Effect of Dry Heating on Some Physicochemical Properties of Protein-Coated High Amylose and Waxy Corn Starch
Abstract
1. Introduction
2. Materials and Methods
2.1. Materials
2.2. Methods
2.2.1. Sample Preparation
Wet Preparation of the Starch-Protein Mixtures without DHT
Wet Preparation of the Starch–Protein Mixtures with DHT
Dry Preparation of the Samples
2.2.2. Pasting Properties
2.2.3. Thermal Properties
2.2.4. Textural Properties of Starch Gels
2.2.5. Particle Size Distribution
2.2.6. Polarized Light Microscopy
2.2.7. Scanning Electron Microscopy (SEM)
2.2.8. Statistical Analysis
3. Results and Discussion
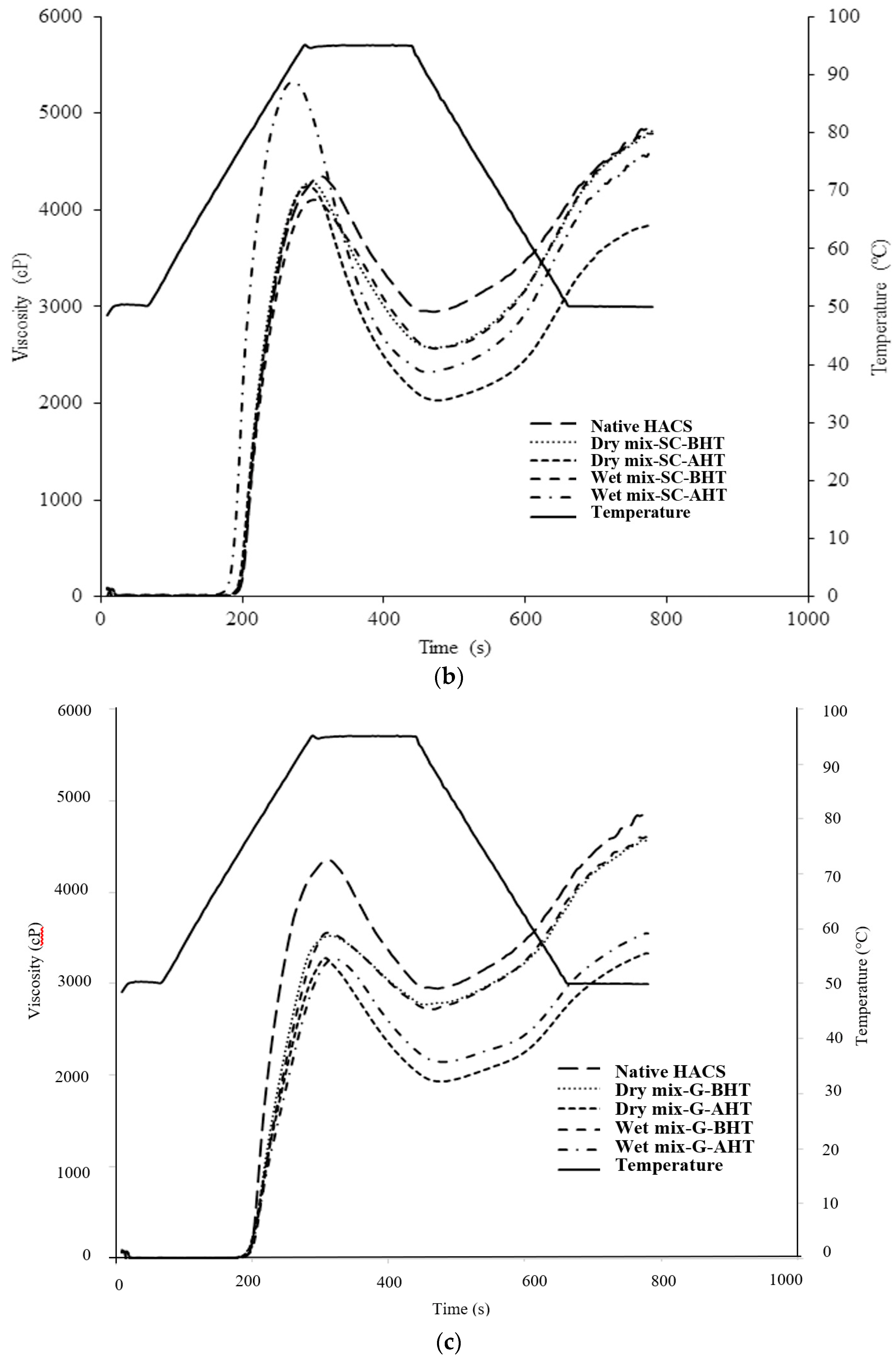
3.1. Pasting Properties
3.2. Thermal Properties
3.3. Textural Properties
3.4. Particle Size Distribution
3.5. Scanning Electron Microscopy (SEM)
3.6. Polarized Light Microscopy
4. Conclusions
Supplementary Materials
Author Contributions
Funding
Data Availability Statement
Conflicts of Interest
References
- Mhaske, P.; Wang, Z.; Farahnaky, A.; Kasapis, S.; Majzoobi, M. Green and clean modification of cassava starch–effects on composition, structure, properties and digestibility. Crit. Rev. Food Sci. Nutr. 2021, 62, 7801–7826. [Google Scholar] [CrossRef] [PubMed]
- Vashisht, D.; Pandey, A.; Hermenean, A.; Yáñez-Gascón, M.J.; Pérez-Sánchez, H.; Kumar, K.J. Effect of dry heating and ionic gum on the physicochemical and release properties of starch from Dioscorea. Int. J. Biol. Macromol. 2017, 95, 557–563. [Google Scholar] [CrossRef] [PubMed]
- Chandanasree, D.; Gul, K.; Riar, C. Effect of hydrocolloids and dry heat modification on physicochemical, thermal, pasting and morphological characteristics of cassava (Manihot esculenta) starch. Food Hydrocoll. 2016, 52, 175–182. [Google Scholar] [CrossRef]
- Majzoobi, M.; Farahnaky, A.; Jamalian, J.; Radi, M. Effects of L-Cysteine on some characteristics of wheat starch. Food Chem. 2011, 124, 795–800. [Google Scholar] [CrossRef]
- Guo, S.; Wu, H.; Liu, X.; Zhao, W.; Zheng, J.; Li, W. Structural, physicochemical and digestive property changes of potato starch after continuous and repeated dry heat modification and its comparative study. Foods 2023, 12, 335. [Google Scholar] [CrossRef]
- BeMiller, J.N.; Huber, K.C. Physical modification of food starch functionalities. Annu. Rev. Food Sci. Technol. 2015, 6, 19–69. [Google Scholar] [CrossRef]
- van Rooyen, J.; Simsek, S.; Oyeyinka, S.A.; Manley, M. Holistic view of starch chemistry, structure and functionality in dry heat-treated whole wheat kernels and flour. Foods 2022, 11, 207. [Google Scholar] [CrossRef]
- Asghari, A.K.; Norton, I.; Mills, T.; Sadd, P.; Spyropoulos, F. Interfacial and foaming characterisation of mixed protein-starch particle systems for food-foam applications. Food Hydrocoll. 2016, 53, 311–319. [Google Scholar] [CrossRef]
- Zhang, Q.; Duan, H.; Zhou, Y.; Zhou, S.; Ge, X.; Shen, H.; Li, W.; Yan, W. Effect of dry heat treatment on multi-structure, physicochemical properties, and in vitro digestibility of potato starch with controlled surface-removed levels. Food Hydrocoll. 2023, 134, 108062. [Google Scholar] [CrossRef]
- Ge, X.; Shen, H.; Su, C.; Zhang, B.; Zhang, Q.; Jiang, H.; Li, W. The improving effects of cold plasma on multi-scale structure, physicochemical and digestive properties of dry heated red adzuki bean starch. Food Chem. 2021, 349, 129159. [Google Scholar] [CrossRef]
- Li, Y.; Shoemaker, C.F.; Ma, J.; Shen, X.; Zhong, F. Paste viscosity of rice starches of different amylose content and carboxymethylcellulose formed by dry heating and the physical properties of their films. Food Chem. 2008, 109, 616–623. [Google Scholar] [CrossRef]
- Maniglia, B.C.; Castanha, N.; Le-Bail, P.; LeBail, A.; Augusto, P.E.D. Starch modification through environmentally friendly alternatives: A review. Crit. Rev. Food Sci. Nutr. 2021, 61, 2482–2505. [Google Scholar] [CrossRef] [PubMed]
- Zhu, P.; Wang, M.; Du, X.; Chen, Z.; Liu, C.; Zhao, H. Morphological and physicochemical properties of rice starch dry heated with whey protein isolate. Food Hydrocoll. 2020, 109, 106091. [Google Scholar] [CrossRef]
- Li, Y.; Zhang, H.; Shoemaker, C.F.; Xu, Z.; Zhu, S.; Zhong, F. Effect of dry heat treatment with xanthan on waxy rice starch. Carbohydr. Polym. 2013, 92, 1647–1652. [Google Scholar] [CrossRef]
- Chung, H.J.; Min, D.; Kim, J.Y.; Lim, S.T. Effect of minor addition of xanthan on cross-linking of rice starches by dry heating with phosphate salts. J. Appl. Polym. Sci. 2007, 105, 2280–2286. [Google Scholar] [CrossRef]
- Kaur, B.; Ariffin, F.; Bhat, R.; Karim, A.A. Progress in starch modification in the last decade. Food Hydrocoll. 2012, 26, 398–404. [Google Scholar] [CrossRef]
- Tian, S.; Yang, Y.; Tao, J.; Zhang, Z. Development and physicochemical properties of modified corn starch with soy protein isolate. Ann. Nutr. Food Sci. 2018, 2, 1030. [Google Scholar]
- Qiu, C.; Li, X.; Ji, N.; Qin, Y.; Sun, Q.; Xiong, L. Rheological properties and microstructure characterization of normal and waxy corn starch dry heated with soy protein isolate. Food Hydrocoll. 2015, 48, 1–7. [Google Scholar] [CrossRef]
- Lim, S.T.; Han, J.A.; Lim, H.S.; BeMiller, J.N. Modification of starch by dry heating with ionic gums. Cereal Chem. 2002, 79, 601–606. [Google Scholar] [CrossRef]
- Djagny, K.B.; Wang, Z.; Xu, S. Gelatin: A valuable protein for food and pharmaceutical industries: Review. Crit. Rev. Food Sci. Nutr. 2001, 41, 481–492. [Google Scholar] [CrossRef]
- Costa, C.; Azoia, N.G.; Coelho, L.; Freixo, R.; Batista, P.; Pintado, M. Proteins derived from the dairy losses and by-products as raw materials for non-food applications. Foods 2021, 10, 135. [Google Scholar] [CrossRef]
- Majzoobi, M.; Saberi, B.; Farahnaky, A.; Tongdang, T. Physicochemical properties of cross-linked- annealed wheat starch. Iran. Polym. J. 2012, 218, 513–522. [Google Scholar] [CrossRef]
- Trinh, K.T.; Glasgow, S. On the texture profile analysis test. In Chemeca 2012: Quality of Life through Chemical Engineering: 23–26, Wellington, New Zealand; Engineers Australia: Darwin, NT, Australia, 2012; pp. 749–760. [Google Scholar]
- Zhou, W.; Song, J.; Zhang, B.; Zhao, L.; Hu, Z.; Wang, K. The impacts of particle size on starch structural characteristics and oil binding ability of rice flour subjected to dry heating treatment. Carbohydr. Polym. 2019, 223, 115053. [Google Scholar] [CrossRef] [PubMed]
- Wang, J.; Zhao, S.; Min, G.; Qiao, D.; Zhang, B.; Niu, M.; Jia, C.; Xu, Y.; Lin, Q. Starch-protein interplay varies the multi-scale structures of starch undergoing thermal processing. Int. J. Biol. Macromol. 2021, 175, 179–187. [Google Scholar] [CrossRef] [PubMed]
- Kumar, L.; Brennan, M.; Brennan, C.; Zheng, H. Influence of whey protein isolate on pasting, thermal, and structural characteristics of oat starch. J. Dairy Sci. 2022, 105, 56–71. [Google Scholar] [CrossRef]
- Obadi, M.; Qi, Y.; Xu, B. High-amylose maize starch: Structure, properties, modifications and industrial applications. Carbohydr. Polym. 2023, 229, 120185. [Google Scholar] [CrossRef]
- Bae, I.Y.; Lee, H.G. Effect of dry heat treatment on physical property and in vitro starch digestibility of high amylose rice starch. Int. J. Biol. Macromol. 2018, 108, 568–575. [Google Scholar]
- Ma, S.; Zhu, P.; Wang, M. Effects of konjac glucomannan on pasting and rheological properties of corn starch. Food Hydrocoll. 2019, 89, 234–240. [Google Scholar] [CrossRef]
- Sun, Q.; Gong, M.; Li, Y.; Xiong, L. Effect of dry heat treatment on the physicochemical properties and structure of proso millet flour and starch. Carbohydr. Polym. 2014, 110, 128–134. [Google Scholar] [CrossRef]
- Lee, K.J.; Lee, S.Y.; Kim, Y.R.; Park, J.W.; Shim, J.Y. Effect of dry heating on the pasting/retrogradation and textural properties of starch-soy protein mixture. Korean J. Food Sci. Technol. 2004, 36, 568–573. [Google Scholar]
- Ribotta, P.D.; Colombo, A.; León, A.E.; Añón, M.C. Effects of soy protein on physical and rheological properties of wheat starch. Starch-Stärke 2007, 59, 614–623. [Google Scholar] [CrossRef]
- Gulzar, M.; Bouhallab, S.; Jeantet, R.; Schuck, P.; Croguennec, T. Influence of pH on the dry heat-induced denaturation/aggregation of whey proteins. Food Chem. 2011, 129, 110–116. [Google Scholar] [CrossRef]
- Gul, K.; Riar, C.S.; Bala, A.; Sibian, M.S. Effect of ionic gums and dry heating on physicochemical, morphological, thermal and pasting properties of water chestnut starch. LWT-Food Sci. Technol. 2014, 59, 348–355. [Google Scholar] [CrossRef]
- Noisuwan, A.; Hemar, Y.; Wilkinson, B.; Bronlund, J.E. Adsorption of milk proteins onto rice starch granules. Carbohydr. Polym. 2011, 84, 247–254. [Google Scholar] [CrossRef]
- Ryan, K.J.; Brewer, M.S. In situ examination of starch granule-soy protein and wheat protein interactions. Food Chem. 2007, 104, 619–629. [Google Scholar] [CrossRef]
- Li, M.; Liu, C.; Zheng, X.; Hong, J.; Bian, K.; Li, L. Interaction between A-type/B-type starch granules and gluten in dough during mixing. Food Chem. 2021, 358, 129870. [Google Scholar] [CrossRef]
- Ji, Y. In vitro digestion and physicochemical characteristics of corn starch mixed with amino acid modified by low pressure treatment. Food Chem. 2018, 242, 421–426. [Google Scholar] [CrossRef]
- Liu, K.; Hao, Y.; Chen, Y.; Gao, Q. Effects of dry heat treatment on the structure and physicochemical properties of waxy potato starch. Int. J. Biol. Macromol. 2019, 132, 1044–1050. [Google Scholar] [CrossRef]
- Govindaraju, I.; Chakraborty, I.; Baruah, V.J.; Sarmah, B.; Mahato, K.K.; Mazumder, N. Structure and Morphological Properties of Starch Macromolecule Using Biophysical Techniques. Starch-Stärke 2021, 73, 2000030. [Google Scholar] [CrossRef]










| (a) | ||||
|---|---|---|---|---|
| Samples | To (°C) | Tp (°C) | Tc (°C) | ΔH (J/g) |
| HACS | 63.36 ± 0.52 a,b,c | 69.42 ± 0.03 b | 74.82 ± 0.03 e | 6.62 ± 0.21 a,b,c |
| Dry mix-WPI-BHT | 64.42 ± 0.14 a | 70.84 ± 0.41 a | 75.64 ± 0.08 c,d | 5.43 ± 0.24 d,e |
| Dry mix-WPI-AHT | 63.14 ± 0.13 a,b,c | 70.23 ± 0.70 a | 77.05 ± 0.44 a,b | 5.52 ± 0.39 c,d,e |
| Wet mix-WPI-BHT | 64.35 ± 0.26 a | 68.97 ± 0.09 b,c | 75.45 ± 0.08 c,d,e | 5.27 ± 0.46 d,e |
| Wet mix-WPI-AHT | 60.94 ± 0.26 d | 67.55 ± 0.04 d | 74.48 ± 0.04 e | 5.68 ± 0.24 a,b,c,d |
| Dry mix-SC-BHT | 63.40 ± 0.18 a,b,c | 69.98 ± 0.53 a,b | 77.52 ± 0.62 a | 7.52 ± 0.28 a |
| Dry mix-SC-AHT | 63.50 ± 0.28 a,b,c | 69.80 ± 0.11 a,b | 76.78 ± 0.25 a,b,c | 7.66 ± 0.18 a |
| Wet mix-SC-BHT | 62.68 ± 0.82 a,b,c,d | 69.18 ± 0.66 b,c | 77.01 ± 0.19 a,b | 6.78 ± 0.00 a,b |
| Wet mix-SC-AHT | 62.00 ± 0.86 c,d | 67.85 ± 0.18 c,d | 76.05 ± 0.49 b,c,d | 6.66 ± 0.30 a,b,c |
| Dry mix-G-BHT | 64.71 ± 0.25 a | 71.00 ± 0.54 a | 77.98 ± 0.732 a | 6.78 ± 0.31 a,b |
| Dry mix-G-AHT | 64.10 ± 0.13 a,b | 70.82 ± 0.36 a | 77.61 ± 0.50 a | 5.01 ± 0.42 e |
| Wet mix-G-BHT | 62.20 ± 0.37 b,c,d | 69.38 ± 0.11 b | 75.45 ± 0.45 c,d,e | 6.92 ± 0.42 a,b |
| Wet mix-G-AHT | 61.98 ± 0.65 c,d | 67.52 ± 0.24 d | 74.93 ± 0.01 d,e | 5.98 ± 0.18 b,c,d |
| (b) | ||||
| Samples | To (°C) | Tp (°C) | Tc (°C) | ΔH (J/g) |
| WCS | 65.65 ± 0.15 a,b | 72.25 ± 0.03 a,b,c | 80.16 ± 0.31 b | 9.49 ± 0.22 a |
| Dry mix-WPI-BHT | 65.79 ± 0.04 a,b | 73.13 ± 0.08 a | 81.67 ± 0.09 a | 9.08 ± 0.24 a,b |
| Dry mix-WPI-AHT | 65.37 ± 0.21 a,b | 70.94 ± 0.35 e,f | 79.05 ± 0.31 b,c,d | 7.21 ± 0.31 c,d |
| Wet mix-WPI-BHT | 65.97 ± 0.11 a,b | 71.98 ± 0.06 b,c | 79.50 ± 0.05 b,c | 8.24 ± 0.19 b,c |
| Wet mix-WPI-AHT | 64.38 ± 0.78 b | 70.57 ± 0.08 f | 78.52 ± 0.53 c,d | 6.65 ± 0.38 d,e |
| Dry mix-SC-BHT | 66.12 ± 0.38 a | 72.97 ± 0.31 a,b | 79.26 ± 0.61 b,c | 8.73 ± 0.18 a,b |
| Dry mix-SC-AHT | 66.57 ± 0.22 2a | 72.51 ± 0.14 a,b,c | 79.42 ± 0.35 b,c | 8.00 ± 0.06 c |
| Wet mix-SC-BHT | 65.48 ± 0.67 a,b | 71.65 ± 0.24 c,d | 79.78 ± 0.08 b,c | 7.23 ± 0.04 c,d |
| Wet mix-SC-AHT | 64.83 ± 0.40 a,b | 70.69 ± 0.32 d,e | 78.95 ± 0.11 b,c,d | 6.87 ± 0.19 d |
| Dry mix-G-BHT | 66.09 ± 0.42 a | 71.21 ± 0.53 e | 78.34 ± 0.32 c,d | 7.10 ± 0.53 d |
| Dry mix-G-BHT | 65.75 ± 0.30 a,b | 72.91 ± 0.28 a,b | 79.76 ± 0.11 b,c | 6.69 ± 0.55 d,e |
| Wet mix-G-BHT | 66.55 ± 0.71 a | 72.05 ± 0.61 b,c | 79.08 ± 0.25 b,c,d | 7.35 ± 0.28 c,d |
| Wet mix-G-AHT | 65.06 ± 0.20 a,b | 70.52 ± 0.05 f | 77.87 ± 0.69 d | 6.88 ± 0.04 d |
| (a) | |||
|---|---|---|---|
| Samples | Maximum Force (g) | Cohesiveness | Gumminess |
| HACS | 201.1 ± 3.2 a | 0.96 ± 0.05 d | 180.32 ± 2.12 a |
| Dry mix-WPI-BHT | 184.0 ± 8.5 a | 0.95 ± 0.00 a,b | 175.59 ± 8.02 b |
| Dry mix-WPI-AHT | 164.0 ± 1.0 a,b | 0.94 ± 0.03 a,b | 154.39 ± 0.91 c |
| Wet mix-WPI-BHT | 136.1 ± 4.9 a,b,c | 0.94 ± 0.06 b,c | 128.57 ± 3.94 e |
| Wet mix-WPI-AHT | 102.8 ± 1.7 c | 0.94 ± 0.02 b,c | 96.29 ± 0.06 g |
| Dry mix-SC-BHT | 177.3 ± 9.7 b,c | 0.95 ± 0.00 a,b | 168.52 ± 8.67 b |
| Dry mix-SC-BHT | 146.7 ± 0.2 a,b,c | 0.95 ± 0.02 a,b | 137.96 ± 0.03 d |
| Wet mix-SC-BHT | 125.3 ± 3.9 b,c | 0.93 ± 0.012 c | 116.00± 2.56 e,f |
| Wet mix-SC-AHT | 94.4 ± 3.2 c | 0.92 ± 0.002 c | 86.69 ± 2.57 h |
| Dry mix-G-BHT | 175.9 ± 16.4 a,b | 0.95 ± 0.00 a,b | 167.64 ± 15.03 b,c |
| Dry mix-G-BHT | 176.4 ± 5.2 a,b | 0.93 ± 0.00 c | 164.31 ± 4.59 b,c |
| Wet mix-G-BHT | 144.3 ± 1.8 a,b | 0.93 ± 0.01 c | 135.25 ± 2.75 d |
| Wet mix-G-AHT | 116.7 ± 4.5 b | 0.90 ± 0.01 d | 105.47 ± 4.03 f,g |
| (b) | |||
| Samples | Maximum Force (g) | Cohesiveness | Gumminess |
| WCS | 305.0 ± 2.1 a | 0.96 ± 0.00 a | 293.21 ± 3.54 a |
| Dry mix-WPI-BHT | 289.1 ± 4.4 b | 0.92 ± 0.00 a,b | 285.77 ± 20.61 a |
| Dry mix-WPI-AHT | 212.7 ± 2.7 b,c | 0.95 ± 0.00 a | 202.11 ± 2.93 c,d |
| Wet mix-WPI-BHT | 253.6 ± 17.9 b | 0.95 ± 0.01 a | 240.50 ± 17.60 b |
| Wet mix-WPI-AHT | 227.4 ± 9.2 b,c | 0.94 ± 0.01 a | 213.96 ± 0.33 c |
| Dry mix-SC-BHT | 226.6 ± 7.6 b,c | 0.88 ± 0.01 a,b,c | 200.37 ± 3.79 c,d |
| Dry mix-SC-AHT | 155.6 ± 15.3 c,d | 0.86 ± 0.03 b,c | 134.17 ± 7.92 f |
| Wet mix-SC-BHT | 240.9 ± 4.2 b | 0.93 ± 0.00 a,b | 224.53 ± 4.36 b,c |
| Wet mix-SC-AHT | 198.9 ± 9.5 b,c | 0.92 ± 0.04 a,b | 183.18 ± 0.57 d,e |
| Dry mix-G-BHT | 131.8 ± 1.5 c,d | 0.44 ± 0.02 f | 57.88 ± 5.04 h |
| Dry mix-G-AHT | 84.9 ± 7.7 e | 0.58 ± 0.00 e | 48.97 ± 4.98 h |
| Wet mix-G-BHT | 147.3 ± 5.5 c,d | 0.71 ± 0.07 d | 104.41 ± 11.65 g |
| Wet mix-G-AHT | 199.7 ± 0.7 b,c | 0.82 ± 0.03 c | 162.91 ± 5.95 e |
| Samples | D× (10) (μm) | D× (50) (μm) | D× (90) (μm) | D (4,3) (μm) |
|---|---|---|---|---|
| HACS | 9.62 ± 0.53 e,f | 14.80 ± 0.00 h | 22.40 ± 0.16 g | 15.50 ± 0.04 h |
| HACS-WPI-BHT | 9.58 ± 0.02 f | 15.70 ± 0.00 g,h | 79.80 ± 0.00 f | 29.50 ± 0.42 g |
| HACS-WPI-AHT | 9.41 ± 0.03 g | 16.50 ± 0.05 d | 141.00 ± 3.00 d | 42.60 ± 2.08 f |
| HACS-SC-BHT | 10.30 ± 0.08 b | 21.20 ± 1.36 c | 158.25 ± 7.80 c | 55.60 ± 5.73 b |
| HACS-SC-AHT | 9.87 ± 0.06 c,d | 19.90 ± 0.39 d | 156.00 ± 5.00 c,d | 52.90 ± 1.86 b,c,d |
| HACS-G-BHT | 9.94 ± 0.04 c | 19.10 ± 0.31 e | 158.00 ± 4.35 c | 51.50 ± 1.82 b,c,d |
| HACS-G-AHT | 9.52 ± 0.07 f,g | 18.10 ± 0.38 e,f | 154.75 ± 4.50 d | 48.70 ± 2.91 c,d,e |
| WCS | 9.60 ± 0.05 e,f | 15.30 ± 0.00 g,h | 23.80 ± 0.08 g | 16.10 ± 0.04 h |
| WCS-WPI-BHT | 9.73 ± 0.05 d,e | 16.60 ± 0.10 f,g | 119.00 ± 5.00 e | 37.00 ± 1.41 f |
| WCS-WPI-AHT | 9.75 ± 0.03 d | 18.10 ± 0.13 e | 245.00 ± 9.25 a | 76.90 ± 4.83 a |
| WCS-SC-BHT | 11.30 ± 0.13 a | 31.00 ± 1.16 a | 203.00 ± 1.70 b | 78.50 ± 1.43 a |
| WCS-SC-AHT | 10.40 ± 0.00 b | 24.20 ± 0.14 b | 236.00 ± 2.88 a | 83.40 ± 1.82 a |
| WCS-G-BHT | 9.95 ± 0.01 c | 19.90 ± 0.11 d | 159.00 ± 1.50 d | 53.50 ± 0.59 b,c |
| WCS-G-AHT | 9.51 ± 0.03 f,g | 18.30 ± 0.21 e | 140.00 ± 4.27 d,e | 45.90 ± 1.45 d,e |
Disclaimer/Publisher’s Note: The statements, opinions and data contained in all publications are solely those of the individual author(s) and contributor(s) and not of MDPI and/or the editor(s). MDPI and/or the editor(s) disclaim responsibility for any injury to people or property resulting from any ideas, methods, instructions or products referred to in the content. |
© 2023 by the authors. Licensee MDPI, Basel, Switzerland. This article is an open access article distributed under the terms and conditions of the Creative Commons Attribution (CC BY) license (https://creativecommons.org/licenses/by/4.0/).
Share and Cite
Mao, L.; Mhaske, P.; Farahnaky, A.; Majzoobi, M. Effect of Dry Heating on Some Physicochemical Properties of Protein-Coated High Amylose and Waxy Corn Starch. Foods 2023, 12, 1350. https://doi.org/10.3390/foods12061350
Mao L, Mhaske P, Farahnaky A, Majzoobi M. Effect of Dry Heating on Some Physicochemical Properties of Protein-Coated High Amylose and Waxy Corn Starch. Foods. 2023; 12(6):1350. https://doi.org/10.3390/foods12061350
Chicago/Turabian StyleMao, Lili, Pranita Mhaske, Asgar Farahnaky, and Mahsa Majzoobi. 2023. "Effect of Dry Heating on Some Physicochemical Properties of Protein-Coated High Amylose and Waxy Corn Starch" Foods 12, no. 6: 1350. https://doi.org/10.3390/foods12061350
APA StyleMao, L., Mhaske, P., Farahnaky, A., & Majzoobi, M. (2023). Effect of Dry Heating on Some Physicochemical Properties of Protein-Coated High Amylose and Waxy Corn Starch. Foods, 12(6), 1350. https://doi.org/10.3390/foods12061350

