The Effects of Nitrogen Application and Varietal Variation on the Product Quality and In Vitro Bioaccessibility of Bioactive Compounds of Baby Spinach Varieties Grown in a Soilless Growth Medium
Abstract
1. Introduction
2. Materials and Methods
2.1. Chemicals
2.2. Experimental Site, Crop Establishment and Application of N Treatments
2.3. Leaf Fresh Weight, Colour and Chlorophyll Content
2.4. In Vitro Digestion
2.5. Extraction of Phenolic Compounds
2.6. Total Phenolic Content (TPC)
2.7. Quantification of Phenolic Compounds
2.8. Ferric Reducing Antioxidant Power (FRAP)
2.9. 2,2-Azino-bis-3-ethylbenzothiazoline-6-sulfonic (ABTS) Scavenging Activity
2.10. 2,2-diphenyl-1-picrylhydrazyl (DPPH) Radical Scavenging Activity
2.11. Carotenoids
2.12. Data Analysis
3. Results and Discussion
3.1. Effect of Varietal Response and N Supply Levels on Leaf Fresh Weight
3.2. Effect of Varietal Response and N Supply Levels on Colour
3.3. Effect of Varietal Response and N Supply Levels on Chlorophyll Content
3.4. Effect of Varietal Response and N Supply Levels on Bioactive Compounds and Their Bioaccessibility
3.4.1. Phenols
3.4.2. Carotenoids
3.4.3. Varietal Variation and Nitrogen Application on the Antioxidant Activity and Bioaccessibility
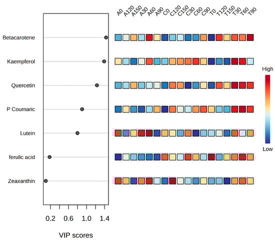
3.4.4. Multivariate Analysis
4. Conclusions
Supplementary Materials
Author Contributions
Funding
Institutional Review Board Statement
Informed Consent Statement
Data Availability Statement
Conflicts of Interest
References
- Becker, C.; Urlić, B.; Jukić Špika, M.; Kläring, H.P.; Krumbein, A.; Baldermann, S.; Goreta Ban, S.; Perica, S.; Schwarz, D. Nitrogen limited red and green leaf lettuce accumulate flavonoid glycosides, caffeic acid derivatives, and sucrose while losing chlorophylls, β-carotene and xanthophylls. PLoS ONE 2015, 10, e0142867. [Google Scholar] [CrossRef] [PubMed]
- Asaduzzaman, M.; Saifullah, M.; Mollick, M.M.; Halim, G.M.A.; Asao, T. Influence of soilless culture substrate on improvement on yield and produce quality of horticultural crops. In Soilless Culture—Use of Substrates for the Production of Quality Horticultural Crops; Asaduzzaman, M., Ed.; IntechOpen: London, UK, 2015; pp. 1–32. [Google Scholar]
- European Food Safety Authority. Opinion of the Scientific Panel on Contaminants in the Food chain on a request from the European Commission to perform a scientific risk assessment on nitrate in vegetables. EFSA J. 2008, 689, 1–79. [Google Scholar] [CrossRef]
- Luetic, S.; Knezovic, Z.; Jurcic, K.; Majic, Z.; Tripkovic, K.; Sutlovic, D. Leafy vegetable nitrite and nitrate content, potential health effects. Foods 2023, 12, 1655. [Google Scholar] [CrossRef] [PubMed]
- Boskovic-Rakocevic, L.; Pavlovic, R.; Zdravkovic, J.; Zdravkovic, M.; Pavlovic, N.; Djuric, M. Effect of nitrogen fertilization on carrot quality. Afr. J. Agric. Res. 2012, 7, 2884–2900. [Google Scholar] [CrossRef][Green Version]
- Parwada, C.; Chigiya, V.; Ngezimana, W.; Chipomho, J. Growth and performance of baby spinach (Spinacia oleracea L.) grown under different organic fertilizers. Int. J. Agron. 2020, 2020, 8843906. [Google Scholar] [CrossRef]
- Rouphael, Y.; Kyriacou, M.C.; Petropoulos, S.A.; De Pascale, S.; Colla, G. Improving vegetable quality in controlled environments. Sci. Hortic. 2018, 234, 275–289. [Google Scholar] [CrossRef]
- Xu, C.; Mou, B. Responses of spinach to salinity and nutrient deficiency in growth, physiology, and nutritional value. J. Am. Soc. Hortic. Sci. 2016, 141, 12–21. [Google Scholar] [CrossRef]
- Machado, R.M.A.; Alves-Pereira, I.; Lourenço, D.; Ferreira, R.M.A. Effect of organic compost and inorganic nitrogen fertigation on spinach growth, phytochemical accumulation and antioxidant activity. Heliyon 2020, 6, e05085. [Google Scholar] [CrossRef]
- Balliu, A.; Zheng, Y.; Sallaku, G.; Fernández, J.A.; Gruda, N.S.; Tuzel, Y. Environmental and cultivation factors affect the morphology, architecture and performance of root systems in soilless grown plants. Horticulturae 2021, 7, 243. [Google Scholar] [CrossRef]
- Pandjaitan, N.; Howard, L.R.; Morelock, T.; Gil, M.I. Antioxidant capacity and phenolic content of spinach as affected by genetics and maturation. J. Agric. Food Chem. 2005, 53, 8618–8623. [Google Scholar] [CrossRef]
- Baranauskienė, R.; Venskutonis, P.R.; Viškelis, P.; Dambrauskienė, E. Influence of nitrogen fertilizers on the yield and composition of thyme (Thymus vulgaris). J. Agric. Food Chem. 2003, 51, 7751–7758. [Google Scholar] [CrossRef]
- Mampholo, B.M.; Sivakumar, D.; Beukes, M.; van Rensburg, W.J. Effect of modified atmosphere packaging on the quality and bioactive compounds of Chinese cabbage (Brasicca rapa L. ssp. chinensis). J. Sci. Food Agric. 2013, 93, 2008–2015. [Google Scholar] [CrossRef]
- Minekus, M.; Alminger, M.; Alvito, P.; Ballance, S.; Bohn, T.; Bourlieu, C.; Carrière, F.; Boutrou, R.; Corredig, M.; Dupont, D.; et al. A standardised static in vitro digestion method suitable for food–an international consensus. Food Funct. 2014, 5, 1113–1124. [Google Scholar] [CrossRef]
- Sęczyk, Ł.; Król, B.; Kołodziej, B. In vitro bioaccessibility and activity of Greek oregano (Origanum vulgare L. ssp. hirtum (link) Ietswaart) compounds as affected by nitrogen fertilization. J. Sci. Food Agric. 2020, 100, 2410–2417. [Google Scholar] [CrossRef] [PubMed]
- Singleton, V.L.; Orthofer, R.; Lamuela-Raventós, R.M. [14] Analysis of total phenols and other oxidation substrates and antioxidants by means of folin-ciocalteu reagent. Methods Enzymol. 1999, 299, 152–178. [Google Scholar] [CrossRef]
- Mpai, S.; Du Preez, R.; Sultanbawa, Y.; Sivakumar, D. Phytochemicals and nutritional composition in accessions of Kei-apple (Dovyalis caffra): Southern African indigenous fruit. Food Chem. 2018, 253, 37–45. [Google Scholar] [CrossRef]
- Xiao, F.; Xu, T.; Lu, B.; Liu, R. Guidelines for antioxidant assays for food components. Food Front. 2020, 1, 60–69. [Google Scholar] [CrossRef]
- Djuikwo, V.; Ejoh, R.; Gouado, I.; Mbofung, C.; Tanumihardjo, S. Determination of major carotenoids in processed tropical leafy vegetables indigenous to Africa. Food Nutr. Sci. 2011, 2, 793–802. [Google Scholar] [CrossRef]
- Thapa, U.; Nicola, S.; Tibaldi, G. Nitrogen concentration and cutting management on yield and quality of baby spinach (Spinacia oleracea L) grown in soilless culture systems. J. Plant Res. 2018, 31, 2. [Google Scholar]
- Zhao, D.; Reddy, K.R.; Kakani, V.G.; Reddy, V.R. Nitrogen deficiency effects on plant growth, leaf photosynthesis, and hyperspectral reflectance properties of sorghum. Eur. J. Agron. 2005, 22, 391–403. [Google Scholar] [CrossRef]
- Mahlangu, R.I.S.; Maboko, M.M.; Sivakumar, D.; Soundy, P.; Jifon, J. Lettuce (Lactuca sativa L.) growth, yield and quality response to nitrogen fertilization in a non-circulating hydroponic system. J. Plant Nutr. 2016, 39, 1766–1775. [Google Scholar] [CrossRef]
- Han, K.; Zhang, J.; Wang, C.; Yang, Y.; Chang, Y.; Gao, Y.; Xie, J. Changes in growth, physiology, and photosynthetic capacity of spinach (Spinacia oleracea L.) under different nitrate levels. PLoS ONE 2023, 18, e0283787. [Google Scholar] [CrossRef] [PubMed]
- Petropoulos, S.A.; El-Nakhel, C.; Graziani, G.; Kyriacou, M.C.; Rouphael, Y. The effects of nutrient solution feeding regime on yield, mineral profile, and phytochemical composition of spinach microgreens. Horticulturae 2021, 7, 162. [Google Scholar] [CrossRef]
- Uddling, J.; Gelang-Alfredsson, J.; Piikki, K.; Pleijel, H. Evaluating the relationship between leaf chlorophyll concentration and SPAD-502 chlorophyll meter readings. Photosynth. Res. 2007, 91, 37–46. [Google Scholar] [CrossRef] [PubMed]
- Zikalala, B.O.; Nkomo, M.; Araya, H.; Ngezimana, W.; Mudau, F.N. Nutritional quality of baby spinach (Spinacia oleracea L.) as affected by nitrogen, phosphorus and potassium fertilisation. S. Afr. J. Plant Soil 2017, 34, 79–86. [Google Scholar] [CrossRef]
- Padilla, F.M.; Farneselli, M.; Gianquinto, G.; Tei, F.; Thompson, R.B. Monitoring nitrogen status of vegetable crops and soils for optimal nitrogen management. Agric. Water Manag. 2020, 241, 106356. [Google Scholar] [CrossRef]
- Zhao, X.; Nechols, J.R.; Williams, K.A.; Wang, W.; Carey, E.E. Comparison of phenolic acids in organically and conventionally grown pac choi (Brassica rapa L. chinensis). J. Sci. Food Agric. 2009, 89, 940–946. [Google Scholar] [CrossRef]
- Tian, W.; Wang, F.; Xu, K.; Zhang, Z.; Yan, J.; Yan, J.; Tian, Y.; Liu, J.; Zhang, Y.; Zhang, Y.; et al. Accumulation of wheat phenolic acids under different nitrogen rates and growing environments. Plants 2022, 11, 2237. [Google Scholar] [CrossRef]
- Mampholo, B.M.; Maboko, M.M.; Soundy, P.; Sivakumar, D. Variety-specific responses of lettuce grown in a gravel-film technique closed hydroponic system to N supply on yield, morphology, phytochemicals, mineral content and safety. J. Integr. Agric. 2018, 17, 2447–2457. [Google Scholar] [CrossRef]
- Heimler, D.; Romani, A.; Ieri, F. Plant polyphenol content, soil fertilization and agricultural management: A review. Eur. Food Res. Technol. 2017, 243, 1107–1115. [Google Scholar] [CrossRef]
- Azizi, A.; Yan, F.; Honermeier, B. Herbage yield, essential oil content and composition of three oregano (Origanum vulgare L.) populations as affected by soil moisture regimes and nitrogen supply. Ind. Crop. Prod. 2009, 29, 554–561. [Google Scholar] [CrossRef]
- Sotiropoulou, D.E.; Karamanos, A.J. Field studies of nitrogen application on growth and yield of Greek oregano (Origanum vulgare ssp. hirtum (Link) Ietswaart). Ind. Crop. Prod. 2010, 32, 450–457. [Google Scholar] [CrossRef]
- Shahidi, F.; Peng, H. Bioaccessibility and bioavailability of phenolic compounds. J. Food Bioact. 2018, 4, 11–68. [Google Scholar] [CrossRef]
- Cebeci, F.; Şahin-Yesilcubuk, N. The matrix effect of blueberry, oat meal and milk on polyphenols, antioxidant activity 732 and potential bioavailability. Int. J. Food Sci. Nutr. 2014, 65, 69–78. [Google Scholar] [CrossRef]
- Hayes, M.; Pottorff, M.; Kay, C.; Van Deynze, A.; Osorio-Marin, J.; Lila, M.A.; Lorrizo, M.; Ferruzzi, M.G. In vitro bioaccessibility of carotenoids and chlorophylls in a diverse collection of spinach accessions and commercial cultivars. J. Agric. Food Chem. 2020, 68, 3495–3505. [Google Scholar] [CrossRef]
- Hedren, E.; Diaz, V.; Svanberg, U. Estimation of carotenoid accessibility from carrots determined by an in vitro digestion method. Eur. J. Clin. Nutr. 2002, 56, 425–430. [Google Scholar] [CrossRef] [PubMed]
- O’Conell, O.; Ryan, L.; O’Sullivan, L.; Aherne-Bruce, S.A.; O’Brien, N.M. Carotenoid micellarization varies greatly between individual and mixed vegetables with or without the addition of fat or fiber. Int. J. Vitam. Nutr. Res. 2008, 78, 238–246. [Google Scholar] [CrossRef]
- Kopsell, D.A.; Kopsell, D.E.; Curran-Celentano, J. Carotenoid pigments in kale are influenced by nitrogen concentration and form. J. Sci. Food Agric. 2007, 87, 900–907. [Google Scholar] [CrossRef]
- Hochmuth, G.J.; Brecht, J.K.; Bassett, M.J. Nitrogen fertilization to maximize carrot yield and quality on a sandy soil. HortScience 1999, 34, 641–645. [Google Scholar] [CrossRef]
- Ukom, A.N.; Ojimelukwe, P.C.; Alamu, E.O. All trans-cis β-carotene content of selected sweet potato (Ipomea batatas (L) Lam) varieties as influenced by different levels of nitrogen fertilizer application. Afr. J. Food Sci. 2011, 5, 131–137. [Google Scholar]
- Chormova, D.; Kavvadias, V.; Okello, E.; Shiel, R.; Brandt, K. Nitrogen application can be reduced without affecting carotenoid content, maturation, shelf life and yield of greenhouse tomatoes. Plants 2023, 12, 1553. [Google Scholar] [CrossRef]
- Barickman, T.C.; Kopsell, D.A. Nitrogen form and ratio impact Swiss chard (Beta vulgaris subsp. cicla) shoot tissue carotenoid and chlorophyll concentrations. Sci. Hortic 2016, 204, 99–105. [Google Scholar] [CrossRef]
- Treutter, D. Managing phenol contents in crop plants by phytochemical farming and breeding—Visions and constraints. Int. J. Mol. Sci. 2010, 11, 807–857. [Google Scholar] [CrossRef] [PubMed]
- Reif, C.; Arrigoni, E.; Neuweiler, R.; Baumgartner, D.; Nyström, L.; Hurrell, R.F. Effect of sulfur and nitrogen fertilization on the content of nutritionally relevant carotenoids in spinach (Spinacia oleracea). J. Agric. Food Chem. 2012, 60, 5819–5824. [Google Scholar] [CrossRef] [PubMed]
- Li, J.; Zhu, Z.; Gerendás, J. Effects of nitrogen and sulfur on total phenolics and antioxidant activity in two genotypes of leaf mustard. J. Plant Nutr. 2008, 31, 1642–1655. [Google Scholar] [CrossRef]



| Cultivar | Nitrogen Level (mg/L) | Undigested | Intestinal Fraction (IF) | Bioaccessibility (%) |
|---|---|---|---|---|
| TPC (mg/g) | ||||
| ‘Acadia’ | 0 | 7.34 ± 0.15 h | 3.84 ± 0.24 de | 52.27 ± 3.32 cdef |
| 30 | 7.77 ± 0.12 fg | 4.12 ± 0.63 cde | 52.99 ± 8.08 cdef | |
| 60 | 8.33 ± 0.26 bc | 3.534 ± 0.254 def | 42.41 ± 3.04 fg | |
| 90 | 8.09 ± 0.03 de | 3.713 ± 0.379 de | 45.88 ± 4.68 efg | |
| 120 | 7.94 ± 0.13 defg | 4.289 ± 0.561 bcd | 54.01 ± 7.06 bcdef | |
| 150 | 7.72 ± 0.032 g | 4.610 ± 0.447 bcd | 59.74 ± 5.79 bcde | |
| ‘Crosstrek’ | 0 | 7.30 ± 0.03 h | 3.062 ± 0.241 ef | 41.92 ± 3.29 fg |
| 30 | 7.83 ± 0.09 fg | 3.845 ± 0.611 de | 49.10 ± 7.81 def | |
| 60 | 8.45 ± 0.23 ab | 5.355 ± 0.377 ab | 63.39 ± 4.46 bcd | |
| 90 | 7.48 ± 0.20 h | 3.823 ± 0.057 de | 51.09 ± 0.77 cdef | |
| 120 | 7.72 ± 0.09 g | 5.270 ± 0.297 abc | 68.29 ± 3.85 b | |
| 150 | 7.72 ± 0.02 g | 6.412 ± 0.075 a | 83.09 ± 0.98 a | |
| ‘Traverse’ | 0 | 7.81 ± 0.17 fg | 2.471 ± 0.356 f | 31.64 ± 4.56 g |
| 30 | 8.02 ± 0.10 def | 3.521 ± 0.462 def | 43.92 ± 5.76 fg | |
| 60 | 8.62 ± 0.09 a | 4.591 ± 0.156 bcd | 53.29 ± 1.81 cdef | |
| 90 | 8.17 ± 0.03 bc | 3.901 ± 0.173 de | 47.76 ± 2.12 ef | |
| 120 | 8.11 ± 0.06 cde | 3.954 ± 0.083 de | 48.75 ± 1.03 def | |
| 150 | 7.92 ± 0.03 efg | 5.196 ± 0.581 bc | 65.58 ± 7.33 bc | |
| p-coumaric (µg/g) | ||||
| ‘Acadia’ | 0 | 293.4 ± 1.24 a | 4.05 ± 0.02 d | 1.38 ± 0.01 i |
| 30 | 217.2 ± 1.02 c | 2.95 ± 0.03 defg | 1.36 ± 0.01 i | |
| 60 | 152.2 ± 0.67 g | 3.70 ± 0.81 de | 2.43 ± 0.53 ghi | |
| 90 | 164.5 ± 0.84 f | 6.70 ± 0.02 c | 4.08 ± 0.01 de | |
| 120 | 55.9 ± 0.23 o | 1.86 ± 0.04 gh | 3.33 ± 0.06 efg | |
| 150 | 87.5 ± 0.43 j | 1.23 ± 0.02 h | 1.40 ± 0.03 i | |
| ‘Crosstrek’ | 0 | 230.1 ± 0.48 b | 3.03 ± 0.02 def | 1.32 ± 0.01 i |
| 30 | 215.8 ± 0.73 d | 5.63 ± 0.30 c | 2.61 ± 0.14 fgh | |
| 60 | 61.6 ± 1.07 n | 2.90 ± 0.02 efg | 4.72 ± 0.03 cd | |
| 90 | 184.2 ± 0.20 e | 9.92 ± 0.02 a | 5.39 ± 0.01 c | |
| 120 | 54.8 ± 0.93 o | 2.87 ± 0.46 efg | 5.24 ± 0.84 c | |
| 150 | 75.4 ± 0.1.71 l | 2.08 ± 0.02 fgh | 2.76 ± 0.02 fgh | |
| ‘Traverse’ | 0 | 107.1 ± 0.27 i | 3.84 ± 0.91 de | 3.59 ± 0.85 def |
| 30 | 119.2 ± 0.05 h | 10.43 ± 0.01 a | 8.75 ± 0.01 a | |
| 60 | 86.8 ± 0.14 j | 8.23 ± 0.58 b | 9.48 ± 0.67 a | |
| 90 | 75.0 ± 0.20 l | 5.35 ± 0.06 c | 7.13 ± 0.08 b | |
| 120 | 81.9 ± 0.71 k | 1.74 ± 0.49 h | 2.13 ± 0.60 hi | |
| 150 | 66.3 ± 0.62 m | 1.15 ± 0.01 h | 1.73 ± 0.01 hi | |
| Quercetin (µg/g) | ||||
| ‘Acadia’ | 0 | 5687 ± 3.5 e | 21.05 ± 0.73 cd | 0.37 ± 0.01 g |
| 30 | 4454 ± 1.4 f | 19.87 ± 0.09 cd | 0.45 ± 0.00 g | |
| 60 | 3950 ± 8.5 g | 23.47 ± 1.26 c | 0.59 ± 0.03 g | |
| 90 | 3340 ± 0.7 h | 22.86 ± 0.20 c | 0.68 ± 0.01 g | |
| 120 | 477 ± 0.7 l | 2.36 ± 3.11 e | 0.49 ± 0.65 g | |
| 150 | 297 ± 1.7 n | 12.67 ± 0.09 cde | 4.27 ± 0.03 e | |
| ‘Crosstrek’ | 0 | 6931 ± 7.9 a | 17.59 ± 0.35 cd | 0.25 ± 0.00 g |
| 30 | 6666 ± 0.3 b | 9.56 ± 0.42 de | 0.14 ± 0.01 g | |
| 60 | 5705 ± 4.1 d | 21.02 ± 0.15 cd | 0.37 ± 0.00 ef | |
| 90 | 428 ± 7.5 m | 11.96 ± 0.15 cde | 2.79 ± 0.03 f | |
| 120 | 204 ± 3.5 q | 12.23 ± 0.31 cde | 5.99 ± 0.15 d | |
| 150 | 261 ± 1.4 o | 12.39 ± 0.08 cde | 4.75 ± 0.03 e | |
| ‘Traverse’ | 0 | 6621 ± 2.0 c | 15.02 ± 2.47 cde | 0.23 ± 0.04 g |
| 30 | 574 ± 0.7 j | 60.22 ± 0.43 a | 10.49 ± 0.07 a | |
| 60 | 531 ± 0.71 k | 46.37 ± 17.41 b | 8.73 ± 3.28 b | |
| 90 | 596 ± 0.9 i | 49.41 ± 2.89 b | 8.29 ± 0.48 b | |
| 120 | 227 ± 1.6 p | 15.40 ± 0.49 cde | 6.78 ± 0.21 c | |
| 150 | 474 ± 0.1 j | 14.68 ± 0.27 cde | 3.10 ± 0.06 f | |
| Ferulic acid (µg/g) | ||||
| ‘Acadia’ | 0 | 6908 ± 9.2 a | 37.93 ± 0.42 e | 0.55 ± 0.01 f |
| 30 | 6592 ± 6.0 b | 72.53 ± 0.54 cd | 1.10 ± 0.01 defg | |
| 60 | 6232 ± 0.4 c | 65.88 ± 2.09 de | 1.06 ± 0.03 efg | |
| 90 | 5576 ± 4.6 g | 58.11 ± 0.30 de | 1.04 ± 0.00 fg | |
| 120 | 3732 ± 4.4 o | 64.93 ± 0.67 de | 1.74 ± 0.02 bcdef | |
| 150 | 4558 ± 9.3 l | 65.37 ± 0.11 de | 1.43 ± 0.00 cdef | |
| ‘Crosstrek’ | 0 | 5352 ± 8.8 h | 112.22 ± 0.61 ab | 2.10 ± 0.01 abc |
| 30 | 5818 ± 7.0 f | 122.81 ± 5.09 a | 2.11 ± 0.09 abc | |
| 60 | 6020 ± 2.9 d | 113.64 ± 56 ab | 1.89 ± 0.01 bcdef | |
| 90 | 5845 ± 8.6 e | 84.90 ± 0.73 bcd | 1.45 ± 0.01 bcdef | |
| 120 | 4999 ± 7.4 j | 89.00 ± 12.10 bcd | 1.78 ± 0.24 bcdef | |
| 150 | 4173 ± 1.9 n | 71.68 ± 0.84 cd | 1.72 ± 0.02 bcdef | |
| ‘Traverse’ | 0 | 3566 ± 3.7 p | 105.77 ± 42.02 ab | 2.97 ± 1.18 a |
| 30 | 5062 ± 4.8 i | 97.99 ± 0.73 abc | 1.94 ± 0.01 bcd | |
| 60 | 4516 ± 4.6 m | 104.62 ± 4.68 ab | 2.32 ± 0.10 ab | |
| 90 | 4513 ± 1.2 m | 86.85 ± 0.48 bcd | 1.92 ± 0.01 bcde | |
| 120 | 4930 ± 0.1 k | 65.65 ± 0.96 de | 1.33 ± 0.02 cdefg | |
| 150 | 3328 ± 1.8 q | 61.59 ± 0.24 de | 1.85 ± 0.01 bcdef | |
| Kaempferol (µg/g) | ||||
| ‘Acadia’ | 0 | 211.6 ± 0.09 a | 7.55 ± 0.24 c | 3.57 ± 0.11 b |
| 30 | 142.4 ± 0.18 f | 4.91 ± 0.03 c | 3.45 ± 0.02 b | |
| 60 | 149.7 ± 0.83 e | 9.83 ± 0.15 bc | 6.56 ± 0.10 b | |
| 90 | 149.8 ± 0.66 e | 3.60 ± 0.03 c | 2.41 ± 0.02 b | |
| 120 | 127.3 ± 1.14 g | 3.40 ± 0.02 c | 2.67 ± 0.01 b | |
| 150 | 190.3 ± 0.24 c | 4.33 ± 0.04 c | 2.28 ± 0.02 b | |
| ‘Crosstrek’ | 0 | 74.0 ± 0.90 q | 1.80 ± 0.01 c | 2.44 ± 0.01 b |
| 30 | 83.6 ± 0.53 o | 4.65 ± 0.22 c | 5.56 ± 0.27 b | |
| 60 | 86.6 ± 0.02 n | 6.68 ± 0.09 c | 7.72 ± 0.11 b | |
| 90 | 98.2 ± 0.38 l | 3.80 ± 0.03 c | 3.86 ± 0.03 b | |
| 120 | 119.4 ± 0.42 h | 4.96 ± 0.69 c | 4.16 ± 0.58 b | |
| 150 | 116.7 ± 0.82 i | 4.91 ± 0.06 c | 4.21 ± 0.05 b | |
| ‘Traverse’ | 0 | 78.1 ± 0.14 p | 1.13 ± 0.04 c | 1.45 ± 0.05 b |
| 30 | 108.2 ± 0.03 k | 25.86 ± 0.21 a | 23.90 ± 0.19 a | |
| 60 | 97.0 ± 0.53 m | 18.06 ± 12.91 ab | 18.62 ± 13.30 a | |
| 90 | 110.2 ± 0.38 j | 3.38 ± 0.05 c | 3.07 ± 0.05 b | |
| 120 | 195.9 ± 0.28 b | 4.52 ± 0.01 c | 2.30 ± 0.01 b | |
| 150 | 158.1 ± 0.12 d | 2.53 ± 0.02 c | 1.60 ± 0.01 b | |
| Cultivar | Nitrogen Level (mg/L) | Undigested | Intestinal | Bioaccessibility (%) |
|---|---|---|---|---|
| TCC (mg/g) | ||||
| ‘Acadia’ | 0 | 0.59 ± 0.00 hi | 0.14 ± 0.02 l | 23.90 ± 3.03 i |
| 30 | 0.58 ± 0.01 i | 0.22 ± 0.01 k | 38.53 ± 1.48 h | |
| 60 | 0.63 ± 0.00 f | 0.59 ± 0.00 c | 93.60 ± 0.58 b | |
| 90 | 0.76 ± 0.00 b | 0.41 ± 0.00 g | 53.73 ± 0.25 g | |
| 120 | 0.78 ± 0.01 a | 0.58 ± 0.00 c | 74.65 ± 0.23 c | |
| 150 | 0.75 ± 0.00 b | 0.74 ± 0.01 a | 97.56 ± 0.77 a | |
| ‘Crosstrek’ | 0 | 0.52 ± 0.02 k | 0.02 ± 0.00 p | 4.04 ± 0.73 m |
| 30 | 0.55 ± 0.00 j | 0.05 ± 0.00 o | 9.64 ± 0.22 l | |
| 60 | 0.60 ± 0.00 gh | 0.08 ± 0.00 n | 12.98 ± 0.21 k | |
| 90 | 0.61 ± 0.00 g | 0.34 ± 0.00 i | 55.30 ± 0.57 fg | |
| 120 | 0.68 ± 0.01 de | 0.38 ± 0.00 h | 55.78 ± 0.18 f | |
| 150 | 0.70 ± 0.00 d | 0.68 ± 0.01 b | 97.38 ± 1.18 a | |
| ‘Traverse’ | 0 | 0.52 ± 0.01 k | 0.02 ± 0.00 p | 3.87 ± 0.25 m |
| 30 | 0.58 ± 0.00 i | 0.13 ± 0.00 m | 22.32 ± 0.29 j | |
| 60 | 0.59 ± 0.01 hi | 0.32 ± 0.00 j | 53.98 ± 0.39 g | |
| 90 | 0.64 ± 0.00 f | 0.42 ± 0.01 f | 66.54 ± 1.23 e | |
| 120 | 0.67 ± 0.01 e | 0.44 ± 0.01 e | 65.22 ± 0.96 e | |
| 150 | 0.74 ± 0.02 c | 0.54 ± 0.00 d | 72.86 ± 0.63 d | |
| LSD 0.05 | 0.01546 | 0.007963 | 1.648 | |
| CV% | 1.5 | 1.4 | 2.0 | |
| Lutein (µg/g) | ||||
| ‘Acadia’ | 0 | 4224 ± 2 o | 725.45 ± 0.71 m | 17.17 ± 0.02 b |
| 30 | 7388 ± 8 l | 1274.17 ± 8.77 k | 17.25 ± 0.12 b | |
| 60 | 14,143 ± 9 k | 2835.45 ± 26.03 e | 20.05 ± 0.18 a | |
| 90 | 41,421 ± 10 e | 1960.91 ± 17.36 i | 4.73 ± 0.04 m | |
| 120 | 48,957 ± 5 d | 3249.75 ± 22.08 d | 6.64 ± 0.04 k | |
| 150 | 68,180 ± 16 a | 4602 ± 5.61 a | 9.55 ± 0.37 f | |
| ‘Crosstrek’ | 0 | 3475 ± 4 q | 344.42 ± 2.44 p | 9.91 ± 0.07 e |
| 30 | 3578 ± 6 p | 466.77 ± 1.91 o | 13.04 ± 0.05 d | |
| 60 | 25,380 ± 3 i | 601.83 ± 5.66 n | 2.37 ± 0.02 n | |
| 90 | 27,409 ± 0 h | 1992.74 ± 23.82 i | 7.27 ± 0.09 j | |
| 120 | 29,355 ± 6 g | 2653.77 ± 254.76 f | 9.03 ± 0.87 g | |
| 150 | 67,409 ± 8 b | 4509.80 ± 49.76 b | 6.69 ± 0.07 k | |
| ‘Traverse’ | 0 | 4446 ± 5 n | 326.73 ± 3.69 p | 7.35 ± 0.08 ij |
| 30 | 5482 ± 1 m | 880.01 ± 3.60 l | 16.05 ± 0.07 c | |
| 60 | 22,845 ± 17 j | 1711.69 ± 28.96 j | 7.49 ± 0.13 i | |
| 90 | 22,853 ± 0 j | 2294.33 ± 5.46 h | 10.04 ± 0.02 e | |
| 120 | 30,281 ± 0 f | 2484.93 ± 41.54 g | 8.21 ± 0.14 h | |
| 150 | 62,989 ± 5 c | 3427.59 ± 31.37 c | 5.44 ± 0.05 l | |
| LSD 0.05 | 8.553 | 38.24 | 0.2055 | |
| CV% | 0.0 | 1.1 | 1.3 | |
| Beta-carotene (µg/g) | ||||
| ‘Acadia’ | 0 | 5520 ± 1 n | 478.82 ± 3.07 n | 8.67 ± 0.06 l |
| 30 | 7222 ± 2 m | 1098.44 ± 15.38 l | 15.21 ± 0.21 k | |
| 60 | 11,384 ± 4 h | 3981.27 ± 45.26 b | 34.97 ± 0.40 b | |
| 90 | 14,237 ± 2 g | 2509.91 ± 48.92 g | 17.63 ± 0.34 i | |
| 120 | 18,377 ± 2 d | 3231.47 ± 14.21 e | 17.58 ± 0.08 i | |
| 150 | 18,466 ± 3 c | 3912.12 ± 6.89 c | 21.19 ± 0.04 g | |
| ‘Crosstrek’ | 0 | 4765 ± 5 q | 44.23 ± 0.71 p | 0.93 ± 0.01 o |
| 30 | 4836 ± 3 p | 158.86 ± 1.66 o | 3.28 ± 0.03 n | |
| 60 | 8634 ± 1.8 l | 604.32 ± 6.98 m | 6.70 ± 0.08 m | |
| 90 | 8687 ± 2 k | 1897.66 ± 4.02 i | 21.84 ± 0.05 f | |
| 120 | 18,932 ± 1 b | 1650.80 ± 34.98 j | 8.72 ± 0.18 l | |
| 150 | 19,036 ± 8 a | 2975.48 6.64 f | 15.63 ± 0.03 j | |
| ‘Traverse’ | 0 | 4655 ± 2 r | 40.06 ± 2.17 p | 0.86 ± 0.05 o |
| 30 | 5136 ± 4 o | 1214.81 ± 9.08 k | 23.65 ± 0.18 d | |
| 60 | 9523 ± 2 j | 2134.69 ± 26.85 h | 22.42 ± 0.28 e | |
| 90 | 11,242 ± 3 i | 3970.24 ± 4.64 b | 35.32 ± 0.04 a | |
| 120 | 17,043 ± 3 f | 4212.31 ± 7.97 a | 24.72 ± 0.05 c | |
| 150 | 17,114 ± 1 e | 3309.84 ± 49.73 d | 19.34 ± 0.29 h | |
| LSD 0.05 | 5.356 | 38.32 | 0.2969 | |
| CV% | 0.0 | 1.1 | 1.1 | |
| Zeaxanthin (µg/g) | ||||
| ‘Acadia’ | 0 | 5441 ± 0 r | 82.76 ± 0.42 k | 1.52 ± 0.01 c |
| 30 | 9966 ± 1 m | 135.06 ± 3.91 h | 1.35 ± 0.04 d | |
| 60 | 15,336 ± 1 k | 379.61 ± 6.32 b | 2.47 ± 0.04 b | |
| 90 | 27,988 ± 2 g | 156.47 ± 4.97 g | 0.56 ± 0.02 h | |
| 120 | 35,685 ± 4 f | 442.97 ± 0.51 a | 1.24 ± 0.00 e | |
| 150 | 47,654 ± 5 a | 94.7 ± 0.21 j | 0.15 ± 0.08 l | |
| ‘Crosstrek’ | 0 | 7847 ± 1 p | 23.13 ± 0.23 m | 0.29 ± 0.00 k |
| 30 | 9638 ± 1 n | 46.50 ± 0.27 l | 0.48 ± 0.00 i | |
| 60 | 13,956 ± 4 l | 48.02 ± 0.24 l | 0.34 ± 0.00 jk | |
| 90 | 25,474 ± 3 h | 219.92 ± 1.82 e | 0.86 ± 0.01 g | |
| 120 | 4415 ± 3 e | 129.7 ± 5.02 h | 2.62 ± 0.55 a | |
| 150 | 44,214 ± 3 d | 253.38 ± 0.76 c | 0.57 ± 0.00 h | |
| ‘Traverse’ | 0 | 5939 ± 1 q | 20.98 ± 0.18 m | 0.35 ± 0.00 j |
| 30 | 8061 ± 1 o | 102.52 ± 0.24 i | 1.27 ± 0.00 e | |
| 60 | 18,984 ± 1 j | 257.31 ± 1.30 c | 1.35 ± 0.01 d | |
| 90 | 24,775 ± 3 i | 229.74 ± 10.05 d | 0.93 ± 0.04 f | |
| 120 | 46,044 ± 11 c | 173.15 ± 1.58 f | 0.38 ± 0.00 j | |
| 150 | 46,554 ± 3 b | 47.71 ± 1.41 l | 0.10 ± 0.00 l | |
| LSD 0.05 | 4.288 | 5.753 | 0.05292 | |
| CV% | 0.0 | 2.2 | 3.3 | |
| Cultivar | Nitrogen Level (mg/L) | Undigested | Intestinal |
|---|---|---|---|
| FRAP (mM/g) | |||
| ‘Acadia’ | 0 | 28.71 ± 1.53 g | 2.87 ± 0.13 e |
| 30 | 34.98 ± 2.50 d | 4.51 ± 0.82 cde | |
| 60 | 38.93 ± 1.74 b | 7.49 ± 2.45 abc | |
| 90 | 38.76 ± 1.00 b | 4.51 ± 0.75 cde | |
| 120 | 39.37 ± 1.04 b | 6.87 ± 1.13 abcd | |
| 150 | 35.48 ± 0.50 cd | 8.43 ± 1.30 ab | |
| ‘Crosstrek’ | 0 | 23.76 ± 0.76 i | 3.58 ± 0.10 de |
| 30 | 25.71 ± 0.50 h | 4.00 ± 0.35 cde | |
| 60 | 29.76 ± 0.76 fg | 4.65 ± 0.52 cde | |
| 90 | 30.09 ± 0.76 f | 5.26 ± 0.58 bcde | |
| 120 | 36.48 ± 0.76 c | 5.84 ± 0.27 abcde | |
| 150 | 36.37 ± 0.29 c | 9.00 ± 0.59 a | |
| ‘Traverse’ | 0 | 24.93 ± 1.04 hi | 3.11 ± 0.50 e |
| 30 | 35.65 ± 0.76 cd | 5.50 ± 2.81 abcde | |
| 60 | 32.59 ± 0.75 e | 4.65 ± 1.17 cde | |
| 90 | 35.48 ± 1.32 cd | 5.86 ± 1.96 abcde | |
| 120 | 37.68 ± 0.76 a | 6.08 ± 0.65 abcde | |
| 150 | 35.65 ± 1.04 cd | 6.34 ± 0.50 abcde | |
| LSD 0.05 | 1.255 | ||
| CV% | 2.3 | ||
| DPPH (IC50, mg/mL) | |||
| ‘Acadia’ | 0 | 1.90 ± 0.03 cdef | 2.27 ± 0.51 a |
| 30 | 1.96 ± 1.96 efg | 2.54 ± 0.85 a | |
| 60 | 2.04 ± 0.02 gh | 1.83 ± 0.40 a | |
| 90 | 1.89 ± 0.03 cde | 2.49 ± 0.30 a | |
| 120 | 2.08 ± 0.06 hi | 3.68 ± 0.08 ab | |
| 150 | 2.69 ± 0.05 k | 4.79 ± 0.21 ab | |
| ‘Crosstrek’ | 0 | 1.85 ± 0.04 cd | 4.91 ± 2.53 ab |
| 30 | 1.93 ± 0.02 def | 3.99 ± 1.62 ab | |
| 60 | 1.95 ± 0.02 efg | 2.81 ± 0.49 a | |
| 90 | 1.83 ± 0.01 c | 5.42 ± 0.43 ab | |
| 120 | 2.16 ± 0.03 i | 5.36 ± 0.82 ab | |
| 150 | 2.29 ± 0.02 j | 7.82 ± 3.94 b | |
| ‘Traverse’ | 0 | 1.52 ± 0.02 a | 3.22 ± 0.64 ab |
| 30 | 1.67 ± 0.01 b | 3.95 ± 0.70 ab | |
| 60 | 1.84 ± 0.01 cd | 4.24 ± 0.82 ab | |
| 90 | 1.58 ± 0.07 ab | 2.59 ± 0.53 a | |
| 120 | 1.89 ± 0.02 cde | 3.25 ± 0.55 ab | |
| 150 | 1.99 ± 0.00 fgh | 3.39 ± 0.28 ab | |
| ABTS (IC50, mg/mL) | |||
| ‘Acadia’ | 0 | 2.00 ± 0.03 b | 2.28 ± 0.04 abc |
| 30 | 3.37 ± 0.02 g | 2.23 ± 0.19 ab | |
| 60 | 3.73 ± 0.07 hi | 2.59 ± 0.15 abcd | |
| 90 | 2.59 ± 0.01 de | 3.00 ± 0.61 cd | |
| 120 | 2.30 ± 0.02 c | 2.84 ± 0.20 bcd | |
| 150 | 2.18 ± 0.05 c | 3.13 ± 0.23 d | |
| ‘Crosstrek’ | 0 | 1.82 ± 0.03 a | 2.11 ± 0.03 ab |
| 30 | 2.88 ± 0.08 f | 2.10 ± 0.03 ab | |
| 60 | 3.61 ± 0.03 h | 1.96 ± 0.08 a | |
| 90 | 2.51 ± 0.08 de | 1.99 ± 0.15 a | |
| 120 | 2.51 ± 0.06 de | 2.21 ± 0.25 ab | |
| 150 | 1.93 ± 0.06 ab | 2.29 ± 0.05 abc | |
| ‘Traverse’ | 0 | 1.93 ± 0.03 ab | 2.52 ± 0.05 abcd |
| 30 | 2.95 ± 0.06 f | 2.16 ± 0.05 ab | |
| 60 | 3.76 ± 0.05 i | 1.91 ± 0.25 a | |
| 90 | 2.64 ± 0.03 e | 2.09 ± 0.19 ab | |
| 120 | 2.46 ± 0.06 d | 2.23 ± 0.60 ab | |
| 150 | 2.18 ± 0.01 c | 2.57 ± 0.03 abcd | |
Disclaimer/Publisher’s Note: The statements, opinions and data contained in all publications are solely those of the individual author(s) and contributor(s) and not of MDPI and/or the editor(s). MDPI and/or the editor(s) disclaim responsibility for any injury to people or property resulting from any ideas, methods, instructions or products referred to in the content. |
© 2024 by the authors. Licensee MDPI, Basel, Switzerland. This article is an open access article distributed under the terms and conditions of the Creative Commons Attribution (CC BY) license (https://creativecommons.org/licenses/by/4.0/).
Share and Cite
Bhengu, N.M.; Mianda, S.M.; Maboko, M.M.; Sivakumar, D. The Effects of Nitrogen Application and Varietal Variation on the Product Quality and In Vitro Bioaccessibility of Bioactive Compounds of Baby Spinach Varieties Grown in a Soilless Growth Medium. Foods 2024, 13, 2667. https://doi.org/10.3390/foods13172667
Bhengu NM, Mianda SM, Maboko MM, Sivakumar D. The Effects of Nitrogen Application and Varietal Variation on the Product Quality and In Vitro Bioaccessibility of Bioactive Compounds of Baby Spinach Varieties Grown in a Soilless Growth Medium. Foods. 2024; 13(17):2667. https://doi.org/10.3390/foods13172667
Chicago/Turabian StyleBhengu, Nhlanzeko Mbalenhle, Sephora Mutombo Mianda, Martin Makgose Maboko, and Dharini Sivakumar. 2024. "The Effects of Nitrogen Application and Varietal Variation on the Product Quality and In Vitro Bioaccessibility of Bioactive Compounds of Baby Spinach Varieties Grown in a Soilless Growth Medium" Foods 13, no. 17: 2667. https://doi.org/10.3390/foods13172667
APA StyleBhengu, N. M., Mianda, S. M., Maboko, M. M., & Sivakumar, D. (2024). The Effects of Nitrogen Application and Varietal Variation on the Product Quality and In Vitro Bioaccessibility of Bioactive Compounds of Baby Spinach Varieties Grown in a Soilless Growth Medium. Foods, 13(17), 2667. https://doi.org/10.3390/foods13172667

