Plant-Based Ingredients Utilized as Fat Replacers and Natural Antimicrobial Agents in Beef Burgers
Abstract
1. Introduction
2. Materials and Methods
2.1. Fat Replacer
2.2. Selection of Fat Replacer
2.2.1. Sensory Analysis
2.2.2. Chemical Composition of Low-Fat Hamburgers
2.2.3. Microbiological Analysis
2.3. Selection of Natural Extract
2.3.1. Antimicrobial Activity and Minimum Inhibitory Concentration Evaluation
2.3.2. Total Phenolic Content and Antioxidant Activity Evaluation
2.4. Albedo and Medlar Validation In Situ
2.4.1. Storage Test
2.4.2. Validation of Anti-Listeria Effect
2.5. Statistical Analysis
3. Results and Discussion
3.1. Fat Replacer Selection
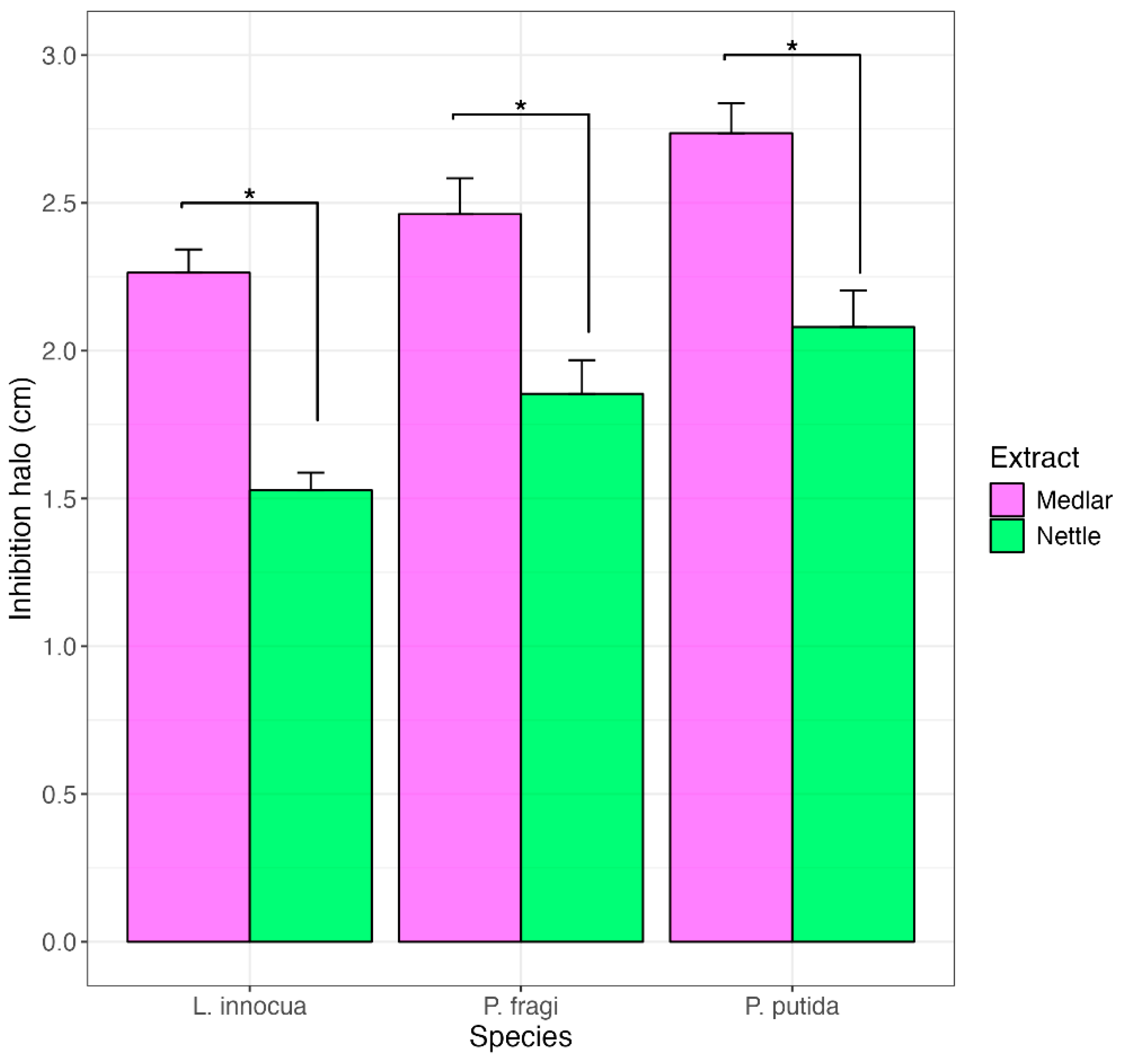
3.2. Bio-Preservation Tool Development
3.3. Fat Replacer and Bio-Preservation Tool Validation
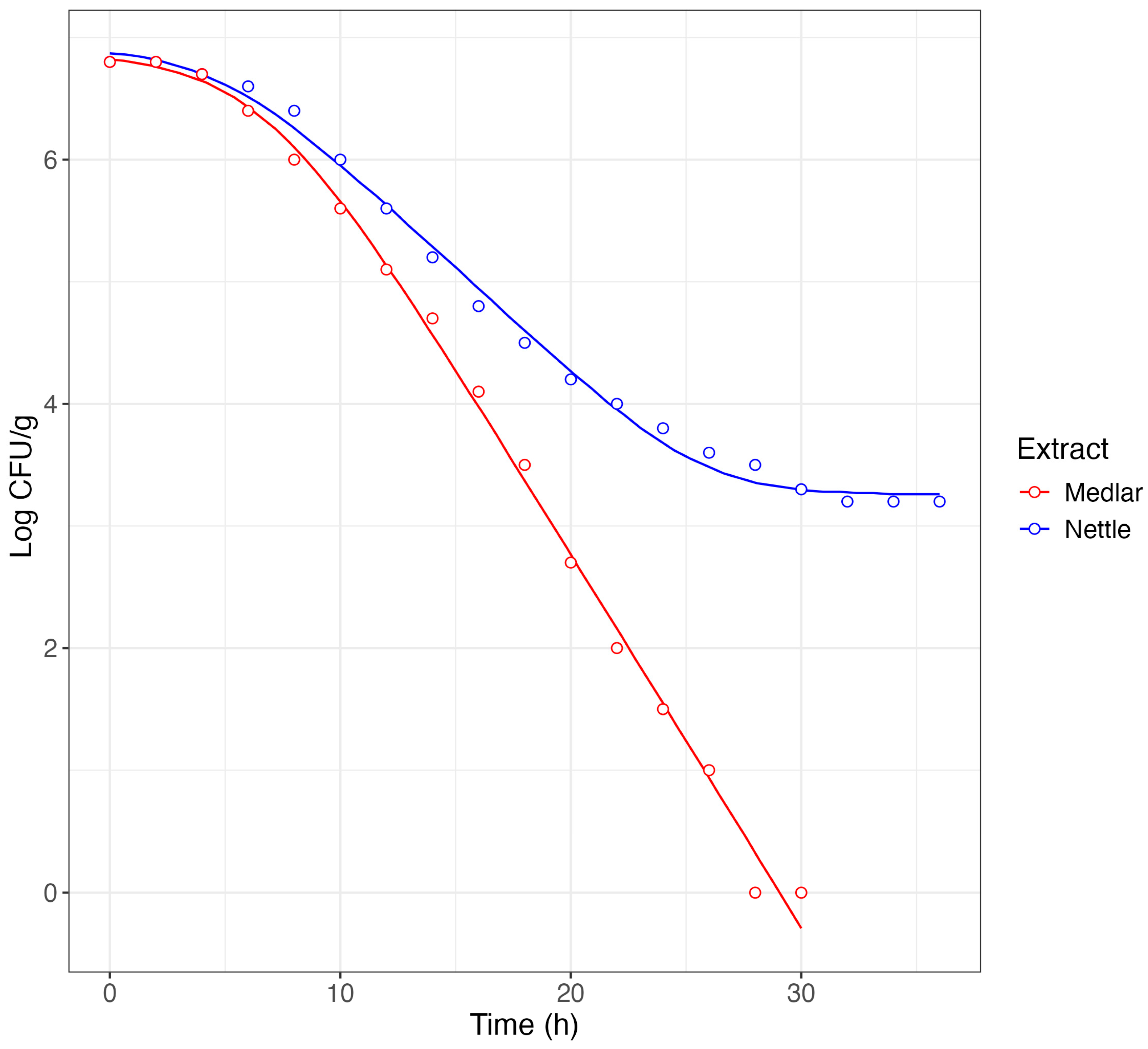
3.3.1. Storage Test
3.3.2. Anti-Listeria Validation
4. Conclusions
Supplementary Materials
Author Contributions
Funding
Data Availability Statement
Conflicts of Interest
References
- Drewnowski, A. Perspective: The place of pork meat in sustainable healthy diets. Adv. Nutr. 2024, 15, 100213. [Google Scholar] [CrossRef]
- Kennedy, J.; Alexander, P.; Taillie, L.S.; Jaacks, L.M. Estimated effects of reductions in processed meat consumption and unprocessed red meat consumption on occurrences of type 2 diabetes, cardiovascular disease, colorectal cancer, and mortality in the USA: A microsimulation study. Lancet Planet. Health 2024, 8, e441–e451. [Google Scholar] [CrossRef]
- Post, M.J.; Levenberg, S.; Kaplan, D.L.; Genovese, N.; Fu, J.; Bryant, C.J.; Negowetti, N.; Verzijden, K.; Moutsatsou, P. Scientific, sustainability and regulatory challenges of cultured meat. Nat. Food 2020, 1, 403–415. [Google Scholar] [CrossRef]
- Snyder, A.B.; Martin, N.; Wiedmann, M. Microbial food spoilage: Impact, causative agents and control strategies. Nat. Rev. Microbiol. 2024, 22, 528–542. [Google Scholar] [CrossRef]
- Resare Sahlin, K.; Trewern, J. A systematic review of the definitions and interpretations in scientific literature of ‘less but better’ meat in high-income settings. Nat. Food 2022, 3, 454–460. [Google Scholar] [CrossRef]
- Espinales, C.; Baldeón, M.; Bravo, C.; Toledo, H.; Carballo, J.; Romero-Peña, M.; Cáceres, P.J. Strategies for healthier meat foods: An overview. Prev. Nutr. Food Sci. 2024, 29, 18. [Google Scholar] [CrossRef]
- Inguglia, E.S.; Song, Z.; Kerry, J.P.; O’Sullivan, M.G.; Hamill, R.M. Addressing clean label trends in commercial meat processing: Strategies, challenges and insights from consumer perspectives. Foods 2023, 12, 2062. [Google Scholar] [CrossRef]
- Abdullah; Liu, L.; Javed, H.U.; Xiao, J. Engineering emulsion gels as functional colloids emphasizing food applications: A review. Front. Nutr. 2022, 9, 890188. [Google Scholar] [CrossRef]
- Barros, J.C.; Munekata, P.E.; de Carvalho, F.A.L.; Domínguez, R.; Trindade, M.A.; Pateiro, M.; Lorenzo, J.M. Healthy beef burgers: Effect of animal fat replacement by algal and wheat germ oil emulsions. Meat Sci. 2021, 173, 108396. [Google Scholar] [CrossRef]
- Domínguez, R.; Lorenzo, J.M.; Pateiro, M.; Munekata, P.E.; Alves dos Santos, B.; Basso Pinton, M.; Cichoski, A.J.; Bastianello Campagnol, P.C. Main animal fat replacers for the manufacture of healthy processed meat products. Crit. Rev. Food Sci. Nut. 2024, 64, 2513–2532. [Google Scholar] [CrossRef]
- Kim, T.-K.; Yong, H.-I.; Jung, S.; Kim, Y.-B.; Choi, Y.-S. Effects of replacing pork fat with grape seed oil and gelatine/alginate for meat emulsions. Meat Sci. 2020, 163, 108079. [Google Scholar] [CrossRef]
- Lucas-González, R.; Roldán-Verdu, A.; Sayas-Barberá, E.; Fernández-López, J.; Pérez-Álvarez, J.A.; Viuda-Martos, M. Assessment of emulsion gels formulated with chestnut (Castanea sativa M.) flour and chia (Salvia hispanica L.) oil as partial fat replacers in pork burger formulation. J. Sci. Food Agric. 2020, 100, 1265–1273. [Google Scholar] [CrossRef]
- Kumar, Y. Development of low-fat/reduced-fat processed meat products using fat replacers and analogues. Food Rev. Int. 2021, 37, 296–312. [Google Scholar] [CrossRef]
- Guedes, J.M.; Salgado, R.L.; Costa, B.R.C.; Guedes, J.; Conte, C.A. Washed Cashew Apple Fiber (Anacardium occidentale L.) As Fat Replacer in Chicken Patties. LWT—Food Sci. Technol. 2016, 71, 268–273. [Google Scholar] [CrossRef]
- Selani, M.M.; Shirado, G.A.N.; Margiotta, G.B.; Saldaña, E.; Spada, F.P.; Piedade, S.M.S.; Contreras-Castillo, C.J.; Canniatti-Brazaca, S.G. Effects of Pineapple Byproduct and Canola Oil as Fat Replacers on Physicochemical and Sensory Qualities of Low-fat Beef Burger. Meat Sci. 2016, 112, 69–76. [Google Scholar] [CrossRef]
- Gao, Y.; Zhao, Y.; Yao, Y.; Chen, S.; Xu, L.; Wu, N.; Tu, Y. Recent trends in design of healthier fat replacers: Type, replacement mechanism, sensory evaluation method and consumer acceptance. Food Chem. 2024, 447, 138982. [Google Scholar] [CrossRef]
- Hwang, B.K.; Choi, H.; Choi, S.H.; Kim, B.S. Analysis of microbiota structure and potential functions influencing spoilage of fresh beef meat. Front. Microbiol. 2020, 11, 1657. [Google Scholar] [CrossRef]
- Odeyemi, O.A.; Alegbeleye, O.O.; Strateva, M.; Stratev, D. Understanding spoilage microbial community and spoilage mechanisms in foods of animal origin. Compr. Rev. Food Sci. Food Saf. 2020, 19, 311–331. [Google Scholar] [CrossRef]
- Belluco, C.Z.; Mendonça, F.J.; Zago, I.C.C.; Di Santis, G.W.; Marchi, D.F.; Soares, A.L. Application of orange albedo fat replacer in chicken mortadella. J. Food Sci. Technol. 2022, 59, 3659–3668. [Google Scholar] [CrossRef]
- Sarıçoban, C.; Unal, K. Influence of pre-treated bitter orange albedo on the physicochemical, textural and sensory properties of fermented sausages (sucuk). J. Food Sci. Technol. 2022, 59, 1478–1486. [Google Scholar] [CrossRef]
- Tremonte, P.; Pannella, G.; Lombardi, S.J.; Iorizzo, M.; Vergalito, F.; Cozzolino, A.; Maiuro, L.; Succi, M.; Sorrentino, E.; Coppola, R. Low-Fat and High-Quality Fermented Sausages. Microorganisms 2020, 8, 1025. [Google Scholar] [CrossRef]
- Fratianni, F.; Ombra, M.N.; Cozzolino, A.; Riccardi, R.; Spigno, P.; Tremonte, P.; Coppola, R.; Nazzaro, F. Phenolic constituents, antioxidant, antimicrobial and anti-proliferative activities of different endemic Italian varieties of garlic (Allium sativum L.). J. Funct. Foods 2016, 21, 240–248. [Google Scholar] [CrossRef]
- Kocić-Tanackov, S.; Pavlović, H. Natural Antimicrobial Agents Utilized in Food Preservation. Foods 2023, 12, 3484. [Google Scholar] [CrossRef]
- Sweet, R.; Kroon, P.A.; Webber, M.A. Activity of antibacterial phytochemicals and their potential use as natural food preservatives. Crit. Rev. Food Sci. Nutr. 2024, 64, 2076–2087. [Google Scholar] [CrossRef]
- Vidaković Knežević, S.; Knežević, S.; Vranešević, J.; Kravić, S.Ž.; Lakićević, B.; Kocić-Tanackov, S.; Karabasil, N. Effects of selected essential oils on Listeria monocytogenes in biofilms and in a model food system. Foods 2023, 12, 1930. [Google Scholar] [CrossRef]
- Šojić, B.; Ikonić, P.; Kocić-Tanackov, S.; Peulić, T.; Teslić, N.; Županjac, M.; Lončarević, I.; Zeković, Z.; Popović, M.; Vidaković, S.; et al. Antibacterial activity of selected essential oils against foodborne pathogens and their application in fresh Turkey sausages. Antibiotics 2023, 12, 182. [Google Scholar] [CrossRef]
- Wang, J.; Zhao, F.; Huang, J.; Li, Q.; Yang, Q.; Ju, J. Application of essential oils as slow-release antimicrobial agents in food preservation: Preparation strategies, release mechanisms and application cases. Crit. Rev. Food Sci. Nutr. 2024, 64, 6272–6297. [Google Scholar] [CrossRef]
- Fratianni, F.; Riccardi, R.; Spigno, P.; Ombra, M.N.; Cozzolino, A.; Tremonte, P.; Coppola, R.; Nazzaro, F. Biochemical characterization and antimicrobial and antifungal activity of two endemic varieties of garlic (Allium sativum L.) of the campania region, southern Italy. J. Med. Food 2016, 19, 686–691. [Google Scholar]
- Kocevski, D.; Du, M.; Kan, J.; Jing, C.; Lačanin, I.; Pavlović, H. Antifungal effect of Allium tuberosum, Cinnamomum cassia, and Pogostemon cablin essential oils and their components against population of Aspergillus species. J. Food Sci. 2013, 78, M731–M737. [Google Scholar] [CrossRef]
- Ombra, M.N.; Cozzolino, A.; Nazzaro, F.; d’Acierno, A.; Tremonte, P.; Coppola, R.; Fratianni, F. Biochemical and biological characterization of two Brassicaceae after their commercial expiry date. Food Chem. 2017, 218, 335–340. [Google Scholar] [CrossRef]
- Li, S.; Jiang, S.; Jia, W.; Guo, T.; Wang, F.; Li, J.; Yao, Z. Natural antimicrobials from plants: Recent advances and future prospects. Food Chem. 2024, 432, 137231. [Google Scholar] [CrossRef]
- Shafey, A.M.E. Green synthesis of metal and metal oxide nanoparticles from plant leaf extracts and their applications: A review. Green Process. Synth. 2020, 9, 304–339. [Google Scholar] [CrossRef]
- Đurović, S.; Kojić, I.; Radić, D.; Smyatskaya, Y.A.; Bazarnova, J.G.; Filip, S.; Tosti, T. Chemical Constituents of Stinging Nettle (Urtica dioica L.): A Comprehensive Review on Phenolic and Polyphenolic Compounds and Their Bioactivity. Int. J. Mol. Sci. 2024, 25, 3430. [Google Scholar] [CrossRef]
- Ivanov, Y.; Godjevargova, T. Antimicrobial Polymer Films with Grape Seed and Skin Extracts for Food Packaging. Microorganisms 2024, 12, 1378. [Google Scholar] [CrossRef]
- Mujović, M.; Šojić, B.; Peulić, T.; Kocić-Tanackov, S.; Ikonić, P.; Božović, D.; Teslić, N.; Županjac, M.; Novaković, S.; Jokanović, M.; et al. Effects of Dill (Anethum graveolens) Essential Oil and Lipid Extracts as Novel Antioxidants and Antimicrobial Agents on the Quality of Beef Burger. Foods 2024, 13, 896. [Google Scholar] [CrossRef]
- Hough, G.; Garitta, L. Methodology for sensory shelf-life estimation: A review. J. Sens. Stud. 2012, 27, 137–147. [Google Scholar] [CrossRef]
- Yang, J.; Lee, J. Application of sensory descriptive analysis and consumer studies to investigate traditional and authentic foods: A review. Foods 2019, 8, 54. [Google Scholar] [CrossRef]
- O’sullivan, M. A Handbook for Sensory and Consumer-Driven New Product Development: Innovative Technologies for the Food and Beverage Industry; Woodhead Publishing: Sawston, UK, 2016. [Google Scholar]
- AMSA. Research Guidelines for Cookery, Sensory Evaluation, and Instrumental Tenderness Measurements of Meat, 2nd ed.; American Meat Science Association: Champaign, IL, USA, 2015. [Google Scholar]
- AOAC International. Official methods of Analysis, 22nd ed.; On-line; AOAC International: Rockville, MD, USA, 2023. [Google Scholar]
- Tremonte, P.; Succi, M.; Coppola, R.; Sorrentino, E.; Tipaldi, L.; Picariello, G.; Pannella, G.; Fraternali, F. Homology-based modeling of Universal Stress Protein from Listeria innocua up-regulated under acid stress conditions. Front. Microbiol. 2016, 7, 1998. [Google Scholar] [CrossRef]
- Pannella, G.; Messia, M.C.; Tremonte, P.; Tipaldi, L.; La Gatta, B.; Lombardi, S.J.; Succi, M.; Marconi, E.; Coppola, R.; Sorrentino, E. Concerns and solutions for raw milk from vending machines. J. Food Process. Preserv. 2019, 43, e14140. [Google Scholar] [CrossRef]
- Sorrentino, E.; Succi, M.; Tipaldi, L.; Pannella, G.; Maiuro, L.; Sturchio, M.; Coppola, R.; Tremonte, P. Antimicrobial activity of gallic acid against food-related Pseudomonas strains and its use as biocontrol tool to improve the shelf life of fresh black truffles. Int. J. Food Microbiol. 2018, 266, 183–189. [Google Scholar] [CrossRef]
- Eucast, D. Determination of minimum inhibitory concentrations (MICs) of antibacterial agents by agar dilution. Clin. Microbiol. Infect. 2000, 6, 509–515. [Google Scholar]
- Baranyi, J.; Roberts, T.A. A dynamic approach to predicting bacterial growth in food. Int. J. Food Microbiol. 1994, 23, 277–294. [Google Scholar] [CrossRef] [PubMed]
- Mansouri, A.; Embarek, G.; Kokkalou, E.; Kefalas, P. Phenolic profile and antioxidant activity of the Algerian ripe date palm fruit (Phoenix dactylifera). Food Chem. 2005, 89, 411–420. [Google Scholar] [CrossRef]
- Buege, J.A.; Aust, S.D. Microsomal lipid peroxidation. Meth. Enzym. 1978, 52, 302–310. [Google Scholar] [PubMed]
- Tremonte, P.; Gambacorta, G.; Pannella, G.; Trani, A.; Succi, M.; La Gatta, B.; Tipaldi, L.; Grazia, L.; Sorrentino, E.; Coppola, R.; et al. NaCl replacement with KCl affects nutritional, microbiological and sensorial features of soppressata molisana. Eur. J. Lipid Sci. Technol. 2018, 120, 1700499. [Google Scholar] [CrossRef]
- Kassambara, A. rstatix: Pipe-Friendly Framework for Basic Statistical Tests. CRAN: Contributed Packages. 2019. Available online: https://cir.nii.ac.jp/crid/1360864422589421952 (accessed on 1 September 2024).
- Kumar, Y.; Bashir, A.A.; Choudhary, P. Processed Meat Products. In Fat Mimetics for Food Applications; Cerqueira, M.A.P.R., Castro, L.M.P., Eds.; John Wiley & Sons, Ltd.: Hoboken, NJ, USA, 2023; pp. 313–342. [Google Scholar]
- Mehta, N.; Ahlawat, S.S.; Sharma, D.P.; Dabur, R.S. Novel trends in development of dietary fiber rich meat products—A critical review. J. Food Sci. Technol. 2015, 52, 633–647. [Google Scholar] [CrossRef]
- Demirci, Z.O.; Yılmaz, I.; Demirci, A.Ş. Effects of xanthan, guar, carrageenan and locust bean gum addition on physical, chemical and sensory properties of meatballs. J. Food Sci. Technol. 2014, 51, 936–942. [Google Scholar] [CrossRef]
- Luruena-Martınez, M.A.; Vivar-Quintana, A.M.; Revilla, I. Effect of locust bean/xanthan gum addition and replacement of pork fat with olive oil on the quality characteristics of low-fat frankfurters. Meat Sci. 2004, 68, 383–389. [Google Scholar] [CrossRef]
- Honrado, A.; Aínsa, A.; Marquina, P.L.; Beltrán, J.A.; Calanche, J.B. Low-fat fresh sausage from rabbit meat: An alternative to traditional rabbit consumption. Meat Sci. 2022, 194, 108973. [Google Scholar] [CrossRef]
- Regulation, E.C. No 1924/2006 of the European Parliament and of the Council of 20 December 2006 on nutrition and health claims made on foods. Off. J. Eur. Union 2007, 12, 3–18. [Google Scholar]
- Eim, V.S.; Simal, S.; Rosselló, C.; Femenia, A. Effects of addition of carrot dietary fibre on the ripening process of a dry fermented sausage (sobrassada). Meat Sci. 2008, 80, 173–182. [Google Scholar] [CrossRef] [PubMed]
- Soncu, E.D.; Kolsarıcı, N.; Cicek, N.; Öztürk, G.S.; Arıcı, Y.K. The comparative effect of carrot and lemon fiber as a fat replacer on physico-chemical, textural, and organoleptic quality of low-fat beef hamburger. Korean J. Food Sci. Anim. Resour. 2015, 35, 370. [Google Scholar] [CrossRef] [PubMed]
- Tremonte, P.; Sorrentino, E.; Succi, M.; Tipaldi, L.; Pannella, G.; Ibañez, E.; Mendiola, J.A.; Di Renzo, T.; Reale, A.; Coppola, R. Antimicrobial effect of Malpighia punicifolia and extension of water buffalo steak shelf-life. J. Food Sci. 2016, 1, M97–M105. [Google Scholar] [CrossRef]
- Casella, S.; Leonardi, M.; Melai, B.; Fratini, F.; Pistelli, L. The role of diallyl sulfides and dipropyl sulfides in the in vitro antimicrobial activity of the essential oil of garlic, Allium sativum L.; and leek, Allium porrum L. Phytother. Res. 2013, 27, 380–383. [Google Scholar] [CrossRef] [PubMed]
- Zeng, Y.; Zhou, W.; Yu, J.; Zhao, L.; Wang, K.; Hu, Z.; Liu, X. By-products of fruit and vegetables: Antioxidant properties of extractable and non-extractable phenolic compounds. Antioxidants 2023, 12, 418. [Google Scholar] [CrossRef]
- Ghaima, K.K.; Hashim, N.M.; Ali, S.A. Antibacterial and antioxidant activities of ethyl acetate extract of nettle (Urtica dioica) and dandelion (Taraxacum officinale). J. Appl. Pharm. Sci. 2013, 3, 96–99. [Google Scholar]
- Timalsina, J.; Dhukuchhu, S.; Dhukuchhu, J.; Bhattarai, A.; Shrestha, R.; Gyawali, R. Formulation and Evaluation of Herbal Antioxidant Tablets of Urtica Dioica Extract. J. Nepal Chem. Soc. 2024, 44, 122–134. [Google Scholar] [CrossRef]
- Zouari Bouassida, K.; Bardaa, S.; Khimiri, M.; Rebaii, T.; Tounsi, S.; Jlaiel, L.; Trigui, M. Exploring the Urtica dioica Leaves Hemostatic and Wound-Healing Potential. BioMed Res. Int. 2017, 2017, 1047523. [Google Scholar] [CrossRef]
- Pogorzelska-Nowicka, E.; Hanula, M.; Pogorzelski, G. Extraction of polyphenols and essential oils from herbs with green extraction methods—An insightful review. Food Chem. 2024, 460, 140456. [Google Scholar] [CrossRef]
- Polyiam, P.; Thukhammee, W. A Comparison of Phenolic, Flavonoid, and Amino Acid Compositions and In Vitro Antioxidant and Neuroprotective Activities in Thai Plant Protein Extracts. Molecules 2024, 29, 2990. [Google Scholar] [CrossRef]
- Ispiryan, A.; Atkociuniene, V.; Makstutiene, N.; Sarkinas, A.; Salaseviciene, A.; Urbonaviciene, D.; Viskelis, J.; Pakeltiene, R.; Raudone, L. Correlation between Antimicrobial Activity Values and Total Phenolic Content/Antioxidant Activity in Rubus idaeus L. Plants 2024, 13, 504. [Google Scholar] [CrossRef] [PubMed]
- Martinez-Morales, F.; Alonso-Castro, A.J.; Zapata-Morales, J.R.; Carranza-Álvarez, C.; Aragon-Martinez, O.H. Use of standardized units for a correct interpretation of IC50 values obtained from the inhibition of the DPPH radical by natural antioxidants. Chem. Pap. 2020, 74, 3325–3334. [Google Scholar] [CrossRef]
- Oulahal, N.; Degraeve, P. Phenolic-rich plant extracts with antimicrobial activity: An alternative to food preservatives and biocides? Front. Microbiol. 2022, 12, 753518. [Google Scholar] [CrossRef]
- Yamauchi, M.; Kitamura, Y.; Nagano, H.; Kawatsu, J.; Gotoh, H. DPPH measurements and structure—Activity relationship studies on the antioxidant capacity of phenols. Antioxidants 2024, 13, 309. [Google Scholar] [CrossRef]
- Meryem, B.; Meriem, M.; Sarah, B.; Ali, R. Antioxidant and antimicrobial activities, and HPLC-PDA-ESI-MS profile of phenolic extract of Urtica dioica L. South Asian J. Exp. Biol. 2020, 10, 427. [Google Scholar] [CrossRef]
- Rani, S.; Painuly, N. Pharmacological And Phytochemical Evaluation Of Urtica Dioica Against Staphylococcus-Aureus, Bacillus Cereus (Gram Positive And Gram Negative) Curing Dental Problem. Educ. Adm. Theory Pract. 2024, 30, 3232–3239. [Google Scholar] [CrossRef]
- Sterniša, M.; Bucar, F.; Kunert, O.; Možina, S.S. Targeting fish spoilers Pseudomonas and Shewanella with oregano and nettle extracts. Int. J. Food Microbiol. 2020, 328, 108664. [Google Scholar] [CrossRef] [PubMed]
- Mortazavi, S.M.H.; Kaur, M.; Farahnaky, A.; Torley, P.J.; Osborn, A.M. The pathogenic and spoilage bacteria associated with red meat and application of different approaches of high CO2 packaging to extend product shelf-life. Crit. Rev. Food Sci. Nutr. 2023, 63, 1733–1754. [Google Scholar] [CrossRef]
- Hu, M.; Gurtler, J.B. Selection of surrogate bacteria for use in food safety challenge studies: A review. J. Food Protect. 2017, 80, 1506–1536. [Google Scholar] [CrossRef]
- Sheng, L.; Shen, X.; Zhu, N.J. Screening of non-pathogenic surrogates of Listeria monocytogenes applicable for chemical antimicrobial interventions of fresh apples. Food Contr. 2020, 110, 106977. [Google Scholar] [CrossRef]
- Stearns, R.; Matak, K.; Freshour, A.; Shen, C. Comparison of the efficacy of hydrogen peroxide-peroxyacetic acid delivered by three methods against Listeria monocytogenes and the surrogate L. innocua on apples. LWT 2023, 184, 114945. [Google Scholar] [CrossRef]
- Iorizzo, M.; Pannella, G.; Lombardi, S.J.; Ganassi, S.; Testa, B.; Succi, M.; Sorrentino, E.; Petrarca, S.; De Cristofaro, A.; Coppola, R.; et al. Inter-and intra-species diversity of lactic acid bacteria in Apis mellifera ligustica colonies. Microorganisms 2020, 8, 1578. [Google Scholar] [CrossRef] [PubMed]
- Succi, M.; Pannella, G.; Tremonte, P.; Tipaldi, L.; Coppola, R.; Iorizzo, M.; Lombardi, S.J.; Sorrentino, E. Sub-optimal pH preadaptation improves the survival of Lactobacillus plantarum strains and the malic acid consumption in wine-like medium. Front. Microbiol. 2017, 8, 470. [Google Scholar] [CrossRef] [PubMed]
- Todorić, O.; Pezo, L.; Šarić, L.; Kolarov, V.; Varga, A.; Čabarkapa, I.; Kocić-Tanackov, S. Comparison of the efficiency of selected disinfectants against planktonic and biofilm populations of Escherichia coli and Staphylococcus aureus. Microorganisms 2023, 11, 1593. [Google Scholar] [CrossRef] [PubMed]
- Moura, A.; Leclercq, A.; Vales, G.; Tessaud-Rita, N.; Bracq-Dieye, H.; Thouvenot, P.; Madec, Y.; Charlier, C.; Lecuit, M. Phenotypic and genotypic antimicrobial resistance of Listeria monocytogenes: An observational study in France. Lancet Reg. Health—Eur. 2024, 37, 100800. [Google Scholar] [CrossRef]
- Rippa, A.; Bilei, S.; Peruzy, M.F.; Marrocco, M.G.; Leggeri, P.; Bossù, T.; Murru, N. Antimicrobial Resistance of Listeria monocytogenes Strains Isolated in Food and Food-Processing Environments in Italy. Antibiotics 2024, 13, 525. [Google Scholar] [CrossRef]
- Alvarez, M.V.; Moreira, M.D.R.; Roura, S.I.; Ayala-Zavala, J.F.; González-Aguilar, G.A. Using natural antimicrobials to enhance the safety and quality of fresh and processed fruits and vegetables: Types of antimicrobials. In Handbook of Natural Antimicrobials for Food Safety and Quality; Taylor, M., Ed.; Elsevier: Amsterdam, The Netherlands, 2015; pp. 287–313. [Google Scholar]
- Sorrentino, E.; Reale, A.; Tremonte, P.; Maiuro, L.; Succi, M.; Tipaldi, L.; Di Renzo, T.; Pannella, G.; Coppola, R. Lactobacillus plantarum 29 inhibits Penicillium spp. involved in the spoilage of black truffles (Tuber aestivum). J. Food Sci. 2013, 78, M1188–M1194. [Google Scholar] [CrossRef]
- Ozdal, T.; Capanoglu, E.; Altay, F. A review on protein-phenolic interactions and associated changes. Food Res. Int. 2013, 51, 954–970. [Google Scholar] [CrossRef]
- Olszewska, M.A.; Gędas, A.; Simões, M. Antimicrobial polyphenol-rich extracts: Applications and limitations in the food industry. Food Res. Int. 2020, 134, 109214. [Google Scholar] [CrossRef]
- Azevedo, L.; Granato, D.; Maltarollo, V.G.; Gonçalves, J.E. A mosaic-structured framework applied in the healthy food design: Insights from integrated in silico and in vitro approaches. Curr. Opin. Food Sci. 2023, 52, 101047. [Google Scholar] [CrossRef]
- Yalınkılıç, B.; Kaban, G.; Kaya, M. The effects of different levels of orange fiber and fat on microbiological, physical, chemical and sensorial properties of sucuk. Food Microbiol. 2012, 29, 255–259. [Google Scholar] [CrossRef] [PubMed]
- Fayemi, P.O.; Öztürk, I.; Özcan, C.; Muguruma, M.; Yetim, H.; Sakata, R.; Ahhmed, A. Antimicrobial activity of extracts of Callistemon citrinus flowers and leaves against Listeria monocytogenes in beef burger. J. Food Meas. Charact. 2017, 11, 924–929. [Google Scholar] [CrossRef]
- Gvozdev, M.Y.; Turomsha, I.S.; Savich, V.V.; Faletrov, Y.V.; Sidarenka, A.V.; Shkumatov, V.M.; Loginova, N.V. Sterically hindered phenolic derivatives: Effect on the production of Pseudomonas aeruginosa virulence factors, high-throughput virtual screening and ADME properties prediction. Arch. Microbiol. 2024, 206, 91. [Google Scholar] [CrossRef]
- Manzoor, A.; Haque, A.; Ahmad, S.; Hopkins, D.L. Incorporation of betel leaf extract provides oxidative stability and improves phytochemical, textural, sensory and antimicrobial activities of buffalo meat sausages. Meat Sci. 2023, 200, 109157. [Google Scholar] [CrossRef]
- Zhou, T.; Wu, J.; Zhang, M.; Ke, W.; Shan, K.; Zhao, D.; Li, C. Effect of natural plant extracts on the quality of meat products: A meta-analysis. Food Mat. Res. 2023, 3, 15. [Google Scholar] [CrossRef]
- de Niederhäusern, S.; Bondi, M.; Camellini, S.; Sabia, C.; Messi, P.; Iseppi, R. Plant extracts for the control of Listeria monocytogenes in meat products. Appl. Sci. 2021, 11, 10820. [Google Scholar] [CrossRef]
- Tönz, A.; Freimüller Leischtfeld, S.; Stevens, M.J.; Glinski-Häfeli, D.; Ladner, V.; Gantenbein-Demarchi, C.; Miescher Schwenninger, S. Growth Control of Listeria monocytogenes in Raw Sausage via Bacteriocin-Producing Leuconostoc carnosum DH25. Foods 2024, 13, 298. [Google Scholar] [CrossRef]
- Austrich-Comas, A.; Serra-Castelló, C.; Jofré, A.; Gou, P.; Bover-Cid, S. Control of Listeria monocytogenes in Chicken Dry-Fermented Sausages with Bioprotective Starter Culture and High-Pressure Processing. Front. Microbiol. 2022, 13, 983265. [Google Scholar] [CrossRef]
- Martín, I.; Rodríguez, A.; Alía, A.; Martínez, R.; Córdoba, J.J. Selection and Characterization of Lactic Acid Bacteria with Activity against Listeria monocytogenes from Traditional RTE Ripened Foods. LWT 2022, 163, 113579. [Google Scholar] [CrossRef]






| Parametres | Batch C | Batch A |
|---|---|---|
| Moisture | 65.54 ± 0.32 a | 69.52 ± 0.33 b |
| Protein (d.m.) | 59.95 ± 0.79 a | 59.29 ± 0.64 a |
| Lipid (d.m.) | 36.91 ± 0.41 a | 6.91 ± 0.33 b |
| Ash (d.m.) | 3.13 ± 0.21 a | 4.00 ± 0.17 b |
| Dietary Fiber (d.m.) | n.d. | 14.25 ± 0.41 b |
| Carbohydrates (d.m.) | 2.61 ± 0.26 a | 4.00 ± 0.23 b |
| Kcal | 203.26 ± 3.41 a | 118.95 ± 2.98 b |
| Microbial Groups | Batch C | Batch A |
|---|---|---|
| TMC | 5.5 ± 0.2 | 5.4 ± 0.3 |
| Pseudomonas spp. | 4.8 ± 0.3 | 4.9 ± 0.1 |
| Enterobacteriaceae | 3.1 ± 0.2 | 3.2 ± 0.4 |
| Listeria spp. | <100 | <100 |
| Extracts | Polyphenols (mg GAE/g Dry Matter) | IC50 (mg/mL) |
|---|---|---|
| Nettle | 125.64 | 21.53 |
| Medlar | 398.12 | 2.91 |
Disclaimer/Publisher’s Note: The statements, opinions and data contained in all publications are solely those of the individual author(s) and contributor(s) and not of MDPI and/or the editor(s). MDPI and/or the editor(s) disclaim responsibility for any injury to people or property resulting from any ideas, methods, instructions or products referred to in the content. |
© 2024 by the authors. Licensee MDPI, Basel, Switzerland. This article is an open access article distributed under the terms and conditions of the Creative Commons Attribution (CC BY) license (https://creativecommons.org/licenses/by/4.0/).
Share and Cite
Lombardi, S.J.; Pannella, G.; Coppola, F.; Vergalito, F.; Maiuro, L.; Succi, M.; Sorrentino, E.; Tremonte, P.; Coppola, R. Plant-Based Ingredients Utilized as Fat Replacers and Natural Antimicrobial Agents in Beef Burgers. Foods 2024, 13, 3229. https://doi.org/10.3390/foods13203229
Lombardi SJ, Pannella G, Coppola F, Vergalito F, Maiuro L, Succi M, Sorrentino E, Tremonte P, Coppola R. Plant-Based Ingredients Utilized as Fat Replacers and Natural Antimicrobial Agents in Beef Burgers. Foods. 2024; 13(20):3229. https://doi.org/10.3390/foods13203229
Chicago/Turabian StyleLombardi, Silvia Jane, Gianfranco Pannella, Francesca Coppola, Franca Vergalito, Lucia Maiuro, Mariantonietta Succi, Elena Sorrentino, Patrizio Tremonte, and Raffaele Coppola. 2024. "Plant-Based Ingredients Utilized as Fat Replacers and Natural Antimicrobial Agents in Beef Burgers" Foods 13, no. 20: 3229. https://doi.org/10.3390/foods13203229
APA StyleLombardi, S. J., Pannella, G., Coppola, F., Vergalito, F., Maiuro, L., Succi, M., Sorrentino, E., Tremonte, P., & Coppola, R. (2024). Plant-Based Ingredients Utilized as Fat Replacers and Natural Antimicrobial Agents in Beef Burgers. Foods, 13(20), 3229. https://doi.org/10.3390/foods13203229

