Fatty Acid Composition of Northern Pike from an Arctic River (Northeastern Siberia, Russia)
Abstract
1. Introduction
2. Materials and Methods
2.1. Study Area and Sampling
2.2. Biochemical Assay
2.3. Statistical Analysis
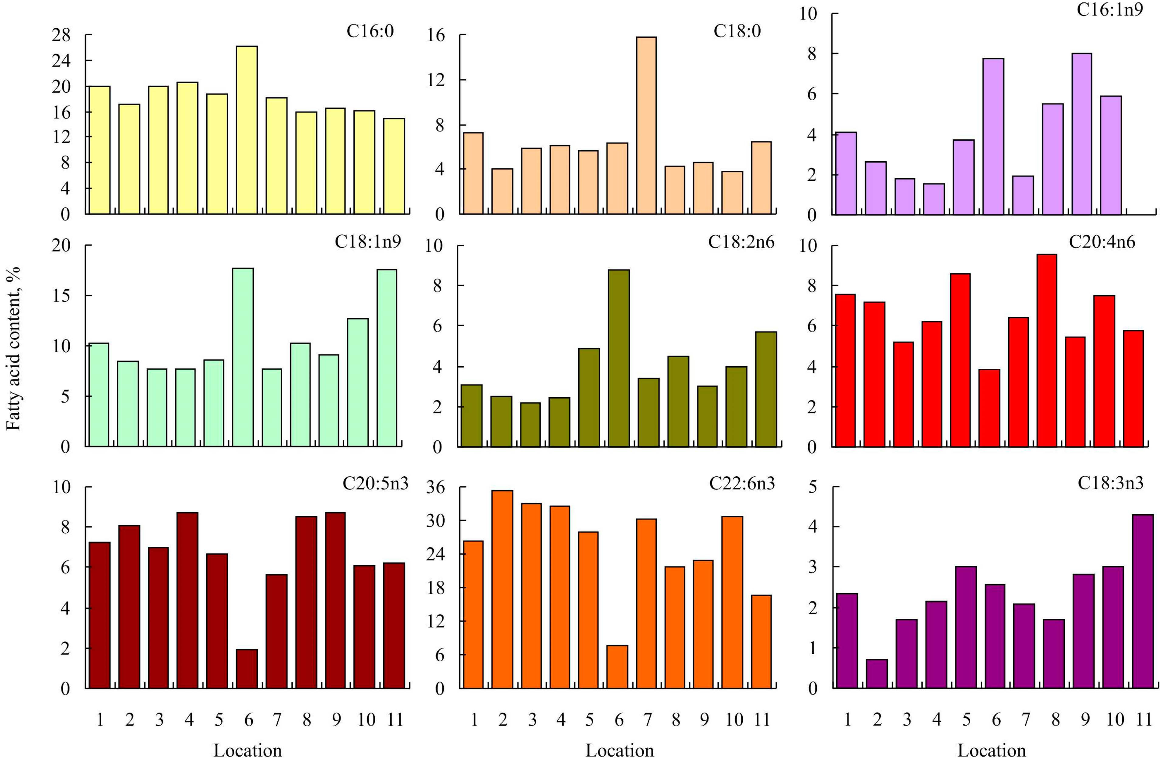
3. Results
4. Discussion
5. Conclusions
Supplementary Materials
Author Contributions
Funding
Institutional Review Board Statement
Data Availability Statement
Acknowledgments
Conflicts of Interest
References
- Andronov, S.; Lobanov, A.; Popov, A.; Luo, Y.; Shaduyko, O.; Fesyun, A.; Lobanova, L.; Bogdanova, E.; Kobel’kova, I. Changing diets and traditional lifestyle of Siberian Arctic indigenous peoples and effects on health and well-being. Ambio 2021, 50, 2060–2071. [Google Scholar] [PubMed]
- Kuhnlein, H.V.; Chan, H.M.; Leggee, D.; Barthet, V. Macronutrient, mineral and fatty acid composition of Canadian Arctic traditional food. J. Food Compos. Anal. 2002, 15, 545–566. [Google Scholar]
- Pal, S.; Haman, F.; Robidoux, M.A. The costs of local food procurement in two northern Indigenous communities in Canada. Food Foodways 2013, 21, 132–152. [Google Scholar]
- Tutelian, V.A.; Onishchenko, G.G. The State Policy of Healthy Nutrition of the Population: Tasks and Ways of Implementation at the Regional Level; GEOTAR-Media: Moscow, Russia, 2009. (In Russian) [Google Scholar]
- Wesche, S.D.; Chan, H.M. Adapting to the impacts of climate change on food security among Inuit in the Western Canadian Arctic. EcoHealth 2010, 7, 361–373. [Google Scholar]
- Bogdanova, E.; Andronov, S.; Soromotin, A.; Detter, G.; Sizov, O.; Hossain, K.; Raheem, D.; Lobanov, A. The impact of climate change on the food (in)security of the Siberian indigenous peoples in the Arctic: Environmental and health risks. Sustainability 2021, 13, 2561. [Google Scholar] [CrossRef]
- Dvoretsky, A.G.; Bichkaeva, F.A.; Vlasova, O.S.; Andronov, S.V.; Dvoretsky, V.G. Fatty acid content of four salmonid fish consumed by indigenous peoples from the Yamal-Nenets Autonomous Okrug (Northwestern Siberia, Russia). Animals 2022, 12, 1643. [Google Scholar]
- Popov, P.A. Fish of Siberia: Distribution, Ecology, Catch; Novosibirsk State University: Novosibirsk, Russia, 2007. (In Russian) [Google Scholar]
- Popov, P.A. Analysis of faunistic complexsis of freshwater fishes of Arctic coast of Western Siberia. Vestn. SFU 2018, 4, 26–37. (In Russian) [Google Scholar]
- Miller, L.M.; Senanan, W. A review of northern pike population genetics research and its implications for management. North. Am. J. Fish. Man. 2003, 23, 297–306. [Google Scholar] [CrossRef]
- Persson, A.; Nilsson, P.A.; Brönmark, C. Trophic interactions. In Biology and Ecology of Pike; Skov, C., Nilsson, P.A., Eds.; CRC Press: Boca Raton, FL, USA, 2018; pp. 185–211. [Google Scholar]
- Kuparinen, A.; Lehtonen, H. Northern pike commercial fisheries, stock assessment and aquaculture. In Biology and Ecology of Pike; Skov, C., Nilsson, P.A., Eds.; CRC Press: Boca Raton, FL, USA, 2018; pp. 337–355. [Google Scholar]
- Raat, A.J.P. Synopsis of Biological Data on the Northern Pike Esox Lucius Linnaeus, 1758; FAO Fish. Synop. No 30; FAO: Rome, Italy, 1988. [Google Scholar]
- FAO. FAO Global Capture Production. 2022. Available online: https://www.fao.org/fishery/statistics-query/en/capture/capture_quantity (accessed on 28 September 2022).
- Giles, N.; Wright, R.M.; Nord, M.E. Cannibalism in pike fry, Esox lucius L.: Some experiments with fry densities. J. Fish Biol. 1986, 29, 107–113. [Google Scholar]
- Bry, C.; Bonamyj, F.; Manelphe, J.; Duranthon, B. Early life characteristics of pike, Esox lucius, in rearing ponds: Temporal survival pattern and ontogenetic diet shifts. J. Fish. Biol. 1995, 46, 99–113. [Google Scholar]
- Huet, M. Textbook of Fish Culture. Breeding and Cultivation of Fish; Fishing News Books Ltd. Page Bros: Norwich, UK, 1975. [Google Scholar]
- Armstrong, J.D. Bioenergetics and individual growth of pike. In Biology and Ecology of Pike; Skov, C., Nilsson, P.A., Eds.; CRC Press: Boca Raton, FL, USA, 2018; pp. 62–82. [Google Scholar]
- Skov, C.; Lucas, M.C.; Jacobsen, L. Spatial ecology. In Biology and Ecology of Pike; Skov, C., Nilsson, P.A., Eds.; CRC Press: Boca Raton, FL, USA, 2018; pp. 83–120. [Google Scholar]
- Haugen, T.O.; Vøllestad, L.A. Pike population size and structure: Influence of density-dependent and density-independent factors. In Biology and Ecology of Pike; Skov, C., Nilsson, P.A., Eds.; CRC Press: Boca Raton, FL, USA, 2018; pp. 123–163. [Google Scholar]
- Wennerström, L.; Bekkevold, D.; Laikre, L. Population genetics of pike. In Biology and Ecology of Pike; Skov, C., Nilsson, P.A., Eds.; CRC Press: Boca Raton, FL, USA, 2018; pp. 164–184. [Google Scholar]
- Schwalme, K. A quantitative comparison between diet and body fatty acid composition in wild northern pike (Esox lucius L.). Fish Physiol. Biochem. 1992, 10, 91–98. [Google Scholar] [CrossRef] [PubMed]
- Bulut, S. Fatty acid composition and ω6/ω3 ratio of the pike (Esox lucius) muscle living in Eber Lake, Turkey. Sci. Res. Essay 2010, 5, 3776–3780. [Google Scholar]
- Ljubojevic, D.; Trbovic, D.; Lujic, J.; Bjelic-Cabrilo, O.; Kostic, D.; Novakov, N.; Cirkovic, M. Fatty acid composition of fishes from inland waters. Bulg. J. Agric. Sci. 2013, 19 (Suppl. 1), 62–71. [Google Scholar]
- Neff, M.R.; Bhavsar, S.P.; Ni, F.J.; Carpenter, D.O.; Drouillard, K.; Fisk, A.T.; Arts, M.T. Risk-benefit of consuming Lake Erie fish. Environ. Res. 2014, 134, 57–65. [Google Scholar] [PubMed]
- Gladyshev, M.I.; Sushchik, N.N.; Glushchenko, L.A.; Rudchenko, A.E.; Zadelenov, V.A.; Dgebuadze, Y.Y. Fatty acid composition of fish species with different feeding habits from an arctic lake. Dokl. Biochem. Biophys. 2017, 474, 220–223. [Google Scholar]
- Sushchik, N.N.; Rudchenko, A.E.; Gladyshev, M.I. Effect of season and trophic level on fatty acid composition and content of four commercial fish species from Krasnoyarsk Reservoir (Siberia, Russia). Fish. Res. 2017, 187, 178–187. [Google Scholar] [CrossRef]
- Bazarsadueva, S.V.; Radnaeva, L.D.; Shiretorova, V.G.; Dylenova, E.P. The comparison of fatty acid composition and lipid quality indices of roach, perch, and pike of Lake Gusinoe (Western Transbaikalia). Int. J. Environ. Res. Public Health 2021, 18, 9032. [Google Scholar] [CrossRef]
- Gogus, U.; Smith, C. n–3 Omega fatty acids: A review of current knowledge. Int. J. Food Sci. Technol. 2010, 45, 417–436. [Google Scholar] [CrossRef]
- Saini, R.K.; Keum, Y.S. Omega-3 and omega-6 polyunsaturated fatty acids: Dietary sources, metabolism, and significance–A review. Life Sci. 2018, 203, 255–267. [Google Scholar]
- Ahlgren, G.; Blomqvist, P.; Boberg, M.; Gustafsson, I.B. Fatty acid content of the dorsal muscle—An indicator of fat quality in freshwater fish. J. Fish Biol. 1994, 45, 131–157. [Google Scholar]
- Nikonova, A.A.; Shishlyannikov, S.M.; Volokitina, N.A.; Galachyants, Y.P.; Bukin, Y.S.; Blinov, V.V.; Gnatovsky, R.Y.; Vorobyeva, S.S. Fatty acid changes in nearshore phytoplankton under anthropogenic impact as a biodiversity risk factor for the world’s deepest lake Baikal. Diversity 2022, 14, 55. [Google Scholar]
- Kasymov, N.S.; Klige, R.K. Recent Global Changes of the Natural Environment; Scientific World: Moscow, Russia, 2006. (In Russian) [Google Scholar]
- Kuznetsov, V.V.; Efremkin, I.M.; Arzhanova, N.G.; Gangnus, I.A.; Klyuchareva, N.G.; Lukyanova, O.N. The current state of the ecosystem of the Gulf of Ob and its fisheries significance. Probl. Fish. Oceanogr. 2008, 5, 129–153. (In Russian) [Google Scholar]
- Matkovsky, A.K.; Stepanov, S.I. Ichthyofauna, migrations and features of seasonal distribution of fish in the Gulf of Ob. In Biological Resources of the Coast of the Russian Arctic; Ponomarenko, V.P., Zelenkov, V.M., Eds.; VNIRO Publishing House: Moscow, Russia, 2000; pp. 74–86. (In Russian) [Google Scholar]
- Folch, J.; Less, M.; Sloane-Stanley, G.H. A simple method for the isolation and purification of total lipids from animal tissues. J. Biol. Chem. 1957, 226, 497–509. [Google Scholar] [PubMed]
- Bichkaeva, F.A.; Baranova, N.G.; Vlasova, O.S.; Nesterova, E.V.; Bichkaev, A.A.; Shengof, B.A.; Tretyakova, T.V. Method for Measuring Mass Concentration of Methyl esters of Fatty Acids in Biological Media by Gas-Liquid Chromatography Method. Patent No. 2 758 932(13) C1, 3 November 2021. (In Russian). [Google Scholar]
- Dvoretsky, A.G.; Bichkaeva, F.A.; Baranova, N.F.; Dvoretsky, V.G. Fatty acid composition of the Barents Sea red king crab (Paralithodes camtschaticus) leg meat. J. Food Compos. Anal. 2021, 98, 103826. [Google Scholar]
- Dvoretsky, A.G.; Bichkaeva, F.A.; Baranova, N.F.; Dvoretsky, V.G. Fatty acids in the circulatory system of an invasive king crab from the Barents Sea. J. Food Compos. Anal. 2022, 110, 104528. [Google Scholar] [CrossRef]
- Dvoretsky, A.G.; Bichkaeva, F.A.; Baranova, N.F.; Dvoretsky, V.G. Fatty acid profiles in the gonads of red king crab (Paralithodes camtschaticus) from the Barents Sea. Animals 2023, 13, 336. [Google Scholar]
- Chen, J.; Liu, H. Nutritional indices for assessing fatty acids: A mini-review. Int. J. Mol. Sci. 2020, 21, 5695. [Google Scholar] [CrossRef]
- Jankowska, B.; Zakes, Z.; Zmijewski, T.; Szczepkowski, M. Fatty acid composition of wild and cultured northern pike (Esox lucius). J. Appl. Ichtiol. 2008, 24, 196–201. [Google Scholar] [CrossRef]
- Vasconi, M.; Caprino, F.; Bellagamba, F.; Busetto, M.L.; Bernardi, C.; Puzzi, C.; Moretti, V.M. Fatty acid composition of freshwater wild fish in subalpine lakes: A comparative study. Lipids 2015, 50, 283–302. [Google Scholar]
- Bulut, S.; Konuk, M.; Uysal, K.; Mert, R.; Cemek, M. Seasonal variation in the fatty acid composition and ω6/ω3 ratio of the pike (Esox lucius) muscle living in Karamik Lake, Turkey. Fresen. Environ. Bull. 2010, 10, 2227–2231. [Google Scholar]
- Kinsella, J.E.; Shimp, J.L.; Mai, J.; Weihrauch, J. Fatty acid content and composition of freshwater finfish. J. Am. Oil Chem. Soc. 1977, 54, 424–429. [Google Scholar]
- Mutalipassi, M.; Esposito, R.; Ruocco, N.; Viel, T.; Costantini, M.; Zupo, V. Bioactive compounds of nutraceutical value from fishery and aquaculture discards. Foods 2021, 10, 1495. [Google Scholar] [CrossRef] [PubMed]
- de la Broise, D.; Ventura, M.; Chauchat, L.; Guerreiro, M.; Michez, T.; Vinet, T.; Gautron, N.; Le Grand, F.; Bideau, A.; Goïc, N.L.; et al. Scale-up to pilot of a non-axenic culture of thraustochytrids using digestate from methanization as nitrogen source. Mar. Drugs 2022, 20, 499. [Google Scholar] [CrossRef]
- Dvoretsky, A.G.; Dvoretsky, V.G. Cucumaria in Russian waters of the Barents Sea: Biological aspects and aquaculture potential. Front. Mar. Sci. 2021, 8, 613453. [Google Scholar] [CrossRef]
- Gladyshev, M.I.; Makhrov, A.A.; Baydarov, I.V.; Safonova, S.S.; Golod, V.M.; Alekseyev, S.S.; Glushchenko, L.A.; Rudchenko, A.E.; Karpov, V.A.; Sushchik, N.N. Fatty acid composition and contents of fish of genus Salvelinus from natural ecosystems and aquaculture. Biomolecules 2022, 12, 144. [Google Scholar] [CrossRef] [PubMed]
- Zhang, X.; Zheng, W.; Zhang, H.; Chai, Y.; Ruan, G. Comparison of muscle quality of the yellow catfish cultured in in-pond raceway systems and traditional ponds. Water 2022, 14, 1223. [Google Scholar]
- Farkas, T.; Fodor, E.; Kitajka, K.; Halver, J.E. Response of fish membranes to environmental temperature. Aquac. Res. 2001, 32, 645–655. [Google Scholar] [CrossRef]
- Farkas, T.; Roy, R. Temperature mediated restructuring of phosphatidylethanolamines in livers of freshwater fishes. Compar. Biochem. Physiol. B 1989, 93, 217–222. [Google Scholar] [CrossRef]
- Batista, R.O.; Nobrega, R.O.; Schleder, D.D.; Pettigrew, J.E.; Fracalossi, D.M. Aurantiochytrium sp. meal improved body fatty acid profile and morphophysiology in Nile tilapia reared at low temperature. Fishes 2021, 6, 45. [Google Scholar]
- García-Márquez, J.; Galafat, A.; Alarcón, F.J.; Figueroa, F.L.; Martínez-Manzanares, E.; Arijo, S.; Abdala-Díaz, R.T. Cultivated and wild juvenile thick-lipped grey mullet, Chelon labrosus: A comparison from a nutritional point of view. Animals 2021, 11, 2112. [Google Scholar] [CrossRef] [PubMed]
- Mzengereza, K.; Ishikawa, M.; Koshio, S.; Yokoyama, S.; Yukun, Z.; Shadrack, R.S.; Seo, S.; Duy Khoa, T.N.; Moss, A.; Dossou, S.; et al. Effect of substituting fish oil with camelina oil on growth performance, fatty acid profile, digestibility, liver histology, and antioxidative status of red seabream (Pagrus major). Animals 2021, 11, 1990. [Google Scholar] [PubMed]
- Abu-Alya, I.S.; Alharbi, Y.M.; Fathalla, S.I.; Zahran, I.S.; Shousha, S.M.; Abdel-Rahman, H.A. Effect of partial soybean replacement by shrimp by-products on the productive and economic performances in African catfish (Clarias lazera) diets. Fishes 2021, 6, 84. [Google Scholar] [CrossRef]
- Alp, A.; Yeğen, V.; Yağcı, M.A.; Uysal, R.; Biçen, E.; Yağcı, A. Diet composition and prey selection of the pike, Esox lucius, in Civril Lake, Turkey. J. Appl. Ichthyol. 2008, 24, 670–677. [Google Scholar]
- Youngs, W.D.; Oglesby, R.T. Cayuga Lake: Effects of exploitation and introductions on the salmonid community. J. Fish. Res. Bd. Can. 1972, 29, 787–794. [Google Scholar] [CrossRef]
- Andrzejewski, W.; Mazurkiewicz, J.; Przybył, A.; Golski, J. Pike’s food from a river and a carp pond. Nauka Przyr. Technol. 2010, 4, 29. [Google Scholar]
- Diana, J.S. The feeding pattern and daily ration of a top carnivore, the northern pike (Esox lucius). Can. J. Zool. 1979, 57, 2121–2127. [Google Scholar] [CrossRef]
- Mérő, T.O. Diet in pike (Esox lucius) in northwestern Vojvodina (Serbia). Nat. Croat. 2014, 23, 27–34. [Google Scholar]
- Stanic, B.; Andric, N.; Zoric, S.; Grubor-Lajsic, G.; Kovacevic, R. Assessing pollution in the Danube River near Novi Sad (Serbia) using several biomarkers in sterlet (Acipenser ruthenus L.). Ecotoxicol. Environ. Saf. 2006, 65, 395–402. [Google Scholar] [PubMed]
- Mihailović, A.; Budinski-Petković, L.; Popov, S.; Ninkov, J.; Vasin, J.; Ralević, N.M.; Vučinić Vasić, M. Spatial distribution of metals in urban soil of Novi Sad, Serbia: GIS based approach. J. Geochem. Explor. 2015, 150, 104–114. [Google Scholar] [CrossRef]
- Hussain, B.; Sultana, T.; Sultana, S.; Al-Ghanim, K.A.; Al-Misned, F.; Mahboob, S. Influence of habitat degradation on the fatty acid profiles of fish, microalgae, and zoobenthos in a river ecosystem. Process Saf. Environ. Protect. 2019, 123, 24–32. [Google Scholar] [CrossRef]
- Baldissera, M.D.; Souza, C.F.; Barroso, D.C.; Pereira, R.S.; de Oliveira, F.C.; Alessio, K.O.; Wagner, R.; Bizzi, C.A.; Baldisserotto, B.; Val, A.L. Consequences of oxidative damage on the fatty acid profile in muscle of Cichlasoma amazonarumacutely exposed to copper. Fish Physiol. Biochem. 2020, 46, 2377–2387. [Google Scholar] [CrossRef]
- Mahboob, S.; Al-Ghanim, K.A.; Al-Misned, F.; Shahid, T.; Sultana, S.; Sultan, T.; Hussain, B.; Ahmed, Z. Impact of water pollution on trophic transfer of fatty acids in fish, microalgae, and zoobenthos in the food web of a freshwater ecosystem. Biomolecules 2019, 9, 231. [Google Scholar]
- Das, D.; Das, P.; Moniruzzaman, M.; Sarkar, M.P.; Mukherjee, J.; Chakraborty, S.B. Consequences of oxidative damage and mitochondrial dysfunction on the fatty acid profile of muscle of Indian major carps considering metal toxicity. Chemosphere 2018, 207, 385–396. [Google Scholar]
- Tramice, A.; Trifuoggi, M.; Ahmad, M.F.; Lam, S.S.; Iodice, C.; Velotto, G.; Giarra, A.; Inglese, S.; Cupo, A.; Guerriero, G.; et al. Comparative fatty acid profiling of edible fishes in Kuala Terengganu, Malaysia. Foods 2021, 10, 2456. [Google Scholar] [CrossRef] [PubMed]
- Tarricone, S.; Caputi Jambrenghi, A.; Cagnetta, P.; Ragni, M. Wild and farmed sea bass (Dicentrarchus labrax): Comparison of biometry traits, chemical and fatty acid composition of fillets. Fishes 2022, 7, 45. [Google Scholar]
- Voronin, V.P.; Artemenkov, D.V.; Orlov, A.M.; Murzina, S.A. Lipids and fatty acids in some mesopelagic fish species: General characteristics and peculiarities of adaptive response to deep-water habitat. J. Mar. Sci. Eng. 2022, 10, 949. [Google Scholar] [CrossRef]
- Voronin, V.P.; Artemenkov, D.V.; Orlov, A.M.; Murzina, S.A. Fatty acid spectra in mesopelagic fishes of the Myctophidae and Stomiidae families collected in the North East Atlantic. Diversity 2023, 15, 166. [Google Scholar]
- Oliver, L.; Dietrich, T.; Marañón, I.; Villarán, M.C.; Barrio, R.J. Producing omega-3 polyunsaturated fatty acids: A review of sustainable sources and future trends for the EPA and DHA market. Resources 2020, 9, 148. [Google Scholar] [CrossRef]
- Cartoni Mancinelli, A.; Mattioli, S.; Twining, C.; Dal Bosco, A.; Donoghue, A.M.; Arsi, K.; Angelucci, E.; Chiattelli, D.; Castellini, C. Poultry meat and eggs as an alternative source of n-3 long-chain polyunsaturated fatty acids for human nutrition. Nutrients 2022, 14, 1969. [Google Scholar]
- EFSA Panel on Dietetic Products, Nutrition, and Allergies (NDA). Scientific opinion on dietary reference values for fats, including saturated fatty acids, polyunsaturated fatty acids, monounsaturated fatty acids, trans fatty acids, and cholesterol. EFSA J. 2010, 8, 1461. [Google Scholar]
- Bozzatello, P.; Blua, C.; Rocca, P.; Bellino, S. Mental health in childhood and adolescence: The role of polyunsaturated fatty acids. Biomedicines 2021, 9, 850. [Google Scholar] [CrossRef]
- Hatton, S.L.; Pandey, M.K. Fat and protein combat triggers immunological weapons of innate and adaptive immune systems to launch neuroinflammation in Parkinson’s Disease. Int. J. Mol. Sci. 2022, 23, 1089. [Google Scholar] [PubMed]
- Rodriguez, D.; Lavie, C.J.; Elagizi, A.; Milani, R.V. Update on omega-3 polyunsaturated fatty acids on cardiovascular health. Nutrients 2022, 14, 5146. [Google Scholar] [CrossRef]
- Elbandy, M. Anti-inflammatory effects of marine bioactive compounds and their potential as functional food ingredients in the prevention and treatment of neuroinflammatory disorders. Molecules 2023, 28, 2. [Google Scholar] [CrossRef]
- Gnedov, A.A. Biological and chemical composition of northern fishmeat as a factor that forms their quality. Vestn. KrasGAU 2010, 11, 184–189. (In Russian) [Google Scholar]
- Andronov, S.V.; Lobanov, A.A.; Kostritsyn, V.V.; Kobelkova, I.V.; Keshabyants, E.E.; Martinchik, A.N.; Lobanova, L.P.; Popov, A.I.; Kochkin, R.A. The traditional food of indigenous inhabitants of the Yamal-Nenets Autonomous District and the prevention of development of hypertension, chronic bronchitis and overweight. Sci. Bull. Yamal-Nenets Auton. Dist. 2017, 2, 13–16. (In Russian) [Google Scholar]



| No. | Location | Country | Coordinates | Climatic Zone | Trophic Status | Period | Reference |
|---|---|---|---|---|---|---|---|
| 1 | Gyda River | Russia | 70°53′41″ N, 78°30′14″ E | A | O | Sep | Present study |
| 2 | Lake Sobachie | Russia | 69°02″ N 91°05″ E | A | O | Jul | [26] |
| 3 | Ubei Bay | Russia | 55°55″ N 91°37″ E | SA | O | Oct | [27] |
| 4 | Lake Gusinoe | Russia | 51°12′06″ N 106°23′32″ E | T | O | Jun | [28] |
| 5 | Lake Dgał Wielki | Poland | 54°06′36″ N 21°47′35″ E | T | E | Aug | [42] |
| 6 | Danube River | Serbia | 45°15′52″ N 19°49′54″ E | T | E | Nov | [24] |
| 7 | Lake Iseo | Italy | 45°42′42″ N 10°04′19″ E | T | E | Jun | [43] |
| 8 | Lake Karamık | Turkey | 32°28′ N 30°53′ E | W | E | Autumn | [44] |
| 9 | Lake Eber | Turkey | 38°40′ N 31°12′ E | W | E | Aug | [23] |
| 10 | Lake Cayuga | USA | 42°41′17″ N 76°42′8″ W | W | E | Sep/Oct | [45] |
| 11 | Lac Ste. Anne | Canada | 53°44′ N 114°22 W | T | E | Jun/Aug | [22] |
| Fatty Acid | Concentration, μg g–1 | % of Total Fatty Acids | ||||||
|---|---|---|---|---|---|---|---|---|
| X | SE | Min | Max | X | SE | Min | Max | |
| C6:0 | 0.35 | 0.01 | 0.32 | 0.38 | 0.01 | 0.00 | 0.01 | 0.01 |
| C8:0 | 1.32 | 0.05 | 1.13 | 1.53 | 0.03 | 0.00 | 0.03 | 0.04 |
| C9:0 | 1.19 | 0.02 | 1.12 | 1.27 | 0.03 | 0.00 | 0.03 | 0.03 |
| C10:0 | 2.29 | 0.03 | 2.18 | 2.40 | 0.06 | 0.00 | 0.06 | 0.06 |
| C11:0 | 0.80 | 0.01 | 0.76 | 0.85 | 0.02 | 0.00 | 0.02 | 0.02 |
| C12:0 | 18.3 | 0.12 | 17.9 | 18.9 | 0.45 | 0.00 | 0.45 | 0.46 |
| C13:0 | 25.0 | 0.04 | 24.9 | 25.2 | 0.62 | 0.00 | 0.60 | 0.63 |
| C14:0 | 61.4 | 1.70 | 55.1 | 68.4 | 1.51 | 0.05 | 1.32 | 1.71 |
| C15:0 | 30.3 | 0.50 | 28.4 | 32.3 | 0.75 | 0.02 | 0.68 | 0.81 |
| C16:0 | 812 | 4.97 | 793 | 832 | 20.0 | 0.29 | 18.9 | 21.1 |
| C17:0 | 25.2 | 0.16 | 24.6 | 25.8 | 0.62 | 0.01 | 0.58 | 0.65 |
| C18:0 | 296 | 1.09 | 292 | 301 | 7.29 | 0.09 | 6.93 | 7.63 |
| C20:0 | 3.72 | 0.01 | 3.68 | 3.76 | 0.09 | 0.00 | 0.09 | 0.10 |
| C21:0 | 0.87 | 0.00 | 0.86 | 0.89 | 0.02 | 0.00 | 0.02 | 0.02 |
| C22:0 | 3.07 | 0.02 | 3.01 | 3.14 | 0.08 | 0.00 | 0.07 | 0.08 |
| C23:0 | 0.35 | 0.00 | 0.34 | 0.36 | 0.01 | 0.00 | 0.01 | 0.01 |
| C24:0 | 2.72 | 0.06 | 2.52 | 2.95 | 0.07 | 0.00 | 0.06 | 0.07 |
| C14:1n5t | 0.28 | 0.01 | 0.23 | 0.33 | 0.01 | 0.00 | 0.01 | 0.01 |
| C14:1n5c | 0.95 | 0.06 | 0.71 | 1.21 | 0.02 | 0.00 | 0.02 | 0.03 |
| C15:1 | 0.74 | 0.03 | 0.64 | 0.84 | 0.02 | 0.00 | 0.02 | 0.02 |
| C16:1n7t | 1.62 | 0.01 | 1.57 | 1.67 | 0.04 | 0.00 | 0.04 | 0.04 |
| C16:1n7c | 166 | 4.01 | 151 | 182 | 4.08 | 0.13 | 3.62 | 4.55 |
| C17:1 | 3.02 | 0.05 | 2.85 | 3.21 | 0.07 | 0.00 | 0.07 | 0.08 |
| C18:1n9t | 6.58 | 0.21 | 5.81 | 7.42 | 0.16 | 0.00 | 0.15 | 0.18 |
| C18:1n9c | 416 | 3.63 | 402 | 431 | 10.2 | 0.17 | 9.59 | 10.9 |
| C20:1 | 11.72 | 0.41 | 10.18 | 13.39 | 0.29 | 0.01 | 0.24 | 0.34 |
| C22:1 | 1.02 | 0.01 | 1.00 | 1.04 | 0.03 | 0.00 | 0.02 | 0.03 |
| C24:1 | 6.79 | 0.05 | 6.61 | 6.99 | 0.17 | 0.00 | 0.17 | 0.17 |
| C18:2n6t | 0.26 | 0.06 | 0.00 | 0.42 | 0.01 | 0.00 | 0.00 | 0.01 |
| C18:2n6c | 125 | 0.16 | 124 | 126 | 3.08 | 0.02 | 2.97 | 3.17 |
| C18:3n3 | 94.7 | 0.04 | 94.6 | 94.9 | 2.33 | 0.02 | 2.24 | 2.41 |
| C18:3n6 | 1.87 | 0.02 | 1.78 | 1.96 | 0.05 | 0.00 | 0.04 | 0.05 |
| C20:2n6 | 18.7 | 0.04 | 18.5 | 18.9 | 0.46 | 0.01 | 0.44 | 0.48 |
| C20:3n6 | 12.90 | 0.24 | 12.00 | 13.88 | 0.32 | 0.00 | 0.31 | 0.33 |
| C20:4n6 | 309 | 5.95 | 287 | 333 | 7.59 | 0.08 | 7.30 | 7.88 |
| C22:2n6 | 1.46 | 0.05 | 1.27 | 1.66 | 0.04 | 0.00 | 0.03 | 0.04 |
| C20:5n3 | 295 | 4.99 | 277 | 316 | 7.25 | 0.06 | 7.04 | 7.46 |
| C22:6n3 | 1070 | 33.50 | 947 | 1209 | 26.3 | 0.60 | 24.1 | 28.6 |
| C20:3n3 | 9.94 | 0.01 | 9.92 | 9.97 | 0.24 | 0.00 | 0.23 | 0.25 |
| C22:4n6 | 21.5 | 0.43 | 19.9 | 23.2 | 0.53 | 0.01 | 0.51 | 0.55 |
| C22:3n3 | 0.43 | 0.01 | 0.41 | 0.46 | 0.01 | 0.00 | 0.01 | 0.01 |
| C22:5n6 | 86.8 | 2.33 | 78.0 | 96.3 | 2.13 | 0.04 | 1.99 | 2.28 |
| C22:5n3 | 119 | 2.91 | 108 | 131 | 2.92 | 0.05 | 2.75 | 3.09 |
| ∑SFA | 1285 | 8.26 | 1254 | 1319 | 31.6 | 0.47 | 29.8 | 33.4 |
| ∑MUFA | 614 | 7.87 | 585 | 647 | 15.1 | 0.32 | 14.0 | 16.2 |
| ∑PUFA | 2170 | 50.6 | 1980 | 2376 | 53.3 | 0.78 | 50.4 | 56.1 |
| Total | 4069 | 35.8 | 3929 | 4232 | 100 | 0 | 100 | 100 |
| n-3 | 1592 | 41.4 | 1437 | 1761 | 39.1 | 0.7 | 36.6 | 41.6 |
| n-6 | 578 | 9.16 | 543 | 615 | 14.2 | 0.1 | 13.8 | 14.5 |
| n-6/n-3 | 0.36 | 0.00 | 0.35 | 0.38 | – | – | – | – |
| n-3/n-6 | 2.75 | 0.03 | 2.65 | 2.86 | – | – | – | – |
| PUFA/SFA | 1.69 | 0.05 | 1.51 | 1.88 | – | – | – | – |
| AI | 0.39 | 0.01 | 0.35 | 0.42 | – | – | – | – |
| TI | 0.22 | 0.01 | 0.19 | 0.24 | – | – | – | – |
| h/H | 2.83 | 0.07 | 2.57 | 3.10 | – | – | – | – |
| Pair | Dissimilarity, % | Fatty Acid (Contribution) |
|---|---|---|
| CL3–Out1 | 37.07 | C16:1n7 (13%), C16:1n9 (10%), C24:1 (8%) |
| Out2–Out1 | 35.46 | C16:1n7 (14%), C16:1n9 (12%), C18:1n11 (10%) |
| Out2–CL3 | 32.69 | C18:1n11 (10%), C24:1 (8%), C22:6n3 (8%) |
| CL1–Out2 | 31.74 | C22:6n3 (13%), C18:1n11 (10%), C8:0 (8%) |
| CL1–CL3 | 28.77 | C24:1 (10%), C22:5n3 (8%), C16:1n9 (6%) |
| CL2–Out2 | 27.02 | C22:6n3 (13%), C8:0 (9%), C18:1n11 (9%) |
| CL1–Out1 | 26.35 | C16:1n7 (17%), C22:6n3 (10%), C16:1n9 (8%) |
| CL2–CL3 | 24.54 | C24:1 (11%), C22:5n3 (10%), C22:5n6 (8%) |
| CL2–Out1 | 24.25 | C16:1n7 (21%), C16:1n9 (13%), C22:6n3 (8%) |
| CL2–CL1 | 17.09 | C18:1n7 (10%), C16:1n9 (6%), C18:0 (5%) |
Disclaimer/Publisher’s Note: The statements, opinions and data contained in all publications are solely those of the individual author(s) and contributor(s) and not of MDPI and/or the editor(s). MDPI and/or the editor(s) disclaim responsibility for any injury to people or property resulting from any ideas, methods, instructions or products referred to in the content. |
© 2023 by the authors. Licensee MDPI, Basel, Switzerland. This article is an open access article distributed under the terms and conditions of the Creative Commons Attribution (CC BY) license (https://creativecommons.org/licenses/by/4.0/).
Share and Cite
Dvoretsky, A.G.; Bichkaeva, F.A.; Vlasova, O.S.; Andronov, S.V.; Dvoretsky, V.G. Fatty Acid Composition of Northern Pike from an Arctic River (Northeastern Siberia, Russia). Foods 2023, 12, 764. https://doi.org/10.3390/foods12040764
Dvoretsky AG, Bichkaeva FA, Vlasova OS, Andronov SV, Dvoretsky VG. Fatty Acid Composition of Northern Pike from an Arctic River (Northeastern Siberia, Russia). Foods. 2023; 12(4):764. https://doi.org/10.3390/foods12040764
Chicago/Turabian StyleDvoretsky, Alexander G., Fatima A. Bichkaeva, Olga S. Vlasova, Sergei V. Andronov, and Vladimir G. Dvoretsky. 2023. "Fatty Acid Composition of Northern Pike from an Arctic River (Northeastern Siberia, Russia)" Foods 12, no. 4: 764. https://doi.org/10.3390/foods12040764
APA StyleDvoretsky, A. G., Bichkaeva, F. A., Vlasova, O. S., Andronov, S. V., & Dvoretsky, V. G. (2023). Fatty Acid Composition of Northern Pike from an Arctic River (Northeastern Siberia, Russia). Foods, 12(4), 764. https://doi.org/10.3390/foods12040764

