The Impact of Fermented Scald on Rye and Hull-Less Barley Dough and Bread Structure Formation
Abstract
:1. Introduction
2. Materials and Methods
2.1. Materials
2.1.1. Rye and Barley Flour and Rye Malt Characteristics
2.1.2. Sourdough of Rye and Barley Scald
2.2. Fermented Scald Preparation
2.3. Rye Sourdough Preparation
2.4. Dough Preparation and Bread Making
2.5. Lactic Acid Bacteria and Yeasts Enumeration of Rye and Barley Scald and Dough
2.6. Microstructure Study Using SEM
2.7. Assessment of Rye and Barley Scald and Dough Rheological Properties
2.8. Determination of Chemical and Physical Parameters of Rye and Barley Dough and Bread
2.9. Statistical Analyses
3. Results
3.1. Microbial and Physico-Chemical Characteristics of Scald and Sourdough
3.2. Microstructure of Rye and Barley Scalds by Scanning Electron Microscope
3.3. Rheological Properties of Rye and Barley Scald
3.4. Microstructure of Barley and Rye Dough with and without Fermented Scald before and after 4 h Fermentation
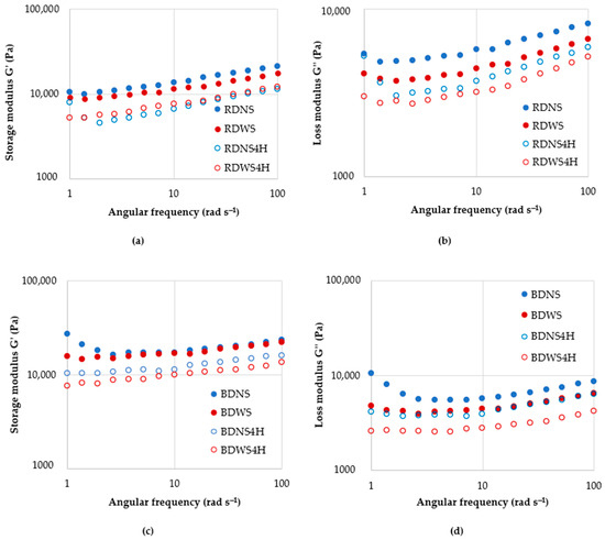
3.5. Rheological Properties of Rye and Barley Dough without Fermented Scald and with Fermented Scald
3.6. Physical and Chemical Characteristics of Wholegrain Rye and Barley Bread
4. Conclusions
Author Contributions
Funding
Data Availability Statement
Conflicts of Interest
References
- Din, A.; Chughtai, M.F.J.; Khan, M.R.K.; Shahzad, A.; Khaliq, A.; Nasir, M.A. Nutritional and Functional Perspectives of Barley β-Glucan. Int. Food Res. J. 2018, 25, 1773–1784. [Google Scholar]
- Cyran, M.R.; Saulnier, L. Macromolecular Structure of Water-Extractable Arabinoxylans in Endosperm and Wholemeal Rye Breads as Factor Controlling Their Extract Viscosities. Food Chem. 2012, 131, 667–676. [Google Scholar] [CrossRef]
- Aguilera, J.M.; Stanley, D.W. Microstructural Principles of Food Processing and Engineering; Aspen Publication: Boston, MA, USA; Springer Science & Business Media: Berlin/Heidelberg, Germany, 1999; ISBN 9780834212565. [Google Scholar]
- McClements, D.J. (Ed.) Understanding and Controlling the Microstructure of Complex Foods; Woodhead Publishing Limited: Cambridge, UK, 2007. [Google Scholar]
- Bieniek, A.; Buksa, K. Properties and Functionality of Cereal Non-Starch Polysaccharides in Breadmaking. Appl. Sci. 2023, 13, 2282. [Google Scholar] [CrossRef]
- Wang, S.; Li, C.; Yu, J.; Copeland, L.; Wang, S. Phase Transition and Swelling Behaviour of Different Starch Granules over a Wide Range of Water Content. LWT 2014, 59, 597–604. [Google Scholar] [CrossRef]
- Janssen, F.; Wouters, A.G.B.; Meeus, Y.; Moldenaers, P.; Vermant, J.; Delcour, J.A. The Role of Non-Starch Polysaccharides in Determining the Air-Water Interfacial Properties of Wheat, Rye, and Oat Dough Liquor Constituents. Food Hydrocoll. 2020, 105, 105771. [Google Scholar] [CrossRef]
- Pastor, M.G.K.; Ebru, G.; Anna, O. Traditional European Breads; Springer: Berlin/Heidelberg, Germany, 2023; ISBN 9783031233517. [Google Scholar] [CrossRef]
- Klupsaite, D.; Starkute, V.; Zokaityte, E.; Cernauskas, D.; Mockus, E.; Kentra, E.; Sliazaite, R.; Abramaviciute, G.; Sakaite, P.; Komarova, V.; et al. The Contribution of Scalded and Scalded-Fermented Rye Wholemeal Flour to Quality Parameters and Acrylamide Formation in Semi-Wheat-Rye Bread. Foods 2023, 12, 937. [Google Scholar] [CrossRef]
- Yamauchi, H.; Yamada, D.; Murayama, D.; Santiago, D.M.; Orikasa, Y.; Koaze, H.; Nakaura, Y.; Inouchi, N.; Noda, T. The Staling and Texture of Bread Made Using the Yudane Dough Method. Food Sci. Technol. Res. 2014, 20, 1071–1078. [Google Scholar] [CrossRef]
- Matsushita, K.; Terayama, A.; Goshima, D.; Santiago, D.M.; Myoda, T.; Yamauchi, H. Optimization of Enzymes Addition to Improve Whole Wheat Bread Making Quality by Response Surface Methodology and Optimization Technique. J. Food Sci. Technol. 2019, 56, 1454–1461. [Google Scholar] [CrossRef]
- Wójcik, M.; Różyło, R.; Łysiak, G.; Kulig, R.; Cacak-Pietrzak, G. Textural and Sensory Properties of Wheat Bread Fortified with Nettle (Urtica dioica L.) Produced by the Scalded Flour Method. J. Food Process Preserv. 2021, 45, 1–7. [Google Scholar] [CrossRef]
- Li, H.F.; Dai, F.J.; Zhang, L.L.; Li, Z.J. Characterization of Scalded Dough and Its Impact on the Growth of Mixed Yeasts Originating from Jiaozi. Food Biosci. 2022, 49, 101920. [Google Scholar] [CrossRef]
- Naito, S.; Fukami, S.; Mizokami, Y.; Hirose, R.; Kawashima, K.; Takano, H.; Ishida, N.; Koizumi, M.; Kano, H. The Effect of Gelatinized Starch on Baking Bread. Food Sci. Technol. Res. 2005, 11, 194–201. [Google Scholar] [CrossRef]
- Pietrzak, W.; Kawa-Rygielska, J. Simultaneous Saccharification and Ethanol Fermentation of Waste Wheat-Rye Bread at Very High Solids Loading: Effect of Enzymatic Liquefaction Conditions. Fuel 2015, 147, 236–242. [Google Scholar] [CrossRef]
- Ask, L.; Nair, B.; Asp, N.G. Effect of Scalding Procedures on the Degradation of Starch in Rye Products. J. Cereal Sci. 1991, 13, 15–26. [Google Scholar] [CrossRef]
- Hopek, M.; Rafał Ziobro, B.A. Comparison of the Effects of Microbial α-Amylases and Scalded Flour on Bread Quality. Acta Sci. Pol. Technol. Aliment. 2006, 5, 97–106. [Google Scholar]
- Cizeikiene, D.; Jagelaviciute, J.; Stankevicius, M.; Maruska, A. Thermophilic Lactic Acid Bacteria Affect the Characteristics of Sourdough and Whole-Grain Wheat Bread. Food Biosci. 2020, 38, 100791. [Google Scholar] [CrossRef]
- Tannock, G.W. A Special Fondness for Lactobacilli. Appl. Environ. Microbiol. 2004, 70, 3189–3194. [Google Scholar] [CrossRef] [PubMed]
- Kulp, K.; Lorenz, K. Handbook of Dough Fermentations; CRC Press: Boca Raton, FL, USA, 2003; ISBN 0824742648. [Google Scholar] [CrossRef]
- Kozlinskis, E.; Skudra, L.; Rakcejeva, T.; Kunkulberga, D. Changes in the Chemical and Microbiological Properties of Spontaneous Rye Sourdough during Fermentation; Latvia University of Agriculture: Jelgava, Latvia, 2010; Volume 25, pp. 67–77. [Google Scholar]
- Sterna, V.; Kunkulberga, D.; Straumite, E.; Bernande, K. Naked Barley Influence on Wheat Bread Quality. In Proceedings of the 13th Baltic Conference on Food Science and Technology “FOOD. NUTRITION. WELL-BEING”, Jelgava, Latvia, 2–3 May 2019; pp. 98–102. [Google Scholar] [CrossRef]
- Kinner, M.; Nitschko, S.; Sommeregger, J.; Petrasch, A.; Linsberger-Martin, G.; Grausgruber, H.; Berghofer, E.; Siebenhandl-Ehn, S. Naked Barley-Optimized Recipe for Pure Barley Bread with Sufficient Beta-Glucan According to the EFSA Health Claims. J. Cereal Sci. 2011, 53, 225–230. [Google Scholar] [CrossRef] [PubMed]
- Bhatty, R.S. The Potential of Hull-Less Barley. Cereal Chem. 1999, 76, 589–599. [Google Scholar] [CrossRef]
- Sugiura, F.; Ito, S.; Arai, E. Effect of Pregelatinized Starch Paste on the Ease of Swallowing High-Moisture Content Bread. J. Food Eng. 2017, 214, 209–217. [Google Scholar] [CrossRef]
- Esteller, M.S.; Lannes, S.C.S. Production and Characterization of Sponge-Dough Bread Using Scalded Rye. J. Texture Stud. 2008, 39, 56–67. [Google Scholar] [CrossRef]
- Reidzane, S.; Gramatina, I.; Galoburda, R.; Komasilovs, V.; Zacepins, A.; Bljahhina, A.; Kince, T.; Traksmaa, A.; Klava, D. Composition of Polysaccharides in Hull-Less Barley Sourdough Bread and Their Impact on Physical Properties of Bread. Foods 2023, 12, 155. [Google Scholar] [CrossRef] [PubMed]
- ISO 15214:1998; Microbiology of Food and Animal Feeding Stuffs—Horizontal Method for the Emumeration of Mesophilic Lactic Acid Bacteria—Colony-Count Technique at 30 °C. Available online: https://www.iso.org/standards.html (accessed on 1 November 2023).
- ISO 21527-1:2008; Microbiology of Food and Animal Feeding Stuffs. Horizontal Method for the Enumeration of Yeasts and Molds. Available online: https://www.iso.org/standards.html (accessed on 1 November 2023).
- ISO 11133-1:2009; Microbiology of Food and Animal Feeding Stuffs-Guidelines on Preparation and Production of Culture Media. Available online: https://www.iso.org/standards.html (accessed on 1 November 2023).
- ISO 6887-1:2017; Microbiology of the Food Chain-Preparation of Test Samples, Initial Suspension and Decimal Dilutions for Microbiological Examination-Part 1: General Rules for the Preparation of the Initial Suspension and Decimal Dilutions. Available online: https://www.iso.org/standards.html (accessed on 1 November 2023).
- AACC 02-52:1999; Hydrogen-Ion Activity (PH)—Electrometric Method. Approved Methods of the American Association of Cereal Chemists. AACC: St. Paul, MN, USA, 2000.
- AACC 02-31.01; Titratable Acidity. AACC: St. Paul, MN, USA, 2000.
- AACC 10-05.01; Guidelines for Measurement of Volume by Rapeseed Displacement. Approved Methods of the American Association of Cereal Chemists. AACC: St. Paul, MN, USA, 2000.
- AACC 74-09; Measurement of Bread Firmness by Universal Testing Machine. Approved Methods of the American Association of Cereal Chemists. AACC: St. Paul, MN, USA, 2000.
- R core Team. A Language and Environment for Statistical Computing; R Foundation for Statistical Computing: Vienna, Austria, 2022. [Google Scholar]
- Rizzello, C.G.; De Angelis, M. Lactobacillus Delbrueckii Group. In Encyclopedia of Dairy Sciences, 3rd ed.; McSweeney, P.L.H., McNamara, J.P., Eds.; Academic Press: Oxford, UK, 2022; pp. 287–292. ISBN 978-0-12-818767-8. [Google Scholar]
- Gobbetti, M.; Gänzle, M. Handbook on Sourdough Biotechnology; Springer: New York, NY, USA, 2013; ISBN 9781461454250. [Google Scholar]
- Nguyen, S.N.; Drawbridge, P.; Beta, T. Resistant Starch in Wheat-, Barley-, Rye-, and Oat-Based Foods: A Review. Starch/Staerke 2022, 75, 9–10. [Google Scholar] [CrossRef]
- Punia, S. Barley Starch: Structure, Properties and in Vitro Digestibility—A Review. Int. J. Biol. Macromol. 2020, 155, 868–875. [Google Scholar] [CrossRef]
- Belitz, H.-D.; Grosch, W.; Schieberle, P. Food Chemistry; Springer: Berlin/Heidelberg, Germany, 2012; ISBN 9781619421257. [Google Scholar]
- Punia, S.; Siroha, A.K.; Sandhu, K.S.; Kaur, M. Rheological Behavior of Wheat Starch and Barley Resistant Starch (Type IV) Blends and Their Starch Noodles Making Potential. Int. J. Biol. Macromol. 2019, 130, 595–604. [Google Scholar] [CrossRef] [PubMed]
- Xie, X.; Zheng, M.; Bai, Y.; Zhang, Z.; Zhang, M.; Chen, Z.; Hu, X.; Li, J. Effect of Lactiplantibacillus Plantarum and Saccharomyces Cerevisiae Fermentation on the Multi-Scale Structure and Physicochemical Properties of Highland Barley Starch. Food Biosci. 2023, 52, 102419. [Google Scholar] [CrossRef]
- Jansen, M.L.A.; Daran-Lapujade, P.; De Winde, J.H.; Piper, M.D.W.; Pronk, J.T. Prolonged Maltose-Limited Cultivation of Saccharomyces cerevisiae Selects for Cells with Improved Maltose Affinity and Hypersensitivity. Appl. Environ. Microbiol. 2004, 70, 1956–1963. [Google Scholar] [CrossRef] [PubMed]
- Albasir, M.O.S.; Alyassin, M.; Campbell, G.M. Development of Bread Dough by Sheeting: Effects of Sheeting Regime, Bran Level and Bran Particle Size. Foods 2022, 11, 2300. [Google Scholar] [CrossRef]
- Mansoor, R.; Ali, T.M.; Arif, S.; Saeed, M.; Hasnain, A. Impact of Barley Flour Addition on Dough Rheology, Glycemic Index, Textural and Sensory Characteristics of Taftaan Flat Bread. Food Chem. Adv. 2022, 1, 100148. [Google Scholar] [CrossRef]
- Beck, M.; Jekle, M.; Selmair, P.L.; Koehler, P.; Becker, T. Rheological Properties and Baking Performance of Rye Dough as Affected by Transglutaminase. J. Cereal Sci. 2011, 54, 29–36. [Google Scholar] [CrossRef]
- Al-Ansi, W.; Zhang, Y.; Alkawry, T.A.A.; Al-Adeeb, A.; Mahdi, A.A.; Al-Maqtari, Q.A.; Ahmed, A.; Mushtaq, B.S.; Fan, M.; Li, Y.; et al. Influence of Germination on Bread-Making Behaviors, Functional and Shelf-Life Properties, and Overall Quality of Highland Barley Bread. LWT 2022, 159, 113200. [Google Scholar] [CrossRef]
- Aguirre, J.F.; Osella, C.A.; Carrara, C.R.; Sánchez, H.D.; Buera, M.D.P. Effect of Storage Temperature on Starch Retrogradation of Bread Staling. Starch/Staerke 2011, 63, 587–593. [Google Scholar] [CrossRef]
- Cakir, E.; Arici, M.; Durak, M.Z. Effect of Starter Culture Sourdough Prepared with Lactobacilli and Saccharomyces cerevisiae on the Quality of Hull-Less Barley-Wheat Bread. LWT 2021, 152, 112230. [Google Scholar] [CrossRef]











| Item | Content (% dw) | |
|---|---|---|
| Rye Flour | Hull-Less Barley Flour | |
| Total carbohydrates | 74.20 | 72.70 |
| Starch | 57.49 | 60.90 |
| Crude fiber | 1.80 | 0.75 |
| Dietary fiber | 15.80 | 12.00 |
| Proteins | 7.70 | 9.60 |
| Ash | 1.46 | 1.61 |
| Ingredient | RDNS | RDWS | BDNS | BDWS |
|---|---|---|---|---|
| Rye flour | 1725 | 990 | – | – |
| Barley flour | – | – | 1725 | 990 |
| FRS | – | 2200 | – | – |
| FBS | – | – | – | 2200 |
| Water | 1465 | – | 1465 | – |
| Sourdough D | 149 | 149 | 149 | 149 |
| Salt | 17 | 17 | 17 | 17 |
| Sugar | 34 | 34 | 34 | 34 |
| Total | 3390 | 3390 | 3390 | 3390 |
| Samples | LAB (log10 CFU g−1) | Yeasts (log10 CFU g−1) | pH | TTA (mL NaOH) |
|---|---|---|---|---|
| Sourdough S | 7.1 ± 0.5 b | 2.6 ± 0.4 a | 3.68 ± 0.01 b | 14.5 ± 0.3 e |
| Sourdough D | 9.3 ± 0.7 c | 8.5 ± 0.2 b | 3.88 ± 0.03 c | 14.3 ± 0.1 f |
| RS | 4.9 ± 0.8 a | 2.5 ± 0.2 a | 6.92 ± 0.01 e | 1.4 ± 0.1 a |
| FRS | 7.4 ± 0.7 b | 2.9 ± 0.8 a | 3.61 ± 0.06 a | 12.5 ± 0.2 d |
| BS | 4.5 ± 0.5 a | 2.3 ± 0.1 a | 6.39 ± 0.02 d | 2.0 ± 0.1 b |
| FBS | 6.0 ± 0.6 ab | 2.5 ± 0.4 a | 3.67 ± 0.01 ab | 11.8 ± 0.1 c |
| Dough | 1 rad s−1 | 10 rad s−1 | 100 rad s−1 | |||
|---|---|---|---|---|---|---|
| Complex Viscosity (Pa s) | Loss Factor (–) | Complex Viscosity (Pa s) | Loss Factor (–) | Complex Viscosity (Pa s) | Loss Factor (–) | |
| RDNS | 11,822 ± 3708 b | 0.52 ± 0.01 bc | 1489 ± 385 ab | 0.42 ± 0.01 c | 229 ± 54 c | 0.38 ± 0.01 ab |
| BDNS | 19,938 ± 12,734 c | 0.36 ± 0.01 ab | 1599 ± 329 ab | 0.32 ± 0.01 ab | 222 ± 42 c | 0.37 ± 0.01 ab |
| RDWS | 10,021 ± 2519 b | 0.45 ± 0.01 abc | 1228 ± 217 ab | 0.38 ± 0.01 bc | 186 ± 29 b | 0.38 ± 0.01 ab |
| BDWS | 16,500 ± 612 c | 0.31 ± 0.01 a | 1750 ± 25 b | 0.26 ± 0.01 a | 230 ± 1 c | 0.29 ± 0.01 a |
| RDNS4H | 9522 ± 6472 a | 0.69 ± 0.08 d | 766 ± 178 a | 0.56 ± 0.01 d | 128 ± 28 a | 0.52 ± 0.01 c |
| BDNS4H | 11,085 ± 826 b | 0.40 ± 0.03 ab | 1204 ± 113 ab | 0.34 ± 0.01 abc | 173 ± 12 b | 0.40 ± 0.02 b |
| RDWS4H | 6010 ± 850 a | 0.58 ± 0.01 cd | 831 ± 154 a | 0.42 ± 0.01 c | 132 ± 24 a | 0.43 ± 0.01 b |
| BDWS4H | 9347 ± 3283 a | 0.38 ± 0.07 ab | 1003 ± 171 ab | 0.31 ± 0.05 ab | 151 ± 43 a | 0.35 ± 0.06 ab |
| Parameter | RBNS | RBWS | BBNS | BBWS |
|---|---|---|---|---|
| pH | 5.15 ± 0.06 d | 4.09 ± 0.02 a | 4.89 ± 0.02 c | 4.26 ± 0.01 b |
| TTA, mL NaOH | 5.0 ± 0.1 a | 10.4 ± 0.2 c | 5.3 ± 0.2 a | 7.8 ± 0.2 b |
| aw | 0.96 ± 0.01 b | 0.95 ± 0.01 a | 0.96 ± 0.01 b | 0.95 ± 0.01 a |
| Moisture, % | 48.04 ± 0.82 ab | 45.32 ± 1.93 a | 48.28 ± 0.23 b | 45.99 ± 0.75 ab |
| Porosity, % | 67.0 ± 1.1 d | 58.8 ± 2.0 c | 48.4 ± 1.3 b | 39.9 ± 1.2 a |
| Specific volume, cm3 g−1 | 1.85 ± 0.02 d | 1.61 ± 0.01 c | 1.28 ± 0.02 b | 1.13 ± 0.05 a |
| Hardness, N | 4.29 ± 1.13 a | 2.30 ± 0.55 a | 17.97 ± 2.49 b | 22.28 ± 3.18 c |
Disclaimer/Publisher’s Note: The statements, opinions and data contained in all publications are solely those of the individual author(s) and contributor(s) and not of MDPI and/or the editor(s). MDPI and/or the editor(s) disclaim responsibility for any injury to people or property resulting from any ideas, methods, instructions or products referred to in the content. |
© 2023 by the authors. Licensee MDPI, Basel, Switzerland. This article is an open access article distributed under the terms and conditions of the Creative Commons Attribution (CC BY) license (https://creativecommons.org/licenses/by/4.0/).
Share and Cite
Murniece, R.; Reidzane, S.; Galoburda, R.; Radenkovs, V.; Klava, D. The Impact of Fermented Scald on Rye and Hull-Less Barley Dough and Bread Structure Formation. Foods 2023, 12, 4475. https://doi.org/10.3390/foods12244475
Murniece R, Reidzane S, Galoburda R, Radenkovs V, Klava D. The Impact of Fermented Scald on Rye and Hull-Less Barley Dough and Bread Structure Formation. Foods. 2023; 12(24):4475. https://doi.org/10.3390/foods12244475
Chicago/Turabian StyleMurniece, Ruta, Sanita Reidzane, Ruta Galoburda, Vitalijs Radenkovs, and Dace Klava. 2023. "The Impact of Fermented Scald on Rye and Hull-Less Barley Dough and Bread Structure Formation" Foods 12, no. 24: 4475. https://doi.org/10.3390/foods12244475
APA StyleMurniece, R., Reidzane, S., Galoburda, R., Radenkovs, V., & Klava, D. (2023). The Impact of Fermented Scald on Rye and Hull-Less Barley Dough and Bread Structure Formation. Foods, 12(24), 4475. https://doi.org/10.3390/foods12244475

