Key Aroma Differences in Volatile Compounds of Aged Feng-Flavored Baijiu Determined Using Sensory Descriptive Analysis and GC×GC–TOFMS
Abstract
1. Introduction
2. Materials and Methods
2.1. Samples and Reagents
2.2. Volatile Compound Analysis
2.2.1. Preparation of Internal Standard Solution
2.2.2. HS-SPME
2.2.3. GC×GC–TOFMS Method
2.3. Descriptive Sensory Analysis
2.4. Statistical Analysis
2.4.1. Data Processing
2.4.2. Chemometric Analysis
3. Results
3.1. Sensory Analysis Results
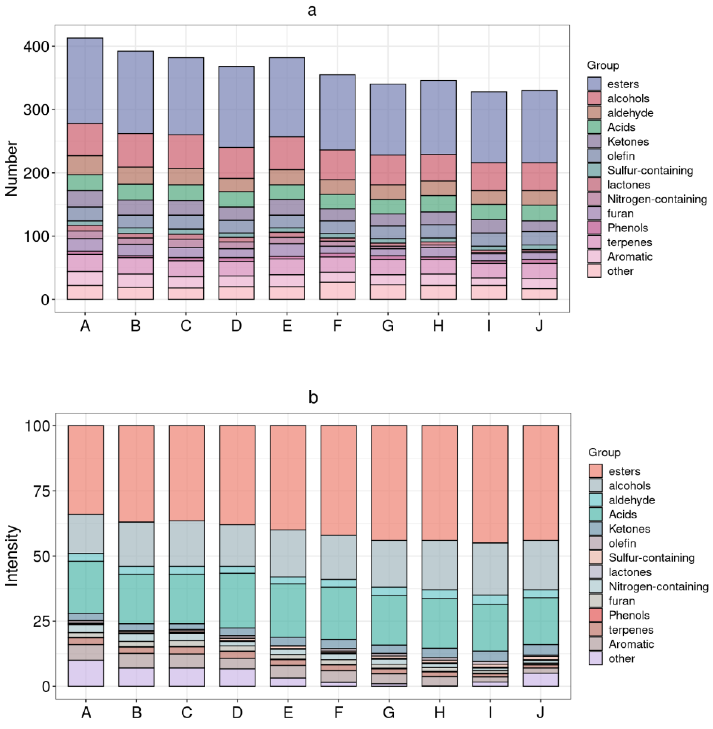
3.2. Identification of Volatile Compounds
3.3. Changes in Volatile Compounds during Storage
3.4. Difference Analysis of Volatile Compounds in Feng-Flavored Baijiu
3.5. Identification of Key Compound Differences in Feng-Flavored Baijiu of Different Ages
3.6. Correlation between Sensory Evaluation and Key Differential Compounds
4. Conclusions
Supplementary Materials
Author Contributions
Funding
Institutional Review Board Statement
Informed Consent Statement
Data Availability Statement
Acknowledgments
Conflicts of Interest
References
- Liu, L.L.; Yang, H.; Jing, X.; Xu, C.; Zhang, Y.F.; Yan, Z.K.; Qi, Y.H. Influence of different storage containers on the aroma composition of fengxiang-type Baijiu analyzed by gas chromatography-ion mobility spectroscopy and electronic nose. Food Sci. 2022, 43, 257–263. [Google Scholar]
- Wang, L.; Zhong, K.; Luo, A.; Chen, J.; Shen, Y.; Wang, X.; He, Q.; Gao, H. Dynamic changes in volatile compounds and bacterial diversity during the fourth to seventh rounds of Chinese soy sauce aroma liquor. Food Sci. Nutr. 2021, 9, 3500–3511. [Google Scholar] [CrossRef]
- Qin, D.; He, F.; Feng, S.B.; Li, H.H.; Zhang, N. Characterization of the volatile aroma compounds of Qingke Baijiu stored for different periods. Food Sci. 2021, 42, 99–107. [Google Scholar] [CrossRef]
- Cao, J.; Liu, K.; Zhang, A.; Yan, W.; Zheng, Y.; Zeng, Q. H- 1-NMR and viscosity studies of hydrogen bonding of Chinese rice wine. Cyta-J. Food 2018, 16, 776–785. [Google Scholar] [CrossRef]
- Wang, N.; Chen, S.; Zhou, Z. Characterization of volatile organic compounds as potential aging markers in Chinese rice wine using multivariable statistics. J. Sci. Food Agric. 2019, 99, 6444–6454. [Google Scholar] [CrossRef]
- Yang, H.; Liu, L.L.; Jing, X.; Zhang, Y.F.; Xu, C.; Yan, Z.K.; Qi, Y.H. Analysis the difference of Feng-flavour vintage base liquor based on the derivatization-GC-MS metabonomics method. Modern Food Sci. Technol. 2021, 37, 295–303. [Google Scholar] [CrossRef]
- Liu, L.; Yang, H.; Jing, X.; Zhang, Y.; Xu, C.; Yan, Z.; Qi, Y. Analysis of volatile compounds in aged Fengxiang crude Baijiu based on GC-MS and GC-IMS. Sci. Technol. Food Ind. 2022, 43, 318–327. [Google Scholar] [CrossRef]
- Yu, H.Y.; Zheng, D.W.; Xie, T.; Xie, J.R.; Tian, H.X.; Ai, L.Z.; Chen, C. Comprehensive two-dimensional gas chromatography mass spectrometry-based untargeted metabolomics to clarify the dynamic variations in the volatile composition of Huangjiu of different ages. Food Chem. 2022, 87, 1563–1574. [Google Scholar] [CrossRef]
- Li, X.; Du, J.; Liu, Y.Q.X.; Wu, G.; Yang, L.H.M.; Qiu, K.B. Determination of ethyl earbamate in Baijiu by SPME combined with GC × GC-TOFMS. Food Ferment. Ind. 2023, 49, 270–274. [Google Scholar] [CrossRef]
- Gou, M.; Bi, J.F.; Chen, Q.Q.; Wu, X.Y.; Fauconnier, M.L.; Qiao, Y.N. Advances and perspectives in fruits and vegetables flavor based on molecular sensory science. Food Rev. Int. 2023, 39, 3066–3079. [Google Scholar] [CrossRef]
- He, X.; Jelenh, H. Comprehensive two-dimensional gas chromatography-time-of-flight mass spectrometry (GC×GC-TOFMS) in conventional and reversed column configurations for the investigation of Baijiu aroma types and regional origins. J. Chromatogr. A 2021, 16, 461–774. [Google Scholar] [CrossRef]
- Dymerski, T. Two-dimensional gas chromatography coupled with mass spectrometry in food analysis. Crit. Rev. Anal. Chem. 2018, 48, 252–278. [Google Scholar] [CrossRef]
- Yu, M.G.; Yang, P.; Song, H.L.; Guan, X. Research progress in comprehensive two-dimensional gas chromatography-mass spectrometry and combination with olfactometry systems in the flavor analysis field. J. Food Compos. Anal. 2022, 114, 104790. [Google Scholar] [CrossRef]
- Yang, L.; He, J.J.; Luo, C.X.; Zhang, C.L. Analysis of volatile flavor compounds from defective product of sauce-flavor Baijiu by GC×GC-TOF-MS. China Brew. 2019, 38, 67–72. [Google Scholar] [CrossRef]
- Guan, Y.Q.; Xue, X.J.; Chen, X.J.; Du, X.F.; Yang, J.Y.; Li, Z.; Gao, Z.Y.; Cheng, W. Analysis of Volatile aroma components in Chaqu Qingxiang Baijiu by HS-SPME combined with GC×GC-TOF-MS. Liquor. Mak. Sci. Technol. 2022, 335, 117–119. [Google Scholar] [CrossRef]
- Yao, F.; Yi, B.; Shen, C.H.; Tao, F.; Liu, Y.M.; Lin, Z.X.; Xu, P. Chemical analysis of the Chinese liquor Luzhoulaojiao by comprehensive two-dimensional gas chromatography /time-of-flight mass spectrometry. Sci. Rep. 2015, 5, 9553. [Google Scholar] [CrossRef]
- Ren, J.M.; Chen, J.P.; Jia, W.; Li, Z.J.; Feng, Y.F.; Li, Y.L. Analysis of volatile components in Feng-flavor Baijiu by HS-SPME combined with GC×GC-TOF-MS. China Brew. 2023, 42, 231–234. [Google Scholar]
- Prebihalo, S.E.; Berrier, K.L.; Freye, C.E.; Bahaghighat, H.D.; Moore, N.R.; Pinkerton, D.K.; Synovec, R.E. Multidimensional gas chromatography: Advances in instrumentation, chemometrics, and applications. Anal. Chem. 2018, 90, 505–532. [Google Scholar] [CrossRef]
- Pollo, B.J.; Teixeira, C.A.; Belinato, J.R.; Furlan, M.F.; Cunha, I.C.M.; Vaz, C.R.; Volpato, G.V.; Augusto, F. Chemometrics, comprehensive two-dimensional gas chromatography and “omics” sciences: Basic tools and recent applications. TR Trends Anal. Chem. 2021, 134, 116111. [Google Scholar]
- Stefanuto, P.H.; Smolinska, A.; Focant, J.F. Advanced chemometric and data handling tools for GC×GC-TOFMS: The application of chemometrics and related advanced data handling for chemical separation. Trends Anal. Chem. 2021, 139, 116251. [Google Scholar] [CrossRef]
- Yan, Y.; Chen, S.; Nie, Y.; Xu, Y. Characterization of volatile sulfur compounds in soy sauce aroma-type Baijiu and changes during fermentation using GC×GC-TOFMS, organoleptic impact evaluation, and multivariate data analysis. Food Res. Int. 2020, 131, 109043. [Google Scholar] [CrossRef]
- Jia, W.; Fan, Z.B.; Du, A.; Shi, L.; Ren, J.M. Characterization of key odorants causing honey aroma in Feng-flavored Baijiu during the 17-year aging process by multivariate analysis combined with foodomics. Food Chem. 2022, 374, 2–9. [Google Scholar] [CrossRef]
- Yang, Y.X.; Cui, J.X.; Jiang, Z.L.; Zhao, X.H. GC×GC-ToF-MS combined with multivariate statistical methods to explore the effects of L. paracasei fermentation on bread flavor characteristics. Food Chem. 2024, 435, 137643. [Google Scholar] [CrossRef]
- GB/T 10345-2007; Method of Analysis for Chinese Spirits. Standards Press of China: Beijing, China, 2022.
- Ren, J.M.; Chen, J.P.; Jia, W.; Li, Z.J.; Li, Y.L.; Huang, T. Construction of flavor wheel of Feng-flavor Baijiu and study on sensory characteristics. China Brew. 2023, 42, 80–85. [Google Scholar]
- Liu, S.P.; Zhou, Z.L.; Yu, H.B.; Mao, L.G.; Pan, X.X.; Ji, Z.W.; Mao, J. Characterization of volatile aging markers in traditional semi-dry Huangjiu by comprehensive two-dimensional gas chromatography-time of flight mass spectrometry and chemometrics. Food Sci. 2023, 44, 249–258. [Google Scholar] [CrossRef]
- Guo, X.W.; Fan, E.D.; Ma, B.T.; Li, Z.X.; Zhang, Z.M.; Chen, Y.F.; Xiao, D.G. Recent progress in micro components of Chinese Baijiu. Food Sci. 2020, 41, 267–276. [Google Scholar] [CrossRef]
- Gao, W.J.; Fan, W.L.; Xu, Y. Characterization of the key odorants in light aroma-type Chinese liquor by gas chromatography. Olfactometry, quantitative measurements, and aroma recombination and omission studies. J. Agric. Food Chem. 2014, 62, 5796–5804. [Google Scholar] [CrossRef]
- Zhang, J.; Tian, Z.Q.; Ma, Y.Q.; Shao, F.L.; Huang, J.L.; Wu, H.; Tian, L. Origin identification of the sauce-flavored Chinese Baijiu by organic acids, trace elements, and stable carbon isotope ratio. J. Food Qual. 2019, 2019, 7525201. [Google Scholar] [CrossRef]
- Qin, D.; Duan, J.W.; He, F.; Li, H.H.; Sun, B.G. A review of changes of flavor compounds during Baijiu aging and recent progress in artificial aging techniques. Food Sci. 2021, 42, 260–267. [Google Scholar]
- Jia, Z.Y. Chinese Liquor Blending Technology, 1st ed.; Chemical Industry Press: Beijing, China, 2017; pp. 125–133. [Google Scholar]
- Zhu, J.Y.; Xie, C.Y.; Li, Y.Y. Structure analysis and design principles of liquor body. Liquor. Mak. Sci. Technol. 2016, 269, 83–84. [Google Scholar] [CrossRef]
- Shen, Y.F. Chinese Liquor Production Technology, 1st ed.; China Light Industry Press: Beijing, China, 1998; pp. 234–256. [Google Scholar]
- Zhang, M.; Yang, Y.Z.; Li, Q.; Wang, Y.; Ren, G.J. Metabolic pathway of main alcohols and aldehydes in Baijiu and its relationship with health drinking. Liquor. Mak. Sci. Technol. 2017, 1, 124–128. [Google Scholar] [CrossRef]
- Wang, L.L.; Gao, M.X.; Liu, Z.P.; Chen, S.; Xu, Y. Three extraction methods in combination with GC xGC-TOFMS for the detailed investigation of volatiles in chinese herbaceous aroma-type Baijiu. Molecules 2020, 25, 4429. [Google Scholar] [CrossRef]
- Juliana, M.; Aderval, L.; Diego, B.; Tatiana, P.; Jeremias, M.; Bruna, K.; Marcus, F.; Vinicius, M.; Hugo, S. Brazilian cheese: A survey covering physicochemical characteristics, mineral content, fatty acid profile, and volatile compounds. Food Res. Int. 2018, 108, 18–26. [Google Scholar] [CrossRef]
- Scandiffio, R.; Geddo, F.; Cottone, E.; Querio, G.; Antoniotti, S.; Gallo, M.P.; Maffei, M.E.; Bovolin, P. Protective effects of (E)-β-caryophyllene (BCP) in chronic inflammation. Nutrients 2020, 12, 3273. [Google Scholar] [CrossRef]
- Koyama, S.; Purk, A.; Kaur, M.; Soini, H.A.; Novotny, M.V.; Davis, K.; Kao, E.; Cheng, C.; Matsunami, H.; Mescher, A. Beta-caryophyllene enhances wound healing via multiple routes. PLoS ONE 2019, 14, 6021–6104. [Google Scholar] [CrossRef]
- Chen, C.; Liu, Z.; Yu, H.Y.; Tian, H.X. Flavor contribution of lactones in cheese and its biosynthetic regulation: A review. Modern Food Sci. Technol. 2020, 36, 305–312. [Google Scholar] [CrossRef]
- Ding, H.-L.; Shen, X.-J.; Song, C.; Xiong, Y.-F.; Deng, B.; Ao, L.; Zeng, S.; Li, J.; Yu, J. Research progress on pyrazines in healthy functional components of Chinese Baijiu. China Brew. 2022, 41, 8–12. [Google Scholar]
- Wang, X.L.; Fan, W.L.; Xu, Y. Comparison of aroma compounds in Chinese soy sauce and strong aroma type liquors by gas chromatography-olfactometry, chemical quantitative and odor activity value analysis. Euro. Food Res. Technol. 2014, 239, 813–825. [Google Scholar] [CrossRef]
- Fan, W.L.; Shen, H.Y.; Xu, Y. Quantification of volatile compounds in Chinese soy sauce aroma-type liquor by stir bar sorptive extraction and gas chromatography-mass spectrometry. J. Sci. Food Agric. 2011, 9, 1187–1198. [Google Scholar] [CrossRef]
- Fang, C.; Liu, Z.G.; Qiao, L.; Huang, J.L. Analysis of volatile characteristic flavors of three aroma types of Shanzhuang Laojiu by sensory quantitative descriptive analysis and gas chromatography mass spectrometry. Food Sci. 2023, 44, 291–299. [Google Scholar]
- Jia, Z.Y. Chinese Baijiu Tasting Treasure, 1st ed.; Chemical Industry Press: Beijing, China, 2016; pp. 22–36. [Google Scholar]
- Shi, Y.L.; Wang, C. Abnormal frame detection in elevator IoT data collection based on Pearson-LOF algorithm. Control Eng. China 2022, 29, 1457–1463. [Google Scholar] [CrossRef]
- Duan, J.W.; Cheng, W.; Lv, S.L.; Deng, W.Y.; Hu, X.J.; Li, H.H.; Sun, J.Y.; Zheng, F.P.; Sun, B.G. Characterization of key aroma compounds in soy sauce flavor Baijiu by molecular sensory science combined with aroma active compounds reverse verification method. Food Chem. 2024, 443, 138487. [Google Scholar] [CrossRef] [PubMed]
- Zhang, X.J.; Qiu, S.Y.; Zeng, Q.J.; He, H.; Dai, Y.F.; Zhou, H.X. Differences in volatile compounds in maotai-flavored Baijiu produced by different processes. Food Sci. 2022, 43, 279–285. [Google Scholar] [CrossRef]







| Number | Samples | Ages | Number | Samples | Ages |
|---|---|---|---|---|---|
| A | A1 | 30 | F | F | 10 |
| A2 | 30 | F | 10 | ||
| A3 | 30 | F | 10 | ||
| B | B1 | 25 | G | G1 | 5 |
| B2 | 25 | G2 | 5 | ||
| B3 | 25 | G3 | 5 | ||
| C | C1 | 20 | H | H1 | 3 |
| C2 | 20 | H2 | 3 | ||
| C3 | 20 | H | 3 | ||
| D | D1 | 18 | I | I | 1 |
| D2 | 18 | I | 1 | ||
| D3 | 18 | I | 1 | ||
| E | E1 | 15 | J | J1 | 0 |
| E2 | 15 | J2 | 0 | ||
| E3 | 15 | J3 | 0 |
| Compounds | 1DRt /s | 2DRt/s | Similarity | Relative Content (ug/L) | Oaroma Descriptors | |||||||||
|---|---|---|---|---|---|---|---|---|---|---|---|---|---|---|
| A | B | C | D | E | F | G | H | I | J | |||||
| Isoamyl nonanoate | 1789.91 | 2.68 | 861 | 287.45 ± 16.63 a | 321.11 ± 55.48 a | 166.87 ± 19.22 b | ND | 175.12 ± 95.56 b | 151.55 ± 75.18 b | 143.67 ± 21.19 b | 110.51 ± 122.88 c | 129.45 ± 19.63 c | 129.33 ± 58.13 c | fruity, floral, oily, nutty |
| Ethyl tiglate | 982.59 | 1.89 | 945 | 21.54 ±5.21 ab | 21.77 ±1.39 ab | 11.75 ± 5.21 c | 24.21 ± 0.77 a | 11.03 ± 2.3 c | 4.65 ± 1.82 d | ND | ND | ND | ND | fruity, raspberry, floral, sweet, |
| Cyclohexyl butyrate | 1271.94 | 2.41 | 912 | 71.91 ± 0.99 a | 75.43 ± 3.66 a | 65.66 ± 2.84 ab | 41.74 ± 0.83 c | 52.95 ± 5.21 b | 40.79 ± 1.42 c | 22.75 ± 2.89 d | 16.83 ± 1.73 d | ND | ND | fruity, green, apple, waxy |
| Propyl benzoate | 1801.91 | 1.71 | 845 | 11.51 ± 0.98 b | 8.62 ± 1.02 bc | 9.34 ± 1.05 b | 14.18 ± 1.26 a | 17.59 ± 1.36 a | 10.40 ± 2.45 b | 3.82 ± 0.29 c | 2.72 ± 0.31 d | 3.08 ± 0.44 d | 2.02 ± 0.25 d | balsam, nutty |
| Butyl benzoate | 1941.9 | 1.76 | 873 | 13.02 ± 1.21 c | 23.19 ± 1.88 b | 27.68 ± 2.56 b | 57.79 ± 4.22 a | 60.39 ± 3.15 a | 20.57 ± 1.99 b | 8.00 ± 1.05 d | 12.00 ± 1.58 c | 8.20 ± 1.81 d | 7.26 ± 1.23 d | balsamic, fruity |
| Benzyl acetate | 1761.91 | 1.53 | 938 | 1.52± 0.02 d | 2.27 ± 0.03 c | 3.44 ± 0.15 c | 3.04 ± 0.06 c | 1.29 ± 0.07 d | 8.40 ± 1.06 b | 4.43 ± 0.57 bc | 20.79 ± 5.38 a | 2.27 ± 0.09 c | 2.54 ± 0.17 c | boiled vegetable, fruity, jasmine, fresh |
| Butyl phenylacetate | 2050.54 | 1.73 | 880 | 8.15 ± 0,21 a | 9.76 ± 0.77 a | 9.64 ± 0.73 a | 5.80 ± 0.24 b | 7.01 ± 1.15 ab | 5.60 ± 0.19 b | 5.57 ± 0.27 b | 3.22 ± 0.16 c | 2.12 ± 0.03 d | 1.39 ± 0.18 d | honey, rose |
| Isobutyl phenylacetate | 1973.9 | 1.74 | 845 | 6.22 ± 0.33 ab | 6.68 ± 1.02 a | 7.26 ± 0.87 a | 5.57 ± 0.43 b | 5.07 ± 0.17 b | 4.67 ± 0.24 c | 3.92 ± 0.32 c | 4.29 ± 0.18 c | 3.01 ± 0.36 d | 2.56 ± 0.15 d | honey, floral, sweet |
| Phenylethyl propionate | 1789.91 | 1.7 | 934 | 5.93 ± 0.49 a | 5.77 ± 1.03 a | 6.51 ± 0.885 a | 4.82 ± 0.54 b | 3.76 ± 0.49 bc | 1.04 ± 0.07 d | 2.51 ± 0.12 c | 0.30 ± 0.01 d | ND | ND | rose, fruity, raspberry and strawberry |
| Phenylethyl isobutyrate | 1919.02 | 1.7 | 867 | 676.91 ± 45.89 a | 636.21 ± 78.89 ab | 749.63 ± 36.58 a | 631.41 ± 49.38 ab | 615.01 ± 59.29 ab | 416.85 ± 29.41 b | 591.80 ± 66.37 b | 152.88 ± 10.02 c | 64.31 ± 5.39 d | 74.62 ± 3.68 d | fruity, sweet, rose |
| Isobutyl benzoate | 1840.2 | 1.78 | 839 | 67.09 ± 2.67 a | 54.13 ± 2.57 ab | ND | 44.12 ± 2.46 b | 31.50 ± 2.45 c | 2.20 ± 0.23 d | ND | 2.69 ± 0.16 d | ND | ND | sweet, fruity, floral aroma similar to roses and fragrant leaves |
| 2-Heptanenal | 1131.04 | 1.78 | 945 | ND | ND | 1.00 ± 0.06 d | 1.56 ± 0.18 c | 1.84 ± 0.21 c | 2.84 ± 0.05 bc | 3.50 ± 0.21 b | 4.62 ± 0.15 b | 7.95 ± 0.74 b | 91.18 ± 4.47 a | fatty, green, fresh, pungent |
| 2-nonenal | 1385.2 | 2.09 | 835 | 21.46 ± 2.23 d | 41.24 ± 2.16 cd | 52.77 ± 3.18 c | 74.65 ± 5.23 b | 70.33 ± 5.38 b | 91.93 ± 6.47 bc | 157.72 ± 13.73 b | 206.35 ± 19.25 b | 402.18 ± 27.65 a | 357.23 ± 29.95 ab | green, melon, fatty, cucumber, waxy |
| 2-Octenal | 1293.69 | 1.91 | 866 | 1.77 ± 0.08 d | 2.66 ± 0.04 d | 19.15 ± 1.56 cd | 32.84 ± 2.65 c | 39.53 ± 2.96 c | 51.11 ± 4.74 bc | 58.53 ± 3.88 b | 64.53 ± 5.99 b | 87.98 ± 4.87 a | 66.47 ± 4.72 b | herbal, leaf, green, fresh, fatty, waxy |
| 2,4-Hexadienal | 1243.63 | 1.52 | 954 | 30.09 ± 2.35 a | 35.79 ± 2.44 a | 30.77 ± 1.98 a | 26.82 ± 1.77 b | 21.12 ± 2.46 b | 18.84 ± 1.34 bc | 12.21 ± 1.27 c | 10.35 ± 1.02 c | 5.38 ± 0.48 d | 3.13 ± 0.21 d | green, floral, sweet, citrus, spicy |
| 2,4-Decadienal | 1865.9 | 1.71 | 831 | 85.78 ± 5.67 ab | 101.62 ± 7.38 a | 94.91 ± 4,29 a | 87.76 ± 5.16 ab | 67.97 ± 3.28 b | 56.86 ± 2.19 b | 39.50 ± 2.17 bc | 28.76± 2.01 c | 3.03 ± 0.06 d | 1.95 ± 0.15 d | fatty, waxy, green, oily, meat, fresh |
| 2-ethyl-2-hexenal | 1149.95 | 1.88 | 853 | 377.50 ± 23.31 bc | 594.35 ± 45.29 a | 476.86 ± 55.39 b | 340.21 ± 23.17 bc | 253.34 ± 15.98 c | 212.23 ± 24.76 c | 113.65 ± 8.16 cd | 90.22 ± 4.29 d | 38.19± 3.27 d | 2.18 ± 0.05 e | fatty, waxy, green, oily, |
| 2-Butyl-2-octenal | 1662.95 | 2.1 | 877 | 399.81 ± 15.92 b | 422.11 ± 55.21 b | 577.08 ± 24.37 a | 368.42 ± 28.49 b | 251.88 ± 36.29 c | 192.23 ± 13.15 c | 102.40 ± 5.29 d | 72.18 ± 4.89 d | 38.47 ± 3.32 de | 2.18 ± 0.53 e | fatty, waxy, green, oily, |
| β-Cyclocitral | 1613.17 | 1.87 | 919 | 5.18 ± 0.78 d | 7.01 ± 1.21 bc | 10.78 ± 1.02 a | 10.74 ± 1.77 a | 9.92 ± 0.96 a | 9.12 ± 0. 25 ab | 8.14 ± 0.29 b | 7.99 ± 1.01 b | 6.47 ± 0.16 c | 4.89 ± 0.24 d | minty, fruity, herbal, sweet, tobacco |
| ZangHonghua-aldehyde | 1641.55 | 1.75 | 855 | 36.00 ± 2.45 b | 51.06 ± 4.19 a | 43.39 ± 1.87 a | 28.68 ± 3.45 b | 15.08 ± 1.19 c | 10.31 ± 1.04 c | 5.05 ± 0.53 d | 4.62 ± 1.01 d | ND | ND | woody, medicina, Spicy |
| Isophorone | 1446.06 | 1.73 | 877 | 4.30 ± 0.66 b | 4.57 ± 0.23 b | ND | ND | 5.45 ± 1.34 ab | 2.88 ± 0.27 c | 6.80 ± 0.54 a | 5.91 ± 0.23 a | 4.18 ± 0.19 b | 1.54 ± 0.06 d | fruity, sweet, cedarwood, camphoraceous, musty, wood |
| Acetophenone | 1668.53 | 1.51 | 911 | 90.34 ± 5.59 b | 91.59 ± 6.43 b | 125.44 ± 10.92 a | 88.56 ± 4.32 b | 76.25 ± 1.27 c | 119.28 ± 7.99 a | 88.23 ± 2.18 b | 37.09 ± 1.21 cd | 24.35 ± 1.65 d | 10.76 ± 0.83 d | sweet, floral, pungent, almond, chemical |
| β-Ionone | 2009.42 | 1.03 | 863 | 1.18 ± 0.03 a | 0.82 ± 0.05 b | 0.48 ± 0.11 c | 0.97 ± 0.09 b | 0.56 ± 0.06 c | 0.28 ± 0.03 d | ND | ND | ND | ND | woody, raspberry, violet, floral |
| Anisole | 1166.33 | 1.62 | 956 | 2.17 ± 0.18 a | 2.19 ± 0.23 a | 1.88 ± 0.14 b | 2.34 ± 0.27 a | 1.08 ± 0.36 c | 1.34 ± 0.19 bc | 0.57 ± 0.03 d | 0.32 ± 0.11 d | ND | ND | anise, Aromatic, phenolic, |
| Dagenxiangye | 1396.41 | 0.33 | 892 | 69.48 ± 2.91 c | 186.74 ± 16.97 a | 162.08 ± 12.56 a | 104.03 ± 4.56 b | 79.93 ± 5.12 c | 79.70 ± 3.73 c | 53.10 ± 2.56 d | 35.04 ± 1.67 d | ND | ND | / |
| 2,6-Dimethylpyrazine | 1129.95 | 1.64 | 914 | 5.05 ± 0.87 a | 1.87 ± 0.12 c | 2.54 ± 0.25 b | 1.74 ± 0.13 c | ND | 1.65 ± 0.06 c | 1.99 ± 0.32 bc | 1.19 ± 0.21 d | ND | ND | roasted nut, cocoa, coffee |
| 2,3,5-Trimethylpyrazin-e | 1257.94 | 1.72 | 925 | 151.36 ± 13.12 a | 147.81 ± 9.08 a | 117.81 ± 13.98 b | 104.32 ± 5.54 b | 83.27 ± 7.19 bc | 61.71 ± 3.22 c | 30.50 ± 3.45 c | 14.62 ± 1.11 d | 3.79 ± 1.09 d | 2.06 ± 0.88 d | nutty, cocoa, musty, peanut, earthy, potato |
| 2,3,5,6-TetramethylPyr-azine | 1369.93 | 1.8 | 887 | 89.47 ± 14.23 a | 68.26 ± 8.67 b | 62.50 ± 5.44 bc | 43.95 ± 3.12 b | 42.91 ± 3.02 b | 36.75 ± 4.09 c | 24.90 ± 3.25 c | 20.55 ± 3.72 c | 9.62 ± 1.29 d | 4.23 ± 0.58 d | burnt, soybean, chocolate, cocoa, nutty, coffee, musty, lard |
| 2-Acetofuran | 1433.93 | 1.41 | 846 | 33.77 ± 5.43 a | 22.66 ± 3.26 b | 26.36 ± 4.12 b | 19.20 ± 1.46 bc | 8.86 ± 2.87 d | 14.02 ± 3.76 c | 16.80 ± 3.49 c | 14.69 ± 2.11 c | 4.59 ± 1.59 d | 5.29 ± 2.12 d | balsamic, cocoa, almond, sweet, tobacco, peanut, caramel, potato |
| 2-Acetyl-5 Methylfuran | 1624.82 | 1.49 | 881 | 42.81 ± 1.47 c | 85.15 ± 5.67 a | 91.85 ± 6.34 a | 77.68 ± 4.37 b | 78.88 ± 5.31 b | 60.35 ± 4.61 bc | 55.82 ± 3.27 bc | 44.15 ± 5.46 c | 27.99 ± 2.49 d | 25.99 ± 3.64 d | nutty, coconut, milky, musty, hay |
| α-Guyunene | 1477.05 | 3.39 | 957 | 2.08 ± 0.24 d | 3.14 ± 0.55 d | 2.70 ± 0.46 d | 1.13 ± 0.03 d | 9.18 ± 1.11 c | 14.66 ± 2.23 b | 17.30 ± 3.37 a | 15.41 ± 2.98 ab | 17.23 ± 3.15 a | 19.47 ± 1.25 a | balsamic, balsam, woody |
| Cedarol | 2261.88 | 1.97 | 829 | 8.51 ± 0.65 b | 10.39 ± 1.23 b | 7.34 ± 1.35 b | 14.95 ± 3.32 a | 3.60 ± 0.97 c | 2.53 ± 0.88 c | ND | 3.42 ± 0.48 c | 1.83 ± 0.07 d | 1.50 ± 0.05 d | cedarwood, sweet, soft, woody |
| Aromatic ene | 997.23 | 2.29 | 947 | ND | ND | 3.87 ± 0.44 d | 3.31 ± 0.11 d | 12.13 ± 2.31 c | 16.81 ± 1.64 c | 35.78 ± 2.46 b | ND | 54.31 ± 9.37 a | 45.82 ± 10.33 a | woody |
| Nerol | 1897.9 | 1.54 | 912 | 15.30 ± 2.59 d | 14.70 ± 2.76 b | 17.90 ± 3.47 b | 12.60 ± 1.98 bc | 10.30 ± 1.76 bc | 22.50 ± 3.45 a | 7.76 ± 1.31 c | 7.54 ± 1.52 c | 4.36 ± 0.88 d | 4.39 ± 0.29 d | sweet, citrus, neroli |
| β-Caryophyllene | 1615.47 | 2.99 | 939 | 17.03 ± 2.25 e | 64.75 ± 9.56 d | 82.11 ± 8.89 d | 83.26 ± 10.54 d | 100.46 ± 12.78 c | 108.09 ± 13.46 c | 126.22 ± 11.77 b | 146.22 ± 23.37 b | 199.72 ± 45.79 ab | 225.85 ± 56.34 a | spice, sweet, clove, woody |
| Longifolene | 1547.81 | 3.16 | 892 | 36.24 ± 3.24 b | 66.11 ± 5.56 a | 44.77 ± 4.66 b | 15.21 ± 1.99 c | 13.99 ± 2.35 c | 11.28 ± 1.21 c | 5.05 ± 0.68 d | 6.62 ± 1.22 d | 2.04 ± 0.14 de | 0.50 ± 0.09 e | rose, sweet, medical, woody |
| indole | 2605.86 | 1.28 | 873 | 3.41 ± 0.33 ab | 4.10 ± 0.75 a | 3.99 ± 0.15 a | 3.04 ± 0.25 b | 2.44 ± 0.41 c | 1.82 ± 0.12 d | 1.47 ± 0.31 d | 1.65 ± 0.18 d | ND | ND | honey, floral, jasmine, fishy, naphthalene, burnt, fecal |
| Linaloyl formate | 1477.93 | 1.67 | 855 | 185.95 ± 83.26 a | 233.88 ± 74.16 a | 129.82 ± 54.39 b | 105.61 ± 43.27 b | 85.15 ± 21.89 bc | 68.22 ± 10.46 c | 40.06 ± 10.85 d | 24.62 ± 2.25 cd | 5.51± 1.29 d | 5.24 ± 1.61 d | herbal, fruity, rose, citrus |
| γ-Butyrolactone | 1706.51 | 1.38 | 887 | 6.85 ± 0.55 a | 2.69 ± 0.31 b | 1.69 ± 0.18 c | 1.69 ± 0.23 c | 1.89 ± 0.19 c | 1.68 ± 0.61 c | 1.33 ± 0.15 c | 0.84 ± 0.22 d | ND | ND | creamy, oily, sweet, fatty, caramel |
| Dimethyl disulfide | 669.98 | 1.71 | 875 | ND | ND | 4.11 ± 0.29 d | 7.71 ± 1.63 d | 18.21 ± 5.45 c | 24.01 ± 3.99 c | 80.98 ± 15.72 b | 103.83 ± 46.77 b | 173.52 ± 77.34 a | 187.00 ± 56.76 a | cabbage, green, putrid, nutty, sulfurous, onion |
| P-cresol | 2197.88 | 1.25 | 934 | 13.23 ± 2.25 de | 6.02 ± 1.56 e | 16.12 ± 3.12 de | 22.77 ± 2.23 d | 51.23 ± 9.96 c | 85.82 ± 15.46 bc | 101.22 ± 23.49 b | 128.45 ± 32.88 b | 155.44 ± 25.47 a | 172.38 ± 44.31 a | smoke, phenol, phenolic, medicine, narcissus, mimosa, animal, medicinal |
| 2-Methylpyridine | 922.12 | 1.63 | 937 | 111.20 ± 15.69 a | 84.43 ± 12.35 b | 66.45 ± 9.44 bc | 28.45 ± 6.52 c | 9.35 ± 0.13 cd | 2.43 ± 0.55 d | ND | 5.18 ± 0.95 d | ND | ND | bitter, sweaty, unpleasant |
| Number | Compound | CAS | VIP | r | Number | Compound | CAS | VIP | r |
|---|---|---|---|---|---|---|---|---|---|
| M-1 | Ethyl acetate | 141-78-6 | 1.49 | −0702 | M-34 | Phenylacetaldehyde | 122-78-1 | 1.82 | 0.808 |
| M-2 | Methyl heptanate | 106-73-0 | 2.07 | −0.718 | M-35 | Phenylethanol | 1960-12-8 | 1.13 | 0.707 |
| M-3 | Ethyl hexanoate | 123-66-0 | 1.21 | −0.711 | M-36 | Isoamyl alcohol | 123-51-3 | 1.55 | −0.715 |
| M-4 | Ethyl dodecanoate | 106-33-2 | 1.53 | 0.809 | M-37 | 2-ethyl-2-hexenal | 645-62-5 | 2.11 | 0.832 |
| M-5 | Ethyl myristate | 124-06-1 | 1.45 | 0.721 | M-38 | 2-Butyl-2-octenal | 13019-16-4 | 1.87 | 0.855 |
| M-6 | 2-Methylbutyrate ethyl ester | 7452-79-1 | 1.35 | 0.631 | M-39 | Trans-2-methyl-2-butenal | 497-03-0 | 2.01 | 0.804 |
| M-7 | Butyl butyrate | 109-21-7 | 1.51 | −0.605 | M-40 | 2-Methylpent-2-enal | 623-36-9 | 1.06 | 0.675 |
| M-8 | Hexyl Hexanoate | 6378-65-0 | 1.09 | −0.627 | M-41 | Octanoic anhydride | 623-66-5 | 1.21 | 0.654 |
| M-9 | Diethyl azelaic acid | 624-17-9 | 1.51 | 0.754 | M-42 | Heptanic anhydride | 626-27-7 | 1.67 | 0.628 |
| M-10 | Ethyl octanoate | 106-32-1 | 1.62 | −0.601 | M-43 | 3-Decanone | 693-54-9 | 1.02 | 0.816 |
| M-11 | Isobutyl heptanate | 7779-80-8 | 1.32 | 0.625 | M-44 | Damascus ketone | 23726-93-4 | 1.12 | 0.687 |
| M-12 | Trans-4-decanoate ethyl ester | 76649-16-6 | 1.67 | 0.681 | M-45 | Geranyl acetone | 3796-70-1 | 1.42 | 0.822 |
| M-13 | Diethyl succinate | 123-25-1 | 1.43 | 0.755 | M-46 | α-Terpenoid alcohol | 98-55-5 | 1.25 | 0.763 |
| M-14 | 3-Ethyl furoate | 614-98-2 | 1.76 | 0.692 | M-47 | Linaloyl formate | 115-99-1 | 1.06 | 0.757 |
| M-15 | Ethyl phenylacetate | 101-97-3 | 1.21 | 0.833 | X-48 | Cedarol | 77-53-2 | 1.52 | 0.813 |
| M-16 | 3-Phenylpropanoate ethyl ester | 2021-28-5 | 1.65 | 0.844 | M-49 | Benzyl ether | 100-66-3 | 1.12 | 0.677 |
| M-17 | Phenylethyl isobutyrate | 103-48-0 | 1.71 | 0.805 | M-50 | γ-Nonlactone | 104-61-0 | 1.14 | 0.734 |
| M-18 | Ethyl cinnamate | 103-36-6 | 1.43 | 0.831 | M-51 | Ethyl palmitate | 628-97-7 | 1.22 | 0.824 |
| M-19 | 2,4-Hexadienal | 142-83-6 | 1.84 | 0.783 | M-52 | 2-Methylpyridine | 109-06-8 | 1.68 | 0.761 |
| M-20 | 3-hydroxy-2-butanone | 513-86-0 | 1.09 | 0.688 | M-53 | Dimethyl disulfide | 624-92-0 | 1.65 | −0.746 |
| M-21 | 2-Ethyl Nonenoate | 17463-01-3 | 1.03 | 0.637 | M-54 | Dimethyl trisulfide | 3658-80-8 | 1.85 | −0.813 |
| M-22 | (2Z)-Butane-2-enoic acid ethyl ester | 6776-19-8 | 1.07 | 0.803 | M-55 | Indole | 120-72-9 | 1.89 | 0.871 |
| M-23 | Butyl isovalerate | 109-19-3 | 1.93 | 0.826 | M-56 | γ-linolenic acid | 506-26-3 | 1.75 | 0.803 |
| M-24 | 2-Ethyl heptaneoate | 54340-72-6 | 1.4 | 0.659 | M-57 | 1,1-diethoxyhexane | 3658-93-3 | 1.63 | 0.603 |
| M-25 | Ethyl isovalerate | 108-64-5 | 1.16 | −0.712 | M-58 | α- Fluorene | 3856-25-5 | 1.49 | 0.745 |
| M-26 | Ethyl linoleate | 2089036 | 1.03 | 0.814 | M-59 | 2-Acetofuran | 1192-62-7 | 1.06 | 0.805 |
| M-27 | Ethyl salicylate | 118-61-6 | 1.42 | 0.809 | M-60 | (+)-Long leafene | 475-20-7 | 1.35 | 0.722 |
| M-28 | 9-Hexadecaenoic acid ethyl ester | 54546-22-4 | 1.52 | 0.824 | M-61 | Furfural | 35796 | 1.31 | 0.712 |
| M-29 | (Z)-Ethyl pentadecene-9-enoate | 56219-09-1 | 1.85 | 0.811 | M-62 | Benzofuran | 271-89-6 | 1.17 | 0.658 |
| M-30 | Isobutanol | 78-83-1 | 1.09 | 0.618 | M-63 | 2,3,5-Trimethylpyrazine | 14667-55-1 | 1.29 | 0.776 |
| M-31 | Benzaldehyde | 100-52-7 | 1.54 | 0.722 | M-64 | 2,3,5,6-Tetramethylpyrazine | 1124-11-4 | 1.42 | 0.814 |
| M-32 | Isovaleraldehyde | 590-86-3 | 1.63 | 0.682 | M-65 | Paracresol | 106-44-5 | 1.56 | −0.809 |
| M-33 | 2-nonenal | 18829-56-6 | 1.69 | −0.664 |
Disclaimer/Publisher’s Note: The statements, opinions and data contained in all publications are solely those of the individual author(s) and contributor(s) and not of MDPI and/or the editor(s). MDPI and/or the editor(s) disclaim responsibility for any injury to people or property resulting from any ideas, methods, instructions or products referred to in the content. |
© 2024 by the authors. Licensee MDPI, Basel, Switzerland. This article is an open access article distributed under the terms and conditions of the Creative Commons Attribution (CC BY) license (https://creativecommons.org/licenses/by/4.0/).
Share and Cite
Ren, J.; Li, Z.; Jia, W. Key Aroma Differences in Volatile Compounds of Aged Feng-Flavored Baijiu Determined Using Sensory Descriptive Analysis and GC×GC–TOFMS. Foods 2024, 13, 1504. https://doi.org/10.3390/foods13101504
Ren J, Li Z, Jia W. Key Aroma Differences in Volatile Compounds of Aged Feng-Flavored Baijiu Determined Using Sensory Descriptive Analysis and GC×GC–TOFMS. Foods. 2024; 13(10):1504. https://doi.org/10.3390/foods13101504
Chicago/Turabian StyleRen, Jinmei, Zhijian Li, and Wei Jia. 2024. "Key Aroma Differences in Volatile Compounds of Aged Feng-Flavored Baijiu Determined Using Sensory Descriptive Analysis and GC×GC–TOFMS" Foods 13, no. 10: 1504. https://doi.org/10.3390/foods13101504
APA StyleRen, J., Li, Z., & Jia, W. (2024). Key Aroma Differences in Volatile Compounds of Aged Feng-Flavored Baijiu Determined Using Sensory Descriptive Analysis and GC×GC–TOFMS. Foods, 13(10), 1504. https://doi.org/10.3390/foods13101504

