Deciphering the Cape Gooseberry Fruits Mycobiome for Further Safety Improvement Postharvest
Abstract
1. Introduction
2. Materials and Methods
2.1. Fruit Sampling and Processing
2.2. Library Construction, Sequencing, Data Processing, and Analysis
2.3. Rarefaction Curves
2.4. Alpha and Beta Diversity Analysis
2.5. Statistical Significance Tests
3. Results and Discussion
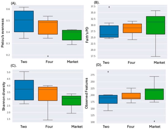
3.1. Fungal Alpha-Diversity in Cape Gooseberry Fruits
3.2. Fungal Beta-Diversity in Cape Gooseberries
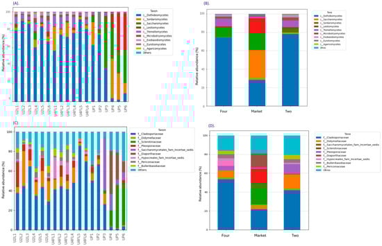
3.3. Cape Gooseberry Fungal Communities Taxonomic Assignment at Unripe and Ripe Stages
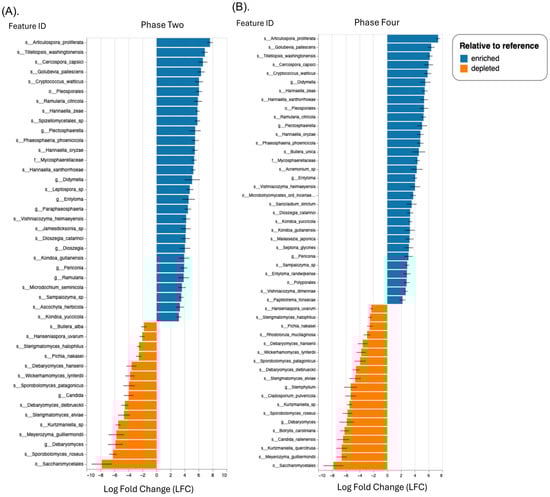
3.4. Fruits Spoilage Increased at the Market Sites
4. Conclusions
Supplementary Materials
Author Contributions
Funding
Data Availability Statement
Acknowledgments
Conflicts of Interest
References
- Díaz, J.L.; Chaves-Acuña, W.; Yánez, A. Diversity of fungal communities inhabiting symptomatic leaves of cape gooseberry (Physalis Peruviana) in the Ecuadorian Andes’. Rev. Ecuat. Med. Cienc Biol. 2019, 40, 77–86. [Google Scholar] [CrossRef]
- Yehia, H.M.; Elkhadragy, M.F.; Shebl, R.I.; Al-Masoud, A.H.; El-Din, M.F.S. Control some foodborne pathogens contaminated bacteria and fungi by fabrication calyx cape gooseberry (Physalis peruviana L.) nanoparticles. Food Sci. Technol. 2022, 42, e116021. [Google Scholar] [CrossRef]
- Eraso-Grisales, S.; Cortes-Rodríguez, M.; Castaño-Peláez, H.I.; Hurtado-Benavides, A. Enzymatic hydrolysis of a colloidal system based on cape gooseberry. Food Sci. Technol. 2022, 42, e67820. [Google Scholar] [CrossRef]
- AGROCALIDAD. La Uvilla Ecuatoriana llega a El Salvador. 2023. Available online: https://www.agrocalidad.gob.ec/la-uvilla-ecuatoriana-llega-a-el-salvador/ (accessed on 4 September 2024).
- INEN 2485. Instituto Ecuatoriano de Normalización. Frutas Frescas. Uvilla Requisitos. 2009. Available online: https://www.scribd.com/document/683439733/ec-nte-2485-2009 (accessed on 4 July 2024).
- Garavito, J.; Mendoza, S.M.; Castellanos, A.M. Configuration of biodegradable equilibrium modified atmosphere packages including a moisture absorber for fresh cape gooseberry (Physalis peruviana L.) fruits. J. Food Engineer. 2022, 314, 110761. [Google Scholar] [CrossRef]
- Lorenzo, J.M.; Munekata, P.E.; Dominguez, R.; Pateiro, M.; Saraiva, J.A.; Franco, D. Main groups of microorganisms of relevance for food safety and stability: General aspects and overall description. In Innovative Technologies for Food Preservation; Academic Press: Cambridge, MA, USA, 2018; pp. 53–107. [Google Scholar] [CrossRef]
- Cortés, L.A.; Moncayo, D.C.; Castellanos, D.A. Development of an antimicrobial packaging system for fresh cape gooseberry (Physalis peruviana L.) fruits. Food Packag. Shelf Life 2023, 38, 101113. [Google Scholar] [CrossRef]
- Gonzáles-Aguilar, G.A.; Ayala-Zavala, R.L.A.; Alvarez-Parrilla, E. Phytochemical change in the postharvest and minimal processing of fresh fruits and vegetables. In Fruit and Vegetables Phytochemicals: Chemistry Nutritional Value and Stability; De La Rosa, L.A., Alvarez-Parrilla, E., González-Aguilar, G.A., Eds.; Blackwell: Singapore, 2010; pp. 309–340. [Google Scholar]
- Tenea, G.N.; Molina, D. Bacterial community structure of Physalis peruviana L. fruit exocarp and the presence of pathogens with possible implications on food safety. Front. Plant. Sci. 2024, 15, 1410314. [Google Scholar] [CrossRef]
- Molina, D.; Carrión-Olmedo, J.C.; Jarrín-V, P.; Tenea, G.N. Genome characterization of a multi-drug resistant Escherichia coli strain, L1PEag1, isolated from commercial cape gooseberry fruits (Physalis peruviana L.). Front. Microbiol. 2024, 15, 1392333. [Google Scholar] [CrossRef]
- Khwantongyim, P.; Wansee, S.; Lu, X.; Zhang, W.; Sun, G. Variations in the community structure of fungal microbiota associated with apple fruit shaped by fruit bagging-based practice. J. Fungi 2021, 7, 764. [Google Scholar] [CrossRef]
- Shen, Y.; Nie, J.; Li, Z.; Li, H.; Wu, Y.; Dong, Y.; Zhang, J. Differentiated surface fungal communities at point of harvest on apple fruits from rural and peri-urban orchards. Sci. Rep. 2018, 8, 2165. [Google Scholar] [CrossRef]
- Kusstatscher, P.; Cernava, T.; Abdelfattah, A.; Gokul, J.; Korsten, L.; Berg, G. Microbiome approaches provide the key to biologically control postharvest pathogens and storability of fruits and vegetables. FEMS Microbiol. Ecol. 2020, 96, 7. [Google Scholar] [CrossRef]
- Angamarca, E.; Castillejo, P.; Tenea, G.N. Microbiota and its antibiotic resistance profile in avocado Guatemalan fruits (Persea nubigena var. guatemalensis) sold at retail markets of Ibarra city, northern Ecuador. Front. Microbiol. 2023, 14, 1228079. [Google Scholar] [CrossRef]
- Toju, H.; Tanabe, A.S.; Yamamoto, S.; Sato, H. High-coverage ITS primers for the DNA-based identification of ascomycetes and basidiomycetes in environmental samples. PLoS ONE 2012, 7, e40863. [Google Scholar] [CrossRef] [PubMed]
- Bolyen, E.; Rideout, J.R.; Dillon, M.R.; Bokulich, N.A.; Abnet, C.C.; Al-Ghalith, G.A.; Alexander, H.; Alm, E.J.; Arumugam, M.; Asnicar, F.; et al. Reproducible, interactive, scalable and extensible microbiome data science using QIIME 2. Nat. Biotechnol. 2019, 37, 852–857. [Google Scholar] [CrossRef] [PubMed]
- Reeder, J.; Knight, R. Rapidly denoising pyrosequencing amplicon reads by exploiting rank-abundance distributions. Nat. Methods 2010, 7, 668–669. [Google Scholar] [CrossRef]
- Callahan, B.J.; McMurdie, P.J.; Rosen, M.J.; Han, A.W.; Johnson, A.J.A.; Holmes, S.P. DADA2: High-resolution sample inference from Illumina amplicon data. Nat. Methods 2020, 13, 581–583. [Google Scholar] [CrossRef]
- Alishum, A. DADA2 formatted 16S rRNA gene sequences for both bacteria & archaea (Version 4.2) [Data set]. Zenodo 2021. Available online: https://zenodo.org/records/4735821 (accessed on 15 April 2024).
- Edgar, R.C. Search and clustering orders of magnitude faster than BLAST. Bioinformatics 2010, 26, 2460–2461. [Google Scholar] [CrossRef]
- Abarenkov, K.; Zirk, A.; Piirmann, T.; Pöhönen, R.; Ivanov, F.; Nilsson, R.H.; Kõljalg, U. UNITE QIIME release for Fungi. Version 16.10.2022. UNITE Community. Available online: https://github.com/colinbrislawn/unite-train/releases/download/9.0-qiime2-2023.2-demo/unite_ver9_99_29.11.2022-Q2-2023.2.qza (accessed on 15 April 2024).
- Kandlikar, G.S.; Gold, Z.J.; Cowen, M.C.; Meyer, R.S.; Freise, A.C.; Kraft, N.J.B.; Moberg-Parker, J.; Sprague, J.; Kushner, D.J.; Curd, E.E. Ranacapa: An R package and shiny web app to explore environmental DNA data with exploratory statistics and interactive visualizations. F1000Research 2018, 7, 1734. [Google Scholar] [CrossRef]
- Krebs, C.J. Species diversity measures. In Ecological Methodology; University of British Columbia: Vancouver, BC, Canada, 2014; pp. 532–593. [Google Scholar]
- Lozupone, C.; Hamady, M.; Kelley, S.T.; Knight, R. Quantitative and qualitative β diversity measures lead to different insights into factors that structure microbial communities. Appl. Environ. Microbiol. 2007, 73, 1576–1585. [Google Scholar] [CrossRef] [PubMed]
- Xia, Y.; Sun, J.; Chen, D.-G. Statistical Analysis of Microbiome Data with R; Springer Nature: Singapore, 2018; Volume 847, 505p. [Google Scholar] [CrossRef]
- Lin, H.; Peddada, S.D. Analysis of compositions of microbiomes with bias correction. Nat. Commun. 2020, 11, 3514. [Google Scholar] [CrossRef]
- Tenea, G.N.; Reyes, P.; Molina, D.; Ortega, C. Pathogenic microorganisms linked to fresh fruits and juices purchased at low-cost markets in Ecuador, potential carriers of antibiotic resistance. Antibiotics 2023, 12, 236. [Google Scholar] [CrossRef] [PubMed]
- Verma, S.; Azevedo, L.C.B.; Pandey, J.; Khusharia, S.; Kumari, M.; Kumar, D.; Kaushalendra; Bhardwaj, N.; Teotia, P.; Kumar, A. Microbial intervention: An approach to combat the postharvest pathogens of fruits. Plants 2022, 11, 3452. [Google Scholar] [CrossRef] [PubMed]
- Abdelfattah, A.; Freilich, S.; Bartuv, R.; Zhimo, V.Y.; Kumar, A.; Biasi, A.; Salim, S.; Feygenberg, O.; Burchard, E.; Dardick, C.; et al. Global analysis of the apple fruit microbiome: Are all apples the same? Environ. Microbiol. 2021, 23, 6038–6055. [Google Scholar] [CrossRef]
- Cruz, A.F.; Barka, G.D.; Blum, L.E.B.; Tanaka, T.; Ono, N.; Kanaya, S.; Reineke, A. Evaluation of microbial communities in peels of Brazilian tropical fruits by amplicon sequence analysis. Braz. J. Microbiol. [Publ. Braz. Soc. Microbiol.] 2019, 50, 739–748. [Google Scholar] [CrossRef]
- Bai, Y.; Lin, L.; Pan, M.; Fan, X. Studies of Diaporthe (Diaporthaceae, Diaporthales) species associated with plant cankers in Beijing, China, with three new species described. MycoKeys 2023, 98, 59–86. [Google Scholar] [CrossRef]
- Ayoubi, N.; Soleimani, M.J.; Zare, R. Cladosporium species, a new challenge in strawberry production in Iran. Phytopathol. Mediterr. 2017, 56, 486–493. Available online: https://www.jstor.org/stable/44809359 (accessed on 15 April 2024).
- Xu, H.; Quan, Q.; Chang, X.; Ge, S.; Xu, S.; Wang, R.; Xu, Y.; Luo, Z.; Shan, Y.; Ding, S. Maintaining the balance of fungal community through active packaging film makes strawberry fruit pose pleasant flavor during storage. Postharvest Biol. Technol. 2024, 211, 112815. [Google Scholar] [CrossRef]
- Cui, Y.; Meng, J.; Zhang, J.; Wang, L.; Yan, H.; Xia, H.; Cao, J.; Wu, L. Case Report: A Case of Sarocladium strictum meningoencephalitis in an immunocompetent patient after invasive operation. Front. Med. 2021, 8, 762763. [Google Scholar] [CrossRef]
- Erper, I.; Celik, H.; Turkkan, M.; Kilicoglu, M.C. First report of Botrytis cinerea on golden berry. Australas. Plant Dis. Notes 2015, 10, 25. [Google Scholar] [CrossRef]
- Tenea, G.N.; Reyes, P.; Molina, D. Fungal mycobiome of mature strawberry fruits (Fragaria x ananassa Variety ‘Monterey’) suggests a potential market site contamination with harmful yeasts. Foods 2024, 13, 1175. [Google Scholar] [CrossRef]
- Guarnaccia, V.; Remolif, G.M.E.; Nari, L.; Gualandri, V.; Angeli, D.; Oettl, S.; Dijksterhuis, J.; Boekhout, T.; Spadaro, D. Characterization of fungal species involved in white haze disorder on apples in Northern Italy and description of Golubevia mali sp. nov. and Entyloma mali sp. nov. Postharvest Biol. Technol. 2024, 209, 112678. [Google Scholar] [CrossRef]
- Garello, M.; Piombo, E.; Prencipe, S.; Schiavon, G.; Berra, L.; Wisniewski, M.; Droby, S.; Spadaro, D. Fruit microbiome: A powerful tool to study the epidemiology of dry lenticel rot and white haze—Emerging postharvest diseases of apple. Postharvest Biol. Technol. 2023, 196, 112–163. [Google Scholar] [CrossRef]
- Afolabi, C.G.; Oduola, O.A. Response of capsicum genotypes to Cercospora leaf spot disease and yield as a result of natural infection in the tropics. Int. J. Veg. Sci. 2017, 23, 372–380. [Google Scholar] [CrossRef]
- Oluwadara, A.; Odeyemi, O.A.; Strateva, M.; Stratev, D. Microbial spoilage of vegetables, fruits and cereals. Appl. Food Res. 2022, 2, 100122. [Google Scholar] [CrossRef]
- Ren, H.; Gao, Y.; Li, X.; Xing, S.J.; Gao, Y.T.; Yang, J.; Huang, Q. First report of Penicillium digitatum causing postharvest rot of citron fruit in Kunming, China. Plant Dis. 2022, 106, 1981, Advance online publication. [Google Scholar] [CrossRef] [PubMed]
- Kachalkin, A.V.; Glushakova, A.M.; Venzhik, A.S. Presence of clinically significant endophytic yeasts in agricultural crops: Monitoring and ecological safety assessment IOP Conf. Series: Earth Environ. Sci. 2021, 723, 042005. [Google Scholar] [CrossRef]
- Apolo, D.; Fernández, J.M.; Benítez, Á.; Figueroa, J.G.; Estrada, K.; Cruz, D. Phenotypic and molecular characterization of yeast diversity associated to postharvest fermentation process of coffee fruits in Southern Ecuador. Diversity 2023, 15, 984. [Google Scholar] [CrossRef]
- Tan, J.; De Zutter, N.; De Saeger, S.; De Boevre, M.; Tran, T.M.; van der Lee, T.; Waalwijk, C.; Willems, A.; Vandamme, P.; Ameye, M.; et al. Presence of the weakly pathogenic Fusarium poae in the fusarium head blight disease complex hampers biocontrol and chemical control of the virulent Fusarium graminearum pathogen. Front. Plant Sci. 2021, 12, 641890. [Google Scholar] [CrossRef]
- Zambelli, A.; Mancebo, M.F.; Bazzalo, M.E.; Reid, R.J.; Sanchez, M.C.; Kontz, M.J.; Mathew, F.M. Six species of diaporthe associated with phomopsis stem canker of sunflower in Southern Pampean Region of Argentina. Plant Health Prog. 2021, 22, 136–142. [Google Scholar] [CrossRef]






| Samples ID | Origin/Phase | Total Counts | Filtered Counts | Shannon Diversity Index |
|---|---|---|---|---|
| U2L1 | Orchard/Two | 303,908 | 172,552 | 3.62 |
| U2L2 | 274,309 | 163,847 | 2.64 | |
| U2L3 | 280,980 | 161,797 | 2.69 | |
| U2L4 | 265,145 | 134,630 | 4.59 | |
| U2L5 | 333,404 | 212,034 | 3.84 | |
| U2L6 | 322,224 | 208,781 | 5.03 | |
| U4FL1 | Orchard/Four | 294,183 | 164,353 | 4.00 |
| U4FL2 | 263,105 | 144,269 | 3.94 | |
| U4FL3 | 265,678 | 132,929 | 3.68 | |
| U4FL4 | 271,939 | 139,378 | 3.73 | |
| U4FL5 | 254,197 | 145,195 | 1.42 | |
| U4FL6 | 162,737 | 79,870 | 2.62 | |
| UP1 | Market/Four | 344,719 | 255,777 | 3.07 |
| UP2 | 330,672 | 241,965 | 2.37 | |
| UP3 | 863,540 | 661,719 | 1.94 | |
| UP4 | 677,501 | 489,381 | 3.38 | |
| UP5 | 421,843 | 306,856 | 3.02 | |
| UP6 | 404,413 | 300,106 | 3.28 |
| Group Comparison | Metrics | Pseudo-F | p-Value | q-Value |
|---|---|---|---|---|
| Four vs. Market | Jaccard distance | 3.568 | 0.002 | 0.005 |
| Four vs. Two | 1.181 | 0.009 | 0.009 | |
| Market vs. Two | 3.452 | 0.003 | 0.005 | |
| Four vs. Market | Bray–Curtis dissimilarity | 5.467 | 0.006 | 0.009 |
| Four vs. Two | 1.254 | 0.266 | 0.266 | |
| Market vs. Two | 5.440 | 0.003 | 0.009 | |
| Four vs. Market | Unweighted_unifrac distance | 4.474 | 0.004 | 0.006 |
| Four vs. Two | 1.205 | 0.053 | 0.053 | |
| Market vs. Two | 4.202 | 0.003 | 0.006 | |
| Four vs. Market | Weighted_unifrac distance | 8.021 | 0.006 | 0.009 |
| Four vs. Two | 2.069 | 0.095 | 0.095 | |
| Market vs. Two | 9.897 | 0.001 | 0.003 |
Disclaimer/Publisher’s Note: The statements, opinions and data contained in all publications are solely those of the individual author(s) and contributor(s) and not of MDPI and/or the editor(s). MDPI and/or the editor(s) disclaim responsibility for any injury to people or property resulting from any ideas, methods, instructions or products referred to in the content. |
© 2024 by the authors. Licensee MDPI, Basel, Switzerland. This article is an open access article distributed under the terms and conditions of the Creative Commons Attribution (CC BY) license (https://creativecommons.org/licenses/by/4.0/).
Share and Cite
Tenea, G.N.; Molina, D. Deciphering the Cape Gooseberry Fruits Mycobiome for Further Safety Improvement Postharvest. Foods 2024, 13, 3248. https://doi.org/10.3390/foods13203248
Tenea GN, Molina D. Deciphering the Cape Gooseberry Fruits Mycobiome for Further Safety Improvement Postharvest. Foods. 2024; 13(20):3248. https://doi.org/10.3390/foods13203248
Chicago/Turabian StyleTenea, Gabriela N., and Diana Molina. 2024. "Deciphering the Cape Gooseberry Fruits Mycobiome for Further Safety Improvement Postharvest" Foods 13, no. 20: 3248. https://doi.org/10.3390/foods13203248
APA StyleTenea, G. N., & Molina, D. (2024). Deciphering the Cape Gooseberry Fruits Mycobiome for Further Safety Improvement Postharvest. Foods, 13(20), 3248. https://doi.org/10.3390/foods13203248

