The Heating Under Micro Variable Pressure (HUMVP) Process to Decrease the Level of Saponin in Quinoa: Evidence of the Antioxidation and the Inhibitory Activity of α-Amylase and α-Glucosidase
Abstract
1. Introduction
2. Materials and Methods
2.1. Standards and Reagents
2.2. Processing of Quinoa Grains
2.3. Digestion of Quinoa Samples
2.4. Determination of the Content of Saponin, Flavonoid, and Total Phenolics
2.5. Evaluation of Hydroxyl Radical, DPPH, and ABTS•+ Scavenging Rate
2.6. Inhibitory Activities Against Enzymes
2.6.1. Inhibitory Activities Against α-Amylase
2.6.2. Inhibitory Activities Against α-Glucosidase
2.6.3. Inhibition Kinetics Against α-Amylase
2.7. Statistics
3. Results
3.1. Effect of HUMVP on the Saponin Content in Quinoa
3.2. Enzyme Inhibitory Activities
3.3. Correlation Between IC50 α-amylase and IC50 α-glucosidase Values and the Content of Polyphenols, Flavonoids, and Saponins in Quinoa
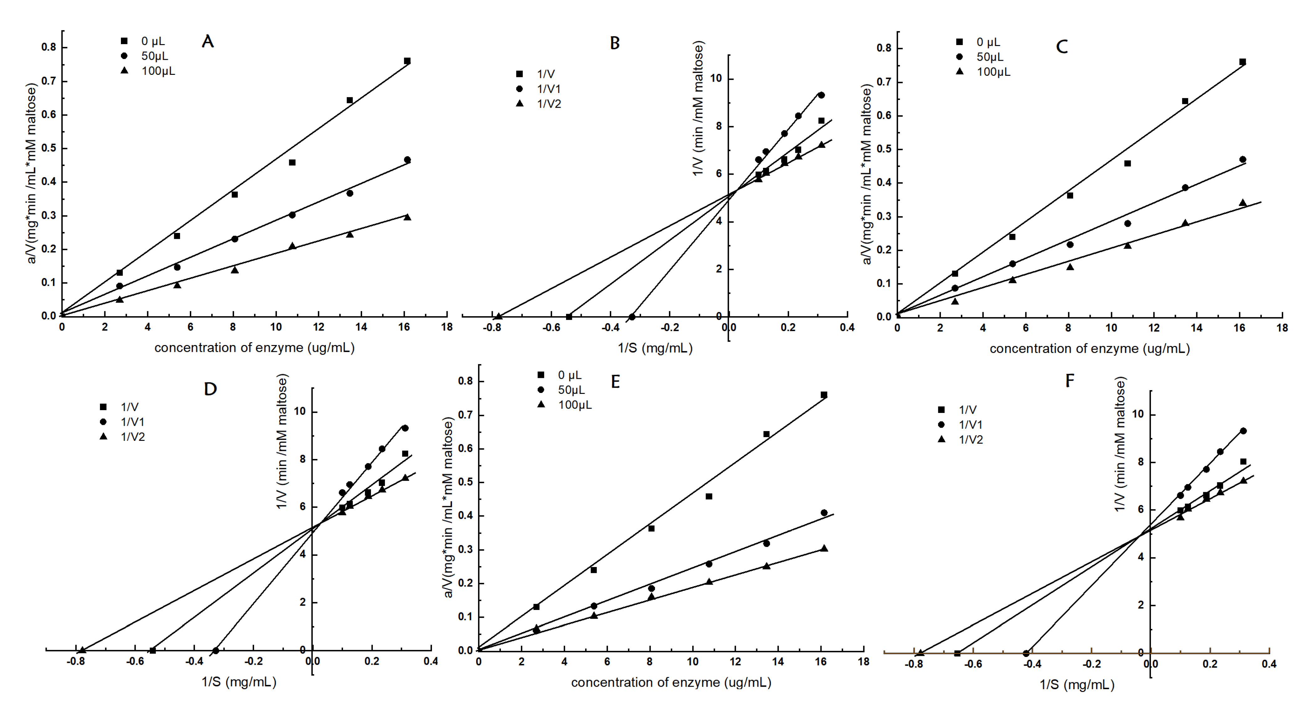
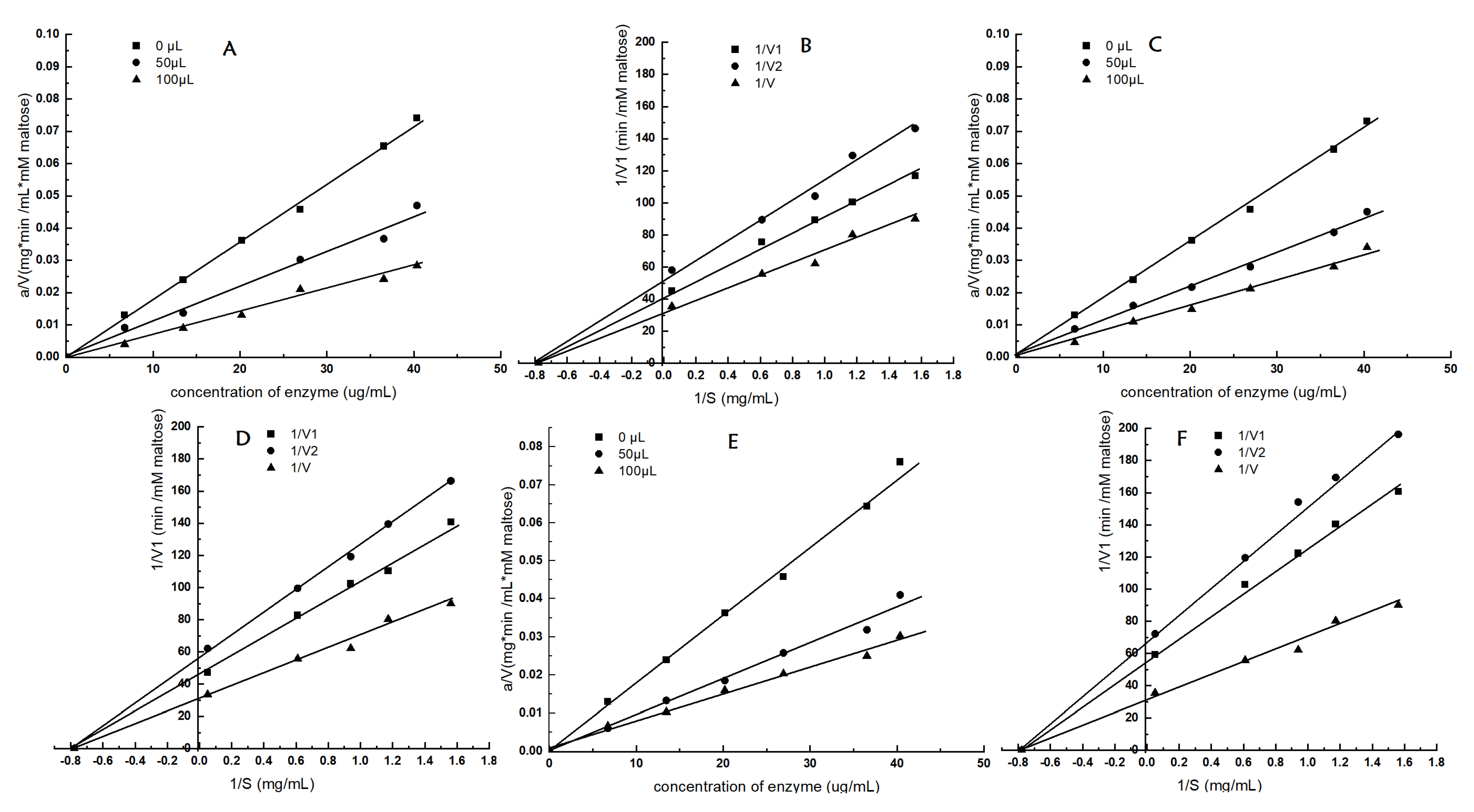
3.4. Inhibition Kinetics
4. Conclusions
Author Contributions
Funding
Data Availability Statement
Conflicts of Interest
References
- Huang, K.; Liu, Y.Y.; Zhang, Y.; Cao, H.W.; Luo, D.K.; Yi, C.P.; Guan, X. Formulation of plant-based yoghurt from soybean and quinoa and evaluation of physicochemical, rheological, sensory and functional properties. Food Biosc. 2022, 49, 101831. [Google Scholar] [CrossRef]
- Hemalatha, P.; Bomza, D.P.; Sathyendra Ra, B.V.; Sreerama, Y.N. Distribution of phenolic antioxidants in whole and milled fractions of quinoa and their inhibitory effects on α-amylase and α-glucosidase activities. Food Chem. 2016, 199, 330–338. [Google Scholar] [CrossRef] [PubMed]
- Chandrasekara, A.; Shahidi, F. Inhibitory activities of soluble and bound millet seed phenolics on free radicals and reactive oxygen species. J. Agr. Food Chem. 2011, 59, 428–436. [Google Scholar] [CrossRef]
- Lanzerstorfer, P.; Rechenmacher, E.; Lugmayr, O.; Stadlbauer, V.; Höglinger, O.; Vollmar, A.; Weghuber, J. Effects of Various Commercial Whole-Grain Breads on Postprandial Blood Glucose Response and Glycemic Index in Healthy Subjects. Austin J. Clin. Med. 2018, 5, id1031. [Google Scholar]
- Berti, C.; Riso, P.; Monti, L.D.; Porrini, M. In vitro starch digestibility and in vivo glucose response of gluten free foods & their gluten counterparts. Eur. J. Nutr. 2004, 43, 198–204. [Google Scholar]
- Hirose, Y.; Fujita, T.; Ishii, T.; Ueno, N. Antioxidative properties and flavonoid composition of Chenopodium quinoa seeds cultivated in Japan. Food Chem. 2010, 119, 1300–1306. [Google Scholar] [CrossRef]
- Vega-Galvez, A.; Miranda, M.; Vergara, J.; Uribe, E.; Puente, L.; Martinez, E.A. Nutrition facts and functional potential of quinoa (Chenopodium quinoa Willd.), an ancient Andean grain: A review. J. Sci. Food Agr. 2010, 90, 2541–2547. [Google Scholar] [CrossRef]
- Nickel, J.; Spanier, L.P.; Botelho, F.T.; Gularte, A.; Helbig, E. Effect of different types of processing on the total phenolic compound content, antioxidant capacity, and saponin content of Chenopodium quinoa Willd grains. Food Chem. 2016, 209, 139–143. [Google Scholar] [CrossRef]
- D’Amicoa, S.D.; Jungkunz, S.; Balasz, G.; Foeste, M.; Jekle, M.; Tömösköszi, S.; Schoenlechner, R. Abrasive milling of quinoa: Study on the distribution of selected nutrients and proteins within the quinoa seed kernel. J. Cereal Sci. 2019, 86, 132–138. [Google Scholar] [CrossRef]
- Wu, L.G.; Wang, A.N.; Shen, R.L.; Qu, L.B. The effect of slight milling on nutritional composition and morphology of quinoa (Chenopodium) grain. Int. J. Food Eng. 2020, 16, 20190371. [Google Scholar] [CrossRef]
- Bhandari, M.R.; Jong-Anurakkun, N.; Hong, G.; Kawabata, J. α-glucosidase and α-amylase inhibitory activities of Nepalese medicinal herb Pakhanbhed (Bergenia Ciliata, haw). Food Chem. 2008, 106, 247–252. [Google Scholar] [CrossRef]
- Hernandez-Saavedra, D.; Mendoza-Sanchez, M.; Hernandez-Montiel, H.L.; Guzman-Maldonado, H.S.; Loarca-Pina, G.F.; Salgado, L.M.; Reynoso-Camacho, R. Cooked common beans (Phaseolus vulgaris) protect against beta-cell damage in streptozotocininduceddiabetic rats. Plant Foods Hum. Nutr. 2013, 68, 207–212. [Google Scholar] [CrossRef]
- Meng, Y.H.; Su, A.P.; Yuan, S.; Zhao, H.G.; Tan, S.Y.; Hu, C.Y.; Deng, H.; Guo, Y.R. Evaluation of Total Flavonoids, Myricetin, and Quercetin from Hovenia dulcis Thunb. As Inhibitors of α-Amylase and α-Glucosidase. Plant Foods Hum. Nutr. 2016, 71, 444–449. [Google Scholar] [CrossRef] [PubMed]
- Anna, W.; Ligen, W. The Method of Manufactory of the Heating Under Micro Variable Pressure (HUMVP) Equipment. China 202111478154.8, 2021. [Google Scholar]
- Kumar, M.; Dahuja, A.; Sachdev, A.; Kaur, C.; Varghese, E.; Saha, S.; Sairam, K.V.S.S. Evaluation of enzyme and microwave-assisted conditions on extraction of anthocyanins and total phenolics from black soybean (Glycine max L.) seed coat. Int. J. Biol. Macromol. 2019, 135, 1070–1081. [Google Scholar] [CrossRef]
- Ando, H.; Chen, Y.C.; Tang, H.; Shimizu, M.; Mitsunaga, T. Food components in fractions of quinoa seed. Food Sci. Technol. Res. 2002, 8, 80–84. [Google Scholar] [CrossRef]
- Jia, Z.S.; Tang, M.C.; Wu, J.M. The determination of flavonoid contents in mulberry and their scavenging effects on superoxide radicals. Food Chem. 1999, 64, 555–559. [Google Scholar]
- Han, Y.M.; Chi, J.W.; Zhang, M.W.; Zhang, R.F.; Fan, S.H.; Huang, F.; Liu, L. Changes in saponins, phenolics and antioxidant activity of quinoa (Chenopodium quinoa willd) during milling process. LWT-Food Sci. Technol. 2019, 114, 108381. [Google Scholar] [CrossRef]
- Mariola, S.Z.; Ewa, R.; Danuta, K.; Barbara, L. Antioxidant properties of coffee substitutes rich in polyphenols and minerals. Food Chem. 2019, 278, 101–109. [Google Scholar]
- Cai, L.L.; Chen, B.H.; Yi, F.L.; Zou, S.S. Optimization of extraction of polysaccharide from dandelion root by response surface methodology: Structural characterization and antioxidant activity. Int. J. Biol. Macromol. 2019, 140, 907–919. [Google Scholar] [CrossRef]
- Jan, K.N.; Panesar, P.S.; Singh, S.C. Optimization of antioxidant activity, textural and sensory characteristics of gluten-free cookies made from whole indian quinoa flour. LWT-Food Sci Technol. 2018, 93, 573–582. [Google Scholar]
- Xie, J.H.; Wang, Z.J.; Shen, M.Y.; Nie, S.P.; Gong, B.; Li, H.S.; Zhao, Q.; Li, W.J.; Xie, M.Y. Sulfated modification, characterization and antioxidant activities of polysaccharide from Cyclocarya paliurus. Food Hydrocolloid. 2016, 53, 7–15. [Google Scholar] [CrossRef]
- Vulic, J.J.; Ćebović, T.N.; Čanadanović-Brunet, J.M.; Ćetković, G.S.; Čanadanović, V.M.; Djilas, S.M.; Šaponjac, V.T.T. In vivo and in vitro antioxidant effects of beetroot pomace extracts. J. Funct. Foods 2014, 6, 168–175. [Google Scholar] [CrossRef]
- Bursal, E.; Aras, A.; Kiliҫ, Ö.; Taslimi, P.; Gören, A.C.; Gülҫin, İ. Phytochemical content, antioxidant activity, and enzyme inhibition effect of Salvia eriophora Boiss. & Kotschy against acetylcholinesterase, α-amylase, butyrylcholinesterase, and α-glycosidase enzymes. J. Food Biochem. 2019, 43, 12776. [Google Scholar]
- Wang, K.; Zhang, J.L.; Ping, S.; Ma, Q.X.; Chen, X.; Xuan, H.Z.; Shi, J.H.; Zhang, C.P.; Hu, F.L. Anti-inflammatory effects of ethanol extracts of Chinese propolis and buds from poplar (Populus × canadensis). J. Ethnopharmacol. 2014, 155, 300–311. [Google Scholar] [CrossRef] [PubMed]
- Zhao, T.; Sun, L.J.; Wang, Z.C.; Nisar, T.; Gong, T.; Li, D.; Niu, P.F.; Guo, Y.R. The antioxidant property and α-amylase inhibition activity of young apple polyphenols are related with apple varieties. LWT-Food Sci. Technol. 2019, 111, 252–259. [Google Scholar] [CrossRef]
- Uysal, S.; Sinan, K.I.; Jekő, J.; Cziáky, Z.; Zengin, G. Chemical characterization, comprehensive antioxidant capacity, and enzyme inhibitory potential of leaves from Pistacia terebinthus L. (Anacardiaceae). Food Biosc. 2022, 48, 101820. [Google Scholar]
- Nagmoti, D.M.; Juvekar, A.R. In vitro inhibitory effects of Pithecellobium dulce (Roxb.) Benth. seeds on intestinal α-glucosidase and pancreatic α-amylase. J. Biochem. Technol. 2013, 4, 616–621. [Google Scholar]
- Gao, J.J.; Xu, P.; Wang, Y.F.; Wang, Y.Q. Combined effects of green tea extracts, green tea polyphenols or epigallocatechin gallate with acarbose on inhibition against a-amylase and a-glucosidase in vitro. Molecules 2013, 18, 11614–11623. [Google Scholar] [CrossRef]
- Pramod, M.; Gurdeep, S.; Neetesh, J.; Gupta, M.K. In-vitro studies on inhibition of alpha amylase and alpha glucosidase by plant extracts of alternanthera Pungens kunth. J. Drug Deliv. Ther. 2018, 8, 64–68. [Google Scholar]
- Ercan, P.; Nehir-El, S. Inhibitory effects of chickpea and Tribulus terrestris on lipase, α-amylase and α-glucosidase. Food Chem. 2016, 205, 163–169. [Google Scholar] [CrossRef]
- Herrera, T.; Hierro, J.N.D.; Fornari, T.; Reglero, G.; Martin, D. Inhibitory effect of quinoa and fenugreek extracts on pancreatic lipase and α-amylase under in vitro traditional conditions or intestinal simulated conditions. Food Chem. 2019, 270, 509–517. [Google Scholar] [CrossRef] [PubMed]




| Run | Pressure /(MPa) | Time /(min) | pH | Content of Polyphenol /(mg/100 g) | Content of Flavonoid /(mg/g) | Content of Saponin /(mg/g) | •OH Scavenging Rate/(%) | DPPH Scavenging Rate/(%) | ABTS•+ Scavenging Rate/(%) |
|---|---|---|---|---|---|---|---|---|---|
| 1 | 0.35 | 3 | 5.5 | 291.19 | 1.59 | 14.21 | 54.61 | 91.02 | 50.98 |
| 2 | 0.3 | 4 | 5.5 | 311.22 | 1.43 | 13.37 | 73.53 | 92.34 | 52.64 |
| 3 | 0.25 | 4 | 6.0 | 298.27 | 1.73 | 18.01 | 67.68 | 90.67 | 52.08 |
| 4 | 0.3 | 4 | 5.5 | 302.87 | 1.73 | 18.74 | 73.02 | 92.36 | 52.74 |
| 5 | 0.25 | 5 | 5.5 | 291.05 | 1.72 | 13.59 | 52.13 | 88.65 | 50.68 |
| 6 | 0.35 | 4 | 5.0 | 301.76 | 1.58 | 16.15 | 67.16 | 90.91 | 52.53 |
| 7 | 0.3 | 4 | 5.5 | 299.27 | 1.69 | 18.44 | 73.66 | 92.45 | 52.78 |
| 8 | 0.35 | 4 | 6.0 | 327.22 | 1.33 | 10.65 | 69.89 | 91.87 | 52.18 |
| 9 | 0.3 | 4 | 5.5 | 307.22 | 1.34 | 11.07 | 74.63 | 92.57 | 52.72 |
| 10 | 0.3 | 4 | 5.5 | 318.41 | 1.71 | 18.91 | 73.87 | 92.75 | 52.78 |
| 11 | 0.35 | 5 | 5.5 | 291.85 | 1.71 | 16.98 | 70.02 | 87.12 | 50.95 |
| 12 | 0.3 | 3 | 5.0 | 311.21 | 1.70 | 17.53 | 64.56 | 88.63 | 52.02 |
| 13 | 0.3 | 3 | 5.0 | 314.17 | 1.69 | 17.86 | 50.12 | 84.02 | 49.98 |
| 14 | 0.3 | 5 | 6.0 | 289.65 | 1.63 | 16.86 | 68.45 | 87.62 | 50.56 |
| 15 | 0.25 | 3 | 5.5 | 298.49 | 1.92 | 19.01 | 63.55 | 87.94 | 52.14 |
| 16 | 0.25 | 4 | 5.0 | 311.78 | 1.83 | 20.71 | 62.38 | 89.03 | 52.8 |
| 17 | 0.25 | 3 | 6.0 | 279.21 | 1.74 | 19.04 | 53.88 | 85.66 | 50.64 |
| df | TPC | TFC | Saponin | •OH Scavenging Rate | DPPH Scavenging Rate | ABTS•+ Scavenging Rate | |||
| Linear | A | 1 | −2.12 *** | −0.13 *** | −1.51 *** | 1.37 *** | 0.542 ** | −0.064 * | |
| B | 1 | −3.13 *** | 0.016 * | −0.63 *** | 2.35 *** | −0.54 *** | 0.11 ** | ||
| C | 1 | 0.91 * | −0.054 *** | −1.05 *** | 1.06 ** | 0.066 | 0.20 *** | ||
| Interactive | AB | 1 | 1.40 ** | 0.077 *** | 0.22 * | 2.53 *** | −1.78 *** | −0.18 *** | |
| BC | 1 | 10.68 *** | 0.075 ** | −0.072 | 1.66 * | −0.48 * | 0.41 *** | ||
| AC | 1 | −4.66 | −0.028 * | 0.81 *** | −0.097 | −0.045 | −0.94 *** | ||
| R-Squared | 0.9982 | 0.9921 | 0.9958 | 0.9952 | 0.9955 | 0.9953 |
| Extraction of Quinoa Samples | Digestive of Quinoa Samples | |||
|---|---|---|---|---|
| Samples | IC50 α-Amylase | IC50 α-Glucosidase | IC50 α-Amylase | IC50 α-Glucosidase |
| Q2QQ | 180.14 ± 3.54 a | 80.37 ± 1.59 a | 901.68 ± 6.14 a | 399.01 ± 7.39 a |
| Q2MM | 196.97 ± 3.47 c | 86.70 ± 2.13 c | 924.21 ± 4.68 b | 408.97 ± 5.36 b |
| Q2HUMVP | 186.51 ± 3.89 b | 83.02 ± 2.97 b | 901.06 ± 4.39 a | 396.61 ± 4.31 a |
| Acarbose | 7.21 ± 0.23 | 83.65 ± 2.31 | / | / |
| Process Method | Content of Polyphenol | Content of Flavonoid | Content of Saponin | IC 50 α-amylase Value of Extraction | IC 50α-glucosidase Value of Extraction | IC50 α-amylase Value of Digestive | IC 50α-glucosidase Value of Digestive | Content of Polyphenol of Digestive | Content of Flavonoid of Digestive | Content of Saponin of Digestive | |
|---|---|---|---|---|---|---|---|---|---|---|---|
| Process method | 1 | 0.477 * | 0.474 * | 0.425 | −0.596 ** | −0.557 * | −0.656 ** | −0.654 ** | 0.660 ** | 0.684 * | 0.489 * |
| Content of polyphenol | 0.477 * | 1 | −0.083 | −0.198 | −0.894 ** | −0.950 ** | 0.005 | 0.009 | 0.015 | 0.131 | −0.16 |
| Content of flavonoid | 0.474 * | −0.083 | 1 | 0.237 | −0.09 | 0.075 | −0.578 * | −0.580 * | 0.539 * | 0.256 | 0.302 |
| Content of saponin | 0.425 | −0.198 | 0.237 | 1 | −0.039 | 0.195 | −0.357 | −0.356 | 0.369 | 0.684 ** | 0.993 ** |
| IC 50 α-amylase value of extraction | −0.596 ** | −0.894 ** | −0.090 | −0.039 | 1 | 0.936 ** | 0.162 | 0.158 | −0.181 | −0.342 | −0.093 |
| IC 50α-glucosidase value of extraction | −0.557 * | −0.950 ** | 0.075 | 0.195 | 0.936 ** | 1 | 0.041 | 0.038 | −0.063 | −0.178 | 0.146 |
| IC50 α-amylase value of digestive | −0.656 ** | 0.005 | −0.578 * | −0.357 | 0.162 | 0.041 | 1 | 1.000 ** | −0.998 ** | −0.817 ** | −0.418 |
| IC 50α-glucosidase value of digestive | −0.654 ** | 0.009 | −0.580 * | −0.356 | 0.158 | 0.038 | 1.000 ** | 1 | −0.997 ** | −0.815 ** | −0.416 |
| Content of polyphenol of digestive | 0.660 * | 0.015 | 0.539 * | 0.369 | −0.181 | −0.063 | −0.998 ** | −0.997 ** | 1 | 0.845 ** | 0.428 |
| Content of flavonoid of digestive | 0.684 ** | 0.131 | 0.256 | 0.684 ** | −0.342 | −0.178 | −0.817 ** | −0.815 ** | 0.845 ** | 1 | 0.723 ** |
| Content of saponin of digestive | 0.489 * | −0.160 | 0.302 | 0.993 * | −0.093 | 0.146 | −0.418 | −0.416 | 0.428 | 0.723 ** | 1 |
Disclaimer/Publisher’s Note: The statements, opinions and data contained in all publications are solely those of the individual author(s) and contributor(s) and not of MDPI and/or the editor(s). MDPI and/or the editor(s) disclaim responsibility for any injury to people or property resulting from any ideas, methods, instructions or products referred to in the content. |
© 2024 by the authors. Licensee MDPI, Basel, Switzerland. This article is an open access article distributed under the terms and conditions of the Creative Commons Attribution (CC BY) license (https://creativecommons.org/licenses/by/4.0/).
Share and Cite
Wu, L.; Wang, A. The Heating Under Micro Variable Pressure (HUMVP) Process to Decrease the Level of Saponin in Quinoa: Evidence of the Antioxidation and the Inhibitory Activity of α-Amylase and α-Glucosidase. Foods 2024, 13, 3602. https://doi.org/10.3390/foods13223602
Wu L, Wang A. The Heating Under Micro Variable Pressure (HUMVP) Process to Decrease the Level of Saponin in Quinoa: Evidence of the Antioxidation and the Inhibitory Activity of α-Amylase and α-Glucosidase. Foods. 2024; 13(22):3602. https://doi.org/10.3390/foods13223602
Chicago/Turabian StyleWu, Ligen, and Anna Wang. 2024. "The Heating Under Micro Variable Pressure (HUMVP) Process to Decrease the Level of Saponin in Quinoa: Evidence of the Antioxidation and the Inhibitory Activity of α-Amylase and α-Glucosidase" Foods 13, no. 22: 3602. https://doi.org/10.3390/foods13223602
APA StyleWu, L., & Wang, A. (2024). The Heating Under Micro Variable Pressure (HUMVP) Process to Decrease the Level of Saponin in Quinoa: Evidence of the Antioxidation and the Inhibitory Activity of α-Amylase and α-Glucosidase. Foods, 13(22), 3602. https://doi.org/10.3390/foods13223602
