Development of Oleogel-in-Water High Internal Phase Emulsions with Improved Physicochemical Stability and Their Application in Mayonnaise
Abstract
1. Introduction
2. Materials and Methods
2.1. Materials
2.2. Preparation of Samples
2.2.1. Preparation of Oleogels
2.2.2. Preparation of HIPEs with Different WPI Contents
2.2.3. Preparation of HIPEs with Different NaCl Contents
2.2.4. Preparation of HIPEs with Different Sucrose Contents
2.2.5. Preparation of Mayonnaise-Like HIPEs
2.3. Characterization of the Samples
2.3.1. Particle Size
2.3.2. ζ-Potential
2.3.3. Microstructural Observation
2.3.4. Physical Stability
2.3.5. Oil Holding Capacity (OHC) and Water Holding Capacity (WHC)
2.3.6. Rheological Characterization
2.3.7. Tribological Characterization
2.4. Statistical Analysis
3. Results and Discussion
3.1. Characterization of Oleogel-in-Water HIPEs
3.1.1. Appearance and Microstructural Observation
3.1.2. Droplet Characteristics
3.1.3. Physical Stability
3.1.4. Oil Holding Capacity (OHC) and Water Holding Capacity (WHC)
3.1.5. Rheological Properties
3.2. Characterization of Mayonnaise Samples
3.2.1. Morphology
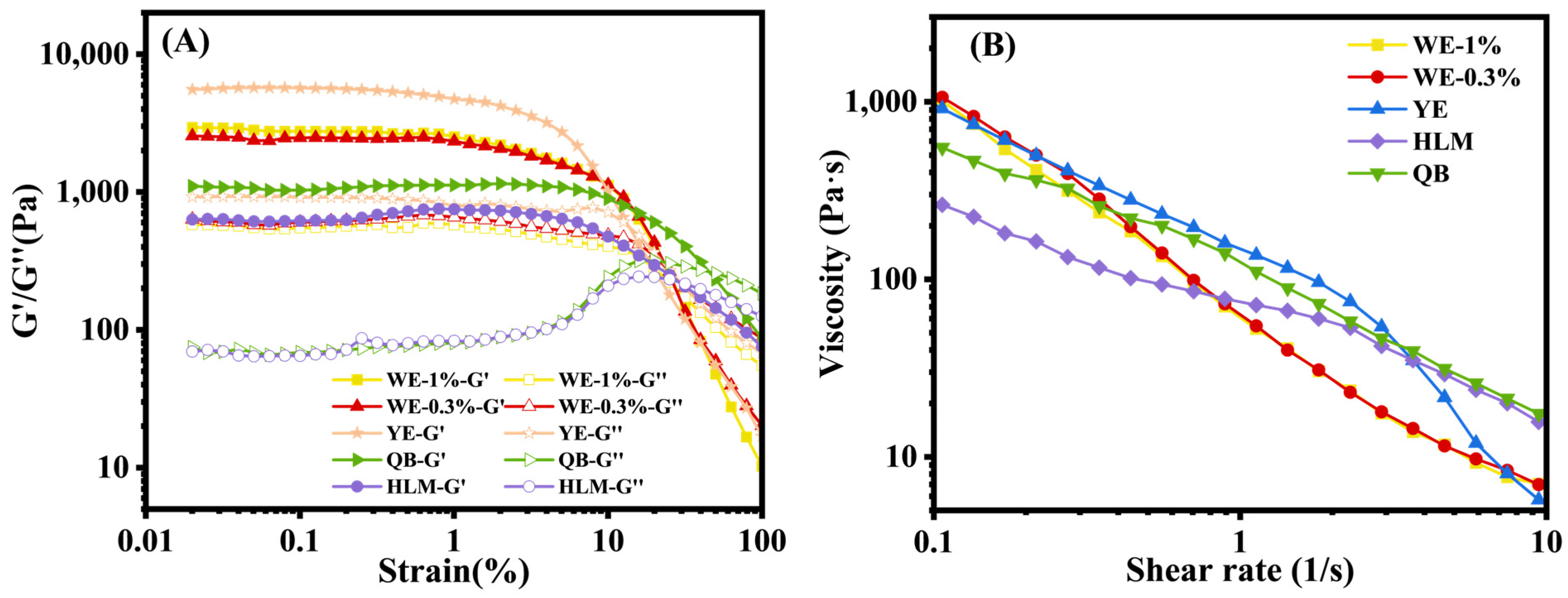
3.2.2. Rheological Properties
3.2.3. Tribological Properties
4. Conclusions
Author Contributions
Funding
Institutional Review Board Statement
Informed Consent Statement
Data Availability Statement
Conflicts of Interest
References
- Yang, X.; Li, A.; Yu, W.; Li, X.; Sun, L.; Xue, J.; Guo, Y. Structuring oil-in-water emulsion by forming egg yolk/alginate complexes: Their potential application in fabricating low-fat mayonnaise-like emulsion gels and redispersible solid emulsions. Int. J. Biol. Macromol. 2020, 147, 595–606. [Google Scholar] [CrossRef]
- Ouraji, M.; Alimi, M.; Motamedzadegan, A.; Shokoohi, S. Faba bean protein in reduced fat/cholesterol mayonnaise: Extraction and physico-chemical modification process. J. Food Sci. Technol. 2020, 57, 1774–1785. [Google Scholar] [CrossRef]
- Schdle, C.N.; Bader-Mittermaier, S.; Sanahuja, S. Characterization of reduced-fat mayonnaise and comparison of sensory perception, rheological, tribological, and textural analyses. Foods 2022, 11, 806. [Google Scholar] [CrossRef] [PubMed]
- Sun, C.; Liu, R.; Liang, B.; Wu, T.; Sui, W.; Min, Z. Microparticulated whey protein-pectin complex: A texture-controllable gel for low-fat mayonnaise. Food Res. Int. 2018, 108, 151. [Google Scholar] [CrossRef]
- Prakash, S.; Tan, D.D.Y.; Chen, J. Applications of tribology in studying food oral processing and texture perception. Food Res. Int. 2013, 54, 1627–1635. [Google Scholar] [CrossRef]
- Kim, H.; Hwang, H.; Song, K.; Lee, J. Sensory and rheological characteristics of thickened liquids differing concentrations of a xanthan gum-based thickener. J. Texture Stud. 2017, 48, 571–585. [Google Scholar] [CrossRef] [PubMed]
- Li, A.; Gong, T.; Hou, Y.; Yang, X.; Guo, Y. Alginate-stabilized thixotropic emulsion gels and their applications in fabrication of low-fat mayonnaise alternatives. Int. J. Biol. Macromol. 2020, 146, 821–831. [Google Scholar] [CrossRef] [PubMed]
- Hsu, H.I.; Lee, T.A.; Wang, M.F.; Li, P.H.; Ho, J.H. Influence of an edible oil-medium-chain triglyceride blend on the physicochemical properties of low-fat mayonnaise. Molecules 2022, 27, 4983. [Google Scholar] [CrossRef]
- Andrêssa, M.M.T.G.; Eliana, M.V.; Graziele, G.B.K.; Guilherme, D.F.F.; Danilo, C.V.; Guilherme, M.T.; Míriam, D.H. High internal phase emulsions stabilized by the lentil protein isolate (Lens culinaris). Colloids Surf. A 2022, 653, 129993. [Google Scholar] [CrossRef]
- Li, X.; Liu, W.; Xu, B.; Zhang, B. Simple method for fabrication of high internal phase emulsions solely using novel pea protein isolate nanoparticles: Stability of ionic strength and temperature. Food Chem. 2022, 370, 130899. [Google Scholar] [CrossRef]
- Pan, J.; Tang, L.; Dong, Q.; Li, Y.; Zhang, H. Effect of oleogelation on physical properties and oxidative stability of camellia oil-based oleogels and oleogel emulsions. Food Res. Int. 2021, 140, 110057. [Google Scholar] [CrossRef] [PubMed]
- Li, L.; Liu, G.; Bogojevic, O.; Pedersen, J.N.; Guo, Z. Edible oleogels as solid fat alternatives: Composition and oleogelation mechanism implications. Compr. Rev. Food Sci. F 2022, 21, 2077–2104. [Google Scholar] [CrossRef]
- Zhang, R.; Li, B.; Song, Y.; Li, L.; Zhang, X. Tailoring stability in oil-in-water high internal phase Pickering emulsions (HIPPEs) through surface modification of beeswax-based solid lipid particles (SLPs) with various surfactants. Food Hydrocoll. 2024, 156, 110264. [Google Scholar] [CrossRef]
- Yang, S.; Saleh, A.S.M.; Yang, Q.; Cui, X.; Duan, Y.; Xiao, Z. Effect of the water and oleogelator content on characteristics and stability of bc-loaded oleogel-based emulsion. LWT 2022, 167, 113824. [Google Scholar] [CrossRef]
- Zhang, Y.; Wang, Y.; Zhang, R.; Yu, J.; Gao, Y.; Mao, L. Tuning the rheological and tribological properties to simulate oral processing of novel high internal phase oleogel-in-water emulsions. Food Hydrocoll. 2022, 131, 107757. [Google Scholar] [CrossRef]
- Sun, H.; Ma, Y.; Hung, X.; Song, L.; Guo, H.; Sun, X.; Li, N.; Qiao, M. Stabilization of flaxseed oil nanoemulsions based on flaxseed gum: Effects of temperature, pH and NaCl on stability. LWT 2023, 176, 114512. [Google Scholar] [CrossRef]
- Li, H.; Liu, T.; Zou, X.; Yang, C.; Li, H.; Cui, W.; Yu, J. Utilization of thermal-denatured whey protein isolate-milk fat emulsion gel microparticles as stabilizers and fat replacers in low-fat yogurt. LWT 2021, 150, 112045. [Google Scholar] [CrossRef]
- Yalmanci, D.; Dertli, E.; Tekin-Cakmak, Z.H.; Karasu, S. The stabilisation of low-fat mayonnaise by whey protein isolate-microbial exopolysaccharides (Weissella confusa w-16 strain) complex. Int. J. Food Sci. Technol. 2023, 58, 1307–1316. [Google Scholar] [CrossRef]
- Liu, F.; Zheng, J.; Huang, C.H.; Tang, C.H.; Ou, S.Y. Pickering high internal phase emulsions stabilized by protein-covered cellulose nanocrystals. Food Hydrocoll. 2018, 82, 96–105. [Google Scholar] [CrossRef]
- Yang, K.; Xu, R.; Xu, X.; Guo, Q. Role of flaxseed gum and whey protein microparticles in formulating low-fat model mayonnaises. Foods 2022, 11, 282. [Google Scholar] [CrossRef]
- Ma, Z.; Boye, J.I. Advances in the design and production of reduced-fat and reduced-cholesterol salad dressing and mayonnaise: A review. Food Bioprocess Technol. 2013, 6, 648–670. [Google Scholar] [CrossRef]
- Mohammad, R.S.; Seyed, M.A.R.; Mohebbat, M. Physicochemical, rheological and structural properties of cold-set emulsion-filled gels based on whey protein isolate-basil seed gum mixed biopolymers. Food Biophys. 2022, 17, 635–649. [Google Scholar] [CrossRef]
- Zhang, Y.; Lu, Y.; Zhang, R.; Gao, Y.; Mao, L. Novel high internal phase emulsions with gelled oil phase: Preparation, characterization and stability evaluation. Food Hydrocoll. 2021, 121, 106995. [Google Scholar] [CrossRef]
- Ghirro, L.C.; Rezende, S.; Ribeiro, A.S.; Rodrigues, N.; Carocho, M.; Pereira, J.A.; Barros, L.; Demczuk, B.; Barreiro, M.; Santamaria-Echart, A. Pickering emulsions stabilized with curcumin-based solid dispersion particles as mayonnaise-like food sauce alternatives. Molecules 2022, 27, 1250. [Google Scholar] [CrossRef] [PubMed]
- Yu, J.; Zhang, Y.; Zhang, R.; Gao, Y.; Mao, L. Stabilization of oil-in-water high internal phase emulsions with octenyl succinic acid starch and beeswax oleogel. Int. J. Biol. Macromol. 2024, 254, 127815. [Google Scholar] [CrossRef]
- Gao, Y.; Li, M.; Zhang, L.; Wang, Z.; Yu, Q.; Han, L. Preparation of rapeseed oil oleogels based on beeswax and its application in beef heart patties to replace animal fat. LWT Food Sci. Technol. 2021, 149, 111986. [Google Scholar] [CrossRef]
- Zhang, R.; Zhang, Y.; Yu, J.; Gao, Y.; Mao, L. Rheology and tribology of ethylcellulose-based oleogels and w/o emulsions as fat substitutes: Role of glycerol monostearate. Foods 2022, 11, 2364. [Google Scholar] [CrossRef]
- Yang, H.; Wang, S.; Xu, Y.; Wang, S.; Yang, L.; Song, H.; He, Y.; Liu, H. Storage stability and interfacial rheology analysis of high-internal-phase emulsions stabilized by soy hull polysaccharide. Food Chem. 2023, 418, 135956. [Google Scholar] [CrossRef]
- Mansouri, S.; Pajohi-Alamoti, M.; Aghajani, N.; Bazargani-Gilani, B.; Nourian, A. Stability and antibacterial activity of thymus daenensis l. Essential oil nanoemulsion in mayonnaise. J. Sci. Food Agric. 2020, 101, 3880–3888. [Google Scholar] [CrossRef]
- Beibei, Z.; Stephan, D.; Sean, A.H. Rheological fingerprinting and tribological assessment of high internal phase emulsions stabilized by whey protein isolate: Effects of protein concentration and pH. Food Hydrocoll. 2022, 131, 107816. [Google Scholar] [CrossRef]
- Wijaya, W.; Van der Meeren, P.; Wijaya, C.H.; Patel, A.R. High internal phase emulsions stabilized solely by whey protein isolate-low methoxyl pectin complexes: Effect of pH and polymer concentration. Food Funct. 2016, 8, 584–594. [Google Scholar] [CrossRef] [PubMed]
- Gao, T.; Liu, J.; Gao, X.; Zhang, G.; Tang, X. Stability and digestive properties of a dual-protein emulsion system based on soy protein isolate and whey protein isolate. Foods 2023, 12, 2247. [Google Scholar] [CrossRef]
- Zhou, X.; Sala, G.; Sagis, L.M.C. Bulk and interfacial properties of milk fat emulsions stabilized by whey protein isolate and whey protein aggregates. Food Hydrocoll. 2020, 109, 106100. [Google Scholar] [CrossRef]
- Setiowati, A.D.; Saeedi, S.; Wijaya, W.; Van der Meeren, P. Improved heat stability of whey protein isolate stabilized emulsions via dry heat treatment of wpi and low methoxyl pectin: Effect of pectin concentration, pH, and ionic strength. Food Hydrocoll. 2017, 63, 716–726. [Google Scholar] [CrossRef]
- Zhou, B.; Drusch, S.; Hogan, S.A. Confined flow behavior under high shear rates and stability of oil/water high internal phase emulsions (hipes) stabilized by whey protein isolate: Role of protein concentration and pH. Food Res. Int. 2022, 160, 111674. [Google Scholar] [CrossRef] [PubMed]
- Huck-Iriart, C.; Montes-De-Oca-Ávalos, J.; Herrera, M.L.; Candal, R.J.; Pinto-De-Oliveira, C.L.; Linares-Torriani, I. New insights about flocculation process in sodium caseinate-stabilized emulsions. Food Res. Int. 2017, 89, 338–346. [Google Scholar] [CrossRef]
- Li, S.; Jiao, B.; Meng, S.; Fu, W.; Faisal, S.; Li, X.; Liu, H.; Wang, Q. Edible mayonnaise-like pickering emulsion stabilized by pea protein isolate microgels: Effect of food ingredients in commercial mayonnaise recipe. Food Chem. 2022, 376, 131866. [Google Scholar] [CrossRef]
- Lu, Y.; Mao, L.; Cui, M.; Yuan, F.; Gao, Y. Effect of the solid fat content on properties of emulsion gels and stability of β-carotene. J. Agric. Food Chem. 2019, 67, 6466–6475. [Google Scholar] [CrossRef]
- Hosseini, E.; Rajaei, A.; Tabatabaei, M.; Mohsenifar, A.; Jahanbin, K. Preparation of pickering flaxseed oil-in-water emulsion stabilized by chitosan-myristic acid nanogels and investigation of its oxidative stability in presence of clove essential oil as antioxidant. Food Biophys. 2020, 15, 216–228. [Google Scholar] [CrossRef]
- Zhang, S.; Holmes, M.; Ettelaie, R.; Sarkar, A. Pea protein microgel particles as pickering stabilisers of oil-in-water emulsions: Responsiveness to pH and ionic strength. Food Hydrocoll. 2020, 102, 105583. [Google Scholar] [CrossRef]
- Kim, H.; Decker, E.A.; Mcclements, D.J. Influence of sucrose on droplet flocculation in hexadecane oil-in-water emulsions stabilized by β-lactoglobulin. J. Agric. Food Chem. 2003, 51, 766–772. [Google Scholar] [CrossRef] [PubMed]
- Zhang, R.; Cheng, L.; Luo, L.; Hemar, Y.; Yang, Z. Formation and characterisation of high-internal-phase emulsions stabilised by high-pressure homogenised quinoa protein isolate. Colloids Surf. A 2021, 631, 127688. [Google Scholar] [CrossRef]
- Anvari, M.; Joyner Melito, H.S. Effect of fish gelatin and gum arabic interactions on concentrated emulsion large amplitude oscillatory shear behavior and tribological properties. Food Hydrocoll. 2018, 79, 518–525. [Google Scholar] [CrossRef]
- Chang, C.; Tu, S.; Ghosh, S.; Nickerson, M.T. Effect of pH on the inter-relationships between the physicochemical, interfacial and emulsifying properties for pea, soy, lentil and canola protein isolates. Food Res. Int. 2015, 77, 360–367. [Google Scholar] [CrossRef]
- Xuan, Z.; Hongshan, L.; Jing, L.; Bin, L. Fabrication of processable and edible high internal phase pickering emulsions stabilized with gliadin/sodium carboxymethyl cellulose colloid particles. Food Hydrocoll. 2022, 128, 107571. [Google Scholar] [CrossRef]
- Anvari, M.; Joyner Melito, H.S. Effect of formulation on structure-function relationships of concentrated emulsions: Rheological, tribological, and microstructural characterization. Food Hydrocoll. 2017, 72, 11–26. [Google Scholar] [CrossRef]
- Tesch, S.; Schubert, H. Influence of increasing viscosity of the aqueous phase on the short-term stability of protein stabilized emulsions. J. Food Eng. 2002, 52, 305–312. [Google Scholar] [CrossRef]
- Junqueira, L.A.; Amaral, T.N.; Félix, P.C.; Botrel, D.A.; Prado, M.E.T.; de Resende, J.V. Effects of change in pH and addition of sucrose and NaCl on the emulsifying properties of mucilage obtained from pereskia aculeata miller. Food Bioprocess Technol. 2019, 12, 486–498. [Google Scholar] [CrossRef]
- Li, D.; Zhao, Y.; Wang, X.; Tang, H.; Wu, N.; Wu, F.; Yu, D.; Elfalleh, W. Effects of (+)-catechin on a rice bran protein oil-in-water emulsion: Droplet size, zeta-potential, emulsifying properties, and rheological behavior. Food Hydrocoll. 2020, 98, 105306. [Google Scholar] [CrossRef]
- Lu, Z.; Zhou, S.; Ye, F.; Zhou, G.; Zhao, G. A novel cholesterol-free mayonnaise made from pickering emulsion stabilized by apple pomace particles. Food Chem. 2021, 353, 129418. [Google Scholar] [CrossRef]
- Yildirim, M.; Sumnu, G.; Sahin, S. Rheology, particle-size distribution, and stability of low-fat mayonnaise produced via double emulsions. Food Sci. Biotechnol. 2016, 25, 1613–1618. [Google Scholar] [CrossRef] [PubMed]
- Taslikh, M.; Mollakhalili-Meybodi, N.; Alizadeh, A.M.; Mousavi, M.; Nayebzadeh, K.; Mortazavian, A.M. Mayonnaise main ingredients influence on its structure as an emulsion. J. Food Sci. Technol. 2022, 59, 2108–2116. [Google Scholar] [CrossRef] [PubMed]
- Mithun, R.; Alam, G.C.; Yunxing, S.; Roberto, Z. Hydrodynamic interaction of a bubble pair in viscoelastic shear-thinning fluids. J. Non-Newton. Fluid 2022, 309, 104912. [Google Scholar] [CrossRef]
- Pradal, C.; Stokes, J.R. Oral tribology: Bridging the gap between physical measurements and sensory experience. Curr. Opin. Food Sci. 2016, 9, 34–41. [Google Scholar] [CrossRef]
- Douaire, M.; Stephenson, T.; Norton, I.T. Soft tribology of oil-continuous emulsions. J. Food Eng. 2014, 139, 24–30. [Google Scholar] [CrossRef]
- Yan, X.; Ma, C.; Cui, F.; Mcclements, D.J.; Liu, F. Protein-stabilized pickering emulsions: Formation, stability, properties, and applications in foods. Trends Food Sci. Technol. 2020, 103, 293–303. [Google Scholar] [CrossRef]
- Zhang, Y.; Zhang, R.; Ying, J.; Li, S.; Gao, Y.; Mao, L. Tailoring microstructures of oleogel-based hipes to modulate oral processing properties: Rheology, tribology and mastication effects. Food Hydrocoll. 2024, 153, 109968. [Google Scholar] [CrossRef]









| Sample | WPI | Yolk | Oil Phase | Edible Salt | White Sugar | Vinegar | Others |
|---|---|---|---|---|---|---|---|
| WE-0.3% | 4.0 wt% | / | 75 wt% | 0.3 wt% | 2.0 wt% | / | water |
| WE-1.0% | 4.0 wt% | / | 75 wt% | 1.0 wt% | 2.0 wt% | / | water |
| YE | / | 4.0 wt% | 75 wt% | 1.0 wt% | 2.0 wt% | 10 wt% | water |
| QB | / | 2.0 wt% | 75 wt% | 1.5 wt% | 2.5 wt% | 10 wt% | food additives and water |
| HLM | / | 2.5 wt% | 75 wt% | 1.0 wt% | 2.0 wt% | 10 wt% | food additives and water |
Disclaimer/Publisher’s Note: The statements, opinions and data contained in all publications are solely those of the individual author(s) and contributor(s) and not of MDPI and/or the editor(s). MDPI and/or the editor(s) disclaim responsibility for any injury to people or property resulting from any ideas, methods, instructions or products referred to in the content. |
© 2024 by the authors. Licensee MDPI, Basel, Switzerland. This article is an open access article distributed under the terms and conditions of the Creative Commons Attribution (CC BY) license (https://creativecommons.org/licenses/by/4.0/).
Share and Cite
Yu, J.; Yun, M.; Li, J.; Gao, Y.; Mao, L. Development of Oleogel-in-Water High Internal Phase Emulsions with Improved Physicochemical Stability and Their Application in Mayonnaise. Foods 2024, 13, 2738. https://doi.org/10.3390/foods13172738
Yu J, Yun M, Li J, Gao Y, Mao L. Development of Oleogel-in-Water High Internal Phase Emulsions with Improved Physicochemical Stability and Their Application in Mayonnaise. Foods. 2024; 13(17):2738. https://doi.org/10.3390/foods13172738
Chicago/Turabian StyleYu, Jingjing, Mingyue Yun, Jia Li, Yanxiang Gao, and Like Mao. 2024. "Development of Oleogel-in-Water High Internal Phase Emulsions with Improved Physicochemical Stability and Their Application in Mayonnaise" Foods 13, no. 17: 2738. https://doi.org/10.3390/foods13172738
APA StyleYu, J., Yun, M., Li, J., Gao, Y., & Mao, L. (2024). Development of Oleogel-in-Water High Internal Phase Emulsions with Improved Physicochemical Stability and Their Application in Mayonnaise. Foods, 13(17), 2738. https://doi.org/10.3390/foods13172738

