Siraitia grosvenorii (Swingle) C. Jeffrey: Research Progress of Its Active Components, Pharmacological Effects, and Extraction Methods
Abstract
1. Introduction
2. Triterpenoids
2.1. Triterpenoid Ingredients in S. grosvenorii
2.2. Pharmacological Effects of Triterpenoids in S. grosvenorii
2.3. Extraction of Triterpenoids from S. grosvenorii
3. Flavonoids
3.1. Flavonoid Compounds in S. grosvenorii
3.2. Pharmacological Effects of Flavonoids in S. grosvenorii
3.3. Extraction of Flavonoids from S. grosvenorii
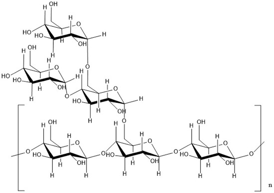
4. Polysaccharides
4.1. Polysaccharides in S. grosvenorii
4.2. Pharmacological Effects of Polysaccharides in S. grosvenorii
4.3. Extraction of Polysaccharides from S. grosvenorii
5. Proteins and Amino Acids
6. Other Ingredients
7. Conclusions
Author Contributions
Funding
Data Availability Statement
Acknowledgments
Conflicts of Interest
References
- Lu, A.M.; Zhang, Z.Y. The Genus Siraitia merr. in China. Guihaia 1984, 4, 27–33. [Google Scholar]
- Pawar, R.S.; Krynitsky, A.J.; Rader, J.I. Sweeteners from Plants–with Emphasis on Stevia rebaudiana (Bertoni) and Siraitia grosvenorii (Swingle). Anal. Bioanal. Chem. 2013, 405, 4397–4407. [Google Scholar] [CrossRef] [PubMed]
- Chen, Y.; Fan, X.B.; Wang, Y.X.; Hang, X.M. Functionals Study of Natural Food Sweetener Mogrosides. China Food Addit. 2006, 1, 41–43+59. [Google Scholar]
- Zhang, H.; Li, X.H. Research Progress on Chemical Compositions of Fructus momordicae. J. Anhui Agric. Sci. 2011, 39, 4555–4556+4559. [Google Scholar]
- Gong, X.; Chen, N.; Ren, K.; Jia, J.; Wei, K.; Zhang, L.; Lv, Y.; Wang, J.; Li, M. The Fruits of Siraitia grosvenorii: A Review of a Chinese Food-Medicine. Front. Pharmacol. 2019, 10, 1400. [Google Scholar] [CrossRef]
- Chen, G.; Liu, C.; Meng, G.; Zhang, C.; Chen, F.; Tang, S.; Hong, H.; Zhang, C. Neuroprotective Effect of Mogrol against A beta 1–42)-induced Memory Impairment Neuroinflammation and Apoptosis in Mice. J. Pharm. Pharmacol. 2019, 71, 869–877. [Google Scholar] [CrossRef]
- Suzuki, Y.A.; Tomoda, M.; Murata, Y.; Inui, H.; Sugiura, M.; Nakano, Y. Antidiabetic Effect of Long-Term Supplementation with Siraitia grosvenorii on the Spontaneously Diabetic Goto-Kakizaki Rat. Br. J. Nutr. 2007, 97, 770–775. [Google Scholar] [CrossRef]
- Liu, H.; Wang, C.; Qi, X.; Zou, J.; Sun, Z. Antiglycation and Antioxidant Activities of Mogroside Extract from Siraitia grosvenorii (Swingle) Fruits. J. Food Sci. Technol. 2018, 55, 1880–1888. [Google Scholar] [CrossRef]
- Takasaki, M.; Konoshima, T.; Murata, Y.; Sugiura, M.; Nishino, H.; Tokuda, H.; Matsumoto, K.; Kasai, R.; Yamasaki, K. Anticacinogenic Activity of Natural Sweeteners, Cucurbitane Glycosides, from Momordica grosvenori. Cancer Lett. 2003, 198, 37–42. [Google Scholar] [CrossRef]
- Li, W.D.; Jian, J.B. Research and Development on Functional Sweet-Plant Fructus momordicae. China Food Addit. 2007, 6, 120–121+105. [Google Scholar]
- Li, H.B.; Zhang, M.; Wang, Y.; Guo, B.J.; Li, L. Colorimetric Determination of Triterpenoid Saponin in Luohanguo. Food Sci. 2006, 27, 171–173. [Google Scholar]
- Tang, Y.P.; Zhang, S.L.; Zhang, S.T.; Wang, Y.Z. Research Progress on Bioactive Components, Pharmacological Action and Processing of Siraitia grosvenorii. Beverage Ind. 2020, 23, 67–70. [Google Scholar]
- Xiao, G.; Wang, Q. Research Advance of Momordica grosvenori Swingle. Shanghai J. Tradit. Chin. Med. 2006, 40, 71–73. [Google Scholar]
- Chen, B.; Yu, F.; Jiang, Z. Mogroside V—Producing Endophytic Fungi Isolated from Siraitia grosvenorii. Planta Med. 2020, 86, 983–987. [Google Scholar]
- Peng, K.L.; Peng, Q.F.; Liu, L.H.; Yin, C.P. Simultaneous Determination of Seven Components in Siraitiae fructus by Ultra Performance Liquid Chromatography. Her. Med. 2022, 41, 1491–1496. [Google Scholar]
- Chen, W.J.; Song, F.F.; Liu, L.G.; Qi, X.Y.; Xie, B.J.; Song, Y.F. Effects of Mogroside Extract on Cellular Immune Functions in Alloxan-Induced Diabetic Rats. Acta Nutr. Sin. 2006, 28, 221–225. [Google Scholar]
- Liu, H.; Qi, X.; Yu, K.; Lu, A.; Lin, K.; Zhu, J.; Zhang, M.; Sun, Z. AMPK Activation is Involved in Hypoglycemic and Hypolipidemic Activities of Mogroside–Rich Extract from Siraitia grosvenorii (Swingle) Fruits on High-Fat Diet/Streptozotocin-Induced Diabetic Mice. Food Funct. 2019, 10, 151–162. [Google Scholar] [CrossRef]
- Liu, X. Study on Hypoglycemin Function of Mogroside. Master’s Thesis, Tianjin University of Science and Technology, Tianjin, China, 2020. [Google Scholar]
- Chen, J.; Jiao, D.; Li, Y.; Jiang, C.; Tang, X.; Song, J.; Chen, Q. Mogroside V Inhibits Hyperglycemia–induced Lung Cancer Cells Metastasis through Reversing EMT and Damaging Cytoskeleton. Curr. Cancer Drug Targets 2019, 19, 885–895. [Google Scholar] [CrossRef]
- Liu, C.; Dai, L.; Liu, Y.; Rong, L.; Dou, D.; Sun, Y.; Ma, L. Antiproliferative Activity of Triterpene Glycoside Nutrient from Monk Fruit in Colorectal Cancer and Throat Cancer. Nutrients 2016, 8, 360. [Google Scholar] [CrossRef]
- Liu, C.; Dai, L.H.; Dou, D.Q.; Ma, L.Q.; Sun, Y.X. A Natural Food Sweetener with Anti–pancreatic Cancer Properties. Oncogenesis 2016, 5, e217. [Google Scholar] [CrossRef]
- Di, R.; Huang, M.T.; Ho, C.T. Anti-inflammatory Activities of Mogrosides from Momordica grosvenori in Murine Macrophages and a Murine Ear Edema Model. J. Agric. Food Chem. 2011, 59, 7474–7481. [Google Scholar] [CrossRef] [PubMed]
- Li, M.F. Study on the Efficacy and Mechanism of Aqueous Extract of Siraitia grosvenorii and Mogroside V in Nonalcoholic Steatohepatitis (NASH). Master’s Thesis, Guangdong Pharmaceutical University, Guangzhou, China, 2017. [Google Scholar]
- Song, J.L.; Qian, B.; Pan, C.; Lv, F.; Wang, H.; Gao, Y.; Zhou, Y. Protective activity of mogroside V against ovalbumin–induced experimental allergic asthma in Kunming mice. J. Food Biochem. 2019, 43, e12973. [Google Scholar] [CrossRef] [PubMed]
- Tao, L.; Cao, F.; Xu, G.; Xie, H.; Zhang, M.; Zhang, C. Mogroside IIIE Attenuates LPS–Induced Acute Lung Injury in Mice Partly through Regulation of the TLR4/MAPK/NF–kappa B Axis via AMPK Activation. Phytother. Res. 2017, 31, 1097–1106. [Google Scholar] [CrossRef] [PubMed]
- Liu, T.; Wang, X.H.; Li, C.; Zhang, Y.; Wu, G.L.; Li, D.C.; Li, C.Y. Study on the Antitussive, Expectorant and Antispasmodic Effects of Saponin Ⅴ from Momordica grosvenorii. Chin. Pharm. J. 2007, 42, 1534–1536+1590. [Google Scholar]
- Ju, P.J.; Ding, W.H.; Li, X.B.; Wang, M.Y. Behavioral Effects of Mogroside Ⅴ on the Schizoid Mouse Model Induced by Dizocilpine maleate. J. Clin. Psychiatry 2015, 25, 231–233. [Google Scholar]
- Li, L.; Zhu, X.Y.; Huang, K. Research on Standardized Production Process Technology of Mogroside of Siraitia grosvenorii. In Proceedings of the Opportunities of Standardization Reform and Development—The 12th China Standardization Forum, Hangzhou, China, 21 September 2015; pp. 1224–1226. [Google Scholar]
- Chen, M.; Wang, C.H. Optimization of Extraction Conditions of Mogroside and its antitussive and expectorant effects. Chin. Tradit. Pat. Med. 2019, 41, 1129–1132. [Google Scholar]
- Yan, J.W.; Jiang, X.K. Optimization of Extraction Technology of Mogroside and Development of Natural Throat Healthy Candy. J. Northeast Agric. Sci. 2019, 44, 116–122. [Google Scholar]
- Li, J.S.; He, R.; Hou, G.F.; Lu, C.G.; Lu, D.L. Effect of Ultrasonic Treatment on Improving the Extraction Rate of Mogroside from Siraitia grosvenorii. Food Ferment. Ind. 2004, 30, 136–138. [Google Scholar]
- Song, W.W. Extraction, Purification of Mogroside and Lipid-Soluble Structural Analogues’ Chemosynthesis. Master’s Thesis, Tianjin University of Science and Technology, Tianjin, China, 2019. [Google Scholar]
- Zhu, X.Y.; He, C.W. Application of Microwave Technique to Extraction of Mogroside from Fresh Luohanguo (Momordica grosvenorii Swingle). Guangxi J. Light Ind. 2002, 2, 11–13. [Google Scholar]
- Liu, Y.Z. Principle and Practice of Smashing Tissue Extraction and Herbal Blitzkrieg Extractor. Chin. J. Nat. Med. 2007, 5, 401–407. [Google Scholar]
- Liu, Z.; Rong, Y.H.; Wang, Z.B.; Rong, L. Extraction of Mogrosides by using Flash extraction technique. Nat. Prod. Res. Dev. 2011, 23, 561–564+463. [Google Scholar]
- Chen, Q.B.; Yang, R.Y.; Yi, X.H.; Yu, L.J. The Determination of Total Falvonoids in Momordica grosvenorii Fresh Fruit and Mogrosides by RP-HPLC. Food Chem. 2003, 24, 133–135. [Google Scholar]
- Si, J.Y.; Chen, D.H.; Chang, Q.; Shen, L.G. Isolation and Structure Determination of Flavonol Glycosides from the Fresh Fruits of Siraitia grosvenorii. Acta Pharm. Sin. 1994, 29, 158–160. [Google Scholar]
- Liao, R.Q.; Li, J.; Huang, X.S.; Huang, Y.; He, X.C.; Su, X.J. Chemical Constituents of Siraitia grosvenorii (Swingle) C. Jeffrey. Acta BotBoreal-Occident. Sin. 2008, 28, 1250–1254. [Google Scholar]
- Li, J.; Huang, X.S.; Zhang, Y.J.; He, X.C.; Su, X.J. Chemical Constituents of Siraitia grosvenorii (Swingle) C. Jeffrey. China J. Chin. Mater. Med. 2007, 32, 548–549. [Google Scholar]
- Huang, X.S. Chemical Constituents of Siraitia grosvenorii (Swingle) C. Jeffrey. Master’s Thesis, Guangxi Normal University, Guilin, China, 2007. [Google Scholar]
- Huang, H.; Chen, Y.F.; Zhong, X.K.; Zhang, H.Q. Antioxidant Activity of Two Total Flavonoids from Natural Plant. Guangzhou Chem. Ind. 2017, 45, 63–65. [Google Scholar]
- Chen, Q.B.; Su, X.J.; Shen, Z.S. Antioxidant Activities of the Total Flavones in Siraitia grisvenorii Leaf Extracts. Food Res. Dev. 2006, 27, 189–191. [Google Scholar]
- Zhang, H.Q.; Chen, Y.F.; Huang, Q.Y.; Nong, K.L. Optimization of the Extraction Process of Total Flavonoids from Siraitia grosvenorii and Its Antibacterial Activity by Response Surface Methodology. J. Henan Univ. Technol. (Nat. Sci. Ed.) 2018, 39, 65–70. [Google Scholar]
- Li, D.; Peng, C.; Xie, X.F. Development of Experimental Study on Flavonoids for Treatment of Diabetes Mellitus and Its Complications. Chin. J. Exp. Tradit. Med. 2014, 20, 239–242. [Google Scholar]
- Chen, G.; Mo, W.B.; Li, G.F. Effect of Rhubarb Flavone on the Expression of Flk–1 and bFGF in Skeletal Muscle of Exercise Rats. J. Basic Chin. Med. 2020, 26, 45–48. [Google Scholar]
- Qin, M.F.; Liu, S.H. Optimal Process for Microwave-Assisted Extraction of Total Flavonoids from Siraitia grosvenorii. Coast. Enterp. Sci. Technol. 2008, 9, 41–43. [Google Scholar]
- Li, L.; Li, J.M.; Sheng, J.F.; Li, C.B.; Sun, J.; He, X.M.; Liao, F.; Zheng, F.J.; Ling, D.N.; Liu, G.M. Optimization of Ultrasonic–assisted Extraction of Flavonoids from Marc of Siraitia grosvenorii. Food Res. Dev. 2016, 37, 61–65. [Google Scholar]
- Yang, Y.; Luo, Y.L.; Liu, C. Study on the Extraction Process of Antioxidant Active Ingredients of Siraitia grosvenorii and Its Content Determination. Sci. Technol. Food Ind. 2004, 25, 70–72. [Google Scholar]
- Cui, B. Studies on the Extraction and Purification Technology of Flavone from Mangosteen. Master’s Thesis, Hunan Agricultural University, Changsha, China, 2012. [Google Scholar]
- Liang, Y.; Zhu, Z.R.; Pan, Y.M.; Wang, H.S. Study on Extraction of Flavonoids from Leaves of Siraitia grosvenorii and Their Free Radical Scavenging Act. Food Sci. Technol. 2010, 35, 211–213+218. [Google Scholar]
- Rong, Y.P.; Huang, Y.C.; Lai, J.R.; Gan, H.L.; Zhong, C.L. Ultrasonic Extraction Process of Total Flavonoids from Siraitia grosvenorii. J. Guangxi Univ. Sci. Technol. 2006, 17, 5–8. [Google Scholar]
- He, K.X.; Xiao, Y.; Zhang, L.; Tan, X.M.; Liu, S.B. Changes of Contents of Total Flavonoides and Anyibacterial Activity in Fruit of Siraitia grosvenorii. Biot. Resour. 2013, 35, 16–20. [Google Scholar]
- Lu, F.L.; Su, Y.W.; Liu, Y.X.; Liu, C.L.; Yan, X.J.; Li, D.P. Optimization of the Extraction Technology of Total Flavonoids from Siraitia grosvenorii’s Stem and Leaf Using Response Surface Anaiysis. Food Sci. Technol. 2013, 38, 217–220. [Google Scholar]
- Xie, J.H.; Jin, M.L.; Morris, G.A.; Zha, X.Q.; Chen, H.Q.; Yi, Y.; Li, J.E.; Wang, Z.J.; Gao, J.; Nie, S.P.; et al. Advances on Bioactive Polysaccharides from Medicinal Plants. Crit. Rev. Food Sci. Nutr. 2016, 56, S60–S84. [Google Scholar] [CrossRef]
- Guo, Y.; Chen, X.; Gong, P.; Chen, F.; Cui, D.; Wang, M. Advances in The in Vitro Digestion and Fermentation of Polysaccharides. Int. J. Food Sci. Technol. 2021, 56, 4970–4982. [Google Scholar] [CrossRef]
- Li, Q.; Xiao, C. The Content Determination of Carbohydrate Components of Siraitia grosvenorii Fruits. In Proceedings of the Symposium of the Ninth Conference of TCM Identification of China Association of Chinese Medicine, Jiande, China, 1 July 2008; pp. 573–577. [Google Scholar]
- Huang, C.P.; Li, J.; Liu, Q.Y.; Lu, X.W.; Meng, A.P.; Zhu, S.J. Studies on the Polysaccharide SGPS2 from the Fruits of Siraitia grosvenorii. J. Chin. Med. Mater. 2010, 33, 376–379. [Google Scholar]
- Zhu, Y.M.; Pan, L.C.; Zhang, L.J.; Yin, Y.; Zhu, Z.Y.; Sun, H.Q.; Liu, C.Y. Chemical Structure and Antioxidant Activity of a Polysaccharide from Siraitia grosvenorii. Int. J. Biol. Macromol. 2020, 165, 1900–1910. [Google Scholar] [CrossRef] [PubMed]
- Gong, P.; Guo, Y.; Chen, X.; Cui, D.; Wang, M.; Yang, W.; Chen, F. Structural Characteristics, Antioxidant and Hypoglycemic Activities of Polysaccharide from Siraitia grosvenorii. Molecules 2022, 27, 4192. [Google Scholar] [CrossRef] [PubMed]
- Wang, M.R. Structural Characterization and Chemical Modification of Apoptosis of A549 Lung Cancer Cells. Master’s Thesis, Shaanxi University of Science & Technology, Xi’an, China, 2022. [Google Scholar]
- Tan, X.; Zhou, X.; Chen, H.G. Research Progress on Structural Modification of Polysaccharides. Sci. Technol. Food Ind. 2019, 40, 341–349+356. [Google Scholar]
- Shen, L.H.; Liu, L.X.; Chen, G.; Tao, Z.W. Research Progress in Structural Modification of Polysaccharide Drug Evaluation Research. Drug Eval. Res. 2013, 36, 465–468. [Google Scholar]
- Oosterveld, A.; Beldman, G.; Voragen, A.G.J. Enzymatic Modification of Pectic Polysaccharides Obtained from Sugar Beet Pulp. Carbohydr. Polym. 2002, 48, 73–81. [Google Scholar] [CrossRef]
- Bai, J.F.; Yao, Y.C.; Zheng, Y.; Liu, S.H.; Liu, Q.B.; Zhou, Y.; Xing, Y.Q.; Yang, W.J.; Xu, C.P. Study on the Effect of Carboxymethylation of Siraitia grosvenorii Polysaccharide on its Antioxidant. Hubei Agric. Sci. 2021, 60, 107–111. [Google Scholar]
- Zhang, L.; Hu, T.J.; Lu, C.N. Immunomodulatory and Antioxidant Activity of a Siraitia grosvenorii Polysaccharide in Mice. Afr. J. Biotechnol. 2011, 10, 10045–10053. [Google Scholar]
- Zhang, H.Q.; Huang, Q.Y.; Zheng, G.J.; Zeng, Z.F.; Xu, D.N.; Nong, K.L. Effects of Siraitia grosvenorii Polysaccharides on Immune Function in Immunosuppressed Mice Induced by Cyclophosphamide. Guihaia 2019, 39, 1573–1582. [Google Scholar]
- Lin, G.P.; Jiang, T.; Hu, X.B.; Qiao, X.H.; Tuo, Q.H. Effect of Siraitia grosvenorii Polysaccharide on Glucose and Lipid of Diabetic Rabbits Induced by Feeding High Fat/High Sucrose Chow. Exp. Diabetes Res. 2007, 2007, 1–4. [Google Scholar] [CrossRef]
- Cui, D.D. Study on Extraction, Isolation, Structure Analysis and Protective Effect of Siraitia grosvenorii Polysaccharide on Diabetic Nephropathy in Mice. Master’s Thesis, Shaanxi University of Science and Technology, Xi’an, China, 2021. [Google Scholar]
- Chen, Y.; Yang, X.S.; Yang, J. Response Surface Methodology for Optimization of Ultrasonic-Assisted Extraction Process and Antioxidant Activity on Siraitia grosvenorii Polysaccharides. Food Sci. Technol. 2016, 41, 180–184. [Google Scholar]
- Li, H.Y.; Luo, H.; Liu, J.R.; Xu, L.Z.; Ma, S.L.; Li, Q.Q.; Li, X.Y.; Guo, X.D. Study on Extraction of Polysaccharide from Siraitia grosvenorii by Cellulase Method. J. Food Saf. Qual. 2015, 6, 689–694. [Google Scholar]
- Zhang, L.J. Extracting, Stucture Analysis and Antioxidant Activity of a Polysaccharide from Siraitia grosvenorii. Master’s Thesis, Tianjin University of Science and Technology, Tianjin, China, 2019. [Google Scholar]
- Chen, Y.X.; Li, H.X.; Li, Y.W.; Gao, M.Q. Optimization of Extraction Process of Crude Polysaccharide from Siraitia grosvenorii and Development of Pressed Cand. Sci. Technol. Food Ind. 2023, 44, 1–13. [Google Scholar]
- Xu, W.K.; Meng, L.S. The Content Determination of the Proteins from Siraitia grosvenorii Fruits. Guihaia 1986, 6, 295–296. [Google Scholar]
- Xu, W.K.; Meng, L.S.; Li, Z.Y. The Isolation and Identification of D–mannitol from Siraitia grosvenorii. Guihaia 1990, 10, 254–255. [Google Scholar]
- Meng, X.L.; Zhou, Q.; Rong, X.Y. The Determination of Inorganic Elements in the Fruit and Root of Siraitia grosvenorii. Guangxi J. Tradit. Chin. Med. 1989, 7, 42. [Google Scholar]
- Rayman, M.P. Selenium and Human Health. Lancet 2012, 379, 1256–1268. [Google Scholar] [CrossRef]
- Baldino, L.; Adami, R.; Reverchon, E. Concentration of Ruta graveolens active compounds using SC-CO2 extraction coupled with fractional separation. J. Supercrit. Fluids 2018, 131, 82–86. [Google Scholar] [CrossRef]
- Casas-Cardoso, L.; Mantell, C.; Obregon, S.; Cejudo-Bastante, C.; Alonso-Moraga, A.; de la Ossa, E.J.M.; de Haro-Bailon, A. Health-Promoting Properties of Borage Seed Oil Fractionated by Supercritical Carbon Dioxide Extraction. Foods 2021, 10, 2471. [Google Scholar] [CrossRef]






| Method | Materials | Temperature (°C) | Time (min) | Material-Liquid Ratio (g/mL) | Other Conditions | Yield (%) | Ref. |
|---|---|---|---|---|---|---|---|
| Hot water extraction | Dry fruit | 180 | 1:15 | 30 min per immersion | 5.60 | [29] | |
| Ethanol extraction | Dry fruit | 60 | 300 | 1:20 | 50% Ethanol | 5.90 | [30] |
| Ultrasonic extraction | Dry fruit | 55 | 45 | 1:45 | 60% Ethanol Ultrasound frequency 40 kHz | 2.98 | [32] |
| Microwave extraction | Fresh fruit | 15 | 1:8 | 300 MHz–300 GHz | 4.80 | [33] | |
| Flash extraction | Dry fruit | 40 | 28 | 1:20 | Blade speed 6000 r/min | 6.90 | [35] |
| Method | Materials | Temperature (°C) | Time (min) | Material-Liquid Ratio (g/mL) | Other Conditions | Yield (%) | Ref. |
|---|---|---|---|---|---|---|---|
| Reflux extraction | Dry fruit | 70 | 120 | 1:15 | 70% Ethanol | 0.58 | [48] |
| Dry fruit | 80 | 60 | 1:30 | 80% Ethanol | 1.52 | [49] | |
| Dry fruit | 80 | 118 | 1:27 | 88% Ethanol | 0.56 | [43] | |
| Dry leaves | Boiling | 60 | 1:30 | 3 Times | 1.32 | [50] | |
| Ultrasonic extraction | Dry fruit | 70 | 40 | 1:25 | 40% Ethanol | 1.76 | [51] |
| Dry fruit | 80 | 40 | 1:9 | Ultrasonic power 250 W | 2.86 | [52] | |
| Dry leaves and stem | 104 | 1:38 | 80% Ethanol | 4.01 | [53] | ||
| Dry fruit pomace | 50.65 | 29.2 | 1:34.75 | 2.52 | [47] | ||
| Microwave extraction | Dry fruit | 25 | 1:35 | Microwave output power 650 W 50% Ethanol | 1.72 | [46] |
| Method | Materials | Temperature (°C) | Time (min) | Material-Liquid Ratio (g/mL) | Other Conditions | Yield (%) | Ref. |
|---|---|---|---|---|---|---|---|
| Hot water extraction | Dry fruit | 70 | 150 | 1:35 | 6.56 | [68] | |
| Dry fruit | 70 | 180 | 1:35 | 14.55 | [71] | ||
| Enzymatic extraction | Dry fruit | 50 | 55 | 1:50 | Enzyme activity 500 U/g pH 6.0 | 6.82 | [70] |
| Dry fruit | 50 | 62 | Cellulase dosage 8% pH 5.9 | 6.64 | [72] | ||
| Ultrasonic extraction | Dry fruit | 70 | 30 | 1:30 | Ultrasonic power 300 W | 6.39 | [69] |
Disclaimer/Publisher’s Note: The statements, opinions and data contained in all publications are solely those of the individual author(s) and contributor(s) and not of MDPI and/or the editor(s). MDPI and/or the editor(s) disclaim responsibility for any injury to people or property resulting from any ideas, methods, instructions or products referred to in the content. |
© 2023 by the authors. Licensee MDPI, Basel, Switzerland. This article is an open access article distributed under the terms and conditions of the Creative Commons Attribution (CC BY) license (https://creativecommons.org/licenses/by/4.0/).
Share and Cite
Duan, J.; Zhu, D.; Zheng, X.; Ju, Y.; Wang, F.; Sun, Y.; Fan, B. Siraitia grosvenorii (Swingle) C. Jeffrey: Research Progress of Its Active Components, Pharmacological Effects, and Extraction Methods. Foods 2023, 12, 1373. https://doi.org/10.3390/foods12071373
Duan J, Zhu D, Zheng X, Ju Y, Wang F, Sun Y, Fan B. Siraitia grosvenorii (Swingle) C. Jeffrey: Research Progress of Its Active Components, Pharmacological Effects, and Extraction Methods. Foods. 2023; 12(7):1373. https://doi.org/10.3390/foods12071373
Chicago/Turabian StyleDuan, Jiajing, Dong Zhu, Xiuxia Zheng, Yang Ju, Fengzhong Wang, Yufeng Sun, and Bei Fan. 2023. "Siraitia grosvenorii (Swingle) C. Jeffrey: Research Progress of Its Active Components, Pharmacological Effects, and Extraction Methods" Foods 12, no. 7: 1373. https://doi.org/10.3390/foods12071373
APA StyleDuan, J., Zhu, D., Zheng, X., Ju, Y., Wang, F., Sun, Y., & Fan, B. (2023). Siraitia grosvenorii (Swingle) C. Jeffrey: Research Progress of Its Active Components, Pharmacological Effects, and Extraction Methods. Foods, 12(7), 1373. https://doi.org/10.3390/foods12071373
