Simultaneous and High-Throughput Analytical Strategy of 30 Fluorinated Emerging Pollutants Using UHPLC-MS/MS in the Shrimp Aquaculture System
Abstract
1. Introduction
2. Materials and Methods
2.1. Materials and Chemicals
2.2. Sample Collection
2.3. Standard Solution
2.4. Sample Pre-Treatment
2.4.1. Water
2.4.2. Sediment
2.4.3. Shrimp
2.5. Instrumental Analysis
2.6. Method Validation
3. Results and Discussion
3.1. Optimization of UHPLC-MS/MS Conditions
3.2. Optimization of Extraction and Purification Conditions
3.2.1. Optimization of Solid Phase Extraction (SPE) Conditions for Water Samples
3.2.2. Optimization of Extraction Conditions for Sediment Samples
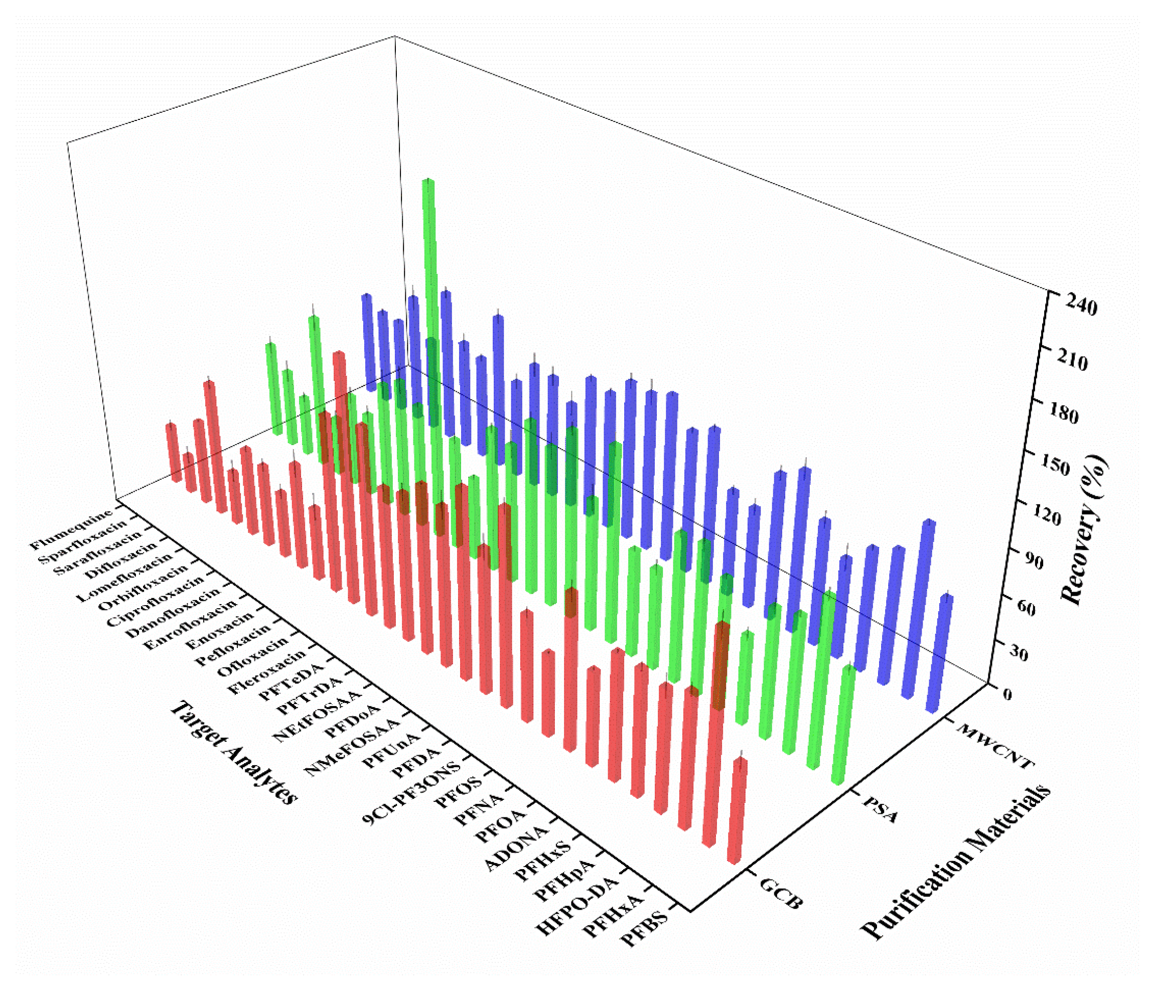
3.2.3. Optimization of Extraction and Purification Conditions for Shrimp Samples
3.3. Method Validation
3.4. Analysis of Fluorinated Emerging Pollutants in Various Samples from Shrimp Aquaculture Ponds
4. Conclusions
Supplementary Materials
Author Contributions
Funding
Institutional Review Board Statement
Informed Consent Statement
Data Availability Statement
Acknowledgments
Conflicts of Interest
References
- Sriket, P.; Benjakul, S.; Visessanguan, W.; Kijroongrojana, K. Comparative studies on chemical composition and thermal properties of black tiger shrimp (Penaeus monodon) and white shrimp (Penaeus vannamei) meats. Food Chem. 2007, 103, 1199–1207. [Google Scholar] [CrossRef]
- Xu, N.; Shi, W.; Wang, X.; Wang, Z. Effect of ice water pretreatment on the quality of Pacific White Shrimps (Litopenaeus vannamei). Food Sci. Nutr. 2019, 7, 645–655. [Google Scholar] [CrossRef] [PubMed]
- Meyer, E.; Eskew, E.A.; Chibwe, L.; Schrlau, J.; Massey Simonich, S.L.; Todd, B.D. Organic contaminants in western pond turtles in remote habitat in California. Chemosphere 2016, 154, 326–334. [Google Scholar] [CrossRef] [PubMed]
- Poma, G.; Salerno, F.; Roscioli, C.; Novati, S.; Guzzella, L. Persistent organic pollutants in sediments of high-altitude Alpine ponds within Stelvio National Park, Italian Alps. Inland Waters 2017, 7, 34–44. [Google Scholar] [CrossRef]
- Bábek, O.; Sedláček, J.; Lenďáková, Z.; Elznicová, J.; Tolaszová, J.; Pacina, J. Historical pond systems as long-term composite archives of anthropogenic contamination in the Vrchlice River, Czechia. Anthropocene 2021, 33, 100283. [Google Scholar] [CrossRef]
- Chen, L.; Qian, Y.; Jia, Q.; Weng, R.; Zhang, X.; Li, Y.; Qiu, J. A large geographic-scale characterization of organochlorine pesticides (OCPs) in surface sediments and multiple aquatic foods of inland freshwater aquaculture ponds in China: Co-occurrence, source and risk assessment. Environ. Pollut. 2022, 308, 119716. [Google Scholar] [CrossRef]
- Wu, M.; Miao, J.; Zhang, W.; Wang, Q.; Sun, C.; Wang, L.; Pan, L. Occurrence, distribution, and health risk assessment of pyrethroid and neonicotinoid insecticides in aquatic products of China. Sci. Total Environ. 2024, 919, 170880. [Google Scholar] [CrossRef]
- Yu, X.; Xu, F.; Zhang, R.; Liu, H.; Sun, A.; Zhang, L.; Zhang, Z.; Shi, X. Simultaneous determination and dietary intake risk assessment of 60 herbicide residues in aquatic products. Sci. Total Environ. 2023, 883, 163633. [Google Scholar] [CrossRef]
- Tu, H.T.; Silvestre, F.; Phuong, N.T.; Kestemont, P. Effects of pesticides and antibiotics on penaeid shrimp with special emphases on behavioral and biomarker responses. Environ. Toxicol. Chem. 2010, 29, 929–938. [Google Scholar] [CrossRef]
- Rico, A.; Van den Brink, P.J. Probabilistic risk assessment of veterinary medicines applied to four major aquaculture species produced in Asia. Sci. Total Environ. 2014, 468–469, 630–641. [Google Scholar] [CrossRef]
- Campo, J.; Lorenzo, M.; Pérez, F.; Picó, Y.; la Farré, M.; Barceló, D. Analysis of the presence of perfluoroalkyl substances in water, sediment and biota of the Jucar River (E Spain). Sources, partitioning and relationships with water physical characteristics. Environ. Res. 2016, 147, 503–512. [Google Scholar] [CrossRef] [PubMed]
- Cerveny, D.; Grabic, R.; Fedorova, G.; Grabicova, K.; Turek, J.; Kodes, V.; Golovko, O.; Zlabek, V.; Randak, T. Perfluoroalkyl substances in aquatic environment-comparison of fish and passive sampling approaches. Environ. Res. 2016, 144, 92–98. [Google Scholar] [CrossRef] [PubMed]
- Marti, E.; Variatza, E.; Balcazar, J.L. The role of aquatic ecosystems as reservoirs of antibiotic resistance. Trends Microbiol. 2014, 22, 36–41. [Google Scholar] [CrossRef] [PubMed]
- Song, C.; Li, L.; Zhang, C.; Qiu, L.; Fan, L.; Wu, W.; Meng, S.; Hu, G.; Chen, J.; Liu, Y.; et al. Dietary risk ranking for residual antibiotics in cultured aquatic products around Tai Lake, China. Ecotoxicol. Environ. Saf. 2017, 144, 252–257. [Google Scholar] [CrossRef]
- Sharma, B.M.; Bečanová, J.; Scheringer, M.; Sharma, A.; Bharat, G.K.; Whitehead, P.G.; Klánová, J.; Nizzetto, L. Health and ecological risk assessment of emerging contaminants (pharmaceuticals, personal care products, and artificial sweeteners) in surface and groundwater (drinking water) in the Ganges River Basin, India. Sci. Total Environ. 2019, 646, 1459–1467. [Google Scholar] [CrossRef]
- Gebbink, W.A.; van Asseldonk, L.; van Leeuwen, S.P.J. Presence of Emerging Per- and Polyfluoroalkyl Substances (PFASs) in River and Drinking Water near a Fluorochemical Production Plant in the Netherlands. Environ. Sci. Technol. 2017, 51, 11057–11065. [Google Scholar] [CrossRef]
- Boone, J.S.; Vigo, C.; Boone, T.; Byrne, C.; Ferrario, J.; Benson, R.; Donohue, J.; Simmons, J.E.; Kolpin, D.W.; Furlong, E.T.; et al. Per- and polyfluoroalkyl substances in source and treated drinking waters of the United States. Sci. Total Environ. 2019, 653, 359–369. [Google Scholar] [CrossRef]
- Zhou, L.-J.; Ying, G.-G.; Zhao, J.-L.; Yang, J.-F.; Wang, L.; Yang, B.; Liu, S. Trends in the occurrence of human and veterinary antibiotics in the sediments of the Yellow River, Hai River and Liao River in northern China. Environ. Pollut. 2011, 159, 1877–1885. [Google Scholar] [CrossRef]
- Buck, R.C.; Franklin, J.; Berger, U.; Conder, J.M.; Cousins, I.T.; de Voogt, P.; Jensen, A.A.; Kannan, K.; Mabury, S.A.; van Leeuwen, S.P.J. Perfluoroalkyl and polyfluoroalkyl substances in the environment: Terminology, classification, and origins. Integr. Environ. Assess. Manag. 2011, 7, 513–541. [Google Scholar] [CrossRef]
- Giesy, J.P.; Kannan, K. Global Distribution of Perfluorooctane Sulfonate in Wildlife. Environ. Sci. Technol. 2001, 35, 1339–1342. [Google Scholar] [CrossRef]
- Houtz, E.F.; Higgins, C.P.; Field, J.A.; Sedlak, D.L. Persistence of Perfluoroalkyl Acid Precursors in AFFF-Impacted Groundwater and Soil. Environ. Sci. Technol. 2013, 47, 8187–8195. [Google Scholar] [CrossRef] [PubMed]
- Giesy, J.P.; Kannan, K. Peer Reviewed: Perfluorochemical Surfactants in the Environment. Environ. Sci. Technol. 2002, 36, 146A–152A. [Google Scholar] [CrossRef] [PubMed]
- Senevirathna, S.T.M.L.D.; Tanaka, S.; Fujii, S.; Kunacheva, C.; Harada, H.; Shivakoti, B.R.; Okamoto, R. A comparative study of adsorption of perfluorooctane sulfonate (PFOS) onto granular activated carbon, ion-exchange polymers and non-ion-exchange polymers. Chemosphere 2010, 80, 647–651. [Google Scholar] [CrossRef] [PubMed]
- Noorlander, C.W.; van Leeuwen, S.P.J.; te Biesebeek, J.D.; Mengelers, M.J.B.; Zeilmaker, M.J. Levels of Perfluorinated Compounds in Food and Dietary Intake of PFOS and PFOA in The Netherlands. J. Agric. Food. Chem. 2011, 59, 7496–7505. [Google Scholar] [CrossRef]
- Müller, C.E.; De Silva, A.O.; Small, J.; Williamson, M.; Wang, X.; Morris, A.; Katz, S.; Gamberg, M.; Muir, D.C.G. Biomagnification of Perfluorinated Compounds in a Remote Terrestrial Food Chain: Lichen–Caribou–Wolf. Environ. Sci. Technol. 2011, 45, 8665–8673. [Google Scholar] [CrossRef]
- United Nations Environmental Program (UNEP). The Nine New POPs: An Introduction to the Nine Chemicals Added to the Stockholm Convention by the Conference of the Parties at its Fourth Meeting; Stockholm Convention: Geneva, Switzerland, 2010; Available online: https://chm.pops.int/Portals/0/download.aspx?d=UNEP-POPS-NPOPS-OVERV.En.pdf (accessed on 13 June 2024).
- Zou, M.; Tian, W.; Zhao, J.; Chu, M.; Song, T. Quinolone antibiotics in sewage treatment plants with activated sludge treatment processes: A review on source, concentration and removal. Process Saf. Environ. Prot. 2022, 160, 116–129. [Google Scholar] [CrossRef]
- Hu, H.; Li, X.; Wu, S.; Yang, C. Sustainable livestock wastewater treatment via phytoremediation: Current status and future perspectives. Bioresour. Technol. 2020, 315, 123809. [Google Scholar] [CrossRef]
- Zhang, X.; Zhang, J.; Han, Q.; Wang, X.; Wang, S.; Yuan, X.; Zhang, B.; Zhao, S. Antibiotics in mariculture organisms of different growth stages: Tissue-specific bioaccumulation and influencing factors. Environ. Pollut. 2021, 288, 117715. [Google Scholar] [CrossRef]
- Rosal, R.; Rodríguez, A.; Perdigón-Melón, J.A.; Petre, A.; García-Calvo, E.; Gómez, M.J.; Agüera, A.; Fernández-Alba, A.R. Occurrence of emerging pollutants in urban wastewater and their removal through biological treatment followed by ozonation. Water Res. 2010, 44, 578–588. [Google Scholar] [CrossRef]
- Sarmah, A.K.; Meyer, M.T.; Boxall, A.B.A. A global perspective on the use, sales, exposure pathways, occurrence, fate and effects of veterinary antibiotics (VAs) in the environment. Chemosphere 2006, 65, 725–759. [Google Scholar] [CrossRef]
- Zhao, H.; Quan, W.; Bekele, T.G.; Chen, M.; Zhang, X.; Qu, B. Effect of copper on the accumulation and elimination kinetics of fluoroquinolones in the zebrafish (Danio rerio). Ecotoxicol. Environ. Saf. 2018, 156, 135–140. [Google Scholar] [CrossRef] [PubMed]
- Wang, J.; Gagne, J.J.; Kattinakere-Sreedhara, S.; Fischer, M.A.; Bykov, K. Association between initiation of fluoroquinolones and hospital admission or emergency department visit for suicidality: Population based cohort study. Br. Med. J. 2022, 379, e069931. [Google Scholar] [CrossRef] [PubMed]
- GB31650.1-2022; National Food Safety Standard—Maximum Residue Limits for 41 Veterinary Drugs in Foods. National Standard of the People’s Republic of China: Beijing China, 2022.
- Soriano, Y.; Andreu, V.; Picó, Y. Pressurized liquid extraction of organic contaminants in environmental and food samples. TrAC Trends Anal. Chem. 2024, 173, 117624. [Google Scholar] [CrossRef]
- Vavrouš, A.; Vápenka, L.; Sosnovcová, J.; Kejlová, K.; Vrbík, K.; Jírová, D. Method for analysis of 68 organic contaminants in food contact paper using gas and liquid chromatography coupled with tandem mass spectrometry. Food Control 2016, 60, 221–229. [Google Scholar] [CrossRef]
- Loos, R.; Gawlik, B.M.; Locoro, G.; Rimaviciute, E.; Contini, S.; Bidoglio, G. EU-wide survey of polar organic persistent pollutants in European river waters. Environ. Pollut. 2009, 157, 561–568. [Google Scholar] [CrossRef]
- Togola, A.; Budzinski, H. Multi-residue analysis of pharmaceutical compounds in aqueous samples. J. Chromatogr. A 2008, 1177, 150–158. [Google Scholar] [CrossRef]
- Petrovic, M.; Farré, M.; de Alda, M.L.; Perez, S.; Postigo, C.; Köck, M.; Radjenovic, J.; Gros, M.; Barcelo, D. Recent trends in the liquid chromatography–mass spectrometry analysis of organic contaminants in environmental samples. J. Chromatogr. A 2010, 1217, 4004–4017. [Google Scholar] [CrossRef]
- Kasprzyk-Hordern, B.; Dinsdale, R.M.; Guwy, A.J. Multiresidue methods for the analysis of pharmaceuticals, personal care products and illicit drugs in surface water and wastewater by solid-phase extraction and ultra performance liquid chromatography–electrospray tandem mass spectrometry. Anal. Bioanal. Chem. 2008, 391, 1293–1308. [Google Scholar] [CrossRef]
- Loos, R.; Locoro, G.; Contini, S. Occurrence of polar organic contaminants in the dissolved water phase of the Danube River and its major tributaries using SPE-LC-MS2 analysis. Water Res. 2010, 44, 2325–2335. [Google Scholar] [CrossRef]
- Li, Y.; Gan, Z.; Liu, Y.; Chen, S.; Su, S.; Ding, S.; Tran, N.H.; Chen, X.; Long, Z. Determination of 19 anthelmintics in environmental water and sediment using an optimized PLE and SPE method coupled with UHPLC-MS/MS. Sci. Total Environ. 2020, 719, 137516. [Google Scholar] [CrossRef]
- Haimovici, L.; Reiner, E.J.; Besevic, S.; Jobst, K.J.; Robson, M.; Kolic, T.; MacPherson, K. A modified QuEChERS approach for the screening of dioxins and furans in sediments. Anal. Bioanal. Chem. 2016, 408, 4043–4054. [Google Scholar] [CrossRef] [PubMed]
- Bruzzoniti, M.C.; Checchini, L.; De Carlo, R.M.; Orlandini, S.; Rivoira, L.; Del Bubba, M. QuEChERS sample preparation for the determination of pesticides and other organic residues in environmental matrices: A critical review. Anal. Bioanal. Chem. 2014, 406, 4089–4116. [Google Scholar] [CrossRef] [PubMed]
- Springer, V.H.; Lista, A.G. In-line coupled single drop liquid–liquid–liquid microextraction with capillary electrophoresis for determining fluoroquinolones in water samples. Electrophoresis 2015, 36, 1572–1579. [Google Scholar] [CrossRef] [PubMed]
- Gao, W.; Chen, G.; Chen, Y.; Zhang, X.; Yin, Y.; Hu, Z. Application of single drop liquid–liquid–liquid microextraction for the determination of fluoroquinolones in human urine by capillary electrophoresis. J. Chromatogr. B 2011, 879, 291–295. [Google Scholar] [CrossRef]
- Concha-Graña, E.; Fernández-Martínez, G.; López-Mahía, P.; Prada-Rodríguez, D.; Muniategui-Lorenzo, S. Fast and sensitive determination of per- and polyfluoroalkyl substances in seawater. J. Chromatogr. A 2018, 1555, 62–73. [Google Scholar] [CrossRef]
- Wang, J.; Shi, Y.; Cai, Y. A highly selective dispersive liquid–liquid microextraction approach based on the unique fluorous affinity for the extraction and detection of per- and polyfluoroalkyl substances coupled with high performance liquid chromatography tandem–mass spectrometry. J. Chromatogr. A 2018, 1544, 1–7. [Google Scholar] [CrossRef]
- Surma, M.; Giżejewski, Z.; Zieliński, H. Determination of perfluorinated sulfonate and perfluorinated acids in tissues of free-living European beaver (Castor fiber L.) by d-SPE/ micro-UHPLC-MS/MS. Ecotoxicol. Environ. Saf. 2015, 120, 436–444. [Google Scholar] [CrossRef]
- Schultz, M.M.; Barofsky, D.F.; Field, J.A. Quantitative Determination of Fluorinated Alkyl Substances by Large-Volume-Injection Liquid Chromatography Tandem Mass SpectrometryCharacterization of Municipal Wastewaters. Environ. Sci. Technol. 2006, 40, 289–295. [Google Scholar] [CrossRef]
- Rashid, A.; Mazhar, S.H.; Zeng, Q.; Kiki, C.; Yu, C.-P.; Sun, Q. Simultaneous analysis of multiclass antibiotic residues in complex environmental matrices by liquid chromatography with tandem quadrupole mass spectrometry. J. Chromatogr. B 2020, 1145, 122103. [Google Scholar] [CrossRef]
- So, M.K.; Miyake, Y.; Yeung, W.Y.; Ho, Y.M.; Taniyasu, S.; Rostkowski, P.; Yamashita, N.; Zhou, B.S.; Shi, X.J.; Wang, J.X.; et al. Perfluorinated compounds in the Pearl River and Yangtze River of China. Chemosphere 2007, 68, 2085–2095. [Google Scholar] [CrossRef]
- He, X.; He, Y.; Huang, S.; Fang, Z.; Liu, J.; Ma, M.; Chen, B. Fluoro-functionalized paper-based solid-phase extraction for analysis of perfluorinated compounds by high-performance liquid chromatography coupled with electrospray ionization–tandem mass spectrometry. J. Chromatogr. A 2019, 1601, 79–85. [Google Scholar] [CrossRef] [PubMed]
- Liang, M.; Xian, Y.; Wang, B.; Hou, X.; Wang, L.; Guo, X.; Wu, Y.; Dong, H. High throughput analysis of 21 perfluorinated compounds in drinking water, tap water, river water and plant effluent from southern China by supramolecular solvents-based microextraction coupled with HPLC-Orbitrap HRMS. Environ. Pollut. 2020, 263, 114389. [Google Scholar] [CrossRef] [PubMed]
- Zacs, D.; Bartkevics, V. Trace determination of perfluorooctane sulfonate and perfluorooctanoic acid in environmental samples (surface water, wastewater, biota, sediments, and sewage sludge) using liquid chromatography—Orbitrap mass spectrometry. J. Chromatogr. A 2016, 1473, 109–121. [Google Scholar] [CrossRef] [PubMed]
- Storey, J.M.; Clark, S.B.; Johnson, A.S.; Andersen, W.C.; Turnipseed, S.B.; Lohne, J.J.; Burger, R.J.; Ayres, P.R.; Carr, J.R.; Madson, M.R. Analysis of sulfonamides, trimethoprim, fluoroquinolones, quinolones, triphenylmethane dyes and methyltestosterone in fish and shrimp using liquid chromatography–mass spectrometry. J. Chromatogr. B 2014, 972, 38–47. [Google Scholar] [CrossRef]
- Susakate, S.; Poapolathep, S.; Chokejaroenrat, C.; Tanhan, P.; Hajslova, J.; Giorgi, M.; Saimek, K.; Zhang, Z.; Poapolathep, A. Multiclass analysis of antimicrobial drugs in shrimp muscle by ultra high performance liquid chromatography-tandem mass spectrometry. J. Food Drug Anal. 2019, 27, 118–134. [Google Scholar] [CrossRef]
- Gómez-Granados, F.; Codony, R.; Granados, M.; Prat, M.D. Fluoroquinolones in soils: Assessment of extraction methods. Int. J. Environ. Anal. Chem. 2011, 91, 1353–1366. [Google Scholar] [CrossRef]
- Chen, S.; Jiao, X.-C.; Gai, N.; Li, X.-J.; Wang, X.-C.; Lu, G.-H.; Piao, H.-T.; Rao, Z.; Yang, Y.-L. Perfluorinated compounds in soil, surface water, and groundwater from rural areas in eastern China. Environ. Pollut. 2016, 211, 124–131. [Google Scholar] [CrossRef]
- Li, Y.; Liu, Y.; Shi, G.; Liu, C.; Hao, Q.; Wu, L. Occurrence and Risk Assessment of Perfluorooctanoate (PFOA) and Perfluorooctane Sulfonate (PFOS) in Surface Water, Groundwater and Sediments of the Jin River Basin, Southeastern China. Bull. Environ. Contam. Toxicol. 2022, 108, 1026–1032. [Google Scholar] [CrossRef]
- Qiu, Y.; Jing, H.; Shi, H. Perfluorocarboxylic acids (PFCAs) and perfluoroalkyl sulfonates (PFASs) in surface and tap water around Lake Taihu in China. Front. Environ. Sci. Eng. China 2010, 4, 301–310. [Google Scholar] [CrossRef]
- An, W.; Duan, L.; Zhang, Y.; Wang, B.; Liu, C.S.; Wang, F.; Sui, Q.; Xu, D.; Yu, G. Occurrence, spatiotemporal distribution, seasonal and annual variation, and source apportionment of poly– and perfluoroalkyl substances (PFASs) in the northwest of Tai Lake Basin, China. J. Hazard. Mater. 2021, 416, 125784. [Google Scholar] [CrossRef]
- Li, Q.; Wang, P.; Wang, C.; Hu, B.; Wang, X. A novel procedure for predicting chronic toxicities and ecological risks of perfluorinated compounds in aquatic environment. Environ. Res. 2022, 215, 114132. [Google Scholar] [CrossRef] [PubMed]
- Codling, G.; Vogt, A.; Jones, P.D.; Wang, T.; Wang, P.; Lu, Y.L.; Corcoran, M.; Bonina, S.; Li, A.; Sturchio, N.C.; et al. Historical trends of inorganic and organic fluorine in sediments of Lake Michigan. Chemosphere 2014, 114, 203–209. [Google Scholar] [CrossRef] [PubMed]
- Fagbayigbo, B.O.; Opeolu, B.O.; Fatoki, O.S.; Olatunji, O.S. Validation and determination of nine PFCS in surface water and sediment samples using UPLC-QTOF-MS. Environ. Monit. Assess. 2018, 190, 346. [Google Scholar] [CrossRef] [PubMed]
- Higgins, C.P.; Field, J.A.; Criddle, C.S.; Luthy, R.G. Quantitative Determination of Perfluorochemicals in Sediments and Domestic Sludge. Environ. Sci. Technol. 2005, 39, 3946–3956. [Google Scholar] [CrossRef] [PubMed]
- Chen, H.; Zhang, C.; Yu, Y.; Han, J. Sorption of perfluorooctane sulfonate (PFOS) on marine sediments. Mar. Pollut. Bull. 2012, 64, 902–906. [Google Scholar] [CrossRef]
- Houde, M.; De Silva, A.O.; Muir, D.C.G. Letcher, R.J. Monitoring of Perfluorinated Compounds in Aquatic Biota: An Updated Review. Environ. Sci. Technol. 2011, 45, 7962–7973. [Google Scholar] [CrossRef]
- Savoca, D.; Pace, A. Bioaccumulation, Biodistribution, Toxicology and Biomonitoring of Organofluorine Compounds in Aquatic Organisms. Int. J. Mol. Sci. 2021, 22, 6276. [Google Scholar] [CrossRef]
- Diao, J.; Chen, Z.; Wang, T.; Su, C.; Sun, Q.; Guo, Y.; Zheng, Z.; Wang, L.; Li, P.; Liu, W.; et al. Perfluoroalkyl substances in marine food webs from South China Sea: Trophic transfer and human exposure implication. J. Hazard. Mater. 2022, 431, 128602. [Google Scholar] [CrossRef]
- Hu, H.; Liu, M.; Shen, L.; Zhang, L.; Zhu, H.; Wu, Q. Simultaneous determination of multiple perfluoroalkyl and polyfluoroalkyl substances in aquatic products by ultra-performance liquid chromatography-tandem mass spectrometry with automated solid-phase extraction. J. Chromatogr. B 2023, 1224, 123736. [Google Scholar] [CrossRef]








| Compound | Retention Time (min) | Precursor Ion | Product Ion | Collision Energy/V |
|---|---|---|---|---|
| PFBS | 6.03 | 299.0 | 80.0 | −33 |
| PFHxA | 7.80 | 313.0 | 269.0 | −11 |
| HFPO-DA | 8.31 | 329.0 | 285.0 | −8 |
| PFHpA | 9.52 | 363.0 | 319.0 | −10 |
| PFHxS | 9.65 | 399.0 | 80.0 | −32 |
| ADONA | 9.67 | 377.0 | 251.0 | −12 |
| PFOA | 10.91 | 413.0 | 369.0 | −10 |
| PFNA | 12.06 | 463.0 | 419.0 | −12 |
| PFOS | 12.06 | 499.0 | 80.0 | −42 |
| 9Cl-PF3ONS | 12.59 | 531.0 | 351.0 | −24 |
| PFDA | 13.05 | 513.0 | 469.0 | −10 |
| PFUnA | 13.89 | 563.0 | 519.0 | −10 |
| NMeFOSAA | 14.58 | 570.0 | 419.0 | −20 |
| PFDoA | 14.61 | 613.0 | 569.0 | −10 |
| NEtFOSAA | 15.03 | 584.0 | 419.0 | −20 |
| PFTrDA | 15.24 | 663.0 | 619.0 | −14 |
| PFTeDA | 15.80 | 713.0 | 669.0 | −12 |
| Fleroxacin | 1.62 | 370.4 | 326.4 */269.4 | 30/40 |
| Ofloxacin | 1.71 | 362.4 | 318.4 */261.3 | 30/40 |
| Pefloxacin | 1.72 | 334.1 | 316.1 */290.2 | 27/25 |
| Enoxacin | 1.73 | 321.1 | 303.4 */232.2 | 35/48 |
| Enrofloxacin | 1.98 | 360.6 | 316.4 */245.4 | 30/40 |
| Danofloxacin | 2.01 | 358.3 | 340.3 */283.4 | 30/40 |
| Ciprofloxacin | 2.04 | 332.4 | 288.3 */245.3 | 25/33 |
| Orbifloxacin | 2.13 | 396.3 | 352.3 */295.4 | 27/35 |
| Lomefloxacin | 2.17 | 352.3 | 308.4 */265.4 | 28/33 |
| Difloxacin | 2.34 | 400.4 | 356.2 */299.3 | 28/42 |
| Sarafloxacin | 2.59 | 386.4 | 342.3 */299.2 | 28/43 |
| Sparfloxacin | 3.34 | 393.3 | 349.4 */292.4 | 30/38 |
| Flumequine | 7.14 | 262.3 | 244.3 */202.3 | 30/49 |
Disclaimer/Publisher’s Note: The statements, opinions and data contained in all publications are solely those of the individual author(s) and contributor(s) and not of MDPI and/or the editor(s). MDPI and/or the editor(s) disclaim responsibility for any injury to people or property resulting from any ideas, methods, instructions or products referred to in the content. |
© 2024 by the authors. Licensee MDPI, Basel, Switzerland. This article is an open access article distributed under the terms and conditions of the Creative Commons Attribution (CC BY) license (https://creativecommons.org/licenses/by/4.0/).
Share and Cite
Huang, D.; Liu, C.; Zhou, H.; Wang, X.; Zhang, Q.; Liu, X.; Deng, Z.; Wang, D.; Li, Y.; Yao, C.; et al. Simultaneous and High-Throughput Analytical Strategy of 30 Fluorinated Emerging Pollutants Using UHPLC-MS/MS in the Shrimp Aquaculture System. Foods 2024, 13, 3286. https://doi.org/10.3390/foods13203286
Huang D, Liu C, Zhou H, Wang X, Zhang Q, Liu X, Deng Z, Wang D, Li Y, Yao C, et al. Simultaneous and High-Throughput Analytical Strategy of 30 Fluorinated Emerging Pollutants Using UHPLC-MS/MS in the Shrimp Aquaculture System. Foods. 2024; 13(20):3286. https://doi.org/10.3390/foods13203286
Chicago/Turabian StyleHuang, Di, Chengbin Liu, Huatian Zhou, Xianli Wang, Qicai Zhang, Xiaoyu Liu, Zhongsheng Deng, Danhe Wang, Yameng Li, Chunxia Yao, and et al. 2024. "Simultaneous and High-Throughput Analytical Strategy of 30 Fluorinated Emerging Pollutants Using UHPLC-MS/MS in the Shrimp Aquaculture System" Foods 13, no. 20: 3286. https://doi.org/10.3390/foods13203286
APA StyleHuang, D., Liu, C., Zhou, H., Wang, X., Zhang, Q., Liu, X., Deng, Z., Wang, D., Li, Y., Yao, C., Song, W., & Rao, Q. (2024). Simultaneous and High-Throughput Analytical Strategy of 30 Fluorinated Emerging Pollutants Using UHPLC-MS/MS in the Shrimp Aquaculture System. Foods, 13(20), 3286. https://doi.org/10.3390/foods13203286

