Long–Chain Saturated Fatty Acids in Olive Diacylglycerol Stearin Enhances Resistant Starch Content of Candelilla Wax Oleogel Cookies
Abstract
1. Introduction
2. Materials and Methods
2.1. Materials
2.2. Oleogel Preparation
2.3. Cookies Preparation
2.4. Fatty Acid Profile
2.5. Peroxide Value (PV)
2.6. Scanning Electron Microscopy (SEM) of Cookies
2.7. The Content of Total Starch
2.8. In Vitro Digestibility
2.9. X–ray Diffraction (XRD)
2.10. Differential Scanning Calorimeter (DSC)
2.11. Fourier Transform Infrared (FTIR) Spectroscopy
2.12. Statistical Analysis
3. Results and Discussion
3.1. Fatty Acid Composition of Stortening and Oleogels
3.2. Microstructure of Cookies
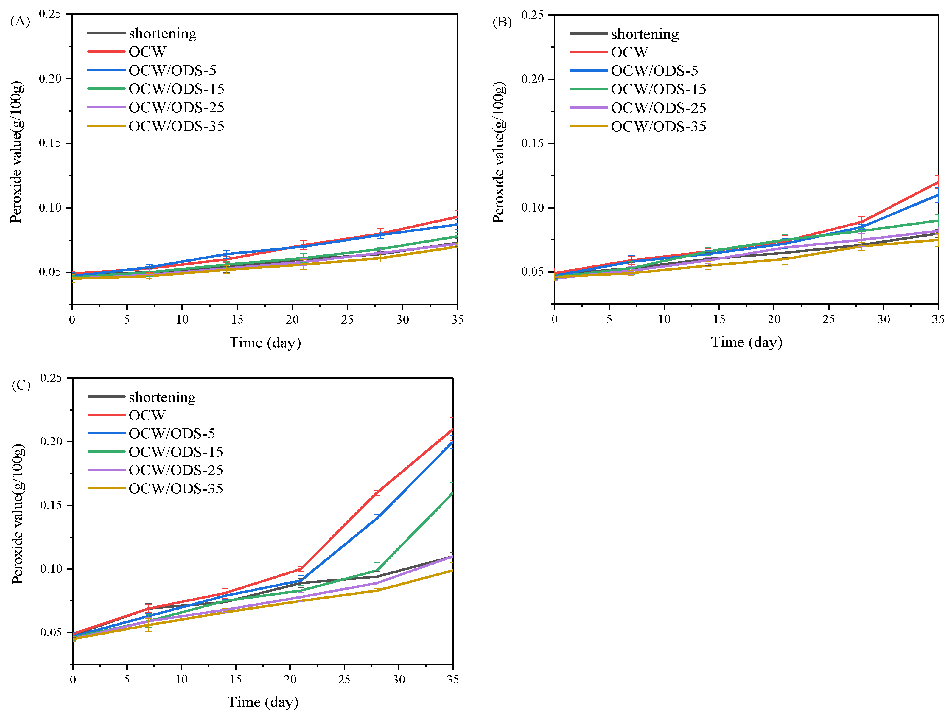
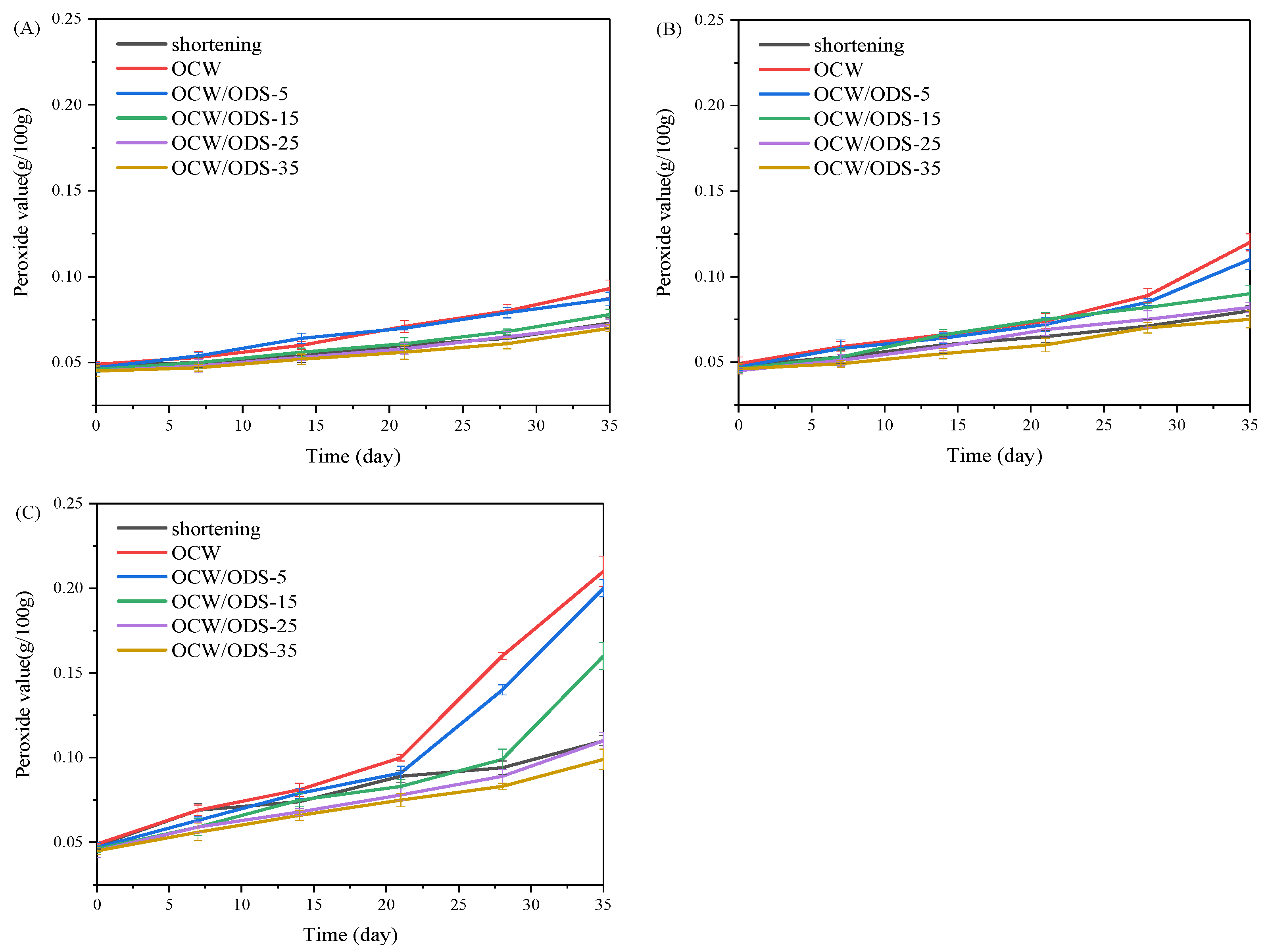
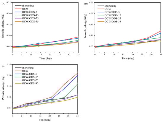
3.3. Oxidative Stability of Cookies
3.4. The Digestibility of Cookies
3.5. The Fundamental Mechanism of Oleogel on the Cookies Digestibility
3.5.1. Crystalline Structure of Cookies
3.5.2. Gelatinization Properties of Cookies
3.5.3. FTIR Spectra of Cookies
4. Conclusions
Author Contributions
Funding
Institutional Review Board Statement
Informed Consent Statement
Data Availability Statement
Conflicts of Interest
References
- Qi, K.; Yi, X.; Li, C. Effects of endogenous macronutrients and processing conditions on starch digestibility in wheat bread. Carbohydr. Polym. 2022, 295, 119874. [Google Scholar] [CrossRef] [PubMed]
- Marangoni, A.G. Organogels: An Alternative Edible Oil–Structuring Method. J. Am. Oil Chem. Soc. 2012, 89, 749–780. [Google Scholar]
- Acevedo, N.C.; Marangoni, A.G. Characterization of the Nanoscale in Triacylglycerol Crystal Networks. Cryst. Growth Des. 2010, 10, 3327–3333. [Google Scholar] [CrossRef]
- Chen, X.; Ding, S.; Chen, Y.; Lan, D.; Wang, W.; Wang, Y. Assessing the effectiveness of peanut diacylglycerol oil–ethylcellulose/monoglyceride–based oleogel in sponge cake as a margarine replacer. Food Biosci. 2023, 55, 102959. [Google Scholar] [CrossRef]
- Aranda–Ledesma, N.E.; Bautista–Hernández, I.; Rojas, R.; Aguilar–Zárate, P.; Medina–Herrera, N.d.P.; Castro–López, C.; Guadalupe Martínez–Ávila, G.C. Candelilla wax: Prospective suitable applications within the food field. LWT 2022, 159, 113170. [Google Scholar] [CrossRef]
- Ghazani, S.M.; Dobson, S.; Marangoni, A.G. Hardness, plasticity, and oil binding capacity of binary mixtures of natural waxes in oliveoil. Curr. Res. Food Sci. 2022, 5, 998–1008. [Google Scholar] [CrossRef] [PubMed]
- Wang, F.C.; Gravelle, A.J.; Blake, A.I.; Marangoni, A.G. Novel trans fat replacement strategies. Curr. Opin. Food Sci. 2016, 7, 27–34. [Google Scholar] [CrossRef]
- Barragán–Martínez, L.P.; Román–Guerrero, A.; Vernon–Carter, E.J.; Alvarez–Ramirez, J. Impact of fat replacement by a hybrid gel (canola oil/candelilla wax oleogel and gelatinized corn starch hydrogel) on dough viscoelasticity, color, texture, structure, and starch digestibility of sugar–snap cookies. Int. J. Gastron. Food Sci. 2022, 29, 100563. [Google Scholar] [CrossRef]
- Xie, L.; Zhou, W.; Zhao, L.; Peng, J.; Zhou, X.; Qian, X.; Lu, L. Impact of okara on quality and in vitro starch digestibility of noodles: The view based on physicochemical and structural properties. Int. J. Biol. Macromol. 2023, 237, 124105. [Google Scholar] [CrossRef] [PubMed]
- Xu, H.; Hao, Z.; Zhang, J.; Liu, H.; Deng, C.; Yu, Z.; Zheng, M.; Liu, Y.; Zhou, Y.; Xiao, Y. Influence pathways of nanocrystalline cellulose on the digestibility of corn starch: Gelatinization, structural properties, and alpha–amylase activity perspective. Carbohydr. Polym. 2023, 314, 120940. [Google Scholar] [CrossRef] [PubMed]
- da Silva, R.C.; Soares, D.F.; Lourenço, M.B.; Soares, F.A.S.M.; da Silva, K.G.; Gonçalves, M.I.A.; Gioielli, L.A. Structured lipids obtained by chemical interesterification of olive oil and palm stearin. LWT Food Sci. Technol. 2010, 43, 752–758. [Google Scholar] [CrossRef]
- Feng, Y.; Junejo, S.A.; Zhang, B.; Fu, X.; Huang, Q. Amylose complexation with diacylglycerols involves multiple intermolecular interaction mechanisms. Food Hydrocoll. 2024, 146, 109251. [Google Scholar] [CrossRef]
- Chen, X.; Lan, D.; Li, D.; Wang, W.; Wang, Y. Enhancement of resistant starch content in ethyl cellulose–based oleogels cakes with the incorporation of glycerol monostearate. Curr. Res. Food Sci. 2024, 8, 100770. [Google Scholar] [CrossRef] [PubMed]
- Liu, Q.; Wang, Y.; Yang, Y.; Yu, X.; Xu, L.; Jiao, A.; Jin, Z. Structure, physicochemical properties and in vitro digestibility of extruded starch–lauric acid complexes with different amylose contents. Food Hydrocoll. 2023, 136, 108239. [Google Scholar] [CrossRef]
- Zhou, J.; Guo, J.; Gladden, I.; Contreras, A.; Kong, L. Complexation ability and physicochemical properties of starch inclusion complexes with C18 fatty acids. Food Hydrocoll. 2022, 123, 107175. [Google Scholar] [CrossRef]
- Xu, Q.; Wang, W.; Sun–Waterhouse, D.; Yan, M.; Zou, Q.; Liu, X.; Lan, D.; Wang, Y. Exploring the fates and molecular changes of different diacylglycerol–rich lipids during in vitro digestion. Food Chem. 2023, 416, 135677. [Google Scholar] [CrossRef] [PubMed]
- Liu, X.; Xu, W.; Wang, W.; Luo, R.; Yang, B.; Lan, D.; Wang, Y. Physicochemical properties and feasibility of coconut oil–based diacylglycerol as an alternative fat for healthy non–dairy creamer. Food Chem. X 2023, 19, 100749. [Google Scholar] [CrossRef] [PubMed]
- Fonseca, L.M.; Halal, S.; Dias, A.R.G.; Zavareze, E.D.R. Physical modification of starch by heat–moisture treatment and annealing and their applications: A review. Carbohydr. Polym. 2021, 274, 118665. [Google Scholar] [CrossRef]
- Liu, K.; Liu, Q. Enzymatic determination of total starch and degree of starch gelatinization in various products. Food Hydrocoll. 2020, 103, 105639. [Google Scholar] [CrossRef]
- Alvarez–Ramirez, J.; Vernon–Carter, E.J.; Carrera–Tarela, Y.; Garcia, A.; Roldan–Cruz, C. Effects of candelilla wax/canola oil oleogel on the rheology, texture, thermal properties and in vitro starch digestibility of wheat sponge cake bread. LWT 2020, 130, 109701. [Google Scholar] [CrossRef]
- Kaur, H.; Gill, B.S. Changes in physicochemical, nutritional characteristics and ATR–FTIR molecular interactions of cereal grains during germination. J. Food Sci. Technol. 2021, 58, 2313–2324. [Google Scholar] [CrossRef] [PubMed]
- Abramovič, H.; Vidrih, R.; Zlatić, E.; Kokalj, D.; Schreiner, M.; Žmitek, K.; Kušar, A.; Pravst, I. Trans fatty acids in margarines and shortenings in the food supply in Slovenia. J. Food Compos. Anal. 2018, 74, 53–61. [Google Scholar] [CrossRef]
- Shafika Abdul Kadir, N.; Khor, Y.P.; Lee, Y.J.; Lan, D.; Qi, S.; Wang, Y.; Tan, C.P. Formation of 3–MCPD and glycidyl esters in biscuits produced using soybean oil–based diacylglycerol stearin–shortening blends: Impacts of different baking temperatures and blending ratios. Food Res. Int. 2022, 162, 112055. [Google Scholar] [CrossRef] [PubMed]
- Chen, J.; Liu, H. Nutritional Indices for Assessing Fatty Acids: A Mini—Review. Int. J. Mol. Sci. 2020, 21, 5695. [Google Scholar] [CrossRef] [PubMed]
- Xu, H.; Hao, Z.; Gao, J.; Zhou, Q.; Li, W.; Liao, X.; Zheng, M.; Zhou, Y.; Yu, Z.; Song, C.; et al. Complexation between rice starch and cellulose nanocrystal from black tea residues: Gelatinization properties and digestibility in vitro. Int. J. Biol. Macromol. 2023, 234, 123695. [Google Scholar] [CrossRef] [PubMed]
- Zhang, M.; Hou, Y.; Chen, X.; Zhao, P.; Wang, Z.; Huang, J.; Hui, C.; Li, C. Amylose molecular weight affects the complexing state and digestibility of the resulting starch–lipid complexes. Carbohydr. Polym. 2024, 342, 122400. [Google Scholar] [CrossRef] [PubMed]
- Luo, S.-Z.; Hu, X.-F.; Jia, Y.-J.; Pan, L.-H.; Zheng, Z.; Zhao, Y.-Y.; Mu, D.-D.; Zhong, X.-Y.; Jiang, S.-T. Camellia oil–based oleogels structuring with tea polyphenol–palmitate particles and citrus pectin by emulsion–templated method: Preparation, characterization and potential application. Food Hydrocoll. 2019, 95, 76–87. [Google Scholar] [CrossRef]
- Millao, S.; Iturra, N.; Contardo, I.; Morales, E.; Quilaqueo, M.; Rubilar, M. Structuring of oils with high PUFA content: Evaluation of the formulation conditions on the oxidative stability and structural properties of ethylcellulose oleogels. Food Chem. 2023, 405, 134772. [Google Scholar] [CrossRef] [PubMed]
- Zhang, G.; Xuan, Y.; Lyu, F.; Ding, Y. Microstructural, physicochemical properties and starch digestibility of brown rice flour treated with extrusion and heat moisture. Int. J. Biol. Macromol. 2023, 242, 124594. [Google Scholar] [CrossRef] [PubMed]
- Xu, X.; Meng, L.; Gao, C.; Cheng, W.; Yang, Y.; Shen, X.; Tang, X. Construction of starch–sodium alginate interpenetrating polymer network and its effects on structure, cooking quality and in vitro starch digestibility of extruded whole buckwheat noodles. Food Hydrocoll. 2023, 143, 108876. [Google Scholar] [CrossRef]
- Liang, W.; Ding, L.; Guo, K.; Liu, Y.; Wen, X.; Kirkensgaard, J.J.K.; Khakimov, B.; Enemark–Rasmussen, K.; Henrik Hebelstrup, K.; Herburger, K.; et al. The relationship between starch structure and digestibility by time–course digestion of amylopectin–only and amylose–only barley starches. Food Hydrocoll. 2023, 139, 108491. [Google Scholar] [CrossRef]
- Ahmed, M.I.; Xua, X.; Sulieman, A.A.; Mahdi, A.A.; Na, Y. Effects of fermentation time on rheological and physicochemical characteristics of koreeb (Dactyloctenium aegyptium) seed flour dough and kisra bread. J. Food Meas. Charact. 2019, 13, 2136–2146. [Google Scholar] [CrossRef]
- Zheng, L.; Zhong, J.; Liu, X.; Wang, Q.; Qin, X. Physicochemical properties and intermolecular interactions of a novel diacylglycerol oil oleogel made with ethyl cellulose as affected by γ–oryzanol. Food Hydrocoll. 2023, 138, 108484. [Google Scholar] [CrossRef]
- Ding, L.; Xie, Z.; Fu, X.; Wang, Z.; Huang, Q.; Zhang, B. Structural and in vitro starch digestion properties of potato parenchyma cells: Effects of gelatinization degree. Food Hydrocoll. 2021, 113, 106464. [Google Scholar] [CrossRef]
- Cheng, Z.; Li, J.; Qiao, D.; Wang, L.; Zhao, S.; Zhang, B. Microwave reheating enriches resistant starch in cold–chain cooked rice: A view of structural alterations during digestion. Int. J. Biol. Macromol. 2022, 208, 80–87. [Google Scholar] [CrossRef] [PubMed]
- Henning, F.G.; Schnitzler, E.; Demiate, I.M.; Lacerda, L.G.; Ito, V.C.; Malucelli, L.C.; da Silva Carvalho Filho, M.A. Fortified Rice Starches: The Role of Hydrothermal Treatments in Zinc Entrapment. Starch Stärke 2019, 71, 1800130. [Google Scholar] [CrossRef]
- Althawab, S.A.; Amoako, D.B.; Annor, G.A.; Awika, J.M. Stability of starch–proanthocyanidin complexes to in–vitro amylase digestion after hydrothermal processing. Food Chem. 2023, 421, 136182. [Google Scholar] [CrossRef] [PubMed]
- Cho, I.K.; Kim, S.; Khurana, H.K.; Li, Q.X.; Jun, S. Quantification of trans fatty acid content in French fries of local food service retailers using attenuated total reflection—Fourier transform infrared spectroscopy. Food Chem. 2011, 125, 1121–1125. [Google Scholar] [CrossRef]
- Wang, S.; Wang, J.; Zhang, W.; Li, C.; Yu, J.; Wang, S. Molecular order and functional properties of starches from three waxy wheat varieties grown in China. Food Chem. 2015, 181, 43–50. [Google Scholar] [CrossRef] [PubMed]
- Tang, Z.; Fan, J.; Zhang, Z.; Zhang, W.; Yang, J.; Liu, L.; Yang, Z.; Zeng, X. Insights into the structural characteristics and in vitro starch digestibility on steamed rice bread as affected by the addition of okara. Food Hydrocoll. 2021, 113, 106533. [Google Scholar] [CrossRef]
- Yan, Y.; Feng, L.; Shi, M.; Cui, C.; Liu, Y. Effect of plasma–activated water on the structure and in vitro digestibility of waxy and normal maize starches during heat–moisture treatment. Food Chem. 2020, 306, 125589. [Google Scholar] [CrossRef] [PubMed]
- Wang, B.; Dong, Y.; Fang, Y.; Gao, W.; Kang, X.; Liu, P.; Yan, S.; Cui, B.; Abd El–Aty, A.M. Effects of different moisture contents on the structure and properties of corn starch during extrusion. Food Chem. 2022, 368, 130804. [Google Scholar] [CrossRef] [PubMed]
- Muscat, D.; Adhikari, R.; McKnight, S.; Guo, Q.; Adhikari, B. The physicochemical characteristics and hydrophobicity of high amylose starch–glycerol films in the presence of three natural waxes. J. Food Eng. 2013, 119, 205–219. [Google Scholar] [CrossRef]






| Sample | Shortening | ODO | ODS | OCW | OCW/ODS–15 | OCW/ODS–25 | OCW/ODS–35 | |
|---|---|---|---|---|---|---|---|---|
| Fatty acid composition (%) | C6–15:0 | 27.23 ± 0.01 a | – | – | – | – | – | – |
| C16:0 | 32.48 ± 0.01 a | 12.82 ± 0.03 g | 20.24 ± 0.03 b | 13.36 ± 0.02 f | 13.90 ± 0.03 e | 14.26 ± 0.04 d | 14.52 ± 0.06 c | |
| C16:1 | 2.16 ± 0.01 a | 0.91 ± 0.09 b | 0.83 ± 0.05 c | 0.91 ± 0.02 b | 0.91 ± 0.01 b | 0.9 ± 0.01 b | 0.91 ± 0.01 b | |
| C18:0 | 10.12 ± 0.02 a | 3.08 ± 0.01 g | 5.17 ± 0.01 b | 3.23 ± 0.02 f | 3.39 ± 0.01 e | 3.47 ± 0.03 d | 3.55 ± 0.02 c | |
| C18:1n9t | 3.73 ± 0.01 a | – | – | – | – | – | – | |
| C18:1n9c | 20.65 ± 0.02 g | 69.69 ± 0.01 a | 63.26 ± 0.01 f | 69.29 ± 0.00 b | 68.72 ± 0.05 c | 68.37 ± 0.01 d | 68.2 ± 0.01 e | |
| C18:2n6c | 1.11 ± 0.01 g | 11.8 ± 0.01 a | 8.83 ± 0.12 f | 11.5 ± 0.03 b | 11.42 ± 0.02 c | 11.24 ± 0.02 d | 11.09 ± 0.01 e | |
| C20:0 | – | 0.44 ± 0.02 d | 0.65 ± 0.02 a | 0.46 ± 0.01 c | 0.48 ± 0.00 b | 0.48 ± 0.00 b | 0.49 ± 0.01 b | |
| C20:1 | 1.33 ± 0.01 a | 1.27 ± 0.02 b | 0.96 ± 0.01 e | 1.24 ± 0.02 c | 1.24 ± 0.01 c | 1.22 ± 0.01 cd | 1.21 ± 0.00 d | |
| Fatty acid total amount (%) | SFA | 69.83 ± 0.03 a | 16.34 ± 0.02 g | 26.06 ± 0.01 b | 17.05 ± 0.04 f | 17.77 ± 0.02 e | 18.21 ± 0.02 d | 18.21 ± 0.03 c |
| MUFA | 27.87 ± 0.02 g | 71.87 ± 0.11 a | 65.05 ± 0.04 f | 71.44 ± 0.03 b | 70.87 ± 0.04 c | 70.5 ± 0.01 d | 70.32 ± 0.01 e | |
| PUFA | 1.11 ± 0.01 g | 11.8 ± 0.01 a | 8.83 ± 0.10 f | 11.5 ± 0.03 b | 11.42 ± 0.02 c | 11.24 ± 0.02 d | 11.09 ± 0.01 e | |
| Nutritional indexes | PUFA/SFA | 1.59 ± 0.02 | 72.20 ± 0.01 | 33.89 ± 0.45 | 67.47 ± 0.31 | 64.25 ± 0.06 | 61.73 ± 0.14 | 59.78 ± 0.25 |
| TFA | 3.73 ± 0.01 | – | – | – | – | – | – | |
| Sample | RDS | SDS | RS |
|---|---|---|---|
| shortening | 28.70 ± 1.01 d | 22.70 ± 0.95 d | 48.53 ± 0.71 b |
| OCW | 31.63 ± 0.91 b | 25.53 ± 0.74 c | 42.37 ± 0.85 de |
| OCW/ODS–5 | 34.97 ± 0.72 a | 21.57 ± 0.95 d | 43.50 ± 0.90 d |
| OCW/ODS–15 | 32.90 ± 0.75 a | 24.57 ± 0.75 c | 42.57 ± 0.86 de |
| OCW/ODS–25 | 19.47 ± 0.86 e | 28.77 ± 0.46 b | 46.10 ± 0.70 c |
| OCW/ODS–35 | 16.73 ± 0.96 f | 37.30 ± 0.91 a | 51.67 ± 0.85 a |
| Sample | To (°C) | Tp (°C) | Tc (°C) | ∆Hm (J/g) |
|---|---|---|---|---|
| shortening | 73.20 | 80.00 | 85.50 | 2.77 |
| OCW | – | – | – | – |
| OCW/ODS–5 | 81.90 | 83.30 | 86.20 | 0.90 |
| OCW/ODS–15 | 86.40 | 91.50 | 93.90 | 1.17 |
| OCW/ODS–25 | 69.70 | 76.60 | 85.30 | 67.78 |
| OCW/ODS–35 | 52.60 | 80.00 | 92.10 | 437.70 |
Disclaimer/Publisher’s Note: The statements, opinions and data contained in all publications are solely those of the individual author(s) and contributor(s) and not of MDPI and/or the editor(s). MDPI and/or the editor(s) disclaim responsibility for any injury to people or property resulting from any ideas, methods, instructions or products referred to in the content. |
© 2024 by the authors. Licensee MDPI, Basel, Switzerland. This article is an open access article distributed under the terms and conditions of the Creative Commons Attribution (CC BY) license (https://creativecommons.org/licenses/by/4.0/).
Share and Cite
Chen, X.; Chen, X.; Li, D.; Wang, W. Long–Chain Saturated Fatty Acids in Olive Diacylglycerol Stearin Enhances Resistant Starch Content of Candelilla Wax Oleogel Cookies. Foods 2024, 13, 2589. https://doi.org/10.3390/foods13162589
Chen X, Chen X, Li D, Wang W. Long–Chain Saturated Fatty Acids in Olive Diacylglycerol Stearin Enhances Resistant Starch Content of Candelilla Wax Oleogel Cookies. Foods. 2024; 13(16):2589. https://doi.org/10.3390/foods13162589
Chicago/Turabian StyleChen, Xiaohan, Xiaoxia Chen, Daoming Li, and Weifei Wang. 2024. "Long–Chain Saturated Fatty Acids in Olive Diacylglycerol Stearin Enhances Resistant Starch Content of Candelilla Wax Oleogel Cookies" Foods 13, no. 16: 2589. https://doi.org/10.3390/foods13162589
APA StyleChen, X., Chen, X., Li, D., & Wang, W. (2024). Long–Chain Saturated Fatty Acids in Olive Diacylglycerol Stearin Enhances Resistant Starch Content of Candelilla Wax Oleogel Cookies. Foods, 13(16), 2589. https://doi.org/10.3390/foods13162589

