Detoxification of Fumonisins by Three Novel Transaminases with Diverse Enzymatic Characteristics Coupled with Carboxylesterase
Abstract
1. Introduction
2. Materials and Methods
2.1. Strains, Plasmids, Chemicals, and Enzyme
2.2. Gene Mining Novel Transaminases for Fumonisin Degradation
2.3. Protein Expression and Purification of Transaminases
2.4. Fumonisin Degradation by Transaminases
2.5. Analysis of Final Degradation Products by LC-MS
2.6. Biochemical Characterization of Transaminases
3. Results and Discussions
3.1. Gene Mining of FB1 Detoxifying Transaminases
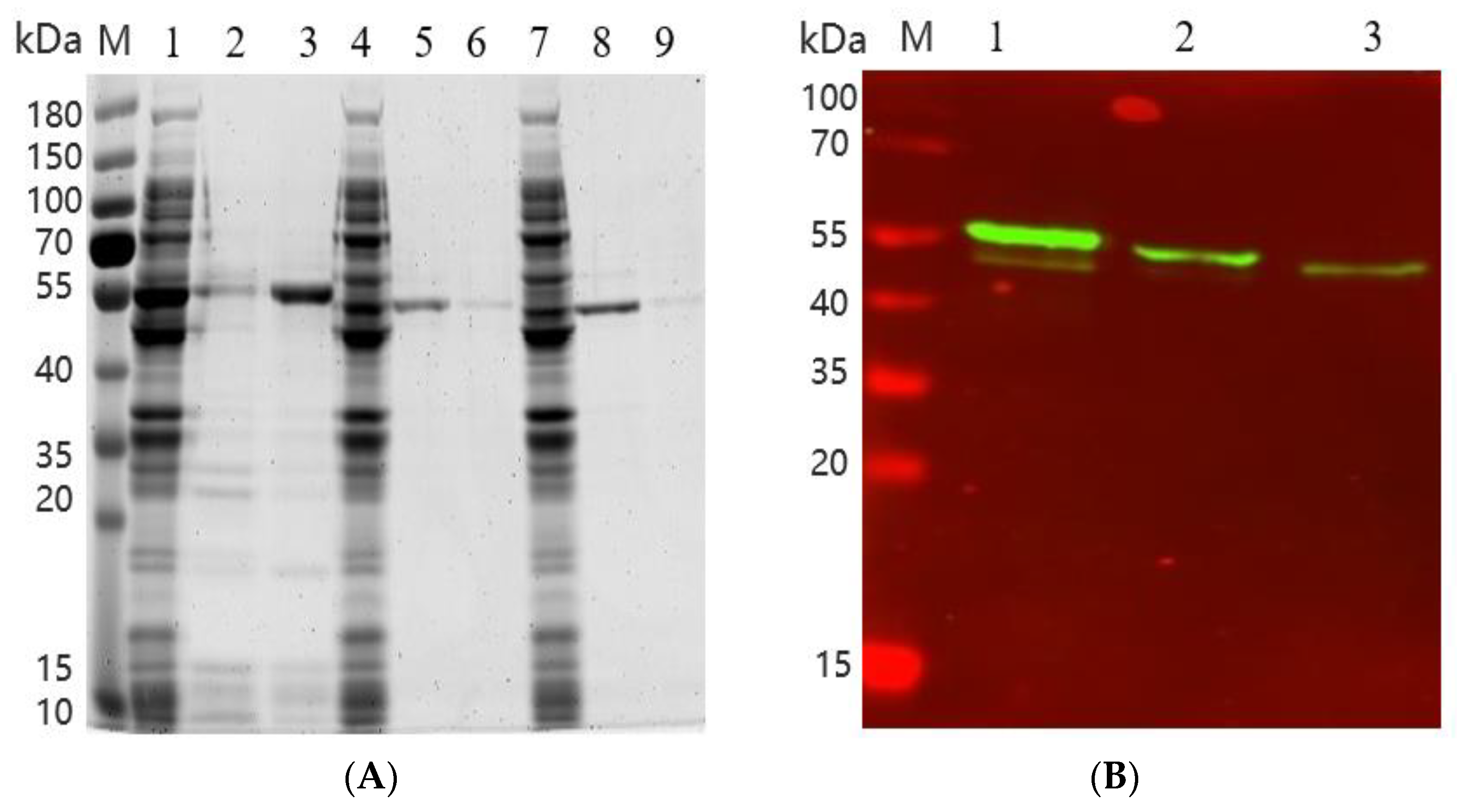
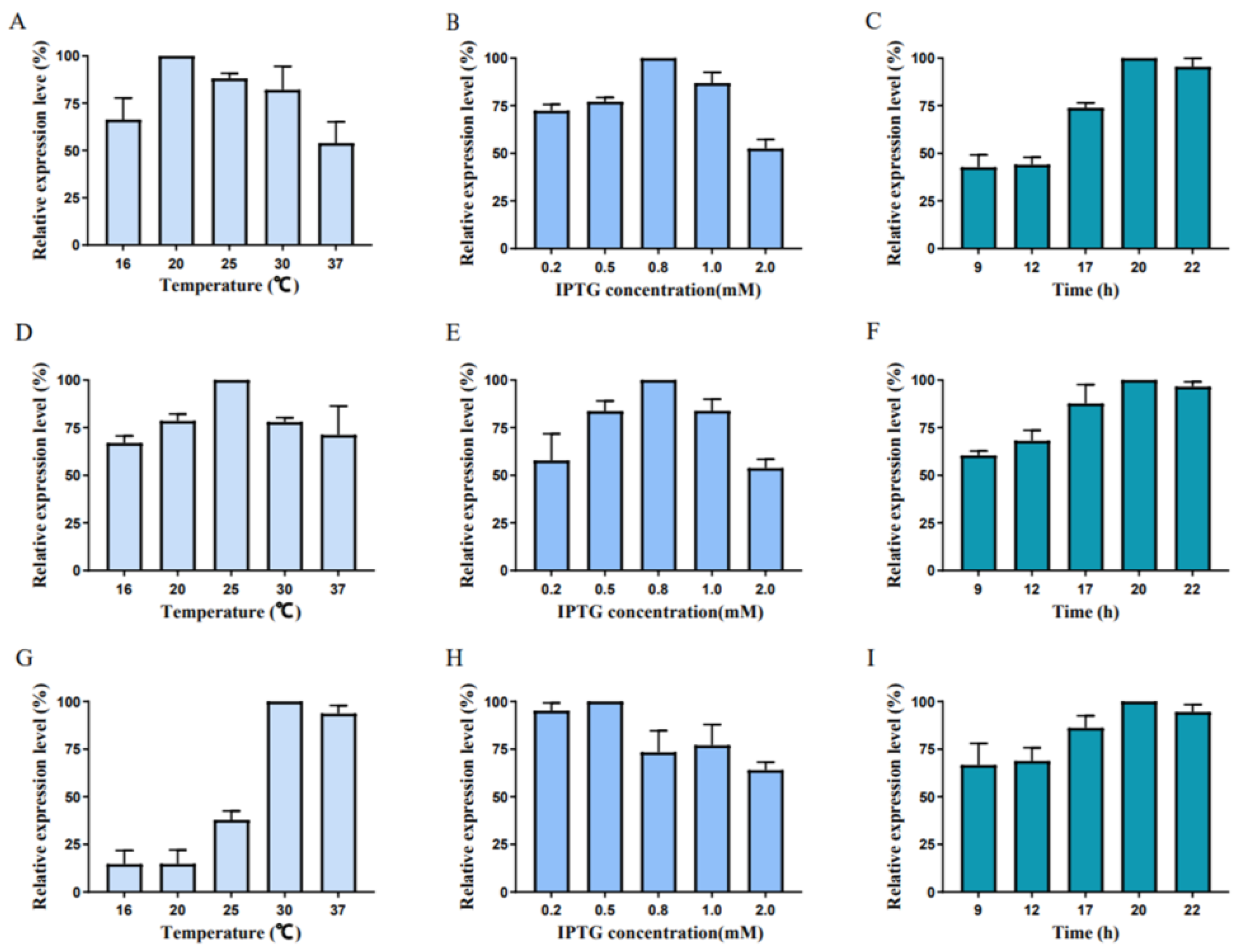
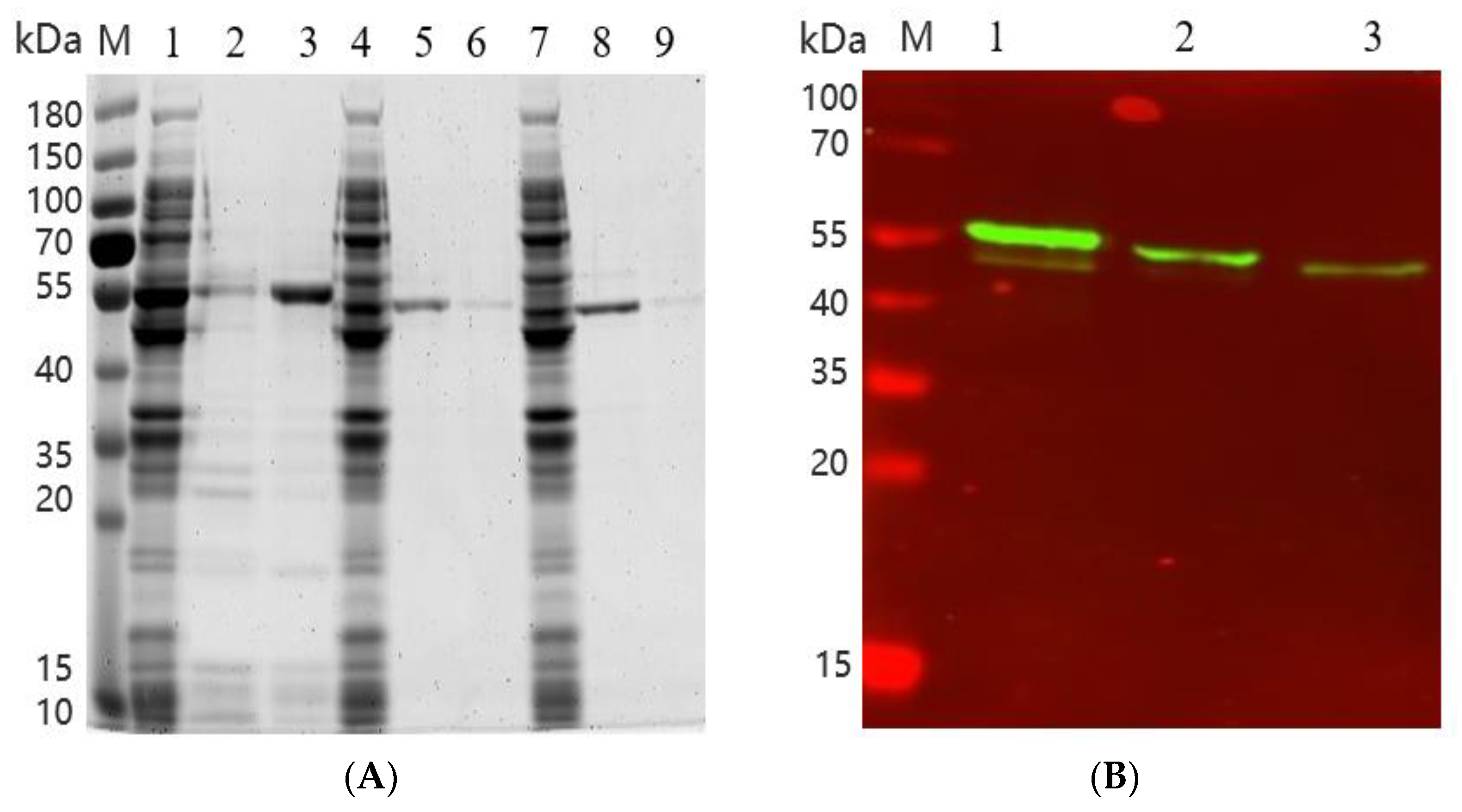
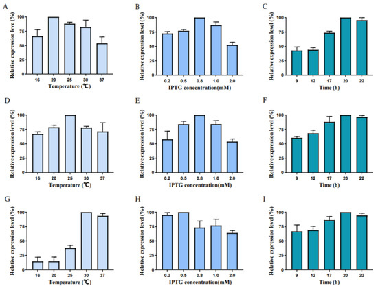
3.2. Protein Expression and Purification
3.3. LC-MS Analysis
3.4. Degradation Activity and Biochemical Characteristics
4. Conclusions
Author Contributions
Funding
Institutional Review Board Statement
Informed Consent Statement
Data Availability Statement
Conflicts of Interest
References
- Chen, J.; Wei, Z.; Wang, Y.; Long, M.; Kuca, K. Fumonisin B1: Mechanisms of toxicity and biological detoxification progress in animals. Food Chem. Toxicol. 2021, 149, 111977. [Google Scholar] [CrossRef] [PubMed]
- Liu, L.; Xie, M.; Wei, D. Biological detoxification of mycotoxins: Current status and future advances. Int. J. Mol. Sci. 2022, 23, 1064. [Google Scholar] [CrossRef] [PubMed]
- Vanara, F.; Scarpino, V.; Blandino, M. Fumonisin distribution in maize dry-milling products and by-products: Impact of two industrial degermination systems. Toxins 2018, 10, 357. [Google Scholar] [CrossRef] [PubMed]
- Riley, R.T.; Merrill, A.H. Ceramide synthase inhibition by fumonisins: A perfect storm of perturbed sphingolipid metabolism, signaling, and disease. J. Lipid. Res. 2019, 60, 1183–1189. [Google Scholar] [CrossRef] [PubMed]
- Kim, S.H.; Singh, M.P.; Sharma, C.; Kang, S.C. Fumonisin B1 actuates oxidative stress-associated colonic damage via apoptosis and autophagy activation in murine model. J. Biochem. Mol. Toxic. 2018, 32, e22161. [Google Scholar] [CrossRef] [PubMed]
- Schmelz, E.M.; Dombrink Kurtzman, M.A.; Roberts, P.C.; Kozutsumi, Y.; Kawasaki, T.; Merrill, A.H., Jr. Induction of apoptosis by fumonisin B1 in HT29 cells is mediated by the accumulation of endogenous free sphingoid bases. Toxicol. Appl. Pharm. 1998, 148, 252–260. [Google Scholar] [CrossRef]
- Qu, L.; Wang, L.; Ji, H.; Fang, Y.; Lei, P.; Zhang, X.; Jin, L.; Sun, D.; Dong, H. Toxic mechanism and biological detoxification of fumonisins. Toxins 2022, 14, 182. [Google Scholar] [CrossRef]
- Kamle, M.; Mahato, D.K.; Devi, S.; Lee, K.E.; Kang, S.G.; Kumar, P. Fumonisins: Impact on agriculture, food, and human health and their management strategies. Toxins 2019, 11, 328. [Google Scholar] [CrossRef]
- Yu, S.; Jia, B.; Liu, N.; Yu, D.; Wu, A. Evaluation of the individual and combined toxicity of fumonisin mycotoxins in human gastric epithelial cells. Int. J. Mol. Sci. 2020, 21, 5917. [Google Scholar] [CrossRef]
- Chen, J.; Wen, J.; Tang, Y.; Shi, J.; Mu, G.; Yan, R.; Cai, J.; Long, M. Research progress on fumonisin B1 contamination and toxicity: A Review. Molecules 2021, 26, 5238. [Google Scholar] [CrossRef]
- Neckermann, K.; Antonissen, G.; Doupovec, B.; Schatzmayr, D.; Gathumbi, J.; Delcenserie, V.; Uhlig, S.; Croubels, S. Efficacy of fumonisin esterase in piglets as animal model for fumonisin detoxification in humans: Pilot study comparing intraoral to intragastric administration. Toxins 2022, 14, 136. [Google Scholar] [CrossRef] [PubMed]
- Wild, C.P.; Gong, Y.Y. Mycotoxins and human disease: A largely ignored global health issue. Carcinogenesis 2010, 31, 71–82. [Google Scholar] [CrossRef] [PubMed]
- Corrêa, J.A.F.; Orso, P.B.; Bordin, K.; Hara, R.V.; Luciano, F.B. Toxicological effects of fumonisin B1 in combination with other Fusarium toxins. Food. Chem. Toxicol. 2018, 121, 483–494. [Google Scholar] [CrossRef]
- Zhang, S.; Zhou, S.; Yu, S.; Zhao, Y.; Wu, Y.; Wu, A. LC-MS/MS analysis of fumonisin B1, B2, B3, and their hydrolyzed metabolites in broiler chicken feed and excreta. Toxins 2022, 14, 131. [Google Scholar] [CrossRef] [PubMed]
- Mwihia, E.W.; Lyche, J.L.; Mbuthia, P.G.; Ivanova, L.; Uhlig, S.; Gathumbi, J.K.; Maina, J.G.; Eshitera, E.E.; Eriksen, G.S. Co-Occurrence and levels of mycotoxins in fish feeds in Kenya. Toxins 2020, 12, 627. [Google Scholar] [CrossRef] [PubMed]
- Li, P.; Su, R.; Yin, R.; Lai, D.; Wang, M.; Liu, Y.; Zhou, L. Detoxification of mycotoxins through biotransformation. Toxins 2020, 12, 121. [Google Scholar] [CrossRef]
- Voss, K.; Ryu, D.; Jackson, L.; Riley, R.; Gelineau-van Waes, J. Reduction of fumonisin toxicity by extrusion and nixtamalization (alkaline cooking). J. Agric. Food Chem. 2017, 65, 7088–7096. [Google Scholar] [CrossRef]
- Loi, M.; Fanelli, F.; Liuzzi, V.C.; Logrieco, A.F.; Mulè, G. Mycotoxin biotransformation by native and commercial enzymes: Present and future perspectives. Toxins 2017, 9, 111. [Google Scholar] [CrossRef]
- Chen, Y.; Qu, G.; Quan, H.; Wang, Y.; Wang, C.; Haque, M.A.; He, C. A Novel Cost-Effective Nanobody against Fumonisin B1 Contaminations: Efficacy Test in Dairy Milk and Chickens. Toxins 2022, 14, 821. [Google Scholar] [CrossRef]
- Zhu, Y.; Hassan, Y.I.; Lepp, D.; Shao, S.; Zhou, T. Strategies and methodologies for developing microbial detoxification systems to mitigate mycotoxins. Toxins 2017, 9, 130. [Google Scholar] [CrossRef]
- Wu, N.; Ou, W.; Zhang, Z.; Wang, Y.; Xu, Q.; Huang, H. Recent advances in detoxification strategies for zearalenone contamination in food and feed. Chin. J. Chem. Eng. 2021, 30, 168–177. [Google Scholar] [CrossRef]
- Ngolong Ngea, G.L.; Yang, Q.; Castoria, R.; Zhang, X.; Routledge, M.N.; Zhang, H. Recent trends in detecting, controlling, and detoxifying of patulin mycotoxin using biotechnology methods. Compr. Rev. Food Sci. Food Saf. 2020, 19, 2447–2472. [Google Scholar] [CrossRef] [PubMed]
- Li, K.; Yu, S.; Yu, D.; Lin, H.; Liu, N.; Wu, A. Biodegradation of Fumonisins by the consecutive action of a fusion enzyme. Toxins 2022, 14, 266. [Google Scholar] [CrossRef] [PubMed]
- Garnham, C.P.; Butler, S.G.; Telmer, P.G.; Black, F.E.; Renaud, J.B.; Sumarah, M.W. Identification and characterization of an aspergillus niger amine oxidase that detoxifies intact fumonisins. J. Agric. Food Chem. 2020, 68, 13779–13790. [Google Scholar] [CrossRef]
- Heinl, S.; Hartinger, D.; Thamhesl, M.; Vekiru, E.; Krska, R.; Schatzmayr, G.; Moll, W.D.; Grabherr, R. Degradation of fumonisin B1 by the consecutive action of two bacterial enzymes. J. Biotechnol. 2010, 145, 120–129. [Google Scholar] [CrossRef]
- Heinl, S.; Hartinger, D.; Thamhesl, M.; Schatzmayr, G.; Moll, W.D.; Grabherr, R. An aminotransferase from bacterium ATCC 55552 deaminates hydrolyzed fumonisin B1. Biodegradation 2011, 22, 25–30. [Google Scholar] [CrossRef]
- Blackwell, B.A.; Gilliam, J.T.; Savard, M.E.; David Miller, J.; Duvick, J.P. Oxidative deamination of hydrolyzed fumonisin B1 (AP1) by cultures of Exophiala spinifera. Nat. Toxins 1999, 7, 31–38. [Google Scholar] [CrossRef]
- Hartinger, D.; Schwartz, H.; Hametner, C.; Schatzmayr, G.; Haltrich, D.; Moll, W.D. Enzyme characteristics of aminotransferase FumI of Sphingopyxis sp. MTA144 for deamination of hydrolyzed fumonisin B1. Appl. Microbiol. Biot. 2011, 91, 757–768. [Google Scholar] [CrossRef]
- Li, Z.; Wang, Y.; Liu, Z.; Jin, S.; Pan, K.; Liu, H.; Liu, T.; Li, X.; Zhang, C.; Luo, X. Biological detoxification of fumonisin by a novel carboxylesterase from Sphingomonadales bacterium and its biochemical characterization. Int. J. Blol. Macromol. 2021, 169, 18–27. [Google Scholar] [CrossRef]
- Alberts, J.; Lilly, M.; Rheeder, J.; Burger, H.M.; Shephard, G.S.; Gelderblom, W. Technological and community-based methods to reduce mycotoxin exposure. Food Control 2017, 73, 101–109. [Google Scholar] [CrossRef]
- Steffen-Munsberg, F.; Vickers, C.; Kohls, H.; Land, H.; Mallin, H.; Nobili, A.; Skalden, L.; van den Bergh, T.; Joosten, H.J.; Berglund, P. Bioinformatic analysis of a PLP-dependent enzyme superfamily suitable for biocatalytic applications. Biotechnol. Adv. 2015, 33, 566–604. [Google Scholar] [CrossRef] [PubMed]
- Richardson, S.M.; Marchetti, P.M.; Herrera, M.A.; Campopiano, D.J. Coupled natural fusion enzymes in a novel biocatalytic cascade convert fatty acids to amines. ACS Catals. 2022, 12, 12701–12710. [Google Scholar] [CrossRef] [PubMed]
- Zhang, Z.; Xu, W.; Wu, H.; Zhang, W.; Mu, W. Identification of a potent enzyme for the detoxification of zearalenone. J. Agr. Food Chem. 2019, 68, 376–383. [Google Scholar] [CrossRef]
- Hartinger, D.; Heinl, S.; Schwartz, H.E.; Grabherr, R.; Schatzmayr, G.; Haltrich, D.; Moll, W.D. Enhancement of solubility in Escherichia coli and purification of an aminotransferase from Sphingopyxis sp. MTA144 for deamination of hydrolyzed fumonisin B1. Microb. Cell Fact. 2010, 9, 62. [Google Scholar] [CrossRef] [PubMed]
- Yang, P. The Degradative Mechanism of a Fumonisins Degradation Strain and Clone the Gene of the Degrading Enzyme; Henan University of Technology: Zhengzhou, China, 2016. (In Chinese) [Google Scholar]
- Bhalla, A.; Bansal, N.; Kumar, S.; Bischoff, K.M.; Sani, R.K. Improved lignocellulose conversion to biofuels with thermophilic bacteria and thermostable enzymes. Bioresour. Technol. 2013, 128, 751–759. [Google Scholar] [CrossRef] [PubMed]
- Ravindran, V.; Kornegay, E. Acidification of weaner pig diets: A review. J. Sci. Food Agric. 1993, 62, 313–322. [Google Scholar] [CrossRef]
- Far, B.E.; Ahmadi, Y.; Khosroshahi, A.Y.; Dilmaghani, A. Microbial alpha-amylase production: Progress, challenges and perspectives. Adv. Pharm. Bull. 2020, 10, 350. [Google Scholar]
- Oliveira, M.; Vasconcelos, V. Occurrence of mycotoxins in fish feed and its effects: A review. Toxins 2020, 12, 160. [Google Scholar] [CrossRef]
- Cao, L.; Wang, W.; Yang, C.; Yang, Y.; Diana, J.; Yakupitiyage, A.; Luo, Z.; Li, D. Application of microbial phytase in fish feed. Enzyme Microb. Tech. 2007, 40, 497–507. [Google Scholar] [CrossRef]













| Sequence Identity (%) | RMSD Value | |||
|---|---|---|---|---|
| FumIB | FumIS | FumIB | FumIS | |
| FumTSTA | 64.95 | 64.80 | 0.027 | 0.058 | 
| FumPHTA | 61.86 | 63.72 | 0.021 | 0.058 | 
| FumUPTA | 66.28 | 74.19 | 0.022 | 0.051 | 
| Disclaimer/Publisher’s Note: The statements, opinions and data contained in all publications are solely those of the individual author(s) and contributor(s) and not of MDPI and/or the editor(s). MDPI and/or the editor(s) disclaim responsibility for any injury to people or property resulting from any ideas, methods, instructions or products referred to in the content. | 
© 2023 by the authors. Licensee MDPI, Basel, Switzerland. This article is an open access article distributed under the terms and conditions of the Creative Commons Attribution (CC BY) license (https://creativecommons.org/licenses/by/4.0/).
Share and Cite
Wang, Y.; Sun, J.; Zhang, M.; Pan, K.; Liu, T.; Zhang, T.; Luo, X.; Zhao, J.; Li, Z. Detoxification of Fumonisins by Three Novel Transaminases with Diverse Enzymatic Characteristics Coupled with Carboxylesterase. Foods 2023, 12, 416. https://doi.org/10.3390/foods12020416
Wang Y, Sun J, Zhang M, Pan K, Liu T, Zhang T, Luo X, Zhao J, Li Z. Detoxification of Fumonisins by Three Novel Transaminases with Diverse Enzymatic Characteristics Coupled with Carboxylesterase. Foods. 2023; 12(2):416. https://doi.org/10.3390/foods12020416
Chicago/Turabian StyleWang, Yue, Junhao Sun, Mengwei Zhang, Kungang Pan, Tianhui Liu, Tongcun Zhang, Xuegang Luo, Junqi Zhao, and Zhongyuan Li. 2023. "Detoxification of Fumonisins by Three Novel Transaminases with Diverse Enzymatic Characteristics Coupled with Carboxylesterase" Foods 12, no. 2: 416. https://doi.org/10.3390/foods12020416
APA StyleWang, Y., Sun, J., Zhang, M., Pan, K., Liu, T., Zhang, T., Luo, X., Zhao, J., & Li, Z. (2023). Detoxification of Fumonisins by Three Novel Transaminases with Diverse Enzymatic Characteristics Coupled with Carboxylesterase. Foods, 12(2), 416. https://doi.org/10.3390/foods12020416
 
        

 
       