Characterization of the Chemical Composition and Biological Activities of Bog Bilberry (Vaccinium uliginosum L.) Leaf Extracts Obtained via Various Extraction Techniques
Abstract
1. Introduction
2. Materials and Methods
2.1. Chemicals and Reagents
2.2. Plant Material
2.3. Extraction Procedures
2.3.1. Conventional Extraction Protocol
2.3.2. Ultrasound-Assisted Extraction Protocol
2.3.3. Microwave-Assisted Extraction Protocol
2.3.4. High-Pressure Extraction Protocol
2.4. Analysis of Phenolic Compounds
2.4.1. HPLC-DAD-ESI-MS Analysis
2.4.2. Total Phenolic Content
2.4.3. Total Flavonoid Content
2.5. DPPH Antioxidant Capacity
2.6. Antimicrobial Activity
2.6.1. Microbial Strains
2.6.2. Determination of the Minimum Inhibitory Concentration (MIC)
2.6.3. Determination of the Minimum Inhibitory Concentration (MIC) Using a Microbiology Reader LogPhase 600
2.7. Statistical Analysis
3. Results and Discussions
3.1. Phenolic Profile of Bog Bilberry Leaves under Different Extraction Methods
3.2. Total Phenolic and Total Flavonoid Content
3.3. DPPH Antioxidant Capacity
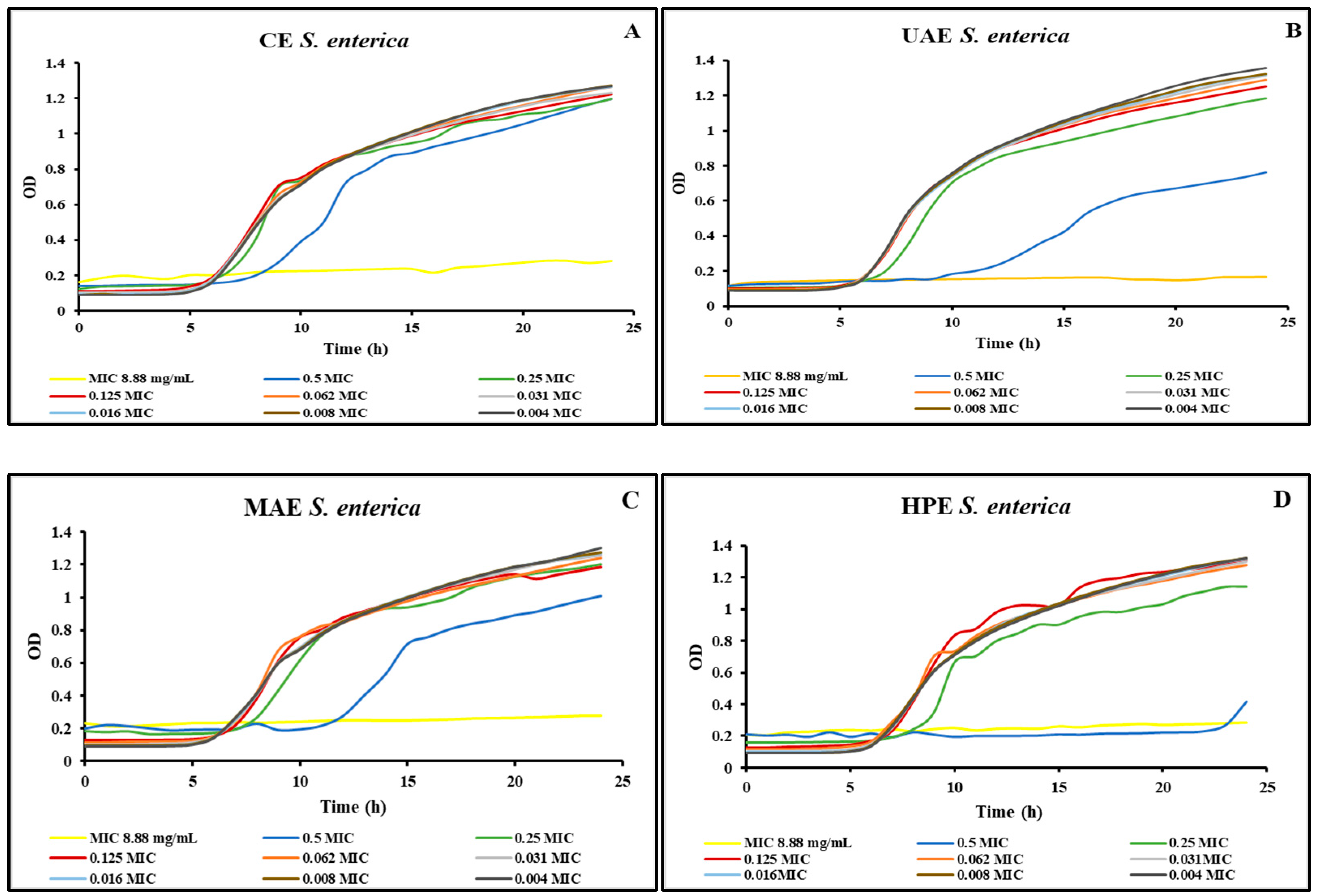
3.4. Antimicrobial Activity of Bog Bilberry Leaf Extracts
4. Conclusions
Author Contributions
Funding
Institutional Review Board Statement
Informed Consent Statement
Data Availability Statement
Conflicts of Interest
References
- Samtiya, M.; Aluko, R.E.; Dhewa, T.; Moreno-Rojas, J.M. Potential health benefits of plant food-derived bioactive components: An overview. Foods 2021, 10, 839. [Google Scholar] [CrossRef]
- Wilson, D.W.; Nash, P.; Singh, H.; Griffiths, K.; Singh, R.; De Meester, F.; Horiuchi, R.; Takahashi, T. The role of food antioxidants, benefits of functional foods, and influence of feeding habits on the health of the older person: An overview. Antioxidants 2017, 6, 81. [Google Scholar] [CrossRef] [PubMed]
- Tian, Y.; Liimatainen, J.; Alanne, A.L.; Lindstedt, A.; Liu, P.; Sinkkonen, J.; Kallio, H.; Yang, B. Phenolic compounds extracted by acidic aqueous ethanol from berries and leaves of different berry plants. Food Chem. 2017, 220, 266–281. [Google Scholar] [CrossRef] [PubMed]
- Bujor, O.C.; Ginies, C.; Popa, V.I.; Dufour, C. Phenolic compounds and antioxidant activity of lingonberry (Vaccinium vitis-idaea L.) leaf, stem and fruit at different harvest periods. Food Chem. 2018, 252, 356–365. [Google Scholar] [CrossRef]
- Ștefănescu, B.E.; Călinoiu, L.F.; Ranga, F.; Fetea, F.; Mocan, A.; Vodnar, D.C.; Crișan, G. Chemical composition and biological activities of the nord-west romanian wild bilberry (Vaccinium myrtillus L.) and lingonberry (Vaccinium vitis-idaea L.) leaves. Antioxidants 2020, 9, 495. [Google Scholar] [CrossRef] [PubMed]
- Kopystecka, A.; Kozioł, I.; Radomska, D.; Bielawski, K.; Bielawska, A.; Wujec, M. Vaccinium uliginosum and Vaccinium myrtillus—Two Species—One Used as a Functional Food. Nutrients 2023, 15, 4119. [Google Scholar] [CrossRef] [PubMed]
- Ştefanescu, B.E.; Szabo, K.; Mocan, A.; Crisan, G. Phenolic compounds from five ericaceae species leaves and their related bioavailability and health benefits. Molecules 2019, 24, 2046. [Google Scholar] [CrossRef]
- Lätti, A.K.; Jaakola, L.; Riihinen, K.R.; Kainulainen, P.S. Anthocyanin and flavonol variation in bog bilberries (Vaccinium uliginosum L.) in Finland. J. Agric. Food Chem. 2010, 58, 427–433. [Google Scholar] [CrossRef]
- Stanoeva, J.P.; Stefova, M.; Andonovska, K.B.; Vankova, A.; Stafilov, T. Phenolics and mineral content in bilberry and bog bilberry from Macedonia. Int. J. Food Prop. 2017, 20, S863–S883. [Google Scholar] [CrossRef]
- Dobroslavić, E.; Elez Garofulić, I.; Šeparović, J.; Zorić, Z.; Pedisić, S.; Dragović-Uzelac, V. Pressurized Liquid Extraction as a Novel Technique for the Isolation of Laurus nobilis L. Leaf Polyphenols. Molecules 2022, 27, 5099. [Google Scholar] [CrossRef]
- Lončarić, A.; Celeiro, M.; Jozinović, A.; Jelinić, J.; Kovač, T.; Jokić, S.; Babić, J.; Moslavac, T.; Zavadlav, S.; Lores, M. Green extraction methods for extraction of polyphenolic compounds from blueberry pomace. Foods 2020, 9, 1521. [Google Scholar] [CrossRef] [PubMed]
- Solaberrieta, I.; Mellinas, C.; Jiménez, A.; Garrigós, M.C. Recovery of Antioxidants from Tomato Seed Industrial Wastes by Microwave-Assisted and Ultrasound-Assisted Extraction. Foods 2022, 11, 3068. [Google Scholar] [CrossRef] [PubMed]
- Vieira, E.F.; Souza, S.; Moreira, M.M.; Cruz, R.; da Silva, A.B.; Casal, S.; Delerue-Matos, C. Valorization of Phenolic and Carotenoid Compounds of Sechium edule (Jacq. Swartz) Leaves: Comparison between Conventional, Ultrasound- and Microwave-Assisted Extraction Approaches. Molecules 2022, 27, 7193. [Google Scholar] [CrossRef] [PubMed]
- Quitério, E.; Grosso, C.; Ferraz, R.; Delerue-Matos, C.; Soares, C. A Critical Comparison of the Advanced Extraction Techniques Applied to Obtain Health-Promoting Compounds from Seaweeds. Mar. Drugs 2022, 20, 677. [Google Scholar] [CrossRef]
- Watrelot, A.A.; Bouska, L. Optimization of the ultrasound-assisted extraction of polyphenols from Aronia and grapes. Food Chem. 2022, 386, 132703. [Google Scholar] [CrossRef] [PubMed]
- Abi-Khattar, A.M.; Boussetta, N.; Rajha, H.N.; Abdel-Massih, R.M.; Louka, N.; Maroun, R.G.; Vorobiev, E.; Debs, E. Mechanical damage and thermal effect induced by ultrasonic treatment in olive leaf tissue. Impact on polyphenols recovery. Ultrason. Sonochem. 2022, 82, 105895. [Google Scholar] [CrossRef]
- Solaberrieta, I.; Jiménez, A.; Garrigós, M.C. Valorisation of Aloe Vera Skin By-Products to Obtain Bioactive Compounds by Microwave-Assisted Extraction: Antioxidant Activity and Chemical Composition. SSRN Electron. J. 2022, 11, 1058. [Google Scholar] [CrossRef]
- Alexandre, E.M.C.; Castro, L.M.G.; Moreira, S.A.; Pintado, M.; Saraiva, J.A. Comparison of Emerging Technologies to Extract High-Added Value Compounds from Fruit Residues: Pressure- and Electro-Based Technologies. Food Eng. Rev. 2017, 9, 190–212. [Google Scholar] [CrossRef]
- Pais, A.C.S.; Pinto, C.A.; Ramos, P.A.B.; Pinto, R.J.B.; Rosa, D.; Duarte, M.F.; Abreu, M.H.; Rocha, S.M.; Saraiva, J.A.; Silvestre, A.J.D.; et al. High pressure extraction of bioactive diterpenes from the macroalgae: Bifurcaria bifurcata: An efficient and environmentally friendly approach. RSC Adv. 2019, 9, 39893–39903. [Google Scholar] [CrossRef]
- Ștefănescu, B.E.; Călinoiu, L.F.; Ranga, F.; Fetea, F.; Mocan, A.; Vodnar, D.C.; Crișan, G. The chemical and biological profiles of leaves from commercial blueberry varieties. Plants 2020, 9, 1193. [Google Scholar] [CrossRef]
- Ștefănescu, B.E.; Nemes, S.A.; Teleky, B.E.; Călinoiu, L.F.; Mitrea, L.; Martău, G.A.; Szabo, K.; Mihai, M.; Vodnar, D.C.; Crișan, G. Microencapsulation and Bioaccessibility of Phenolic Compounds of Vaccinium Leaf Extracts. Antioxidants 2022, 11, 674. [Google Scholar] [CrossRef] [PubMed]
- Dahmoune, F.; Boulekbache, L.; Moussi, K.; Aoun, O.; Spigno, G.; Madani, K. Valorization of Citrus limon residues for the recovery of antioxidants: Evaluation and optimization of microwave and ultrasound application to solvent extraction. Ind. Crops Prod. 2013, 50, 77–87. [Google Scholar] [CrossRef]
- Nisca, A.; Ștefănescu, R.; Stegăruș, D.I.; Mare, A.D.; Farczadi, L.; Tanase, C. Phytochemical profile and biological effects of spruce (Picea abies) bark subjected to ultrasound assisted and microwave-assisted extractions. Plants 2021, 10, 870. [Google Scholar] [CrossRef] [PubMed]
- Ben Hamissa, A.M.; Seffen, M.; Aliakbarian, B.; Casazza, A.A.; Perego, P.; Converti, A. Phenolics extraction from Agave americana (L.) leaves using high-temperature, high-pressure reactor. Food Bioprod. Process. 2012, 90, 17–21. [Google Scholar] [CrossRef]
- Dulf, F.V.; Vodnar, D.C.; Dulf, E.H.; Toşa, M.I. Total Phenolic Contents, Antioxidant Activities, and Lipid Fractions from Berry Pomaces Obtained by Solid-State Fermentation of Two Sambucus Species with Aspergillus niger. J. Agric. Food Chem. 2015, 63, 3489–3500. [Google Scholar] [CrossRef]
- Aryal, S.; Baniya, M.K.; Danekhu, K.; Kunwar, P.; Gurung, R.; Koirala, N. Total Phenolic content, Flavonoid content and antioxidant potential of wild vegetables from western Nepal. Plants 2019, 8, 96. [Google Scholar] [CrossRef]
- Zhishen, J.; Mengcheng, T.; Jianming, W. The determination of flavonoid contents in mulberry and their scavenging effects on superoxide radicals. Food Chem. 1999, 64, 555–559. [Google Scholar] [CrossRef]
- Diaconeasa, Z.; Leopold, L.; Rugină, D.; Ayvaz, H.; Socaciu, C. Antiproliferative and antioxidant properties of anthocyanin rich extracts from blueberry and blackcurrant juice. Int. J. Mol. Sci. 2015, 16, 2352–2365. [Google Scholar] [CrossRef]
- Semeniuc, C.A.; Pop, C.R.; Rotar, A.M. Antibacterial activity and interactions of plant essential oil combinations against Gram-positive and Gram-negative bacteria. J. Food Drug Anal. 2017, 25, 403–408. [Google Scholar] [CrossRef]
- Alexandre, E.M.C.; Silva, S.; Santos, S.A.O.; Silvestre, A.J.D.; Duarte, M.F.; Saraiva, J.A.; Pintado, M. Antimicrobial activity of pomegranate peel extracts performed by high pressure and enzymatic assisted extraction. Food Res. Int. 2019, 115, 167–176. [Google Scholar] [CrossRef]
- Dobroslavić, E.; Garofulić, I.E.; Zorić, Z.; Pedisić, S.; Dragović-Uzelac, V. Polyphenolic characterization and antioxidant capacity of Laurus nobilis L. Leaf extracts obtained by green and conventional extraction techniques. Processes 2021, 9, 1840. [Google Scholar] [CrossRef]
- Setyaningsih, W.; Saputro, I.E.; Palma, M.; Barroso, C.G. Stability of 40 phenolic compounds during ultrasound-assisted extractions (UAE). AIP Conf. Proc. 2016, 1755, 080009. [Google Scholar] [CrossRef]
- Bidel, L.P.R.; Meyer, S.; Goulas, Y.; Cadot, Y.; Cerovic, Z.G. Responses of epidermal phenolic compounds to light acclimation: In vivo qualitative and quantitative assessment using chlorophyll fluorescence excitation spectra in leaves of three woody species. J. Photochem. Photobiol. B Biol. 2007, 88, 163–179. [Google Scholar] [CrossRef]
- Jaakola, L.; Määttä-Riihinen, K.; Kärenlampi, S.; Hohtola, A. Activation of flavonoid biosynthesis by solar radiation in bilberry (Vaccinium myrtillus L.) leaves. Planta 2004, 218, 721–728. [Google Scholar] [CrossRef] [PubMed]
- Uleberg, E.; Rohloff, J.; Jaakola, L.; Trôst, K.; Junttila, O.; Häggman, H.; Martinussen, I. Effects of temperature and photoperiod on yield and chemical composition of northern and southern clones of bilberry (Vaccinium myrtillus L.). J. Agric. Food Chem. 2012, 60, 10406–10414. [Google Scholar] [CrossRef]
- Bujor, O.C.; Le Bourvellec, C.; Volf, I.; Popa, V.I.; Dufour, C. Seasonal variations of the phenolic constituents in bilberry (Vaccinium myrtillus L.) leaves, stems and fruits, and their antioxidant activity. Food Chem. 2016, 213, 58–68. [Google Scholar] [CrossRef]
- Caldas, T.W.; Mazza, K.E.L.; Teles, A.S.C.; Mattos, G.N.; Brígida, A.I.S.; Conte-Junior, C.A.; Borguini, R.G.; Godoy, R.L.O.; Cabral, L.M.C.; Tonon, R.V. Phenolic compounds recovery from grape skin using conventional and non-conventional extraction methods. Ind. Crops Prod. 2018, 111, 86–91. [Google Scholar] [CrossRef]
- Mróz, M.; Malinowska-Pańczyk, E.; Bartoszek, A.; Kusznierewicz, B. Comparative Study on Assisted Solvent Extraction Techniques for the Extraction of Biologically Active Compounds from Sideritis raeseri and Sideritis scardica. Molecules 2023, 28, 4207. [Google Scholar] [CrossRef]
- Brezoiu, A.M.; Deaconu, M.; Mitran, R.A.; Prelipcean, A.M.; Matei, C.; Berger, D. Optimisation of Polyphenols Extraction from Wild Bilberry Leaves—Antimicrobial Properties and Stability Studies. Molecules 2023, 28, 5795. [Google Scholar] [CrossRef]
- Páscoa, R.N.M.J.; Gomes, M.J.; Sousa, C. Antioxidant activity of blueberry (Vaccinium spp.) cultivar leaves: Differences across the vegetative stage and the application of near infrared spectroscopy. Molecules 2019, 24, 3900. [Google Scholar] [CrossRef]
- Gao, S.H.; Zhao, T.R.; Liu, Y.P.; Wang, Y.F.; Cheng, G.G.; Cao, J.X. Phenolic constituents, antioxidant activity and neuroprotective effects of ethanol extracts of fruits, leaves and flower buds from Vaccinium dunalianum Wight. Food Chem. 2022, 374, 131752. [Google Scholar] [CrossRef] [PubMed]
- Cheng, M.; He, J.; Wang, H.; Li, C.; Wu, G.; Zhu, K.; Chen, X.; Zhang, Y.; Tan, L. Comparison of microwave, ultrasound and ultrasound-microwave assisted solvent extraction methods on phenolic profile and antioxidant activity of extracts from jackfruit (Artocarpus heterophyllus Lam.) pulp. Lwt 2023, 173, 114395. [Google Scholar] [CrossRef]
- Routray, W.; Orsat, V. MAE of phenolic compounds from blueberry leaves and comparison with other extraction methods. Ind. Crops Prod. 2014, 58, 36–45. [Google Scholar] [CrossRef]
- Alexandre, E.M.C.; Coelho, M.C.; Ozcan, K.; Pinto, C.A.; Teixeira, J.A.; Saraiva, J.A.; Pintado, M. Emergent technologies for the extraction of antioxidants from prickly pear peel and their antimicrobial activity. Foods 2021, 10, 570. [Google Scholar] [CrossRef] [PubMed]
- Martz, F.; Jaakola, L.; Julkunen-Tiitto, R.; Stark, S. Phenolic Composition and Antioxidant Capacity of Bilberry (Vaccinium myrtillus) Leaves in Northern Europe Following Foliar Development and Along Environmental Gradients. J. Chem. Ecol. 2010, 36, 1017–1028. [Google Scholar] [CrossRef] [PubMed]
- Gil-Martínez, L.; Aznar-Ramos, M.J.; del Carmen Razola-Diaz, M.; Mut-Salud, N.; Falcón-Piñeiro, A.; Baños, A.; Guillamón, E.; Gómez-Caravaca, A.M.; Verardo, V. Establishment of a Sonotrode Extraction Method and Evaluation of the Antioxidant, Antimicrobial and Anticancer Potential of an Optimized Vaccinium myrtillus L. Leaves Extract as Functional Ingredient. Foods 2023, 12, 1688. [Google Scholar] [CrossRef]
- Wang, Y.; Zhu, J.; Meng, X.; Liu, S.; Mu, J.; Ning, C. Comparison of polyphenol, anthocyanin and antioxidant capacity in four varieties of Lonicera caerulea berry extracts. Food Chem. 2016, 197, 522–529. [Google Scholar] [CrossRef]
- Bunea, A.; Ruginǎ, D.; Sconţa, Z.; Pop, R.M.; Pintea, A.; Socaciu, C.; Tǎbǎran, F.; Grootaert, C.; Struijs, K.; VanCamp, J. Anthocyanin determination in blueberry extracts from various cultivars and their antiproliferative and apoptotic properties in B16-F10 metastatic murine melanoma cells. Phytochemistry 2013, 95, 436–444. [Google Scholar] [CrossRef]
- Xu, J.G.; Hu, Q.P.; Liu, Y. Antioxidant and DNA-protective activities of chlorogenic acid isomers. J. Agric. Food Chem. 2012, 60, 11625–11630. [Google Scholar] [CrossRef]
- Lesjak, M.; Beara, I.; Simin, N.; Pintać, D.; Majkić, T.; Bekvalac, K.; Orčić, D.; Mimica-Dukić, N. Antioxidant and anti-inflammatory activities of quercetin and its derivatives. J. Funct. Foods 2018, 40, 68–75. [Google Scholar] [CrossRef]
- Soobrattee, M.A.; Neergheen, V.S.; Luximon-Ramma, A.; Aruoma, O.I.; Bahorun, T. Phenolics as potential antioxidant therapeutic agents: Mechanism and actions. Mutat. Res.—Fundam. Mol. Mech. Mutagen. 2005, 579, 200–213. [Google Scholar] [CrossRef] [PubMed]
- Heim, K.E.; Tagliaferro, A.R.; Bobilya, D.J. Flavonoid antioxidants: Chemistry, metabolism and structure-activity relationships. J. Nutr. Biochem. 2002, 13, 572–584. [Google Scholar] [CrossRef] [PubMed]
- Aguilar-Villalva, R.; Molina, G.A.; España-Sánchez, B.L.; Díaz-Peña, L.F.; Elizalde-Mata, A.; Valerio, E.; Azanza-Ricardo, C.; Estevez, M. Antioxidant capacity and antibacterial activity from Annona cherimola phytochemicals by ultrasound-assisted extraction and its comparison to conventional methods. Arab. J. Chem. 2021, 14, 103239. [Google Scholar] [CrossRef]
- Saifullah, M.; McCullum, R.; Van Vuong, Q. Optimization of microwave-assisted extraction of polyphenols from lemon myrtle: Comparison of modern and conventional extraction techniques based on bioactivity and total polyphenols in dry extracts. Processes 2021, 9, 2212. [Google Scholar] [CrossRef]
- Boy, F.R.; Casquete, R.; Martínez, A.; Córdoba, M.d.G.; Ruíz-Moyano, S.; Benito, M.J. Antioxidant, antihypertensive and antimicrobial properties of phenolic compounds obtained from native plants by different extraction methods. Int. J. Environ. Res. Public Health 2021, 18, 2475. [Google Scholar] [CrossRef] [PubMed]
- Mašković, P.; Veličković, V.; Mitić, M.; Đurović, S.; Zeković, Z.; Radojković, M.; Cvetanović, A.; Švarc-Gajić, J.; Vujić, J. Summer savory extracts prepared by novel extraction methods resulted in enhanced biological activity. Ind. Crops Prod. 2017, 109, 875–881. [Google Scholar] [CrossRef]
- Veličković, V.; Đurović, S.; Radojković, M.; Cvetanović, A.; Švarc-Gajić, J.; Vujić, J.; Trifunović, S.; Mašković, P.Z. Application of conventional and non-conventional extraction approaches for extraction of Erica carnea L.: Chemical profile and biological activity of obtained extracts. J. Supercrit. Fluids 2017, 128, 331–337. [Google Scholar] [CrossRef]
- Gutiérrez-Sánchez, M.D.C.; Aguilar-Zárate, P.; Michel-Michel, M.R.; Ascacio-Valdés, J.A.; Reyes-Munguía, A. The Ultrasound-Assisted Extraction of Polyphenols from Mexican Firecracker (Hamelia patens Jacq.): Evaluation of Bioactivities and Identification of Phytochemicals by HPLC-ESI-MS. Molecules 2022, 27, 8845. [Google Scholar] [CrossRef]
- Tanase, C.; Cosarca, S.; Toma, F.; Mare, A.; Cosarca, A.; Man, A.; Miklos, A.; Imre, S. Antibacterial activities of spruce bark (Picea abies L.) extract and its components against human pathogens. Rev. Chim. 2018, 69, 1462–1467. [Google Scholar] [CrossRef]
- Vilkickyte, G.; Petrikaite, V.; Pukalskas, A.; Sipailiene, A.; Raudone, L. Exploring Vaccinium vitis-idaea L. as a potential source of therapeutic agents: Antimicrobial, antioxidant, and anti-inflammatory activities of extracts and fractions. J. Ethnopharmacol. 2022, 292, 115207. [Google Scholar] [CrossRef]
- Tian, Y.; Puganen, A.; Alakomi, H.L.; Uusitupa, A.; Saarela, M.; Yang, B. Antioxidative and antibacterial activities of aqueous ethanol extracts of berries, leaves, and branches of berry plants. Food Res. Int. 2018, 106, 291–303. [Google Scholar] [CrossRef] [PubMed]
- Silva, S.; Costa, E.M.; Pereira, M.F.; Costa, M.R.; Pintado, M.E. Evaluation of the antimicrobial activity of aqueous extracts from dry Vaccinium corymbosum extracts upon food microorganism. Food Control 2013, 34, 645–650. [Google Scholar] [CrossRef]
- Cowan, M.M. Plant products as antimicrobial agents. Clin. Microbiol. Rev. 1999, 12, 564–582. [Google Scholar] [CrossRef] [PubMed]
- Gurjar, M.S.; Ali, S.; Akhtar, M.; Singh, K.S. Efficacy of plant extracts in plant disease management. Agric. Sci. 2012, 03, 425–433. [Google Scholar] [CrossRef]
- Deng, Y.; Yang, G.; Yue, J.; Qian, B.; Liu, Z.; Wang, D.; Zhong, Y.; Zhao, Y. Influences of ripening stages and extracting solvents on the polyphenolic compounds, antimicrobial and antioxidant activities of blueberry leaf extracts. Food Control 2014, 38, 184–191. [Google Scholar] [CrossRef]
- Puupponen-Pimiä, R.; Nohynek, L.; Alakomi, H.L.; Oksman-Caldentey, K.M. Bioactive berry compounds—Novel tools against human pathogens. Appl. Microbiol. Biotechnol. 2005, 67, 8–18. [Google Scholar] [CrossRef]


| Peak No. | Retention Time Rt(min) | UV λmax(nm) | [M + H]+ (m/z) | Compound | Subclass |
|---|---|---|---|---|---|
| 1 | 3.16 | 279 | 307, 290 | Gallocatechin | Flavanol |
| 2 | 11.52 | 330 | 355, 163 | 3-Caffeoylquinic acid (Neochlorogenic acid) | Hydroxycinnamic acid |
| 3 | 12.27 | 330 | 355, 163 | 5-Caffeoylquinic acid (Chlorogenic acid) | Hydroxycinnamic acid |
| 4 | 13.56 | 280 | 579, 291 | Procyanidin dimer | Flavanol |
| 5 | 13.80 | 282, 329 | 181, 163 | Caffeic acid | Hydroxycinnamic acid |
| 6 | 14.01 | 280 | 291 | Epicatechin | Flavanol |
| 7 | 14.43 | 280 | 867, 291 | Procyanidin trimer | Flavanol |
| 8 | 15.78 | 263, 355 | 611, 303 | Quercetin-rutinoside (Rutin) | Flavonol |
| 9 | 16.20 | 263, 355 | 465, 303 | Quercetin-glucoside | Flavonol |
| 10 | 16.44 | 263, 355 | 479, 303 | Quercetin-glucuronide | Flavonol |
| 11 | 17.24 | 263, 355 | 435, 303 | Quercetin-arabinoside | Flavonol |
| 12 | 17.43 | 260, 340 | 463, 287 | Kaempferol-glucuronide | Flavonol |
| 13 | 17.77 | 260, 360 | 493, 317 | Isorhamnetin-glucuronide | Flavonol |
| 14 | 18.44 | 260, 360 | 463, 317 | Isorhamnetin-rhamnoside | Flavonol |
| 15 | 18.79 | 260, 340 | 419, 287 | Kaempferol-arabinoside | Flavonol |
| 16 | 21.79 | 261, 355 | 303 | Quercetin | Flavonol |
| 17 | 23.39 | 260, 340 | 287 | Kaempferol | Flavonol |
| Phenolic Compounds | Extraction Methods | ||||
|---|---|---|---|---|---|
| CE | UAE | MAE | HPE | ||
| Hydroxycinnamic acids | Neochlorogenic acid | 24.16 ± 0.06 | 32.50 ± 0.04 *** | 27.12 ± 0.08 *** | 31.07 ± 0.07 *** |
| Chlorogenic acid | 37.36 ± 0.06 | 43.22 ± 0.08 *** | 39.65 ± 0.01 *** | 44.47 ± 0.08 *** | |
| Caffeic acid | 7.47 ± 0.13 | 8.36 ± 0.08 *** | 7.32 ± 0.08 * | 9.87 ± 0.07 *** | |
| Flavanols | Gallocatechin | 9.92 ± 0.03 | 7.67 ± 0.02 *** | 9.75 ± 0.07 *** | 11.23 ± 0.09 *** |
| Epicatechin | 5.80 ± 0.05 | 5.93 ± 0.04 N.S. | 7.69 ± 0.05 *** | 5.15 ± 0.05 *** | |
| Procyanidin dimer | 4.59 ± 0.03 | 4.58 ± 0.02 N.S. | 4.86 ± 0.03 *** | 3.22 ± 0.09 *** | |
| Procyanidin trimer | 5.54 ± 0.03 | 4.73 ± 0.03 *** | 6.16 ± 0.04 *** | 4.44 ± 0.04 *** | |
| Flavonols | Quercetin-rutinoside (Rutin) | 0.37 ± 0.02 | 0.26 ± 0.02 *** | 0.45 ± 0.02 *** | 0.69 ± 0.03 *** |
| Quercetin-glucoside | 9.37 ± 0.03 | 9.07 ± 0.05 *** | 9.36 ± 0.07 N.S. | 9.78 ± 0.04 *** | |
| Quercetin-glucuronide | 13.54 ± 0.04 | 13.49 ± 0.05 N.S. | 13.65 ± 0.04 ** | 16.09 ± 0.04 *** | |
| Quercetin-arabinoside | 1.84 ± 0.05 | 1.92 ± 0.02 *** | 1.75 ± 0.01 *** | 2.38 ± 0.02 *** | |
| Kaempferol-glucuronide | 8.71 ± 0.07 | 9.22 ± 0.11 *** | 8.70 ± 0.11 N.S. | 10.35 ± 0.15 *** | |
| Isorhamnetin-glucuronide | 3.27 ± 0.14 | 3.81 ± 0.11 *** | 3.25 ± 0.08 N.S. | 4.533 ± 0.076 *** | |
| Isorhamnetin-rhamnoside | 0.27 ± 0.01 | 0.28 ± 0.0.1 ** | 0.34 ± 0.02 *** | 0.93 ± 0.02 *** | |
| Kaempferol-arabinoside | 0.24 ± 0.01 | 0.25 ± 0.02 N.S. | 0.29 ± 0.02 *** | 0.58 ± 0.02 *** | |
| Quercetin | 0.62 ± 0.02 | 0.51 ± 0.02 *** | 0.39 ± 0.01 *** | 0.70 ± 0.02 *** | |
| Kaempferol | 0.41 ± 0.02 | 0.47 ± 0.03 *** | 0.14 ± 0.01 *** | 0.49 ± 0.01 *** | |
| Extraction Methods | TPC (mg GAE/g Plant Material) | TFC (mg QE/g Plant Material) | DPPH (I%) |
|---|---|---|---|
| CE | 113.07 ± 0.98 | 31.47 ± 0.28 | 55.37% |
| UAE | 130.52 ± 1.99 *** | 33.89 ± 0.35 * | 63.13% |
| MAE | 119.23 ± 1.79 *** | 39.79 ± 0.41 *** | 60.84% |
| HPE | 135.75 ± 2.86 ** | 43.16 ± 0.12 *** | 71.14% |
| Extraction Methods | Gram (+) Bacteria | Fungi | Gram (−) Bacteria | |||||
|---|---|---|---|---|---|---|---|---|
| S. aureus | E. faecalis | S. epidermidis | C. parapsilosis | C. zeylanoides | E. coli | P. aeruginosa | S. enterica | |
| CE | 17.75 | h.c | 17.75 | h.c | h.c | h.c | h.c | 17.75 |
| UAE | 17.75 | h.c | 17.75 | 8.88 | h.c | h.c | h.c | 8.88 |
| MAE | 17.75 | h.c | h.c | h.c | h.c | h.c | h.c | 17.75 |
| HPE | 17.75 | h.c | h.c | 8.88 | h.c | h.c | h.c | 17.75 |
| Gentamicin | 0.0001 | 0.013 | 0.002 | - | - | 0.003 | 0.0001 | 0.002 |
| Ketoconazole | - | - | - | 0.016 | 0.063 | - | - | - |
Disclaimer/Publisher’s Note: The statements, opinions and data contained in all publications are solely those of the individual author(s) and contributor(s) and not of MDPI and/or the editor(s). MDPI and/or the editor(s) disclaim responsibility for any injury to people or property resulting from any ideas, methods, instructions or products referred to in the content. |
© 2024 by the authors. Licensee MDPI, Basel, Switzerland. This article is an open access article distributed under the terms and conditions of the Creative Commons Attribution (CC BY) license (https://creativecommons.org/licenses/by/4.0/).
Share and Cite
Ștefănescu, B.E.; Socaci, S.A.; Fărcaș, A.C.; Nemeș, S.A.; Teleky, B.E.; Martău, G.A.; Călinoiu, L.F.; Mitrea, L.; Ranga, F.; Grigoroaea, D.; et al. Characterization of the Chemical Composition and Biological Activities of Bog Bilberry (Vaccinium uliginosum L.) Leaf Extracts Obtained via Various Extraction Techniques. Foods 2024, 13, 258. https://doi.org/10.3390/foods13020258
Ștefănescu BE, Socaci SA, Fărcaș AC, Nemeș SA, Teleky BE, Martău GA, Călinoiu LF, Mitrea L, Ranga F, Grigoroaea D, et al. Characterization of the Chemical Composition and Biological Activities of Bog Bilberry (Vaccinium uliginosum L.) Leaf Extracts Obtained via Various Extraction Techniques. Foods. 2024; 13(2):258. https://doi.org/10.3390/foods13020258
Chicago/Turabian StyleȘtefănescu, Bianca Eugenia, Sonia Ancuța Socaci, Anca Corina Fărcaș, Silvia Amalia Nemeș, Bernadette Emőke Teleky, Gheorghe Adrian Martău, Lavinia Florina Călinoiu, Laura Mitrea, Floricuța Ranga, Dan Grigoroaea, and et al. 2024. "Characterization of the Chemical Composition and Biological Activities of Bog Bilberry (Vaccinium uliginosum L.) Leaf Extracts Obtained via Various Extraction Techniques" Foods 13, no. 2: 258. https://doi.org/10.3390/foods13020258
APA StyleȘtefănescu, B. E., Socaci, S. A., Fărcaș, A. C., Nemeș, S. A., Teleky, B. E., Martău, G. A., Călinoiu, L. F., Mitrea, L., Ranga, F., Grigoroaea, D., Vodnar, D. C., & Socaciu, C. (2024). Characterization of the Chemical Composition and Biological Activities of Bog Bilberry (Vaccinium uliginosum L.) Leaf Extracts Obtained via Various Extraction Techniques. Foods, 13(2), 258. https://doi.org/10.3390/foods13020258

