Determining the Authenticity of Spirulina Dietary Supplements Based on Stable Isotope and Elemental Composition
Abstract
1. Introduction
2. Materials and Methods
2.1. Sample Collection and Preparation
2.2. Stable Isotope Ratio Analysis of Light Elements Using Isotope Ratio Mass Spectrometry
2.3. Macro-Elemental Composition Analysis by X-ray Fluorescence Spectrometry
2.4. Statistical Analysis
3. Results and Discussion
3.1. Isotopic Composition of Spirulina Food Supplements from the Slovenian Market
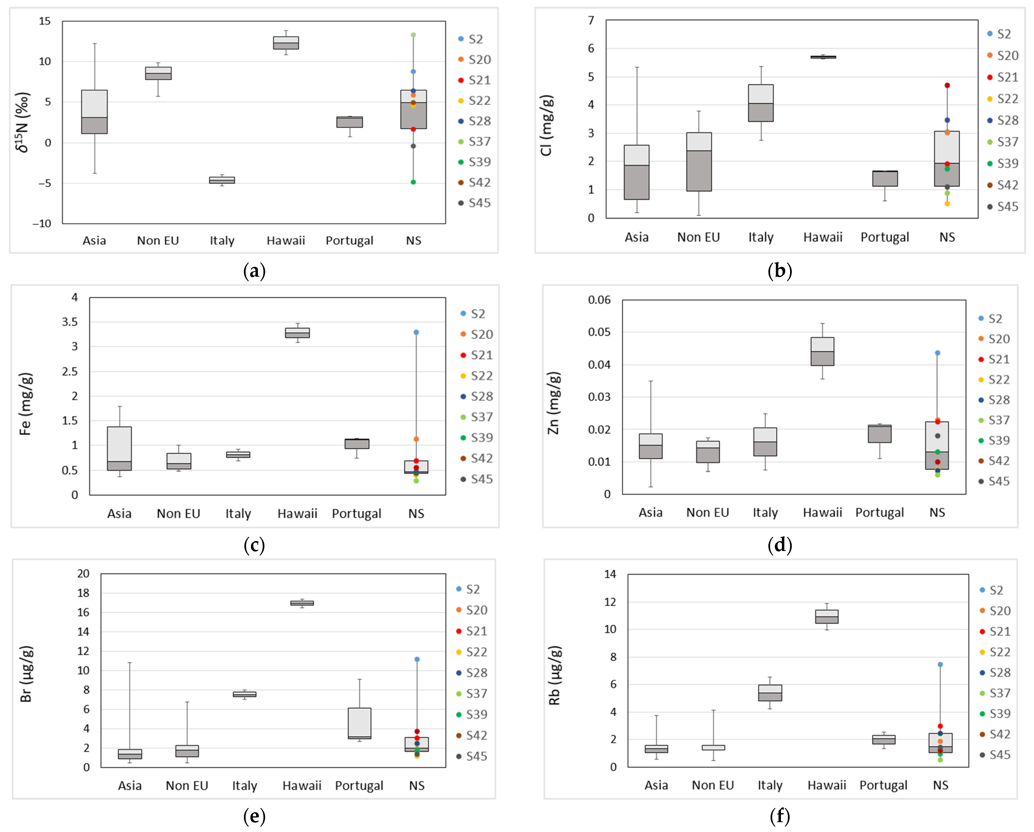
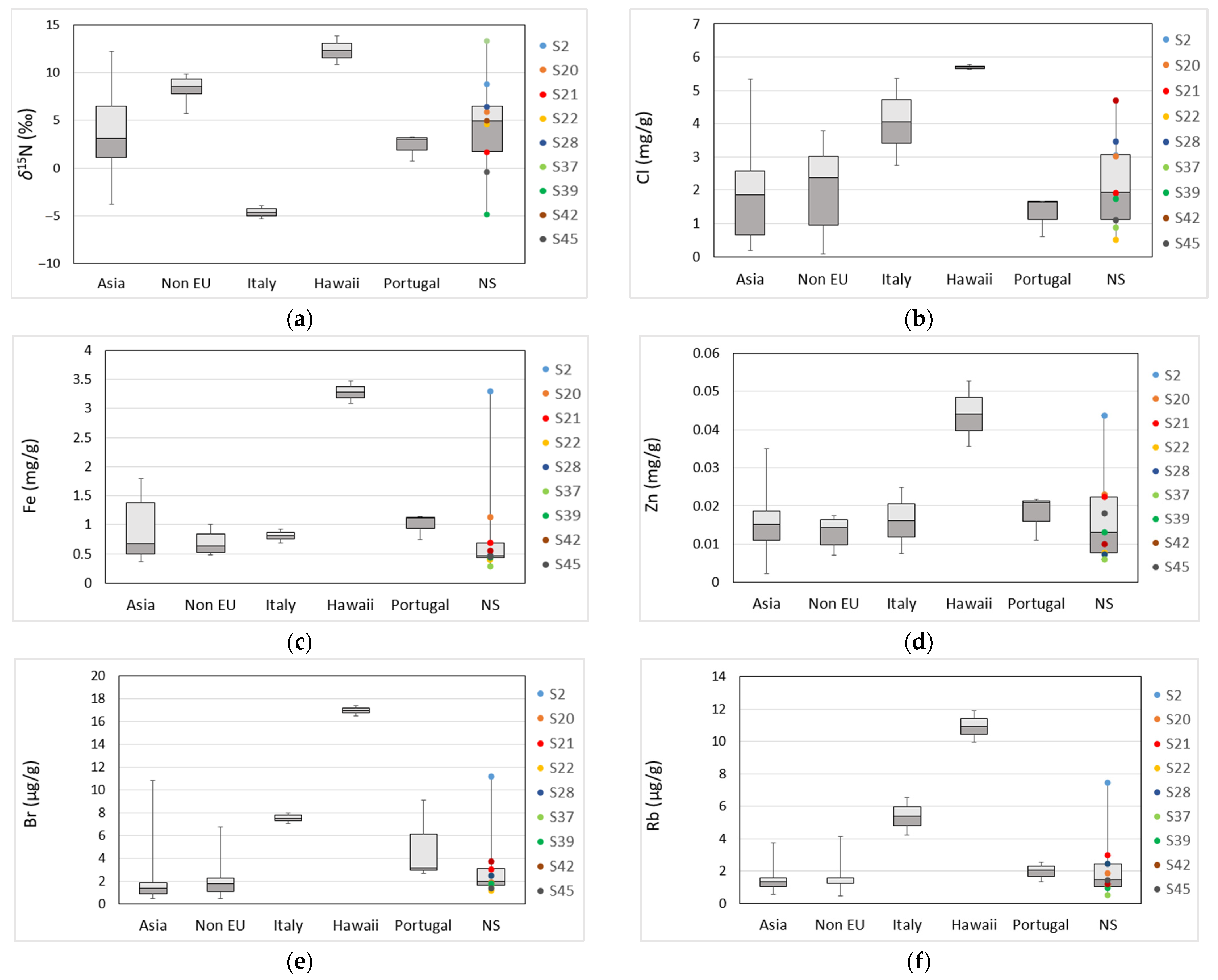
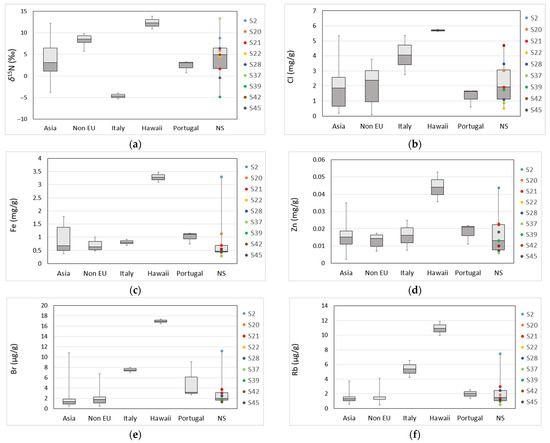
3.2. Geographical Discrimination of Spirulina Samples from the Slovenian Market
3.2.1. Principal Component Analysis of All Spirulina Samples
3.2.2. Discriminant Analysis of Spirulina Samples
4. Conclusions
Supplementary Materials
Author Contributions
Funding
Institutional Review Board Statement
Informed Consent Statement
Data Availability Statement
Conflicts of Interest
References
- Luo, D.; Dong, H.; Luo, H.; Xian, Y.; Wan, J.; Guo, X.; Wu, Y. The Application of Stable Isotope Ratio Analysis to Determine the Geographical Origin of Wheat. Food Chem. 2015, 174, 197–201. [Google Scholar] [CrossRef]
- Charlebois, S.; Schwab, A.; Henn, R.; Huck, C.W. Food Fraud: An Exploratory Study for Measuring Consumer Perception towards Mislabeled Food Products and Influence on Self-Authentication Intentions. Trends Food Sci. Technol. 2016, 50, 211–218. [Google Scholar] [CrossRef]
- De Carvalho, L.M.D.; Cohen, P.A.; Silva, C.V.; Moreira, A.P.L.; Falcão, T.M.; Dal Molin, T.R.; Zemolin, G.; Martini, M. A New Approach to Determining Pharmacologic Adulteration of Herbal Weight Loss Products. Food Addit. Contam. Part A 2012, 29, 1661–1667. [Google Scholar] [CrossRef]
- Moreira, A.P.L.; Gobo, L.A.; Viana, C.; de Carvalho, L.M. Simultaneous Analysis of Antihypertensive Drugs and Diuretics as Adulterants in Herbal-Based Products by Ultra-High Performance Liquid Chromatography-Electrospray Tandem Mass Spectrometry. Anal. Methods 2016, 8, 1881–1888. [Google Scholar] [CrossRef]
- Wu, D.; Nie, P.; Cuello, J.; He, Y.; Wang, Z.; Wu, H. Application of Visible and near Infrared Spectroscopy for Rapid and Non-Invasive Quantification of Common Adulterants in Spirulina Powder. J. Food Eng. 2011, 102, 278–286. [Google Scholar] [CrossRef]
- Gonzalvez, A.; Armenta, S.; de la Guardia, M. Trace-Element Composition and Stable-Isotope Ratio for Discrimination of Foods with Protected Designation of Origin. Trends Anal. Chem. 2009, 28, 1295–1311. [Google Scholar] [CrossRef]
- Matos, Â.P. The Impact of Microalgae in Food Science and Technology. J. Am. Oil Chem. Soc. 2017, 94, 1333–1350. [Google Scholar] [CrossRef]
- Marzorati, S.; Schievano, A.; Idà, A.; Verotta, L. Carotenoids, Chlorophylls and Phycocyanin from Spirulina: Supercritical CO2 and Water Extraction Methods for Added Value Products Cascade. Green Chem. 2020, 22, 187–196. [Google Scholar] [CrossRef]
- Masten Rutar, J.; Jagodic Hudobivnik, M.; Nečemer, M.; Vogel Mikuš, K.; Arčon, I.; Ogrinc, N. Nutritional Quality and Safety of the Spirulina Dietary Supplements Sold on the Slovenian Market. Foods 2022, 11, 849. [Google Scholar] [CrossRef]
- But, P.P.-H.; Cheng, L.; Chan, P.K.; Lau, D.T.-W.; But, J.W.-H. Nostoc Flagelliforme and Faked Items Retailed in Hong Kong. J. Appl. Phycol. 2002, 14, 143–145. [Google Scholar] [CrossRef]
- Arenas, P.M.; Cortella, A.R.; Guarrera, S.A. Diagnostic of the Present State of the Use of Algae in Argentina: Different Fields of Application. In Proceedings of the ISHS Acta Horticulturae 500; International Society for Horticultural Science (ISHS): Mendoza, Argentina, 1999; pp. 193–196. [Google Scholar]
- Gallardo-Velázquez, T.; Osorio-Revilla, G.; Zuñiga-de Loa, M.; Rivera-Espinoza, Y. Application of FTIR-HATR Spectroscopy and Multivariate Analysis to the Quantification of Adulterants in Mexican Honeys. Food Res. Int. 2009, 42, 313–318. [Google Scholar] [CrossRef]
- Drivelos, S.A.; Georgiou, C.A. Multi-Element and Multi-Isotope-Ratio Analysis to Determine the Geographical Origin of Foods in the European Union. Trends Anal Chem 2012, 40, 38–51. [Google Scholar] [CrossRef]
- Singh, R.N.; Sharma, S. Development of Suitable Photobioreactor for Algae Production—A Review. Renew. Sustain. Energy Rev. 2012, 16, 2347–2353. [Google Scholar] [CrossRef]
- Cuaresma, M.; Janssen, M.; Vílchez, C.; Wijffels, R.H. Horizontal or Vertical Photobioreactors? How to Improve Microalgae Photosynthetic Efficiency. Bioresour. Technol. 2011, 102, 5129–5137. [Google Scholar] [CrossRef]
- Hase, R.; Oikawa, H.; Sasao, C.; Morita, M.; Watanabe, Y. Photosynthetic Production of Microalgal Biomass in a Raceway System under Greenhouse Conditions in Sendai City. J. Biosci. Bioeng. 2000, 89, 157–163. [Google Scholar] [CrossRef]
- West, J.B.; Hurley, J.M.; Ehleringer, J.R. Stable Isotope Ratios of Marijuana. I. Carbon and Nitrogen Stable Isotopes Describe Growth Conditions. J. Forensic Sci. 2009, 54, 84–89. [Google Scholar] [CrossRef]
- Wadleigh, M.A.; Schwarcz, H.P.; Kramer, J.R. Isotopic Evidence for the Origin of Sulphate in Coastal Rain. Tellus B Chem. Phys. Meteorol. 1996, 48, 44–59. [Google Scholar] [CrossRef]
- Wadleigh, M.A.; Blake, D.M. Tracing Sources of Atmospheric Sulphur Using Epiphytic Lichens. Environ. Pollut. 1999, 106, 265–271. [Google Scholar] [CrossRef]
- Kelly, S.; Heaton, K.; Hoogewerff, J. Tracing the Geographical Origin of Food: The Application of Multi-Element and Multi-Isotope Analysis. Trends Food Sci. Technol. 2005, 16, 555–567. [Google Scholar] [CrossRef]
- Meier-Augenstein, W. Stable Isotope Analysis of Fatty Acids by Gas Chromatography–Isotope Ratio Mass Spectrometry. Anal. Chim. Acta 2002, 465, 63–79. [Google Scholar] [CrossRef]
- Alexandre, P. Stable Isotopes and the Hydrosphere. In Isotopes and the Natural Environment; Alexandre, P., Ed.; Springer Textbooks in Earth Sciences, Geography and Environment; Springer International Publishing: Cham, Switzerland, 2020; pp. 21–28. ISBN 978-3-030-33652-3. [Google Scholar]
- Puspanadan, S.; Wong, X.J.; Lee, C.K. Optimization of Freshwater Microalgae, Arthrospira Sp. (Spirulina) for High Starch Production. Int. Food Res. J. 2018, 25, 1266–1272. [Google Scholar]
- Kendall, C. Tracing Nitrogen Sources and Cycles in Catchments. In Isotope tracers in catchment hydrology; Kendall, C., McDonnell, J., Eds.; Elsevier: New York, NY, USA, 1998; pp. 519–576. [Google Scholar]
- Reham, A.E.A.E.H.; Yasser, T.A.M.; Entsar, M.E.-M.E. The Use of Vermicompost in Cultivation and Production of Spirulina Platensis. Egypt. J. Aquat. Res. 2019, 9, 1–12. [Google Scholar] [CrossRef]
- Devanathan, J.; Ramanathan, N. Pigment Production from Spirulina Platensis Using Seawater Supplemented with Dry Poultry Manure. J. Algal Biomass Utln. 2012, 3, 66–73. [Google Scholar]
- Chaiklahan, R.; Chirasuwan, N.; Siangdung, W.; Paithoonrangsarid, K.; Bunnag, B. Cultivation of Spirulina Platensis Using Pig Wastewater in a Semi-Continuous Process. J. Microbiol. Biotechnol. 2010, 20, 609–614. [Google Scholar] [CrossRef]
- Frontasyeva, M.V.; Pavlov, S.S.; Mosulishvili, L.; Kirkesali, E.; Ginturi, E.; Kuchava, N. Accumulation of Trace Elements by Biological Matrice of Spirulina Platensis. Ecol. Chem. Eng. S. 2009, 16, 277–285. [Google Scholar]
- Cases, J.; Vacchina, V.; Napolitano, A.; Caporiccio, B.; Besançon, P.; Lobinski, R.; Rouanet, J.-M. Selenium from Selenium-Rich Spirulina Is Less Bioavailable than Selenium from Sodium Selenite and Selenomethionine in Selenium-Deficient Rats. J. Nutr. 2001, 131, 2343–2350. [Google Scholar] [CrossRef]
- Sukumaran, P.; Dahlan, F.L.; Omar, H.; Ismail, A. Macro- and Micronutrients Status in Arthrospira Platensis Grown in Freshwater and Brackish Water Medium. Int. J. Curr. Microbiol. Appl. Sci. 2014, 3, 384–391. [Google Scholar]
- Dmytryk, A.; Saeid, A.; Chojnacka, K. Biosorption of Microelements by Spirulina: Towards Technology of Mineral Feed Supplements. Sci. World J. 2014, 356328, 1–15. [Google Scholar] [CrossRef]
- Kejžar, J.; Jagodic Hudobivnik, M.; Nečemer, M.; Ogrinc, N.; Masten Rutar, J.; Poklar Ulrih, N. Characterization of Algae Dietary Supplements Using Antioxidative Potential, Elemental Composition, and Stable Isotopes Approach. Front. Nutr. 2021, 7, 1–10. [Google Scholar] [CrossRef]
- Brand, W.A.; Coplen, T.B.; Vogl, J.; Rosner, M.; Prohaska, T. Assessment of International Reference Materials for Isotope-Ratio Analysis (IUPAC Technical Report). Pure Appl. Chem. 2014, 86, 425–467. [Google Scholar] [CrossRef]
- Qi, H.; Coplen, T.B.; Jordan, J.A. Three Whole-Wood Isotopic Reference Materials, USGS54, USGS55, and USGS56, for δ2H, δ18O, δ13C, and δ15N Measurements. Chem. Geol. 2016, 442, 47–53. [Google Scholar] [CrossRef]
- Nečemer, M.; Kump, P.; Vogel-Mikuš, K. Use of X-Ray Fluorescence-Based Analytical Techniques in Phytoremediation. In Handbook of Phytoremediation; Golubev, I.A., Ed.; Environmental Science, Engineering and Technology; Nova Science Publishers Inc.: New York, NY, USA, 2011; pp. 331–358. ISBN 978-1-61728-753-4. [Google Scholar]
- Nečemer, M.; Kump, P.; Ščančar, J.; Jaćimović, R.; Simčič, J.; Pelicon, P.; Budnar, M.; Jeran, Z.; Pongrac, P.; Regvar, M.; et al. Application of X-Ray Fluorescence Analytical Techniques in Phytoremediation and Plant Biology Studies. Spectrochim. Acta B At. Spectrosc. 2008, 63, 1240–1247. [Google Scholar] [CrossRef]
- Fiamegos, Y.; Dumitrascu, C.; Papoci, S.; de la Calle, M.B. Authentication of PDO Paprika Powder (Pimentón de La Vera) by Multivariate Analysis of the Elemental Fingerprint Determined by ED-XRF. A Feasibility Study. Food Control 2021, 120, 107496. [Google Scholar] [CrossRef] [PubMed]
- Strojnik, L.; Potočnik, D.; Jagodic Hudobivnik, M.; Mazej, D.; Japelj, B.; Škrk, N.; Marolt, S.; Heath, D.; Ogrinc, N. Geographical Identification of Strawberries Based on Stable Isotope Ratio and Multi-Elemental Analysis Coupled with Multivariate Statistical Analysis: A Slovenian Case Study. Food Chemistry 2022, 381, 132204. [Google Scholar] [CrossRef] [PubMed]
- Staddon, P.L. Carbon Isotopes in Functional Soil Ecology. Trends Ecol. Evol. 2004, 19, 148–154. [Google Scholar] [CrossRef]
- Bateman, A.S.; Kelly, S.D. Fertilizer Nitrogen Isotope Signatures. Isot. Environ. Health Stud. 2007, 43, 237–247. [Google Scholar] [CrossRef]
- Thorsen, S.; Kristensen, E.; Valdemarsen, T.B.; Flindt, M.R.; Organo Quintana, C.; Holmer, M. Fertilizer-Derived N in Opportunistic Macroalgae after Flooding of Agricultural Land. Mar. Ecol. Prog. Ser. 2019, 616, 37–449. [Google Scholar] [CrossRef]
- Cifuentes, L.A.; Sharp, J.H.; Fogel, M.L. Stable Carbon and Nitrogen Isotope Biogeochemistry in the Delaware Estuary. Limnol. Oceanogr. 1988, 33, 1102–1115. [Google Scholar] [CrossRef]
- Ishii, M. Fractionation of the Sulphur Isotopes in Plant Metabolism of Sulphur. Master Thesis, McMaster University, Ontario, Canada, 1953. [Google Scholar]
- Thode, H.G. Sulphur Isotopes in Nature and the Environment: An Overview. In Stable Isotopes: Natural and Anthropogenic Sulphur in the Environment; Krouse, H.R., Grinenko, V.A., Eds.; John Wiley & Sons Ltd: Chichester, UK, 1991; pp. 1–21. ISBN 0-471-92646-9. [Google Scholar]
- Trust, B.A.; Fry, B. Stable Sulphur Isotopes in Plants: A Review. Plant Cell Environ. 1992, 15, 1105–1110. [Google Scholar] [CrossRef]
- Mizota, C.; Sasaki, A. Sulfur Isotope Composition of Soils and Fertilizers: Differences between Northern and Southern Hemispheres. Geoderma 1996, 71, 77–93. [Google Scholar] [CrossRef]
- Qamar, A.; Saeed, F.; Tahir-Nadeem, M.; Hussain, A.I.; Niaz, B.; Ullah Khan, A.; Afzaal, M.; Badar Ul Ain, H.; Imran, M. Exploring the Phytochemical Profile of Green Grasses with Special Reference to Antioxidant Properties. Int. J. Food Prop. 2018, 21, 2566–2577. [Google Scholar] [CrossRef]
- Tokuşoglu, Ö.; Ünal, M.K. Biomass Nutrient Profiles of Three Microalgae: Spirulina Platensis, Chlorella Vulgaris, and Isochrisis Galbana. J. Food Sci. 2003, 68, 1144–1148. [Google Scholar] [CrossRef]
- Michael, A.; Kyewalyanga, M.S.; Lugomela, C.V. Biomass and Nutritive Value of Spirulina (Arthrospira Fusiformis) Cultivated in a Cost-Effective Medium. Ann. Microbiol. 2019, 69, 1387–1395. [Google Scholar] [CrossRef]
- da Silva, R.P.; Kawai, G.S.D.; de Andrade, F.R.D.; Bezzon, V.D.N.; Ferraz, H.G. Characterisation and Traceability of Calcium Carbonate from the Seaweed Lithothamnium Calcareum. Solids 2021, 2, 192–211. [Google Scholar] [CrossRef]
- Reboredo, F.H.; Junior, W.; Pessoa, M.F.; Lidon, F.C.; Ramalho, J.C.; Leitão, R.G.; Silva, M.M.; Alvarenga, N.; Guerra, M. Elemental Composition of Algae-Based Supplements by Energy Dispersive X-Ray Fluorescence. Plants 2021, 10, 2041. [Google Scholar] [CrossRef] [PubMed]
- Mohapatra, D.; Patel, A.S.; Kar, A.; Deshpande, S.S.; Tripathi, M.K. Effect of Different Processing Conditions on Essential Minerals and Heavy Metal Composition of Sorghum Grain. J. Food Process. Preserv. 2021, 45, e14909. [Google Scholar] [CrossRef]
- Sreeramaiah, H.; Goudar, G. Effect of Flaking on Nutrient and Phytochemical Retention in Sorghum Sorghum Bicolor (L.) Moench Varieties. Biotech. Bioinfor. Bioeng 2012, 2, 653–658. [Google Scholar]
- Koerner, W.; Dambrine, E.; Dupouey, J.L.; Benoît, M. δ15N of Forest Soil and Understorey Vegetation Reflect the Former Agricultural Land Use. Oecologia 1999, 121, 421–425. [Google Scholar] [CrossRef] [PubMed]
- Sistani, K.R.; Miles, D.; Rowe, D.; Brink, G.; McGowen, S.L. Impact of Drying Method, Dietary Phosphorus Levels, and Methodology on Phosphorus Chemistry of Broiler Manure. Commun. Soil Sci. Plant Anal. 2001, 32, 2783–2793. [Google Scholar] [CrossRef]
- Anitha, L.; Sai Bramari, G.; Kalpana, P. Effect of Supplementation of Spirulina Platensis to Enhance the Zinc Status in Plants of Amaranthus Gangeticus, Phaseolus Aureus and Tomato. Adv. Biosci. Biotechnol. 2016, 7, 289–299. [Google Scholar] [CrossRef]
- Sahin, O.; Taskin, M.B.; Kadioglu, Y.K.; Inal, A.; Pilbeam, D.J.; Gunes, A. Elemental Composition of Pepper Plants Fertilized with Pelletized Poultry Manure. J. Plant Nutr. 2014, 37, 458–468. [Google Scholar] [CrossRef]
- Cardoso, L.G.; Duarte, J.H.; Andrade, B.B.; Lemos, P.V.F.; Costa, J.A.V.; Druzian, J.I.; Chinalia, F.A. Spirulina Sp. LEB 18 Cultivation in Outdoor Pilot Scale Using Aquaculture Wastewater: High Biomass, Carotenoid, Lipid and Carbohydrate Production. Aquaculture 2020, 525, 735272. [Google Scholar] [CrossRef]
- Zhao, Y.; Zhang, B.; Chen, G.; Chen, A.; Yang, S.; Ye, Z. Recent Developments in Application of Stable Isotope Analysis on Agro-Product Authenticity and Traceability. Food Chem. 2014, 145, 300–305. [Google Scholar] [CrossRef]
- Michael, A.; Kyewalyanga, M.S.; Mtolera, M.S.; Lugomela, C.V. Antioxidants Activity of the Cyanobacterium, Arthrospira (Spirulina) Fusiformis Cultivated in a Low-Cost Medium. Afr. J. Food Sci. 2018, 12, 188–195. [Google Scholar] [CrossRef]
- Nouri, E.; Abbasi, H. Effects of Different Processing Methods on Phytochemical Compounds and Antioxidant Activity of Spirulina Platensis. Appl. Food Biotechnol. 2018, 5, 221–232. [Google Scholar] [CrossRef]
- Campanella, L.; Crescentini, G.; Avino, P.; Moauro, A. Determination of Macrominerals and Trace Elements in the Alga Spirulina Platensis. Analusis 1998, 26, 210–214. [Google Scholar] [CrossRef]
- Wu, G.; Ashton, J.; Simic, A.; Fang, Z.; Johnson, S.K. Mineral Availability Is Modified by Tannin and Phytate Content in Sorghum Flaked Breakfast Cereals. Food Res. Int. 2018, 103, 509–514. [Google Scholar] [CrossRef] [PubMed]
- Moncreiff, C.A.; Sullivan, M.J. Trophic Importance of Epiphytic Algae in Subtropical Seagrass Beds: Evidence from Multiple Stable Isotope Analyses. Mar. Ecol. Prog. Ser. 2001, 215, 93–106. [Google Scholar] [CrossRef]
- Tostevin, R.; Turchyn, A.V.; Farquhar, J.; Johnston, D.T.; Eldridge, D.L.; Bishop, J.K.B.; McIlvin, M. Multiple Sulfur Isotope Constraints on the Modern Sulfur Cycle. Earth Planet. Sci. Lett. 2014, 396, 14–21. [Google Scholar] [CrossRef]
- Chernikova, A.A.; Tsoglin, L.N.; Markelova, A.G.; Zorin, S.N.; Mazo, V.K.; Pronina, N.A. Capacity of Spirulina Platensis to Accumulate Manganese and Its Distribution in Cell. Russ. J. Plant Physiol. 2006, 53, 800–806. [Google Scholar] [CrossRef]
- Grosshagauer, S.; Kraemer, K.; Somoza, V. The True Value of Spirulina. J. Agric. Food Chem. 2020, 68, 4109–4115. [Google Scholar] [CrossRef] [PubMed]
- Puig, R.; Àvila, A.; Soler, A. Sulphur Isotopes as Tracers of the Influence of a Coal-Fired Power Plant on a Scots Pine Forest in Catalonia (NE Spain). Atmos. Environ. 2008, 42, 733–745. [Google Scholar] [CrossRef]
- Potočnik, D.; Nečemer, M.; Perišić, I.; Jagodic, M.; Mazej, D.; Camin, F.; Eftimov, T.; Strojnik, L.; Ogrinc, N. Geographical Verification of Slovenian Milk Using Stable Isotope Ratio, Multi-Element and Multivariate Modelling Approaches. Food Chem. 2020, 326, 126958. [Google Scholar] [CrossRef] [PubMed]
- Bai, L.; Wang, Z.-L. Anthropogenic Influence on Rainwater in the Xi’an City, Northwest China: Constraints from Sulfur Isotope and Trace Elements Analyses. J. Geochem. Explor. 2014, 137, 65–72. [Google Scholar] [CrossRef]
- Wu, Y.; Liu, W.; Xu, Y.; Xu, Z.; Zhou, X.; Zhou, L. Multiple Isotopic Tracing for Sulfate and Base Cation Sources of Precipitation in Hangzhou City, Southeast China: Insights for Rainwater Acidification Mechanism. Environ. Pollut. 2021, 288, 117770. [Google Scholar] [CrossRef]
- Yau, Y.Y.Y.; Geeraert, N.; Baker, D.M.; Thibodeau, B. Elucidating Sources of Atmospheric NOX Pollution in a Heavily Urbanized Environment Using Multiple Stable Isotopes. Sci. Total Environ. 2022, 832, 154781. [Google Scholar] [CrossRef]
- Sadowska, A.; Świderski, F. Sources, Bioavailability, and Safety of Silicon Derived from Foods and Other Sources Added for Nutritional Purposes in Food Supplements and Functional Foods. Appl. Sci. 2020, 10, 6255. [Google Scholar] [CrossRef]
- Pires, J.C.M.; Alvim-Ferraz, M.C.M.; Martins, F.G.; Simões, M. Carbon Dioxide Capture from Flue Gases Using Microalgae: Engineering Aspects and Biorefinery Concept. Renew. Sustain. Energy Rev. 2012, 16, 3043–3053. [Google Scholar] [CrossRef]
- Chukhrov, F.V.; Ermilova, L.P.; Churikov, V.S.; Nosik, L.P. The Isotopic Composition of Plant Sulfur. Org. Geochem. 1980, 2, 69–75. [Google Scholar] [CrossRef]
- Chung, C.-H.; You, C.-F.; Hsu, S.-C.; Liang, M.-C. Sulfur Isotope Analysis for Representative Regional Background Atmospheric Aerosols Collected at Mt. Lulin, Taiwan. Sci. Rep. 2019, 9, 19707. [Google Scholar] [CrossRef]
- Sotiroudis, T.; Sotiroudis, G. Health Aspects of Spirulina (Arthrospira) Microalga Food Supplement. J. Serb. Chem. Soc. 2013, 78, 395–405. [Google Scholar] [CrossRef]





| Sample | Declared Origin | Product Content | Form |
|---|---|---|---|
| S1 | Japan | Spirulina, edible scallop shell powder, edible refined processing fat | Tablets |
| S2 | NS | Spirulina pacifica, Mg(C18H35O2)2 | Capsules |
| S3 | Outside EU | Spirulina platensis | Powder |
| S4 | Hawaii | Spirulina pacifica, SiO2, chicory inulin, Mg(C18H35O2)2 | Tablets |
| S5 | Outside EU | Spirulina | Powder |
| S6 | Outside EU | Spirulina platensis | Powder |
| S7 | India | Spirulina platensis | Tablets |
| S8 | China | Spirulina platensis | Tablets |
| S9 | Mongolia–China | Wheatgrass, Barley grass, Spirulina, Chlorella | Powder |
| S10 | China | Spirulina | Powder |
| S11 | China | Spirulina platensis | Powder |
| S12 | China | Spirulina | Powder |
| S13 | China | Spirulina | Tablets |
| S14 | Taiwan | Spirulina platensis | Tablets |
| S15 | Taiwan | Spirulina platensis | Powder |
| S16 | Outside EU | Spirulina | Powder |
| S17 | China | Spirulina platensis | Powder |
| S18 | EU | Spirulina, Chlorella, Lithothamnium | Capsules |
| S19 | India | Spirulina platensis, CaCO3, micro-crystalline cellulose, stearic acid, CMC, SiO2 | Tablets |
| S20 | NS | Spirulina, SiO2, Mg(C18H35O2)2 | Tablets |
| S21 | NS | Spirulina | Tablets |
| S22 | NS | Spirulina platensis, maltodextrine, SiO2, Mg(C18H35O2)2, HPMC | Tablets |
| S23 | China | Spirulina | Tablets |
| S24 | China | Spirulina | Powder |
| S25 | China | Spirulina | Tablets |
| S26 | Hawaii | Spirulina pacifica, SiO2 | Tablets |
| S27 | China | Spirulina | Powder |
| S28 | NS | Spirulina | Tablets |
| S29 | Portugal | Spirulina platensis, SiO2, Mg(C18H35O2)2 | Tablets |
| S30 | Portugal | Spirulina platensis, SiO2, Mg(C18H35O2)2 | Tablets |
| S31 | China | Spirulina platensis | Powder |
| S32 | China | Spirulina | Tablets |
| S33 | China | Spirulina | Powder |
| S34 | India | Spirulina platensis | Tablets |
| S35 | Outside EU | Spirulina | Tablets |
| S36 | Outside EU | Spirulina | Powder |
| S37 | NS | Spirulina maxima, corn maltodextrin, Mg(C18H35O2)2 | Tablets |
| S38 | India | Spirulina platensis | Tablets |
| S39 | NS | Spirulina | Tablets |
| S40 | Taiwan | Spirulina platensis | Tablets |
| S41 | China | Spirulina platensis | Powder |
| S42 | NS | Spirulina | Capsules |
| S43 | China | Spirulina | Powder |
| S44 | Italy | Spirulina platensis | Flakes |
| S45 | NS | Spirulina | Powder |
| S46 | Italy | Spirulina platensis | Fresh |
| Sample Number | 13C/12C, 2H/1H, 34S/32S, 18O/16O, 15N/14N Isotope Ratio Expressed in δ-Notation (‰) | ||||
|---|---|---|---|---|---|
| δ13C | δ2H | δ34S | δ18O | δ15N | |
| S1 | −28.0 | −152 | 12.3 | 19.3 | 12.2 |
| S2 | −25.1 | −141 | 7.46 | 21.5 | 8.81 |
| S3 | −20.4 | −197 | 11.8 | 15.3 | 5.72 |
| S4 | −25.8 | −141 | 8.78 | 21.6 | 10.8 |
| S5 | −26.1 | −203 | 11.3 | 16.7 | 8.81 |
| S6 | −22.1 | −119 | −0.60 | 17.1 | 7.61 |
| S7 | −29.6 | −165 | −1.75 | 18.8 | 8.62 |
| S8 | −25.1 | −163 | 13.4 | 18.0 | 1.16 |
| S9 | −26.6 | −146 | 6.72 | 20.6 | 5.59 |
| S10 | −22.9 | −177 | 12.8 | 16.9 | 6.44 |
| S11 | −26.1 | −200 | 13.8 | 12.8 | 2.31 |
| S12 | −22.3 | −179 | 12.9 | 16.6 | −0.88 |
| S13 | −22.7 | −179 | 12.9 | 16.7 | −1.97 |
| S14 | −21.8 | −172 | 11.5 | 18.8 | 6.22 |
| S15 | −21.7 | −171 | 11.7 | 18.8 | 6.56 |
| S16 | −27.9 | −164 | 2.67 | 16.8 | 9.84 |
| S17 | −22.2 | −180 | 13.4 | 16.6 | −2.40 |
| S18 | −18.1 | −138 | 10.2 | 19.9 | 0.77 |
| S19 | −21.0 | −170 | 11.1 | 20.3 | 4.12 |
| S20 | −23.9 | −174 | 13.8 | 16.8 | 5.87 |
| S21 | −22.4 | −173 | 3.53 | 15.8 | 1.72 |
| S22 | −24.9 | −97.4 | 3.07 | 27.2 | 4.63 |
| S23 | −25.1 | −158 | 13.8 | 17.6 | 0.95 |
| S24 | −27.1 | −158 | 3.99 | 18.4 | 2.32 |
| S25 | −19.8 | −190 | 13.8 | 15.6 | 3.61 |
| S26 | −24.4 | −136 | 7.81 | 21.1 | 13.8 |
| S27 | −21.4 | −199 | 11.1 | 15.2 | 1.74 |
| S28 | −19.6 | −198 | 12.6 | 13.9 | 6.46 |
| S29 | −23.6 | −180 | 7.34 | 15.4 | 3.27 |
| S30 | −23.5 | −182 | 7.01 | 15.3 | 3.04 |
| S31 | −23.9 | −169 | 6.55 | 15.7 | 2.59 |
| S32 | −24.6 | −170 | 13.4 | 17.1 | 7.64 |
| S33 | −16.7 | −189 | 10.5 | 16.4 | −3.82 |
| S34 | −28.0 | −183 | 11.0 | 17.4 | 8.15 |
| S35 | −20.0 | −197 | 11.5 | 15.0 | 8.27 |
| S36 | −25.0 | −180 | 9.39 | 17.2 | 9.47 |
| S37 | −17.4 | −105 | 11.0 | 25.8 | 13.3 |
| S38 | −29.4 | −164 | 0.36 | 18.7 | 2.13 |
| S39 | −24.2 | −199 | 11.0 | 14.4 | −4.79 |
| S40 | −30.0 | −161 | 0.43 | 18.6 | 0.90 |
| S41 | −23.2 | −195 | 13.6 | 18.5 | 8.73 |
| S42 | −22.3 | −194 | 13.7 | 17.5 | 4.97 |
| S43 | −20.6 | −192 | 10.2 | 17.6 | 5.88 |
| S44 | −28.9 | −128 | −0.61 | 22.0 | −3.92 |
| S45 | −24.2 | −207 | 10.2 | 12.9 | −0.35 |
| S46 | −32.3 | ND | 0.94 | ND | −5.35 |
Disclaimer/Publisher’s Note: The statements, opinions and data contained in all publications are solely those of the individual author(s) and contributor(s) and not of MDPI and/or the editor(s). MDPI and/or the editor(s) disclaim responsibility for any injury to people or property resulting from any ideas, methods, instructions or products referred to in the content. |
© 2023 by the authors. Licensee MDPI, Basel, Switzerland. This article is an open access article distributed under the terms and conditions of the Creative Commons Attribution (CC BY) license (https://creativecommons.org/licenses/by/4.0/).
Share and Cite
Rutar, J.M.; Strojnik, L.; Nečemer, M.; Bontempo, L.; Ogrinc, N. Determining the Authenticity of Spirulina Dietary Supplements Based on Stable Isotope and Elemental Composition. Foods 2023, 12, 562. https://doi.org/10.3390/foods12030562
Rutar JM, Strojnik L, Nečemer M, Bontempo L, Ogrinc N. Determining the Authenticity of Spirulina Dietary Supplements Based on Stable Isotope and Elemental Composition. Foods. 2023; 12(3):562. https://doi.org/10.3390/foods12030562
Chicago/Turabian StyleRutar, Jasmina Masten, Lidija Strojnik, Marijan Nečemer, Luana Bontempo, and Nives Ogrinc. 2023. "Determining the Authenticity of Spirulina Dietary Supplements Based on Stable Isotope and Elemental Composition" Foods 12, no. 3: 562. https://doi.org/10.3390/foods12030562
APA StyleRutar, J. M., Strojnik, L., Nečemer, M., Bontempo, L., & Ogrinc, N. (2023). Determining the Authenticity of Spirulina Dietary Supplements Based on Stable Isotope and Elemental Composition. Foods, 12(3), 562. https://doi.org/10.3390/foods12030562

