Willingness to Pay a Higher Price for Pork Obtained Using Animal-Friendly Raising Techniques: A Consumers’ Opinion Survey
Abstract
:1. Introduction
2. Materials and Methods
2.1. Compliance with Ethical Standards
2.2. Sampling Design, Tools, and Data
| Focus on mutilating procedures | ||||||
| The intervention carried out for reasons other than therapeutic or diagnostic purposes or for the identification of the pigs in accordance with Council Directive 2008/120/EC and resulting in damage to or the loss of a sensitive part of the body or the alteration of bone structure shall be prohibited | ||||||
| Exceptions according to Directive 2008/120/EC | ||||||
| Advantages | Disadvantages for | |||||
| Docking of a part of the tail | Prevents injuries to other animals; safety reasons | Pain and stress | ||||
| Uniform reduction of corner teeth of piglets by grinding or clipping not later than the seventh day of the life of the piglets, leaving an intact smooth surface; boars’ tusks may be reduced in length where necessary | Prevents injuries to other animals; safety reasons | Pain and stress | ||||
| Nose-ringing | Better practice when the animals are kept in outdoor husbandry systems | Pain and stress | ||||
| Castration of male pigs (without anesthesia) | Cheap and fast; prevents “boar taint” | Extremely painful and stressful for pigs even several days after surgery | ||||
| Proposed alternative procedures to castration | ||||||
| Castration with local anesthesia and analgesic | Castration with general anesthesia | Immunocastration | Embryo sexing | Genetic selection | ||
| Less stress and pain for the piglet compared to the traditional technique, but requires veterinary staff, and piglets show stress at the inoculation of drugs | No stress for pigs; more expensive; requires veterinary medical staff; piglets at risk of hypothermia upon waking up; requires hospitalization of at least 5 h | No pain or stress; the effectiveness of the vaccination plan and the quality of the meat need to be checked | Expensive and specialized | Selection of subjects with low androsterone production (decreased fertility and more expansive) | ||
| Any of the procedures described above shall only be carried out by a veterinarian or a person trained as provided in Article 6 of the Directive and experienced in performing the applied techniques with appropriate means and under hygienic conditions. If castration or docking of tails is practiced after the seventh day of life, it shall only be performed under anesthetic and additional prolonged analgesia by a veterinarian. | ||||||
2.3. Statistical Analysis
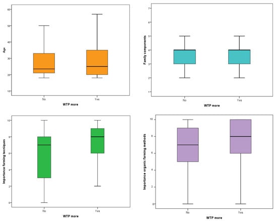
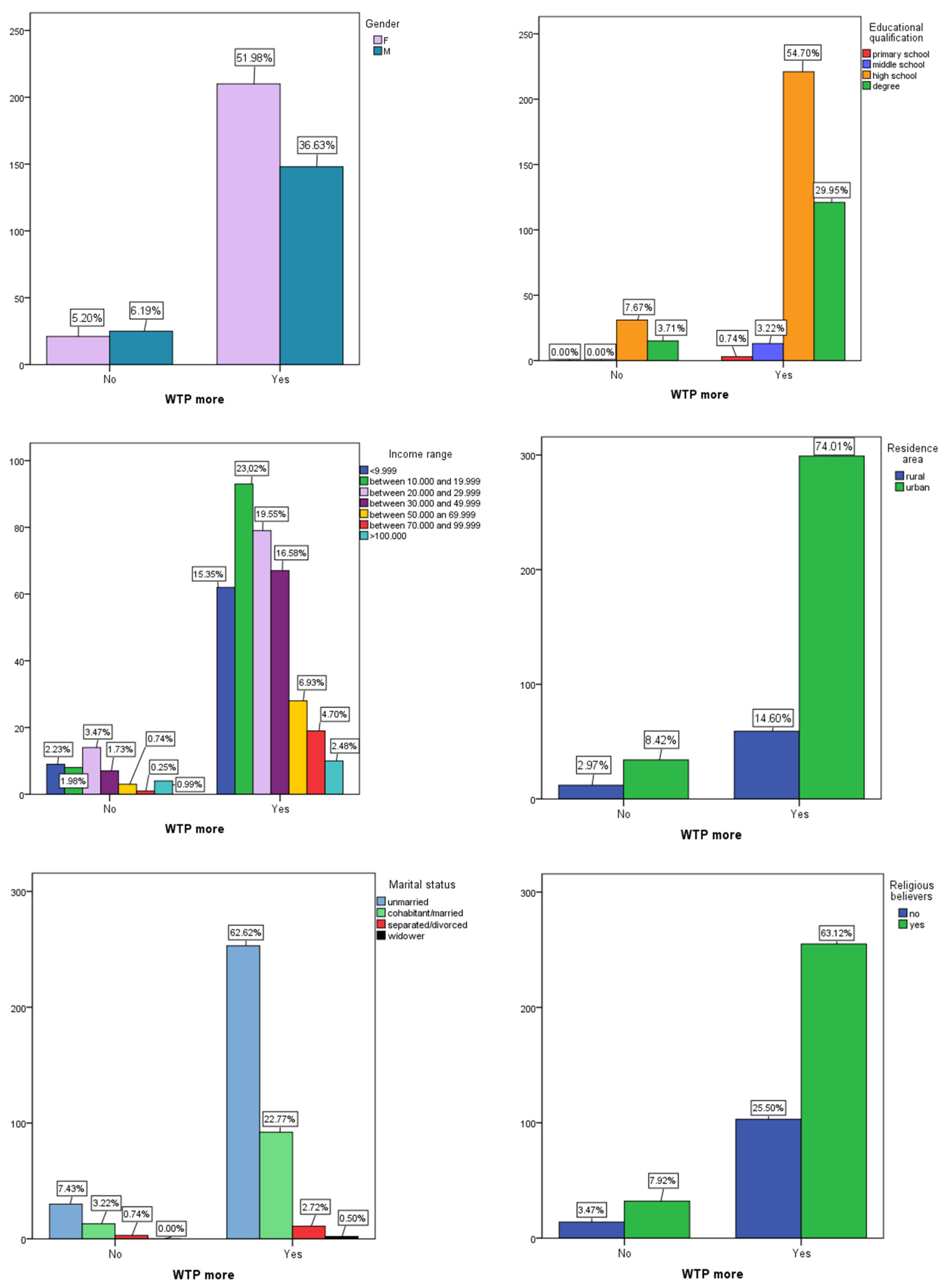
3. Results
4. Discussion
5. Conclusions
Supplementary Materials
Author Contributions
Funding
Institutional Review Board Statement
Informed Consent Statement
Data Availability Statement
Conflicts of Interest
References
- Available online: https://ourworldindata.org/grapher/per-capita-meat-type (accessed on 29 August 2023).
- Henchion, M.; Zimmermann, J. Animal food products: Policy, market and social issues and their influence on demand and supply of meat. Proc. Nutr. Soc. 2021, 80, 252–263. [Google Scholar] [CrossRef] [PubMed]
- Kwasny, T.; Dobernig, K.; Riefler, P. Towards reduced meat consumption: A systematic literature review of intervention effectiveness, 2001–2019. Appetite 2022, 168, 105739. [Google Scholar] [CrossRef]
- Lonkila, A.; Kaljonen, M. Promises of meat and milk alternatives: An integrative literature review on emergent research themes. Agric. Hum. Values 2021, 38, 625–639. [Google Scholar] [CrossRef]
- Michel, F.; Hartmann, C.; Siegrist, M. Consumers’ associations, perceptions and acceptance of meat and plant-based meat alternatives. Food Qual. Prefer. 2021, 87, 104063. [Google Scholar] [CrossRef]
- Giannetto, C.; Alibrandi, A.; Zirilli, A.; Lanfranchi, M. Egg consumption among young people: A study through the application of the logistic regression model. Am. J. Appl. Sci. 2016, 13, 697–707. [Google Scholar] [CrossRef]
- Thomas, M.S.; Feng, Y. Consumer risk perception and trusted sources of food safety information during the COVID-19 pandemic. Food Control 2021, 130, 108279. [Google Scholar] [CrossRef]
- Madarász, T.; Kontor, E.; Antal, E.; Kasza, G.; Szakos, D.; Szakály, Z. Food Purchase Behavior during The First Wave of COVID-19: The Case of Hungary. Int. J. Environ. Res. Public Health 2022, 19, 872. [Google Scholar] [CrossRef]
- Available online: https://oggiscienza.it/2020/05/14/consumo-carne-prodotti-animali-italia/index.html#:~:text=Carne%20suina%20e%20salumi&text=Circa%20il%2045%25%20degli%20italiani,allevare%20animali%20sempre%20pi%C3%B9%20pesanti (accessed on 1 September 2023).
- Theodoridou, G.; Tsakiridou, E.; Kalogeras, N.; Mattas, K. Food consumption patterns in Times of Economic Recession. In Urban Agriculture and Food Systems: Breakthroughs in Research and Practice; IGI Global: Hershey, PA, USA, 2019; pp. 116–130. [Google Scholar]
- Caso, D.; Guidetti, M.; Capasso, M.; Cavazza, N. Finally, the chance to eat healthily: Longitudinal study about food consumption during and after the first COVID-19 lockdown in Italy. Food Qual. Prefer. 2022, 95, 104275. [Google Scholar] [CrossRef]
- Borsellino, V.; Kaliji, S.A.; Schimmenti, E. COVID-19 drives consumer behaviour and agro-food markets towards healthier and more sustainable patterns. Sustainability 2020, 12, 8366. [Google Scholar] [CrossRef]
- Gracia-Arnaiz, M. The precarisation of daily life in Spain: Austerity, social policy and food insecurity. Appetite 2022, 171, 105906. [Google Scholar] [CrossRef]
- Available online: https://www.ismeamercati.it/flex/cm/pages/ServeBLOB.php/L/IT/IDPagina/12362 (accessed on 15 March 2023).
- Chen, P.J.; Antonelli, M. Conceptual models of food choice: Influential factors related to foods, individual differences, and society. Foods 2020, 9, 1898. [Google Scholar] [CrossRef] [PubMed]
- Azzurra, A.; Massimiliano, A.; Angela, M. Measuring sustainable food consumption: A case study on organic food. Sustain. Prod. Consum. 2019, 17, 95–107. [Google Scholar] [CrossRef]
- Vermeir, I.; Weijters, B.; De Houwer, J.; Geuens, M.; Slabbinck, H.; Spruyt, A.; Van Kerckhove, A.; Van Lippevelde, W.; De Steur, H.; Verbeke, W. Environmentally Sustainable Food Consumption: A Review and Research Agenda From a Goal-Directed Perspective. Front. Psychol. 2020, 11, 1603. [Google Scholar] [CrossRef] [PubMed]
- Lanfranchi, M.; Zirilli, A.; Passantino, A.; Alibrandi, A.; Giannetto, C. Assessment of milk consumer preferences: Identifying the choice factors through the use of a discrete logistic model. Br. Food J. 2017, 119, 2753–2764. [Google Scholar] [CrossRef]
- Alonso, M.E.; González-Montaña, J.R.; Lomillos, J.M. Consumers’ concerns and perceptions of farm animal welfare. Animals 2020, 10, 385. [Google Scholar] [CrossRef]
- Lagerkvist, C.J.; Hess, S. A meta-analysis of consumer willingness to pay for farm animal welfare. Eur. Rev. Agric. Econ. 2011, 38, 55–78. [Google Scholar] [CrossRef]
- Toma, L.; Stott, A.W.; Revored Giha, C.; Kupiec Teahan, B. Consumers and animal welfare. A comparison between European Union countries. Appetite 2012, 58, 597–607. [Google Scholar] [CrossRef]
- Miranda-de la Lama, G.C.; Estévez-Moreno, L.X.; Villarroel, M.; Rayas-Amor, A.A.; María, G.A.; Sepúlveda, W.S. Consumer Attitudes Toward Animal Welfare-Friendly Products and Willingness to Pay: Exploration of Mexican Market Segments. J. Appl. Anim. Welf. Sci. 2019, 22, 13–25. [Google Scholar] [CrossRef]
- Rubini, G.; Nannoni, E.; Di Pasquale, J.; Martelli, G.; Sardi, L. Update on animal welfare perception by Italian consumers: A descriptive survey. Ital. J. Food Saf. 2021, 10, 9588. [Google Scholar] [CrossRef]
- Sardi, L.; Gastaldo, A.; Borciani, M.; Bertolini, A.; Musi, V.; Garavaldi, A.; Martelli, G.; Cavallini, D.; Nannoni, E. Pre-Slaughter Sources of Fresh Meat Quality Variation: The Case of Heavy Pigs Intended for Protected Designation of Origin Products. Animals 2020, 10, 2386. [Google Scholar] [CrossRef]
- Sardi, L.; Gastaldo, A.; Borciani, M.; Bertolini, A.; Musi, V.; Martelli, G.; Cavallini, D.; Rubini, G.; Nannoni, E. Identification of Possible Pre-Slaughter Indicators to Predict Stress and Meat Quality: A Study on Heavy Pigs. Animals 2020, 10, 945. [Google Scholar] [CrossRef]
- Spooner, J.M.; Schuppli, C.A.; Fraser, D. Attitudes of Canadian citizens toward farm animal welfare: A qualitative study. Livest. Sci. 2014, 163, 150–158. [Google Scholar] [CrossRef]
- Tonsor, G.T.; Olynk, N.J. Impacts of Animal Well-Being and Welfare Media on Meat Demand. J. Agric. Econ. 2011, 62, 59–72. [Google Scholar] [CrossRef]
- Di Pasquale, J.; Nannoni, E.; Sardi, L.; Rubini, G.; Salvatore, R.; Bartoli, L.; Adinolfi, F.; Martelli, G. Towards the Abandonment of Surgical Castration in Pigs: How is Immunocastration Perceived by Italian Consumers? Animals 2019, 9, 198. [Google Scholar] [CrossRef] [PubMed]
- McGlone, J.; Guay, K.; Garcia, A. Comparison of Intramuscular or Subcutaneous Injections vs. Castration in Pigs-Impacts on Behavior and Welfare. Animals 2016, 6, 52. [Google Scholar] [CrossRef]
- Lin-Schilstra, L.; Fischer, A.R.H. Paradoxical consumers in four European countries: Meat-eating justification and willingness to pay for meat from animals treated by alternatives to surgical castration. Meat Sci. 2022, 188, 108777. [Google Scholar] [CrossRef] [PubMed]
- Heid, A.; Hamm, U. Animal welfare versus food quality: Factors influencing organic consumers’ preferences for alternatives to piglet castration without anaesthesia. Meat Sci. 2013, 95, 203–211. [Google Scholar] [CrossRef] [PubMed]
- Mathur, M.B.; Robinson, T.N.; Reichling, D.B.; Gardner, C.D.; Bain, P.A.; Peacock, J. Reducing meat consumption by appealing to animal welfare: Protocol for a meta-analysis and theoretical review. Syst. Rev. 2020, 9, 3. [Google Scholar] [CrossRef]
- Sala, S.; Anton, A.; McLaren, S.J.; Notarnicola, B.; Saouter, E.; Sonesson, U. In quest of reducing the environmental impacts of food production and consumption. J. Clean. Prod. 2017, 140, 387–398. [Google Scholar] [CrossRef]
- Giampietri, E.; Finco, A.; Del Giudice, T. Exploring consumers’ behaviour towards short food supply chains. Brit. Food J. 2016, 118, 318–326. [Google Scholar] [CrossRef]
- Nicastro, R.; Carillo, P. Food loss and waste prevention strategies from farm to fork. Sustainability 2021, 13, 5443. [Google Scholar] [CrossRef]
- Boas, I.; Biermann, F.; Kanie, N. Cross-sectoral strategies in global sustainability governance: Towards a nexus approach. Int. Environ. Agreem. Politics Law Econ. 2016, 16, 449–464. [Google Scholar] [CrossRef]
- Pe’er, G.; Bonn, A.; Bruelheide, H.; Dieker, P.; Eisenhauer, N.; Feindt, P.H.; Hagedorn, G.; Hansjürgens, B.; Herzon, I.; Lomba, Â.; et al. Action needed for the EU Common Agricultural Policy to address sustainability challenges. People Nat. 2020, 2, 305–316. [Google Scholar] [CrossRef] [PubMed]
- Rowan, N.J.; Galanakis, C.M. Unlocking challenges and opportunities presented by COVID-19 pandemic for cross-cutting disruption in agri-food and green deal innovations: Quo Vadis? Sci. Total Environ. 2020, 748, 141362. [Google Scholar] [CrossRef] [PubMed]
- Csordás, A.; Lengyel, P.; Füzesi, I. Who Prefers Regional Products? A Systematic Literature Review of Consumer Characteristics and Attitudes in Short Food Supply Chains. Sustainability 2022, 14, 8990. [Google Scholar] [CrossRef]
- Pugliese, M.; Previti, A.; De Pascale, A.; Alibrandi, A.; Zirilli, A.; Biondi, V.; Passantino, A.; Monti, S.; Giannetto, C.; Lanfranchi, M. Exploring Consumer Behavior and Preferences in Welfare-Friendly Pork Breeding: A Multivariate Analysis. Foods 2023, 12, 3014. [Google Scholar] [CrossRef]
- European Union. Regulation (EU) 2016/679 of the European Parliament and of the council of 27 April 2016 on the protection of natural persons with regard to the processing of personal data and on the free movement of such data and repealing Directive 95/46/EC. In: Official Journal of the European Union no. L 119 of 4 May 2016; pp. 1–88.
- Legislative Decree no. 165 of 30.03.2001. In: Official Journal General Series no. 106 of 9 May 2001, Ordinary Supplement no. 112.
- Legislative Decree. no. 33 of 14.03.2013. In: Official Journal General Series no. 80 of 5 April 2013.
- Council Directive 2008/120/EC of 18 December 2008 laying down minimum standards for the protection of pigs. In: Official Journal of the European Union L 47 of 18 February 2009; p. 5-13.
- Legislative Decree no. 122 of 07.07.2011. In: Official Journal General Series no. 178 of 2 August 2011.
- Kleinbaum, D.G.; Klein, M. Logistic Regression. A Self-Learning Text, 3rd ed.; Springer: New York, NY, USA, 2010. [Google Scholar]
- Frey, U.J.; Pirscher, F. Willingness to pay and moral stance: The case of farm animal welfare in Germany. PLoS ONE 2018, 13, e0202193. [Google Scholar] [CrossRef]
- Taylor, N.; Signal, T.D. Willingness to pay: Australian consumers and “on the farm” welfare. J. Appl. Anim. Welf. Sci. 2009, 12, 345–359. [Google Scholar] [CrossRef]
- Tomasevic, I.; Bahelka, I.; Čítek, J.; Čandek-Potokar, M.; Djekić, I.; Getya, A.; Guerrero, L.; Ivanova, S.; Kušec, G.; Nakov, D.; et al. Attitudes and Beliefs of Eastern European Consumers Towards Animal Welfare. Animals 2020, 10, 1220. [Google Scholar] [CrossRef]
- EFSA Panel on Animal Health and Welfare (AHAW); Nielsen, S.S.; Alvarez, J.; Bicout, D.J.; Calistri, P.; Canali, E.; Drewe, J.A.; Garin-Bastuji, B.; Gonzales Rojas, J.L.; Schmidt, G.; et al. Welfare of pigs on farm. EFSA J. 2022, 20, e07421. [Google Scholar]
- Dransfield, E.; Ngapo, T.M.; Nielsen, N.A.; Bredahl, L.P.; Sjödén, O.; Magnusson, M.; Campo, M.M.; Nute, G.R. Consumer choice and suggested price for pork as influenced by its appearance, taste and information concerning country of origin and organic pig production. Meat Sci. 2005, 69, 61–70. [Google Scholar] [CrossRef]
- Liang, Y.; Xu, Y.; Lai, D.; Hua, G.; Huang, D.; Wang, H.; Li, H.; Han, L. Emerging market for pork with animal welfare attribute in China: An ethical perspective. Meat Sci. 2023, 195, 108994. [Google Scholar] [CrossRef] [PubMed]
- Yang, Y.C.; Hong, C.Y. Taiwanese Consumers’ Willingness to Pay for Broiler Welfare Improvement. Animals 2019, 9, 231. [Google Scholar] [CrossRef] [PubMed]
- Harvey, D.; Hubbard, C. The supply chain’s role in improving animal welfare. Animals 2013, 3, 767–785. [Google Scholar] [CrossRef]
- Verbeke, W. Stakeholder. Citizen and consumer interests in farm animal welfare. Anim. Welf. 2009, 18, 325–333. [Google Scholar] [CrossRef]
- Nordquist, R.E.; van der Staay, F.J.; van Eerdenburg, F.J.C.M.; Velkers, F.C.; Fijn, L.; Arndt, S.S. Mutilating procedures, management practices, and housing conditions that may affect the welfare of farm animals: Implications for welfare research. Animals 2017, 7, 12. [Google Scholar] [CrossRef]
- Frewer, L.J.; Kole, A.; Van de Kroon, S.M.; De Lauwere, C. Consumer attitudes towards the development of animal-friendly husbandry systems. J. Agr. Environ. Ethic. 2005, 18, 345–367. [Google Scholar] [CrossRef]
- Bracke, M.B.M.; Hopster, H. Assessing the importance of natural behavior for animal welfare. J. Agr. Environ. Ethic. 2006, 19, 77–89. [Google Scholar] [CrossRef]
- Krystallis, A.; De Barcellos, M.D.; Kügler, J.O.; Verbeke, W.; Grunert, K.G. Attitudes of European citizens towards pig production systems. Livest. Sci. 2009, 126, 46–56. [Google Scholar] [CrossRef]
- Pejman, N.; Kallas, Z.; Dalmau, A.; Velarde, A. Should Animal Welfare Regulations Be More Restrictive? A Case Study in Eight European Union Countries. Animals 2019, 9, 195. [Google Scholar] [CrossRef]
- Blandford, D.; Bureau, J.C.; Fulponi, L.; Henson, S. Potential implications of animal welfare concerns and public policies in industrialized countries for international trade. In Global Food Trade and Consumer Demand for Quality; Krissoff, B., Bohman, M., Caswell, J.A., Eds.; Springer: Boston, MA, USA, 2002; pp. 77–99. [Google Scholar] [CrossRef]
- Busse, M.; Kernecker, M.L.; Siebert, R. Ethical issues in poultry production—Datasets from a German consumer survey. Data Brief. 2020, 31, 105748. [Google Scholar] [CrossRef] [PubMed]
- He, J.; Evans, N.M.; Liu, H.; Shao, S. A review of research on plant-based meat alternatives: Driving forces, history, manufacturing, and consumer attitudes. Compr. Rev. Food Sci. Food Saf. 2020, 19, 2639–2656. [Google Scholar] [CrossRef]
- Alcorta, A.; Porta, A.; Tárrega, A.; Alvarez, M.D.; Pilar Vaquero, M. Foods for plant-based diets: Challenges and innovations. Foods 2021, 10, 293. [Google Scholar] [CrossRef]
- Szendro, K.; Szabó-Szentgróti, E.; Szigeti, O. Consumers’ attitude to consumption of rabbit meat in eight countries depending on the production method and its purchase form. Foods 2020, 9, 654. [Google Scholar] [CrossRef]
- Dickinson, D.L.; Bailey, D. Meat traceability: Are U.S. consumers willing to pay for it? J. Agric. Resour. Econ. 2022, 27, 348–364. [Google Scholar]
- Xu, L.; Yang, X.; Wu, L.; Chen, X.; Chen, L.; Tsai, F.-S. Consumers’ willingness to pay for food with information on animal welfare, lean meat essence detection, and traceability. Int. J. Environ. Res. Public Health 2019, 16, 3616. [Google Scholar] [CrossRef]
- Adams, D.C.; Salois, M.J. Local versus organic: A turn in consumer preferences and willingness-to-pay. Renew. Agr. Food Syst. 2010, 25, 331–341. [Google Scholar] [CrossRef]
- Marchant-Forde, J.N.; Boyle, L.A. COVID-19 Effects on Livestock Production: A One Welfare Issue. Front. Vet. Sci. 2020, 7, 585787. [Google Scholar] [CrossRef] [PubMed]
- Lovarelli, D.; Bacenetti, J.; Guarino, M. A review on dairy cattle farming: Is precision livestock farming the compromise for an environmental, economic and social sustainable production? J. Clean. Prod. 2020, 262, 121409. [Google Scholar] [CrossRef]
- Liljenstolpe, C. Evaluating animal welfare with choice experiments: An application to Swedish pig production. Agribusiness 2008, 24, 67–84. [Google Scholar] [CrossRef]
- Petit, J.; van der Werf, H.M.G. Perception of the environmental impacts of current and alternative modes of pig production by stakeholder groups. J. Environ. Manag. 2003, 68, 377–386. [Google Scholar] [CrossRef] [PubMed]
- Clark, B.; Stewart, G.B.; Panzone, L.A.; Kyriazakis, I.; Frewer, L.J. Citizens, consumers and farm animal welfare: A meta-analysis of willingness-to-pay studies. Food Policy 2017, 68, 112–127. [Google Scholar] [CrossRef]
- Te Velde, H.; Aarts, N.; Van Woerkum, C. Dealing with ambivalence: Farmers’ and consumers’ perceptions of animal welfare in livestock breeding. J. Agr. Environ. Ethic. 2002, 15, 203–219. [Google Scholar] [CrossRef]
- Bryant, C.; Szejda, K.; Parekh, N.; Desphande, V.; Tse, B. A Survey of Consumer Perceptions of Plant-Based and Clean Meat in the USA, India, and China. Front. Sustain. Food Syst. 2019, 3, 11. [Google Scholar] [CrossRef]
- Vanhonacker, F.; Verbeke, W. Public and Consumer Policies for Higher Welfare Food Products: Challenges and Opportunities. J. Agric. Environ. Ethic. 2014, 27, 153–171. [Google Scholar] [CrossRef]
- Van Loo, E.J.; Caputo, V.; Lusk, J.L. Consumer preferences for farm-raised meat, lab-grown meat, and plant-based meat alternatives: Does information or brand matter? Food Policy 2020, 95, 101931. [Google Scholar] [CrossRef]
- Lea, E.; Worsley, A. Benefits, and barriers to the consumption of a vegetarian diet in Australia. Public Health Nutr. 2003, 6, 505–511. [Google Scholar] [CrossRef]
- Grunert, K.G.; Bredahl, L.; Brunsø, K. Consumer perception of meat quality and implications for product development in the meat sector—A review. Meat Sci. 2004, 66, 259–272. [Google Scholar] [CrossRef]
- Grunert, K.G.; Sonntag, W.I.; Glanz-Chanos, V.; Forum, S. Consumer interest in environmental impact, safety, health and animal welfare aspects of modern pig production: Results of a cross-national choice experiment. Meat Sci. 2018, 137, 123–129. [Google Scholar] [CrossRef]
- Harper, G.C.; Makatouni, A. Consumer perception of organic food production and farm animal welfare. Brit. Food J. 2002, 104, 287–299. [Google Scholar] [CrossRef]
- Roininen, K.; Arvola, A.; Lähteenmäki, L. Exploring consumers’ perceptions of local food with two different qualitative techniques: Laddering and word association. Food Qual. Prefer. 2006, 17, 20–30. [Google Scholar] [CrossRef]
- O’Donovan, P.; Mccarthy, M. Irish consumer preference for organic meat. Brit. Food J. 2002, 104, 353–370. [Google Scholar] [CrossRef]


| GENDER | |
|---|---|
| M | 173 (42.8%) |
| F | 231 (57.2%) |
| EDUCATIONAL QUALIFICATION | |
| Primary school | 3 (0.7%) |
| Middle school | 13 (3.2%) |
| High school | 252 (62.4%) |
| Degree | 136 (33.7%) |
| RESIDENCE AREA | |
| Rural | 71 (17.6%) |
| Urban | 333 (82.4%) |
| MARITAL STATUS | |
| Unmarried | 283 (70.0%) |
| Cohabitant/married | 105 (26.0%) |
| Separated/divorced | 14 (3.5%) |
| Widower | 2 (0.5%) |
| FAMILY COMPONENTS | |
| 1 | 31 (7.7%) |
| 2 | 45 (11.1%) |
| 3 | 108 (26.7%) |
| 4 | 151 (37.4%) |
| >4 | 69 (17.1%) |
| INCOME RANGE | |
| <EUR 9.999 | 71 (17.6%) |
| EUR 10.000–EUR 19.999 | 101 (25.0%) |
| EUR 20.000–EUR 29.999 | 93 (23.0%) |
| EUR 30.000–EUR 49.999 | 74 (18.3%) |
| EUR 50.000–EUR 69.999 | 31 (7.7%) |
| EUR 70.000–EUR 99.999 | 20 (5.0%) |
| >EUR 100.000 | 14 (3.5%) |
| RELIGIOUS BELIEVERS | |
| Yes | 287 (71.0%) |
| No | 117 (29.0%) |
| WTP MORE | |
| Yes | 358 (88.6%) |
| No | 46 (11.4%) |
| PREFERABILITY OF FARMS | |
| Yes | 348 (86.1%) |
| No | 56 (13.9%) |
| VARIABLES | M ± SD |
|---|---|
| Age | 37.9 ± 12.3 |
| The importance attributed to farming techniques respecting animal welfare | 7.1 ± 2.8 |
| The importance attributed to organic farming methods | 7.4 ±2.7 |
| COVARIATES | UNIVARIATE | MULTIVARIABLE | ||||
|---|---|---|---|---|---|---|
| OR | I.C. 95% | p-Value | OR | I.C.95% | p-Value | |
| Age | 0.998 | 0.974–1.022 | 0.853 | 0.999 | 0.971–1.027 | 0.925 |
| Gender (M vs. F) | 0.592 | 0.319–1.097 | 0.096 | 0.710 | 0.357–1.414 | 0.330 |
| Educational qualification | 0.876 | 0.505–1.522 | 0.639 | 0.763 | 0.422–1.379 | 0.371 |
| Income range | 0.952 | 0.785–1.155 | 0.618 | 0.932 | 0.764–1.138 | 0.492 |
| Residence area (urban/rural) | 1.789 | 0.875–3.656 | 0.111 | 1.791 | 0.923–3.457 | 0.116 |
| Family components | 0.951 | 0.739–1.226 | 0.700 | 0.964 | 0.734–1.268 | 0.795 |
| Religious believers (Yes/No) | 1.083 | 0.555–2.113 | 0.815 | 1.095 | 0.526–2.281 | 0.808 |
| Importance of farming techniques | 1.187 | 1.077–1.309 | 0.001 | 1.185 | 1.072–1.311 | 0.001 |
| Importance of organic farming methods | 1.175 | 1.064–1.298 | 0.001 | 1.055 | 0.911–1.222 | 0.474 |
| Preference for animal-welfare-friendly farms | 2.883 | 1.652–5.030 | <0.001 | 2.642 | 1.424–4.900 | 0.002 |
Disclaimer/Publisher’s Note: The statements, opinions and data contained in all publications are solely those of the individual author(s) and contributor(s) and not of MDPI and/or the editor(s). MDPI and/or the editor(s) disclaim responsibility for any injury to people or property resulting from any ideas, methods, instructions or products referred to in the content. |
© 2023 by the authors. Licensee MDPI, Basel, Switzerland. This article is an open access article distributed under the terms and conditions of the Creative Commons Attribution (CC BY) license (https://creativecommons.org/licenses/by/4.0/).
Share and Cite
Giannetto, C.; Biondi, V.; Previti, A.; De Pascale, A.; Monti, S.; Alibrandi, A.; Zirilli, A.; Lanfranchi, M.; Pugliese, M.; Passantino, A. Willingness to Pay a Higher Price for Pork Obtained Using Animal-Friendly Raising Techniques: A Consumers’ Opinion Survey. Foods 2023, 12, 4201. https://doi.org/10.3390/foods12234201
Giannetto C, Biondi V, Previti A, De Pascale A, Monti S, Alibrandi A, Zirilli A, Lanfranchi M, Pugliese M, Passantino A. Willingness to Pay a Higher Price for Pork Obtained Using Animal-Friendly Raising Techniques: A Consumers’ Opinion Survey. Foods. 2023; 12(23):4201. https://doi.org/10.3390/foods12234201
Chicago/Turabian StyleGiannetto, Carlo, Vito Biondi, Annalisa Previti, Angelina De Pascale, Salvatore Monti, Angela Alibrandi, Agata Zirilli, Maurizio Lanfranchi, Michela Pugliese, and Annamaria Passantino. 2023. "Willingness to Pay a Higher Price for Pork Obtained Using Animal-Friendly Raising Techniques: A Consumers’ Opinion Survey" Foods 12, no. 23: 4201. https://doi.org/10.3390/foods12234201
APA StyleGiannetto, C., Biondi, V., Previti, A., De Pascale, A., Monti, S., Alibrandi, A., Zirilli, A., Lanfranchi, M., Pugliese, M., & Passantino, A. (2023). Willingness to Pay a Higher Price for Pork Obtained Using Animal-Friendly Raising Techniques: A Consumers’ Opinion Survey. Foods, 12(23), 4201. https://doi.org/10.3390/foods12234201

