Modifications of the Structural, Nutritional, and Allergenic Properties of Atlantic Cod Induced by Novel Thermal Glycation Treatments
Abstract
1. Introduction
2. Materials and Methods
2.1. Sample Preparation
2.2. Total Soluble Protein Content
2.3. Peptide Content
2.4. In Vitro Protein Digestibility
2.5. FTIR Analysis
2.6. CD Spectra Analysis
2.7. SEM Observation
2.8. SDS-PAGE Analysis
2.9. ELISA Analysis
2.10. Statistical Analysis
3. Results and Discussions
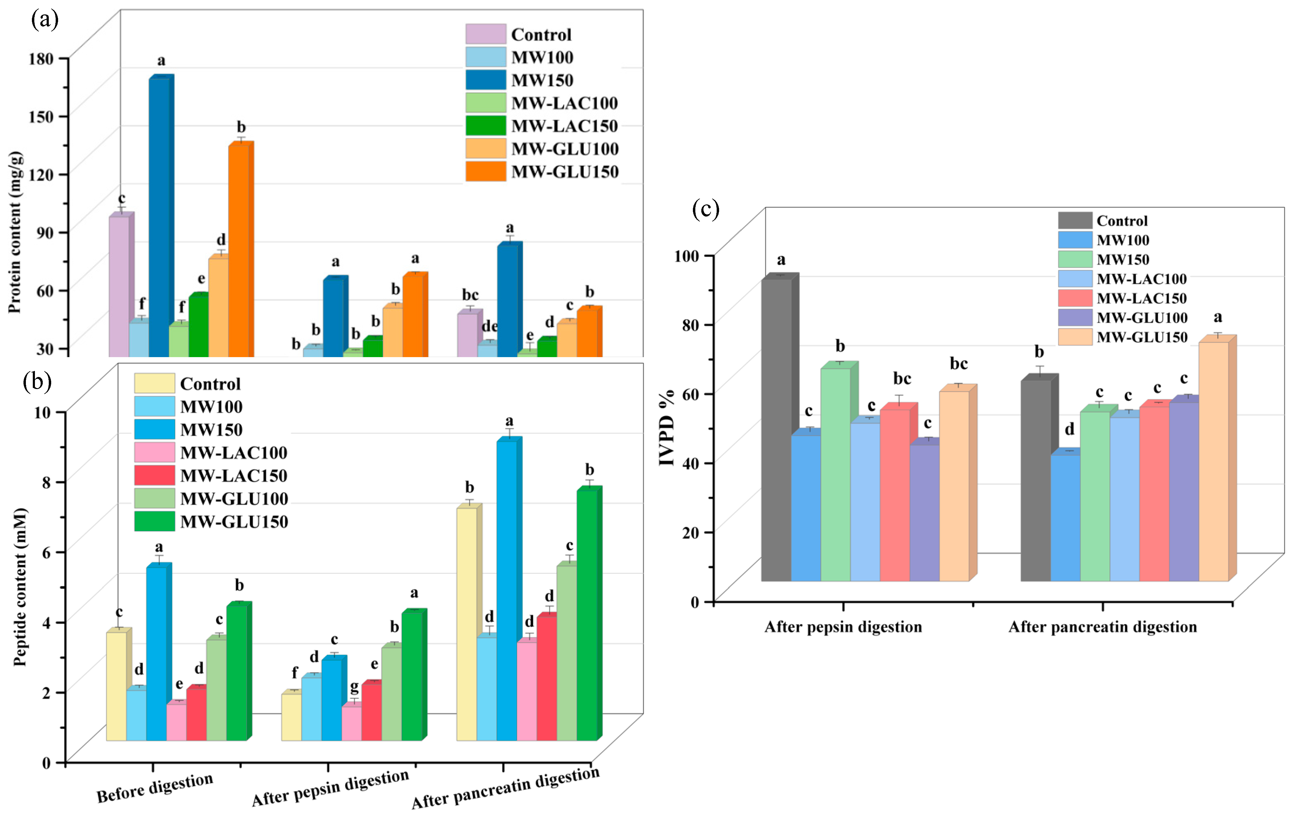
3.1. Protein and Peptide Content
3.2. In Vitro Protein Digestibility (IVPD)
3.3. FTIR and CD Spectra Analysis
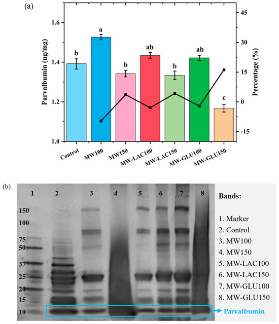
3.4. ELISA Analysis and SDS-PAGE
3.5. SEM Observation
4. Conclusions
Author Contributions
Funding
Institutional Review Board Statement
Informed Consent Statement
Data Availability Statement
Conflicts of Interest
References
- Kalic, T.; Radauer, C.; Lopata, A.L.; Breiteneder, H.; Hafner, C. Fish allergy around the world—Precise diagnosis to facilitate patient management. Front. Allergy 2021, 2, 71. [Google Scholar]
- Tsai, C.-L.; Perng, K.; Hou, Y.-C.; Shen, C.-J.; Chen, I.-N.; Chen, Y.-T. Effect of species, muscle location, food processing and refrigerated storage on the fish allergens, tropomyosin and parvalbumin. Food Chem. 2023, 402, 134479. [Google Scholar] [CrossRef] [PubMed]
- Mukherjee, S.; Horka, P.; Zdenkova, K.; Cermakova, E. Parvalbumin: A Major Fish Allergen and a Forensically Relevant Marker. Genes 2023, 14, 223. [Google Scholar] [CrossRef] [PubMed]
- Dong, X.; Wang, J.; Raghavan, V. Impact of microwave processing on the secondary structure, in-vitro protein digestibility and allergenicity of shrimp (Litopenaeus vannamei) proteins. Food Chem. 2021, 337, 127811. [Google Scholar] [CrossRef] [PubMed]
- Salazar-González, C.; Martín-González, S.; Fernanda, M.; López-Malo, A.; Sosa-Morales, M.E. Recent studies related to microwave processing of fluid foods. Food Bioprocess Technol. 2012, 5, 31–46. [Google Scholar] [CrossRef]
- Zhang, Q.; Huang, Z.; Li, H.; Cen, C.; Zheng, R.; Lili, C.; Zhang, S.; Wang, Y.; Fu, L. Deciphering Changes in the Structure and IgE-Binding Ability of Ovalbumin Glycated by α-Dicarbonyl Compounds under Simulated Heating. J. Agric. Food Chem. 2022, 70, 1984–1995. [Google Scholar] [CrossRef] [PubMed]
- Hu, Y.; Chen, H.; Xiao, L.; Chu, L.; Wang, S.; Wang, H. Comparison of ovalbumin glycation by microwave irradiation and conventional heating. LWT 2019, 116, 108560. [Google Scholar] [CrossRef]
- Ertugrul, U.; Namli, S.; Tas, O.; Kocadagli, T.; Gokmen, V.; Sumnu, S.G.; Oztop, M.H. Pea protein properties are altered following glycation by microwave heating. LWT 2021, 150, 111939. [Google Scholar] [CrossRef]
- Wu, Y.; Dong, L.; Liu, H.; Niu, Z.; Zhang, Y.; Wang, S. Effect of glycation on the structural modification of β-conglycinin and the formation of advanced glycation end products during the thermal processing of food. Eur. Food Res. Technol. 2020, 246, 2259–2270. [Google Scholar] [CrossRef]
- Zhao, Y.-J.; Cai, Q.-F.; Jin, T.-c.; Zhang, L.-J.; Fei, D.-X.; Liu, G.-M.; Cao, M.-J. Effect of Maillard reaction on the structural and immunological properties of recombinant silver carp parvalbumin. LWT 2017, 75, 25–33. [Google Scholar] [CrossRef]
- Dong, X.; Raghavan, V. High-intensity ultrasound treatment of Atlantic cod: Impact on nutrients, structure, sensory quality, bioactivity, and in-vitro digestibility. Food Res. Int. 2024, 186, 114363. [Google Scholar] [CrossRef] [PubMed]
- Khalid, W.; Maggiolino, A.; Kour, J.; Arshad, M.S.; Aslam, N.; Afzal, M.F.; Meghwar, P.; Zafar, K.-u.-W.; De Palo, P.; Korma, S.A. Dynamic alterations in protein, sensory, chemical, and oxidative properties occurring in meat during thermal and non-thermal processing techniques: A comprehensive review. Front. Nutr. 2023, 9, 1057457. [Google Scholar] [CrossRef] [PubMed]
- Mirmoghtadaie, L.; Aliabadi, S.S.; Hosseini, S.M. Recent approaches in physical modification of protein functionality. Food Chem. 2016, 199, 619–627. [Google Scholar] [CrossRef] [PubMed]
- Li, R.; Wu, Z.; Wang, Y.; Ding, L.; Wang, Y. Role of pH-induced structural change in protein aggregation in foam fractionation of bovine serum albumin. Biotechnol. Rep. 2016, 9, 46–52. [Google Scholar] [CrossRef] [PubMed]
- Ashaolu, T.J.; Lee, C.C.; Ashaolu, J.O.; Tarhan, O.; Pourjafar, H.; Jafari, S.M. Pepsin: An excellent proteolytic enzyme for the production of bioactive peptides. Food Rev. Int. 2023, 1–38. [Google Scholar] [CrossRef]
- Dwek, R.A. Glycobiology: Toward understanding the function of sugars. Chem. Rev. 1996, 96, 683–720. [Google Scholar] [CrossRef] [PubMed]
- Joye, I. Protein digestibility of cereal products. Foods 2019, 8, 199. [Google Scholar] [CrossRef]
- Wu, Y.; Dong, L.; Wu, Y.; Wu, D.; Zhang, Y.; Wang, S. Effect of methylglyoxal on the alteration in structure and digestibility of α-lactalbumin, and the formation of advanced glycation end products under simulated thermal processing. Food Sci. Nutr. 2021, 9, 2299–2307. [Google Scholar]
- Cardoso, H.B.; Wierenga, P.A.; Gruppen, H.; Schols, H.A. Maillard induced aggregation of individual milk proteins and interactions involved. Food Chem. 2019, 276, 652–661. [Google Scholar] [CrossRef] [PubMed]
- Rahaman, T.; Vasiljevic, T.; Ramchandran, L. Effect of processing on conformational changes of food proteins related to allergenicity. Trends Food Sci. Technol. 2016, 49, 24–34. [Google Scholar] [CrossRef]
- Ma, X.; Chen, H.; Gao, J.; Hu, C.; Li, X. Conformation affects the potential allergenicity of ovalbumin after heating and glycation. Food Addit. Contam. Part A 2013, 30, 1684–1692. [Google Scholar] [CrossRef]
- Baird, G.; Farrell, C.; Cheung, J.; Semple, A.; Blue, J.; Ahl, P.L. FTIR Spectroscopy Detects Intermolecular β-Sheet Formation Above the High Temperature T m for Two Monoclonal Antibodies. Protein J. 2020, 39, 318–327. [Google Scholar] [CrossRef]
- Wang, K.; Sun, D.-W.; Pu, H.; Wei, Q. Principles and applications of spectroscopic techniques for evaluating food protein conformational changes: A review. Trends Food Sci. Technol. 2017, 67, 207–219. [Google Scholar] [CrossRef]
- Zhu, Y.; Vanga, S.K.; Wang, J.; Raghavan, V. Effects of ultrasonic and microwave processing on avidin assay and secondary structures of egg white protein. Food Bioprocess Technol. 2018, 11, 1974–1984. [Google Scholar] [CrossRef]
- Pi, X.; Liu, J.; Sun, Y.; Ban, Q.; Cheng, J.; Guo, M. Heat-induced changes in epitopes and IgE binding capacity of soybean protein isolate. Food Chem. 2023, 405, 134830. [Google Scholar] [CrossRef]
- Huang, Z.; Jiang, Y.; Li, H.; Li, Q.; Gao, Z.; Zhang, Y.; Zhang, Q.; Fu, L. Effect of glycation derived from α-dicarbonyl compounds on the in vitro digestibility of ovalbumin: Tracing of advanced glycation end-products and immuno-active peptides. Food Res. Int. 2023, 169, 112842. [Google Scholar] [CrossRef]
- Gruber, P.; Becker, W.-M.; Hofmann, T. Influence of the maillard reaction on the allergenicity of rAra h 2, a recombinant major allergen from peanut (Arachis hypogaea), its major epitopes, and peanut agglutinin. J. Agric. Food Chem. 2005, 53, 2289–2296. [Google Scholar] [CrossRef]
- Kamble, D.B.; Singh, R.; Pal Kaur, B.; Rani, S.; Upadhyay, A. Effect of microwave processing on physicothermal properties, antioxidant potential, in vitro protein digestibility and microstructure of durum wheat semolina. J. Food Meas. Charact. 2020, 14, 761–769. [Google Scholar] [CrossRef]
- Wang, Y.; Liu, C.; Lang, H.; Hu, Z.; Wang, X.; Yang, Z.; Wang, Z.; Guo, Z.; Jiang, L. Effects of microwave on the structural and emulsifying properties and interfacial properties of oxidized soybean protein aggregates. Food Chem. X 2023, 19, 100861. [Google Scholar] [CrossRef]
- Luo, C.; Hu, C.; Gao, J.; Li, X.; Wu, Z.; Yang, A.; Chen, H. A potential practical approach to reduce Ara h 6 allergenicity by gamma irradiation. Food Chem. 2013, 136, 1141–1147. [Google Scholar] [CrossRef]
- Pi, X.; Sun, Y.; Guo, X.; Chen, Q.; Cheng, J.; Guo, M. Effects of thermal sterilization on the allergenicity of soybeans. LWT 2022, 154, 112678. [Google Scholar] [CrossRef]




| Treatments | Thermal Treatment | Temperature (°C) | Sugars | Duration (min) |
|---|---|---|---|---|
| Control | − | RT | − | 10 |
| MW100 | Microwave | 100 | − | 10 |
| MW150 | Microwave | 150 | − | 10 |
| MW-LAC100 | Microwave | 100 | Lactose | 10 |
| MW-LAC150 | Microwave | 150 | Lactose | 10 |
| MW-GLU100 | Microwave | 100 | Glucose | 10 |
| MW-GLU150 | Microwave | 150 | Glucose | 10 |
Disclaimer/Publisher’s Note: The statements, opinions and data contained in all publications are solely those of the individual author(s) and contributor(s) and not of MDPI and/or the editor(s). MDPI and/or the editor(s) disclaim responsibility for any injury to people or property resulting from any ideas, methods, instructions or products referred to in the content. |
© 2024 by the authors. Licensee MDPI, Basel, Switzerland. This article is an open access article distributed under the terms and conditions of the Creative Commons Attribution (CC BY) license (https://creativecommons.org/licenses/by/4.0/).
Share and Cite
Dong, X.; Raghavan, V. Modifications of the Structural, Nutritional, and Allergenic Properties of Atlantic Cod Induced by Novel Thermal Glycation Treatments. Foods 2024, 13, 2175. https://doi.org/10.3390/foods13142175
Dong X, Raghavan V. Modifications of the Structural, Nutritional, and Allergenic Properties of Atlantic Cod Induced by Novel Thermal Glycation Treatments. Foods. 2024; 13(14):2175. https://doi.org/10.3390/foods13142175
Chicago/Turabian StyleDong, Xin, and Vijaya Raghavan. 2024. "Modifications of the Structural, Nutritional, and Allergenic Properties of Atlantic Cod Induced by Novel Thermal Glycation Treatments" Foods 13, no. 14: 2175. https://doi.org/10.3390/foods13142175
APA StyleDong, X., & Raghavan, V. (2024). Modifications of the Structural, Nutritional, and Allergenic Properties of Atlantic Cod Induced by Novel Thermal Glycation Treatments. Foods, 13(14), 2175. https://doi.org/10.3390/foods13142175

