak K, Witrowa-Rajchert D, Wiktor A, Rąbkowski R, Nowacka M. Convective Drying with the Application of Ultrasonic Pre-Treatment: The Effect of Applied Conditions on the Selected Properties of Dried Apples. Foods. 2024; 13(23):3893. https://doi.org/10.3390/foods13233893
Chicago/Turabian StyleJakubczyk, Ewa, Katarzyna Rybak, Dorota Witrowa-Rajchert, Artur Wiktor, Rafał Rąbkowski, and Małgorzata Nowacka. 2024. "Convective Drying with the Application of Ultrasonic Pre-Treatment: The Effect of Applied Conditions on the Selected Properties of Dried Apples" Foods 13, no. 23: 3893. https://doi.org/10.3390/foods13233893
APA StyleJakubczyk, E., Rybak, K., Witrowa-Rajchert, D., Wiktor, A., Rąbkowski, R., & Nowacka, M. (2024). Convective Drying with the Application of Ultrasonic Pre-Treatment: The Effect of Applied Conditions on the Selected Properties of Dried Apples. Foods, 13(23), 3893. https://doi.org/10.3390/foods13233893

