Isothermal Storage Delays the Senescence of Post-Harvest Apple Fruit through the Regulation of Antioxidant Activity and Energy Metabolism
Abstract
1. Introduction
2. Materials and Methods
2.1. Plant Materials and Treatments
2.2. Analysis of the Physical Parameters of Freshness
2.3. Analysis of Electrolyte Leakage (EL) and Malondialdehyde (MDA)
2.4. O2·− Generation and H2O2 Content Assay
2.5. Analysis of the Activities of Antioxidant Enzymes
2.6. Determination of Non-Enzymatic Antioxidants
2.7. ATP, ADP, and AMP Contents and Energy Charge (EC) Measurements
2.8. Analysis of the Activities of Energy Metabolism Enzymes
2.9. Statistical Analysis
3. Results
3.1. Firmness, Weightless, TSS, TA and Respiration Rate of Apple
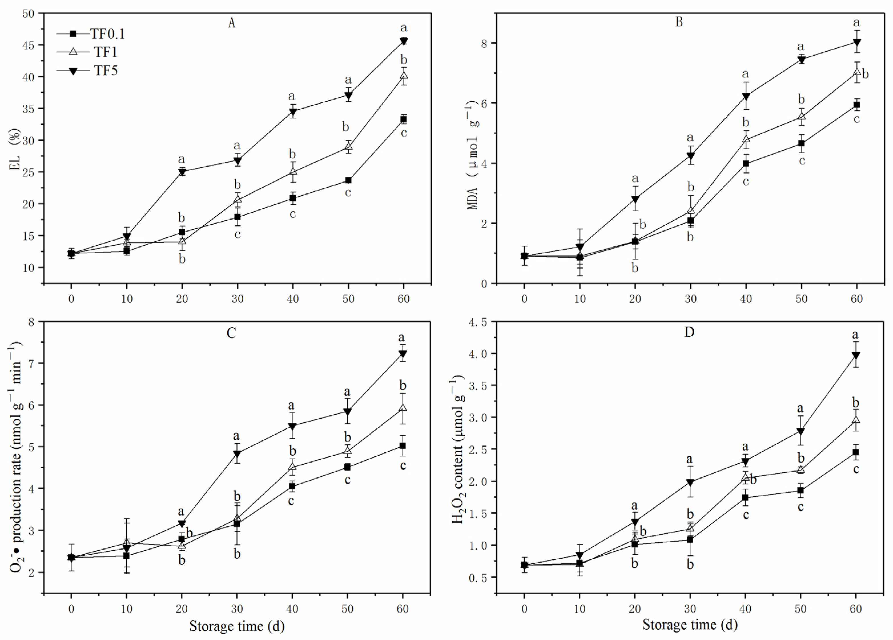
3.2. EL, MDA Content, H2O2 Content, and O2·− Generation Rate
3.3. Antioxidant Enzymes Activity
3.4. Non-Enzymatic Antioxidants Content
3.5. ATP, ADP, and AMP Contents and Energy Charge
3.6. Energy Metabolism Enzymes Activities
3.7. Pearson’s Correlation Coefficient Analysis
4. Discussion
5. Conclusions
Author Contributions
Funding
Data Availability Statement
Acknowledgments
Conflicts of Interest
References
- Kart, M.C.O.; Demircan, V. An economic comparison of conventional and modern cold storage facities in Turkey. Custos E Agronegocio Line 2014, 10, 118–130. [Google Scholar]
- Nunes, M.C.N.; Emond, J.P.; Rauth, M.; Dea, S.; Chau, K.V. Environmental conditions encountered during typical consumer retail display affect fruit and vegetable quality and waste. Postharvest Biol. Technol. 2009, 51, 232–241. [Google Scholar] [CrossRef]
- Beaudry, R.M.; Cameron, A.C.; Shirazi, A.; Dostal-Lange, D.L. Modified-atmosphere Packaging of Blueberry Fruit: Effect of Temperature on Package O2 and CO2. J. Am. Soc. Hortic. Sci. 1992, 117, 436–441. [Google Scholar] [CrossRef]
- Thompson, J.F.; Pre-Cooling and Storage Facilities USDA (Eds.) USDA Agriculture Handbook Number 66: The Commercial Storage of Fruits, Vegetables, and Florist and Nursery Stocks, USDA 1–10. 2004. Available online: http://www.ars.usda.gov/hb66/contents.html (accessed on 23 March 2019).
- Ashrae. ASHRAE Handbook: Refrigeration, SI ed.; American Society of Heating, Refrigerating and Air-Conditioning Engineers: Atlanta, GA, USA, 2010. [Google Scholar] [CrossRef]
- Ambaw, A.; Bessemans, N.; Gruyters, W.; Gwanpua, S.G.; Schenk, A.; De Roeck, A.; Delele, M.A.; Verboven, P.; Nicolai, B.M. Analysis of the spatiotemporal temperature fluctuations inside an apple cool store in response to energy use concerns. Int. J. Refrig. 2016, 66, 156–168. [Google Scholar] [CrossRef]
- Gonçalves, J.; Pinheiro, M.; Abreu, T.R.S.; Brandão, C.L.M.; Silva, C.L. Kinetics of quality changes of pumpkin (Curcurbita maxima L.) stored under isothermal and non isothermal frozen conditions. J. Food Eng. 2011, 106, 40–47. [Google Scholar] [CrossRef]
- Tashtoush, B. Natural losses from vegetable and fruit products in cold storage. Food Control 2000, 11, 465–470. [Google Scholar] [CrossRef]
- Vicent, V.; Ndoye, F.; Verboven, P.; Nicolaï, B.; Alvarez, G. Quality changes kinetics of apple tissue during frozen storage with temperature fluctuations. Int. J. Refrig. 2018, 92, 165–175. [Google Scholar] [CrossRef]
- Dermesonluoglu, E.; Katsaros, G.; Tsevdou, M.; Giannakourou, M.; Taoukis, P. Kinetic study of quality indices and shelf life modelling of frozen spinach under dynamic conditions of the cold chain. J. Food Eng. 2015, 148, 13–23. [Google Scholar] [CrossRef]
- Adams, L.S.; Seeram, N.P.; Aggarwal, B.B.; Takada, Y.; Sand, D.; Heber, D. Pomegranate Juice, Total Pomegranate Ellagitannins, and Punicalagin Suppress Inflammatory Cell Signaling in Colon Cancer Cells. J. Agric. Food Chem. 2006, 54, 980–985. [Google Scholar] [CrossRef]
- Gruyters, W.; Verboven, P.; Delele, M.; Gwanpua, S.; Schenk, A.; Nicolaï, B. A numerical evaluation of adaptive on-off cooling strategies for energy savings during long-term storage of apples. Int. J. Refrig. 2018, 85, 431–440. [Google Scholar] [CrossRef]
- East, A.; Smale, N.; Trujillo, F. Potential for energy cost savings by utilising alternative temperature control strategies for controlled atmosphere stored apples. Int. J. Refrig. 2013, 36, 1109–1117. [Google Scholar] [CrossRef]
- Kablan, T.; Mathias, K.O.; Gilles, D.; Robert, W.L.; Joseph, A. Comparative evaluation of the effect of storage temperature fluctuation on modified atmosphere packages of selected fruit and vegetables. Postharvest Biol. Technol. 2007, 46, 212–221. [Google Scholar] [CrossRef]
- Xin, Y.; Jin, Z.; Chen, F.; Lai, S.; Yang, H. Effect of chitosan coatings on the evolution of sodium carbonate-soluble pectin during sweet cherry softening under non-isothermal conditions. Int. J. Biol. Macromol. 2020, 154, 267–275. [Google Scholar] [CrossRef]
- Pan, Y.; Li, X.; Jia, X.; Zhao, Y.; Li, H.; Zhang, L. Storage temperature without fluctuation enhances shelf-life and improves postharvest quality of peach. J. Food Process. Preserv. 2019, 43, e13881. [Google Scholar] [CrossRef]
- Chen, L.; Pan, Y.; Jia, X.; Wang, X.; Yuan, J.; Li, X. Constant storage temperature delays firmness decreasing and pectin solubilization of apple during post-harvest storage. J. Food Process. Preserv. 2021, 45, e15655. [Google Scholar] [CrossRef]
- Chen, L.; Pan, Y.; Li, H.; Liu, Z.; Jia, X.; Li, W.; Jia, H.; Li, X. Constant temperature during postharvest storage delays fruit ripening and enhances the antioxidant capacity of mature green tomato. J. Food Process. Preserv. 2020, 44, e14831. [Google Scholar] [CrossRef]
- Pelletier, W.; Brecht, J.K.; Nunes, M.C.D.N.; Émond, J.-P. Quality of Strawberries Shipped by Truck from California to Florida as Influenced by Postharvest Temperature Management Practices. Horttechnology 2011, 21, 482–493. [Google Scholar] [CrossRef]
- Ndraha, N.; Hsiao, H.-I.; Vlajic, J.; Yang, M.-F.; Lin, H.-T.V. Time-temperature abuse in the food cold chain: Review of issues, challenges, and recommendations. Food Control 2018, 89, 12–21. [Google Scholar] [CrossRef]
- Wang, X.; He, Q.; Matetic, M.; Jemric, T.; Zhang, X. Development and evaluation on a wireless multi-gas-sensors system for improving traceability and transparency of table grape cold chain. Comput. Electron. Agric. 2017, 135, 195–207. [Google Scholar] [CrossRef]
- Tian, S.; Qin, G.; Li, B. Reactive oxygen species involved in regulating fruit senescence and fungal pathogenicity. Plant Mol. Biol. 2013, 82, 593–602. [Google Scholar] [CrossRef]
- Chiriboga, M.-A.; Bordonaba, J.G.; Schotsmans, W.C.; Larrigaudière, C.; Recasens, I. Antioxidant potential of ‘Conference’ pears during cold storage and shelf life in response to 1-methylcyclopropene. LWT-Food Sci. Technol. 2013, 51, 170–176. [Google Scholar] [CrossRef]
- Czarnocka, W.; Karpiński, S. Friend or foe? Reactive oxygen species production, scavenging and signaling in plant response to environmental stresses. Free. Radic. Biol. Med. 2018, 122, 4–20. [Google Scholar] [CrossRef] [PubMed]
- Choudhary, A.; Kumar, A.; Kaur, N. ROS and oxidative burst:roots in plant development. Plant Divers. 2020, 42, 35–45. [Google Scholar] [CrossRef] [PubMed]
- Blokhina, O.; Virolainen, E.; Fagerstedt, K.V. Antioxidants, oxidative damage and oxygen deprivation stress: A review. Ann. Bot. 2003, 91, 179–194. [Google Scholar] [CrossRef]
- Jiang, Y.M.; Jiang, Y.L.; Qu, H.X.; Duan, X.W.; Jiang, W.B. Energy aspects in ripening and senescence of harvested horticultural crops. Stewart Postharvest Rev. 2007, 3, 1–5. [Google Scholar] [CrossRef]
- Wang, H.; Qian, Z.; Ma, S.; Zhou, Y.; Patrick, J.W.; Duan, X.; Jiang, Y.; Qu, H. Energy status of ripening and postharvest senescent fruit of litchi (Litchi chinensis Sonn.). BMC Plant Biol. 2013, 13, 55. [Google Scholar] [CrossRef]
- Chumyam, A.; Shank, L.; Uthaibutra, J.; Saengnil, K. Effects of chlorine dioxide on mitochondrial energy levels and redox status of ‘Daw’ longan pericarp during storage. Postharvest Biol. Technol. 2016, 116, 26–35. [Google Scholar] [CrossRef]
- Jin, P.; Zhu, H.; Wang, L.; Shan, T.; Zheng, Y. Oxalic acid alleviates chilling injury in peach fruit by regulating energy metabolism and fatty acid contents. Food Chem. 2014, 161, 87–93. [Google Scholar] [CrossRef]
- Cliff, M.A.; Li, J.B.; Toivonen, P.M.A.; Ehret, D.L. Effects of nutrient solution electrical conductivity on the compositional and sensory characteristics of greenhouse tomato fruit. Postharvest Biol. Technol. 2012, 74, 132–140. [Google Scholar] [CrossRef]
- Zhang, Z.K.; Zhu, Q.G.; Hu, M.J.; Gao, Z.Y.; An, F.; Li, M. Low-temperature conditioning induces chilling tolerance in stored mango fruit. Food Chem. 2017, 219, 76–84. [Google Scholar] [CrossRef]
- Li, X.; Long, Q.; Gao, F.; Han, C.; Jin, P.; Zheng, Y. Effect of cutting styles on quality and antioxidant activity in fresh-cut pitaya fruit. Postharvest Biol. Technol. 2016, 124, 1–7. [Google Scholar] [CrossRef]
- Song, H.W.; Yuan, W.M.; Jin, P.; Wang, W.; Wang, X.F.; Yang, L.M.; Zhang, Y.F. Effffects of chitosan/nano-silica on postharvest quality and antioxidant capacity of loquat fruit during cold storage. Postharvest Biol. Technol. 2016, 119, 41–48. [Google Scholar] [CrossRef]
- Vicente, A.R.; Martínez, G.A.; Chaves, A.R.; Civello, P.M. Effect of heat treatment on strawberry fruit damage and oxidative metabolism during storage. Postharvest Biol. Technol. 2006, 40, 116–122. [Google Scholar] [CrossRef]
- Beers, R.F.; Sizer, I.W. A spectrophotometric method for measuring the breakdown of hydrogen peroxide by catalase. J. Biol. Chem. 1952, 195, 133–140. [Google Scholar] [CrossRef]
- Hu, L.-Y.; Hu, S.-L.; Wu, J.; Li, Y.-H.; Zheng, J.-L.; Wei, Z.-J.; Liu, J.; Wang, H.-L.; Liu, Y.-S.; Zhang, H. Hydrogen Sulfide Prolongs Postharvest Shelf Life of Strawberry and Plays an Antioxidative Role in Fruits. J. Agric. Food Chem. 2012, 60, 8684–8693. [Google Scholar] [CrossRef]
- Ivan, K.S.; Thomas, L.V.; Carol, A.T. Assay of glutathione reductase in crude tissue homogenates using 5,5′-dithiobis(2-nitrobenzoic acid). Anal. Biochem. 1988, 175, 408–413. [Google Scholar] [CrossRef]
- Kampfenkel, K.; Van Montagu, M.; Inzé, D. Extraction and determination of ascorbate and dehydroascorbate from plant tissue. Anal. Biochem. 1995, 225, 165–167. [Google Scholar] [CrossRef]
- Pirie, A.; Mullins, M.G. Changes in Anthocyanin and Phenolics Content of Grapevine Leaf and Fruit Tissues Treated with Sucrose, Nitrate, and Abscisic Acid. Plant Physiol. 1976, 58, 468–472. [Google Scholar] [CrossRef]
- Liu, H.; Jiang, Y.M.; Luo, Y.B.; Jiang, W.B. A simple and rapid determination of ATP, ADP and AMP concentrations of pericarp tissues of harvested litchi fruit by high performance liquid chromatograph. Food Sci. Biotechnol. 2006, 44, 531–534. [Google Scholar] [CrossRef]
- Wang, Y.; Luo, Z.; Khan, Z.U.; Mao, L.; Ying, T. Effect of nitric oxide on energy metabolism in postharvest banana fruit in response to chilling stress. Postharvest Biol. Technol. 2015, 108, 21–27. [Google Scholar] [CrossRef]
- Jin, P.; Zhu, H.; Wang, J.; Chen, J.; Wang, X.; Zheng, Y. Effect of methyl jasmonate on energy metabolism in peach fruit during chilling stress. J. Sci. Food Agric. 2012, 93, 1827–1832. [Google Scholar] [CrossRef] [PubMed]
- Jin, P.; Zhang, Y.; Shan, T.; Huang, Y.; Xu, J.; Zheng, Y. Low-Temperature Conditioning Alleviates Chilling Injury in Loquat Fruit and Regulates Glycine Betaine Content and Energy Status. J. Agric. Food Chem. 2015, 63, 3654–3659. [Google Scholar] [CrossRef] [PubMed]
- Wannabussapawich, B.; Seraypheap, K. Effects of putrescine treatment on the quality attributes and antioxidant activities of ‘Nam Dok Mai No.4’ mango fruit during storage. Sci. Hortic. 2018, 233, 22–28. [Google Scholar] [CrossRef]
- Feussner, I.; Wasternack, C. The lipoxygenase pathway. Annu Rev Plant Biol. 2002, 53, 275–297. [Google Scholar] [CrossRef] [PubMed]
- Jia, X.; Li, J.; Du, M.; Zhao, Z.; Song, J.; Yang, W.; Zheng, Y.; Chen, L.; Li, X. Combination of Low Fluctuation of Temperature with TiO2 Photocatalytic/Ozone for the Quality Maintenance of Postharvest Peach. Foods 2020, 9, 234. [Google Scholar] [CrossRef]
- Mittler, R. ROS Are Good. Trends Plant Sci. 2017, 22, 11–19. [Google Scholar] [CrossRef]
- Inestroza-Lizardo, C.; Ben-Hur, M.; Pereira da Silva, J.; Voigt, V.; Muniz, A.C.; Pinsetta, J.S. Effect of hyperbaric pressure on the activity of antioxidant enzymes and bioactive compounds of cv. ‘Débora’ tomato. Sci. Hortic. 2019, 249, 340–346. [Google Scholar] [CrossRef]
- Noctor, G.; Foyer, C.H. Ascorbate and glutathione: Keeping active oxygen under control. Annu. Rev. Plant Physiol. Plant Mol. Biol. 1998, 49, 249–279. [Google Scholar] [CrossRef]
- Meyer, A.J. The integration of glutathione homeostasis and redox signaling. J. Plant Physiol. 2008, 165, 1390–1403. [Google Scholar] [CrossRef]
- Campbell, O.E.; Merwin, I.A.; Padilla-Zakour, O.I. Characterization and the Effect of Maturity at Harvest on the Phenolic and Carotenoid Content of Northeast USA Apricot (Prunus armeniaca) Varieties. J. Agric. Food Chem. 2013, 61, 12700–12710. [Google Scholar] [CrossRef]
- Leja, M.; Mareczek, A.; Ben, J. Antioxidant properties of two apple cultivars during long-term storage. Food Chem. 2003, 80, 303–307. [Google Scholar] [CrossRef]
- Wang, J.; Cao, S.; Wang, L.; Wang, X.; Jin, P.; Zheng, Y. Effect of β-Aminobutyric Acid on Disease Resistance against Rhizopus Rot in Harvested Peaches. Front. Microbiol. 2018, 9, 1505. [Google Scholar] [CrossRef] [PubMed]
- Chen, B.; Yang, H. 6-Benzylaminopurine alleviates chilling injury of postharvest cucumber fruit through modulating antioxidant system and energy status. J. Sci. Food Agric. 2012, 93, 1915–1921. [Google Scholar] [CrossRef] [PubMed]
- Wu, X.; Jiang, L.; Yu, M.; An, X.; Ma, R.; Yu, Z. Proteomic analysis of changes in mitochondrial protein expression during peach fruit ripening and senescence. J. Proteom. 2016, 147, 197–211. [Google Scholar] [CrossRef]
- Schertl, P.; Braun, H.-P. Respiratory electron transfer pathways in plant mitochondria. Front. Plant Sci. 2014, 5, 163. [Google Scholar] [CrossRef] [PubMed]
- Li, D.; Limwachiranon, J.; Li, L.; Du, R.; Luo, Z. Involvement of energy metabolism to chilling tolerance induced by hydrogen sulfide in cold-stored banana fruit. Food Chem. 2016, 208, 272–278. [Google Scholar] [CrossRef]
- Chen, Y.; Lin, H.; Zhang, S.; Sun, J.; Lin, Y.; Wang, H.; Lin, M.; Shi, J. Phomopsis longanae Chi-Induced Disease Development and Pericarp Browning of Harvested Longan Fruit in Association with Energy Metabolism. Front. Microbiol. 2018, 9, 1454. [Google Scholar] [CrossRef]
- Chen, M.; Jiang, Q.; Yin, X.-R.; Lin, Q.; Chen, J.-Y.; Allan, A.C.; Xu, C.-J.; Chen, K.-S. Effect of hot air treatment on organic acid- and sugar-metabolism in Ponkan (Citrus reticulata) fruit. Sci. Hortic. 2012, 147, 118–125. [Google Scholar] [CrossRef]
- Chen, M.; Lin, H.; Zhang, S.; Lin, Y.; Chen, Y.; Lin, Y. Effects of Adenosine Triphosphate (ATP) Treatment on Postharvest Physiology, Quality and Storage Behavior of Longan Fruit. Food Bioprocess Technol. 2015, 8, 971–982. [Google Scholar] [CrossRef]
- Zaharah, S.S.; Singh, Z. Postharvest nitric oxide fumigation alleviates chilling injury, delays fruit ripening and maintains quality in cold-stored ‘Kensington Pride’ mango. Postharvest Biol. Technol. 2011, 60, 202–210. [Google Scholar] [CrossRef]
- Rawyler, A.; Pavelic, D.; Gianinazzi, C.; Oberson, J.; Braendle, R. Membrane Lipid Integrity Relies on a Threshold of ATP Production Rate in Potato Cell Cultures Submitted to Anoxia1. Plant Physiol. 1999, 120, 293–300. [Google Scholar] [CrossRef] [PubMed]
- Chen, Y.; Lin, H.; Jiang, Y.; Zhang, S.; Lin, Y.; Wang, Z. Phomopsis longanae Chi-induced pericarp browning and disease development of harvested longan fruit in association with energy status. Postharvest Biol. Technol. 2014, 93, 24–28. [Google Scholar] [CrossRef]
- Yi, C.; Jiang, Y.; Shi, J.; Qu, H.; Xue, S.; Duan, X.; Shi, J.; Prasad, N.K. ATP-regulation of antioxidant properties and phenolics in litchi fruit during browning and pathogen infection process. Food Chem. 2010, 118, 42–47. [Google Scholar] [CrossRef]








Disclaimer/Publisher’s Note: The statements, opinions and data contained in all publications are solely those of the individual author(s) and contributor(s) and not of MDPI and/or the editor(s). MDPI and/or the editor(s) disclaim responsibility for any injury to people or property resulting from any ideas, methods, instructions or products referred to in the content. |
© 2023 by the authors. Licensee MDPI, Basel, Switzerland. This article is an open access article distributed under the terms and conditions of the Creative Commons Attribution (CC BY) license (https://creativecommons.org/licenses/by/4.0/).
Share and Cite
Chen, L.; Wang, M.; Wang, H.; Zhou, C.; Yuan, J.; Li, X.; Pan, Y. Isothermal Storage Delays the Senescence of Post-Harvest Apple Fruit through the Regulation of Antioxidant Activity and Energy Metabolism. Foods 2023, 12, 1765. https://doi.org/10.3390/foods12091765
Chen L, Wang M, Wang H, Zhou C, Yuan J, Li X, Pan Y. Isothermal Storage Delays the Senescence of Post-Harvest Apple Fruit through the Regulation of Antioxidant Activity and Energy Metabolism. Foods. 2023; 12(9):1765. https://doi.org/10.3390/foods12091765
Chicago/Turabian StyleChen, Lan, Mengya Wang, Haifen Wang, Cong Zhou, Junwei Yuan, Xihong Li, and Yanfang Pan. 2023. "Isothermal Storage Delays the Senescence of Post-Harvest Apple Fruit through the Regulation of Antioxidant Activity and Energy Metabolism" Foods 12, no. 9: 1765. https://doi.org/10.3390/foods12091765
APA StyleChen, L., Wang, M., Wang, H., Zhou, C., Yuan, J., Li, X., & Pan, Y. (2023). Isothermal Storage Delays the Senescence of Post-Harvest Apple Fruit through the Regulation of Antioxidant Activity and Energy Metabolism. Foods, 12(9), 1765. https://doi.org/10.3390/foods12091765

