Proteomics and Molecular Docking Analyses Reveal the Bio-Chemical and Molecular Mechanism Underlying the Hypolipidemic Activity of Nano-Liposomal Bioactive Peptides in 3T3-L1 Adipocytes
Abstract
:1. Introduction
2. Materials and Methods
2.1. Peptide Synthesis and Purity and Deviation Mass Evaluation
2.2. Preparation and Characterization of Nano-Liposomal BPs by Thin-Film Hydration
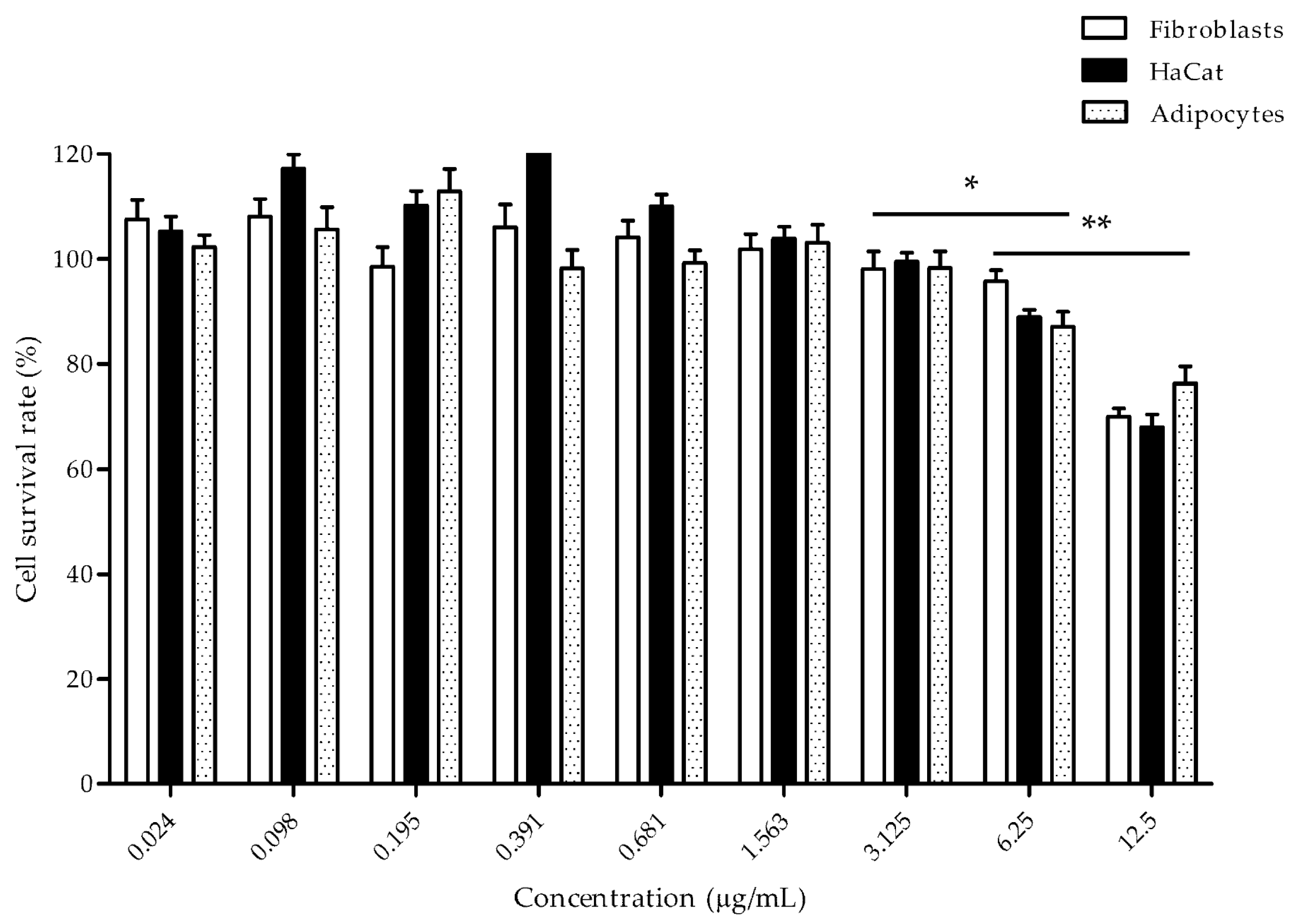
2.3. Cell Cytotoxicity of Nano-Liposomal BPs
2.4. In Vitro Hypolipidemic Activity of Nano-Liposomal BP
2.5. Label-Free Proteomic Analysis, Quality Control (QC), and Bioinformatics Analysis
2.6. Quantification of Fatty Acid Synthase (FAS) Using an Enzyme-Linked Immunosorbent Assay (ELISA) for Proteomics Validation
2.7. Computational Studies of BP Binding to FAS Thioesterase
2.8. Statistical Analysis
3. Results and Discussion
3.1. Peptide Synthesis Using SPPS Approach
3.2. Establishment and Characterization of the Nano-Carrier for BPs
3.3. Cytotoxicity of the Loaded and Unloaded Nano-Liposomal Particles
3.4. Effect of the Nano-Liposomal BP on Lipolysis Activity
3.5. Proteome Profiling and Differential Proteins Quantification
3.6. Quantification of FAS by ELISA and Western Blotting
3.7. BP-FAS Molecular Docking Analysis
4. Conclusions
Supplementary Materials
Author Contributions
Funding
Data Availability Statement
Acknowledgments
Conflicts of Interest
Appendix A. QC of Proteomics Data



References
- Chakrabarti, S.; Guha, S.; Majumder, K. Food-Derived Bioactive Peptides in Human Health: Challenges and Opportunities. Nutrients 2018, 10, 1738. [Google Scholar] [CrossRef] [PubMed]
- Segura-Campos, M.; Chel-Guerrero, L.; Betancur-Ancona, D.; Hernandez-Escalante, V.M. Bioavailability of Bioactive Peptides. Food Rev. Int. 2011, 27, 213–226. [Google Scholar] [CrossRef]
- Manikkam, V.; Vasiljevic, T.; Donkor, O.N.; Mathai, M.L. A Review of Potential Marine-derived Hypotensive and Anti-obesity Peptides. Crit. Rev. Food Sci. Nutr. 2016, 56, 92–112. [Google Scholar] [CrossRef]
- Kitts, D.D.; Weiler, K. Bioactive proteins and peptides from food sources. Applications of bioprocesses used in isolation and recovery. Curr. Pharm. Des. 2003, 9, 1309–1323. [Google Scholar] [CrossRef] [PubMed]
- Krobthong, S.; Yingchutrakul, Y. Identification and enhancement of antioxidant P1-peptide isolated from <i>Ganoderma lucidum</i> hydrolysate. Food Biotechnol. 2020, 34, 338–351. [Google Scholar] [CrossRef]
- Krobthong, S.; Choowongkomon, K.; Suphakun, P.; Kuaprasert, B.; Samutrtai, P.; Yingchutrakul, Y. The anti-oxidative effect of Lingzhi protein hydrolysates on lipopolysaccharide-stimulated A549 cells. Food Biosci. 2021, 41, 101093. [Google Scholar] [CrossRef]
- Fiat, A.M.; Migliore-Samour, D.; Jolles, P.; Drouet, L.; Bal dit Sollier, C.; Caen, J. Biologically active peptides from milk proteins with emphasis on two examples concerning antithrombotic and immunomodulating activities. J. Dairy Sci. 1993, 76, 301–310. [Google Scholar] [CrossRef]
- Abeyrathne, E.; Huang, X.; Ahn, D.U. Antioxidant, angiotensin-converting enzyme inhibitory activity and other functional properties of egg white proteins and their derived peptides—A review. Poult. Sci. 2018, 97, 1462–1468. [Google Scholar] [CrossRef]
- Sharma, S.; Verma, H.N.; Sharma, N.K. Cationic Bioactive Peptide from the Seeds of Benincasa hispida. Int. J. Pept. 2014, 2014, 156060. [Google Scholar] [CrossRef]
- Fagundes, P.C.; Ceotto, H.; Potter, A.; Vasconcelos de Paiva Brito, M.A.; Brede, D.; Nes, I.F.; Bastos Mdo, C. Hyicin 3682, a bioactive peptide produced by Staphylococcus hyicus 3682 with potential applications for food preservation. Res. Microbiol. 2011, 162, 1052–1059. [Google Scholar] [CrossRef]
- Hartmann, R.; Meisel, H. Food-derived peptides with biological activity: From research to food applications. Curr. Opin. Biotechnol. 2007, 18, 163–169. [Google Scholar] [CrossRef] [PubMed]
- Bhat, Z.F.; Kumar, S.; Bhat, H.F. Antihypertensive peptides of animal origin: A review. Crit. Rev. Food Sci. Nutr. 2017, 57, 566–578. [Google Scholar] [CrossRef] [PubMed]
- Auton, M.; Rosgen, J.; Sinev, M.; Holthauzen, L.M.; Bolen, D.W. Osmolyte effects on protein stability and solubility: A balancing act between backbone and side-chains. Biophys. Chem. 2011, 159, 90–99. [Google Scholar] [CrossRef] [PubMed]
- Pisal, D.S.; Kosloski, M.P.; Balu-Iyer, S.V. Delivery of therapeutic proteins. J. Pharm. Sci. 2010, 99, 2557–2575. [Google Scholar] [CrossRef] [PubMed]
- Krobthong, S.; Yingchutrakul, Y.; Visessanguan, W.; Mahatnirunkul, T.; Samutrtai, P.; Chaichana, C.; Papan, P.; Choowongkomon, K. Study of the Lipolysis Effect of Nanoliposome-Encapsulated Ganoderma lucidum Protein Hydrolysates on Adipocyte Cells Using Proteomics Approach. Foods 2021, 10, 2157. [Google Scholar] [CrossRef]
- Jumper, J.; Evans, R.; Pritzel, A.; Green, T.; Figurnov, M.; Ronneberger, O.; Tunyasuvunakool, K.; Bates, R.; Zidek, A.; Potapenko, A.; et al. Highly accurate protein structure prediction with AlphaFold. Nature 2021, 596, 583–589. [Google Scholar] [CrossRef]
- Lamiable, A.; Thévenet, P.; Rey, J.; Vavrusa, M.; Derreumaux, P.; Tufféry, P. PEP-FOLD3: Faster de novo structure prediction for linear peptides in solution and in complex. Nucleic Acids Res. 2016, 44, W449–W454. [Google Scholar] [CrossRef] [PubMed]
- Deepa, P.R.; Vandhana, S.; Muthukumaran, S.; Umashankar, V.; Jayanthi, U.; Krishnakumar, S. Chemical inhibition of fatty acid synthase: Molecular docking analysis and biochemical validation in ocular cancer cells. J. Ocul. Biol. Dis. Infor. 2010, 3, 117–128. [Google Scholar] [CrossRef]
- Pettersen, E.F.; Goddard, T.D.; Huang, C.C.; Couch, G.S.; Greenblatt, D.M.; Meng, E.C.; Ferrin, T.E. UCSF Chimera—A visualization system for exploratory research and analysis. J. Comput. Chem. 2004, 25, 1605–1612. [Google Scholar] [CrossRef]
- Olsson, M.H.; Sondergaard, C.R.; Rostkowski, M.; Jensen, J.H. PROPKA3: Consistent Treatment of Internal and Surface Residues in Empirical pKa Predictions. J. Chem. Theory Comput. 2011, 7, 525–537. [Google Scholar] [CrossRef]
- Yan, Y.; Tao, H.; He, J.; Huang, S.Y. The HDOCK server for integrated protein-protein docking. Nat. Protoc. 2020, 15, 1829–1852. [Google Scholar] [CrossRef]
- Laskowski, R.A.; Swindells, M.B. LigPlot+: Multiple Ligand–Protein Interaction Diagrams for Drug Discovery. J. Chem. Inf. Model. 2011, 51, 2778–2786. [Google Scholar] [CrossRef]
- Boysen, R.I.; Hearn, M.T. Purification of Peptides from Solid-Phase Peptide Synthesis with RP-HPLC. CSH Protoc. 2006, 2006, pdb-prot4548. [Google Scholar] [CrossRef] [PubMed]
- D’Hondt, M.; Bracke, N.; Taevernier, L.; Gevaert, B.; Verbeke, F.; Wynendaele, E.; De Spiegeleer, B. Related impurities in peptide medicines. J. Pharm. Biomed. Anal. 2014, 101, 2–30. [Google Scholar] [CrossRef]
- Tickler, A.K.; Wade, J.D. Overview of solid phase synthesis of “difficult peptide” sequences. Curr. Protoc. Protein. Sci. 2007, 18, 18. [Google Scholar] [CrossRef] [PubMed]
- Yao, G.-l.; He, W.; Wu, Y.-g.; Chen, J.; Hu, X.-w.; Yu, J. Purification of Angiotensin-I-Converting Enzyme Inhibitory Peptides Derived from Camellia oleifera Abel Seed Meal Hydrolysate. J. Food Qual. 2019, 2019, 7364213. [Google Scholar] [CrossRef]
- Gupta, K.; Jang, H.; Harlen, K.; Puri, A.; Nussinov, R.; Schneider, J.P.; Blumenthal, R. Mechanism of membrane permeation induced by synthetic beta-hairpin peptides. Biophys. J. 2013, 105, 2093–2103. [Google Scholar] [CrossRef] [PubMed]
- Rejman, J.; Oberle, V.; Zuhorn, I.S.; Hoekstra, D. Size-dependent internalization of particles via the pathways of clathrin- and caveolae-mediated endocytosis. Biochem. J. 2004, 377, 159–169. [Google Scholar] [CrossRef]
- Sahebkar, A. Therapeutic potential of negatively charged liposomes for atherosclerotic vascular disease: Reverse delivery of cholesterol cargo from atheroma to liver. J. Liposome Res. 2015, 25, 174. [Google Scholar] [CrossRef]
- Tsou, M.J.; Kao, F.J.; Lu, H.C.; Kao, H.C.; Chiang, W.D. Purification and identification of lipolysis-stimulating peptides derived from enzymatic hydrolysis of soy protein. Food Chem. 2013, 138, 1454–1460. [Google Scholar] [CrossRef]
- Binker, M.G.; Zhao, D.Y.; Pang, S.J.; Harrison, R.E. Cytoplasmic linker protein-170 enhances spreading and phagocytosis in activated macrophages by stabilizing microtubules. J. Immunol. 2007, 179, 3780–3791. [Google Scholar] [CrossRef] [PubMed]
- Stallmeyer, B.; Schwarz, G.; Schulze, J.; Nerlich, A.; Reiss, J.; Kirsch, J.; Mendel, R.R. The neurotransmitter receptor-anchoring protein gephyrin reconstitutes molybdenum cofactor biosynthesis in bacteria, plants, and mammalian cells. Proc. Natl. Acad. Sci. USA 1999, 96, 1333–1338. [Google Scholar] [CrossRef]
- Mao, Y.; Kuta, A.; Crespo-Enriquez, I.; Whiting, D.; Martin, T.; Mulvaney, J.; Irvine, K.D.; Francis-West, P. Dchs1-Fat4 regulation of polarized cell behaviours during skeletal morphogenesis. Nat. Commun. 2016, 7, 11469. [Google Scholar] [CrossRef] [PubMed]
- Katoh, M. Function and cancer genomics of FAT family genes (review). Int. J. Oncol. 2012, 41, 1913–1918. [Google Scholar] [CrossRef]
- Liu, R.; van der Lei, H.D.; Wang, X.; Wortham, N.C.; Tang, H.; van Berkel, C.G.; Mufunde, T.A.; Huang, W.; van der Knaap, M.S.; Scheper, G.C.; et al. Severity of vanishing white matter disease does not correlate with deficits in eIF2B activity or the integrity of eIF2B complexes. Hum. Mutat. 2011, 32, 1036–1045. [Google Scholar] [CrossRef]
- Loftus, T.M.; Jaworsky, D.E.; Frehywot, G.L.; Townsend, C.A.; Ronnett, G.V.; Lane, M.D.; Kuhajda, F.P. Reduced food intake and body weight in mice treated with fatty acid synthase inhibitors. Science 2000, 288, 2379–2381. [Google Scholar] [CrossRef] [PubMed]
- Takahiro, T.; Shinichi, K.; Toshimitsu, S. Expression of Fatty Acid Synthase as a Prognostic Indicator in Soft Tissue Sarcomas. Clin. Cancer Res. 2003, 9, 2204. [Google Scholar] [PubMed]






| Chemical Formula | Theoretical mass a (Da) | Observed Mass b (Da) | Mass Deviation c (%) | Purity (%) |
|---|---|---|---|---|
| C61H102N16O20S2 | 1443.70 | 1443.60 | 0.007 | 89.51% |
Disclaimer/Publisher’s Note: The statements, opinions and data contained in all publications are solely those of the individual author(s) and contributor(s) and not of MDPI and/or the editor(s). MDPI and/or the editor(s) disclaim responsibility for any injury to people or property resulting from any ideas, methods, instructions or products referred to in the content. |
© 2023 by the authors. Licensee MDPI, Basel, Switzerland. This article is an open access article distributed under the terms and conditions of the Creative Commons Attribution (CC BY) license (https://creativecommons.org/licenses/by/4.0/).
Share and Cite
Krobthong, S.; Yingchutrakul, Y.; Wongtrakoongate, P.; Chuntakaruk, H.; Rungrotmongkol, T.; Chaichana, C.; Mahatnirunkul, T.; Chomtong, T.; Choowongkomon, K.; Aonbangkhen, C. Proteomics and Molecular Docking Analyses Reveal the Bio-Chemical and Molecular Mechanism Underlying the Hypolipidemic Activity of Nano-Liposomal Bioactive Peptides in 3T3-L1 Adipocytes. Foods 2023, 12, 780. https://doi.org/10.3390/foods12040780
Krobthong S, Yingchutrakul Y, Wongtrakoongate P, Chuntakaruk H, Rungrotmongkol T, Chaichana C, Mahatnirunkul T, Chomtong T, Choowongkomon K, Aonbangkhen C. Proteomics and Molecular Docking Analyses Reveal the Bio-Chemical and Molecular Mechanism Underlying the Hypolipidemic Activity of Nano-Liposomal Bioactive Peptides in 3T3-L1 Adipocytes. Foods. 2023; 12(4):780. https://doi.org/10.3390/foods12040780
Chicago/Turabian StyleKrobthong, Sucheewin, Yodying Yingchutrakul, Patompon Wongtrakoongate, Hathaichanok Chuntakaruk, Thanyada Rungrotmongkol, Chartchai Chaichana, Thanisorn Mahatnirunkul, Thitikorn Chomtong, Kiattawee Choowongkomon, and Chanat Aonbangkhen. 2023. "Proteomics and Molecular Docking Analyses Reveal the Bio-Chemical and Molecular Mechanism Underlying the Hypolipidemic Activity of Nano-Liposomal Bioactive Peptides in 3T3-L1 Adipocytes" Foods 12, no. 4: 780. https://doi.org/10.3390/foods12040780
APA StyleKrobthong, S., Yingchutrakul, Y., Wongtrakoongate, P., Chuntakaruk, H., Rungrotmongkol, T., Chaichana, C., Mahatnirunkul, T., Chomtong, T., Choowongkomon, K., & Aonbangkhen, C. (2023). Proteomics and Molecular Docking Analyses Reveal the Bio-Chemical and Molecular Mechanism Underlying the Hypolipidemic Activity of Nano-Liposomal Bioactive Peptides in 3T3-L1 Adipocytes. Foods, 12(4), 780. https://doi.org/10.3390/foods12040780

