Bioactive Compounds from Fruits as Preservatives
Abstract
1. Introduction
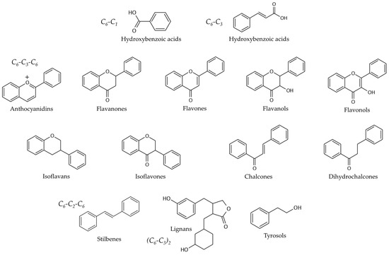
2. Bioactive Compounds Found in Fruits
3. Antioxidant and Antimicrobial Activity of Natural Bioactive Compounds Found in Fruits
4. Application of Fruit Bioactive Compounds in Meat and Meat Products
5. Application of Fruit Bioactive Compounds in Fish and Seafood
6. Application of Fruit Bioactive Compounds in Milk and Dairy Products
7. Application of Fruit Bioactive Compounds in Fruits and Vegetables
8. Application of Fruit Bioactive Compounds in Bakery Products
9. Advantages and Disadvantages
10. Conclusions
Author Contributions
Funding
Data Availability Statement
Acknowledgments
Conflicts of Interest
References
- Zeb, A. Concept, mechanism, and applications of phenolic antioxidants in foods. J. Food Biochem. 2020, 44, e13394. [Google Scholar] [CrossRef]
- Olatunde, O.O.; Benjakul, S. Natural Preservatives for Extending the Shelf-Life of Seafood: A Revisit. Compr. Rev. Food Sci. Food Saf. 2018, 17, 1595–1612. [Google Scholar] [CrossRef]
- Pérez-Santaescolástica, C.; Munekata, P.E.S.; Feng, X.; Liu, Y.; Bastianello Campagnol, P.C.; Lorenzo, J.M. Active edible coatings and films with Mediterranean herbs to improve food shelf-life. Crit. Rev. Food Sci. Nutr. 2020, 62, 2391–2403. [Google Scholar] [CrossRef] [PubMed]
- Putnik, P.; Kresoja, Ž.; Bosiljkov, T.; Režek Jambrak, A.; Barba, F.J.; Lorenzo, J.M.; Roohinejad, S.; Granato, D.; Žuntar, I.; Bursać Kovačević, D. Comparing the effects of thermal and non-thermal technologies on pomegranate juice quality: A review. Food Chem. 2019, 279, 150–161. [Google Scholar] [CrossRef]
- Pateiro, M.; Munekata, P.E.S.; Sant’Ana, A.S.; Domínguez, R.; Rodríguez-Lázaro, D.; Lorenzo, J.M. Application of essential oils as antimicrobial agents against spoilage and pathogenic microorganisms in meat products. Int. J. Food Microbiol. 2021, 337, 108966. [Google Scholar] [CrossRef] [PubMed]
- Rahman, M.S. Food Preservation: Overview. In Handbook of Food Preservation; Rahman, M.S., Ed.; CRC Press: Boca Raton, FL, USA, 2007; pp. 21–36. [Google Scholar]
- Amit, S.K.; Uddin, M.M.; Rahman, R.; Islam, S.M.R.; Khan, M.S. A review on mechanisms and commercial aspects of food preservation and processing. Agric. Food Secur. 2017, 6, 51. [Google Scholar] [CrossRef]
- Karwowska, M.; Stadnik, J.; Stasiak, D.M.; Wójciak, K.; Lorenzo, J.M. Strategies to improve the nutritional value of meat products: Incorporation of bioactive compounds, reduction or elimination of harmful components and alternative technologies. Int. J. Food Sci. Technol. 2021, 56, 6142–6156. [Google Scholar] [CrossRef]
- Horita, C.N.; Baptista, R.C.; Caturla, M.Y.R.; Lorenzo, J.M.; Barba, F.J.; Sant’Ana, A.S. Combining reformulation, active packaging and non-thermal post-packaging decontamination technologies to increase the microbiological quality and safety of cooked ready-to-eat meat products. Trends Food Sci. Technol. 2018, 72, 45–61. [Google Scholar] [CrossRef]
- Nie, J.Y.; Li, R.; Wang, Y.; Tan, J.; Tang, S.H.; Jiang, Z.T. Antioxidant activity evaluation of rosemary ethanol extract and their cellular antioxidant activity toward HeLa cells. J. Food Biochem. 2019, 43, e12851. [Google Scholar] [CrossRef]
- Asioli, D.; Aschemann-Witzel, J.; Caputo, V.; Vecchio, R.; Annunziata, A.; Næs, T.; Varela, P. Making sense of the “clean label” trends: A review of consumer food choice behavior and discussion of industry implications. Food Res. Int. 2017, 99, 58–71. [Google Scholar] [CrossRef]
- Zamuz, S.; Munekata, P.E.S.; Dzuvor, C.K.O.; Zhang, W.; Sant’Ana, A.S.; Lorenzo, J.M. The role of phenolic compounds against Listeria monocytogenes in food. A review. Trends Food Sci. Technol. 2021, 110, 385–392. [Google Scholar] [CrossRef]
- Domínguez, R.; Barba, F.J.; Gómez, B.; Putnik, P.; Bursać Kovačević, D.; Pateiro, M.; Santos, E.M.; Lorenzo, J.M. Active packaging films with natural antioxidants to be used in meat industry: A review. Food Res. Int. 2018, 113, 93–101. [Google Scholar] [CrossRef] [PubMed]
- Pateiro, M.; Barba, F.J.; Domínguez, R.; Sant’Ana, A.S.; Mousavi Khaneghah, A.; Gavahian, M.; Gómez, B.; Lorenzo, J.M. Essential oils as natural additives to prevent oxidation reactions in meat and meat products: A review. Food Res. Int. 2018, 113, 156–166. [Google Scholar] [CrossRef]
- Gokoglu, N. Novel natural food preservatives and applications in seafood preservation: A review. J. Sci. Food Agric. 2019, 99, 2068–2077. [Google Scholar] [CrossRef]
- Cutrim, C.S.; Cortez, M.A.S. A review on polyphenols: Classification, beneficial effects and their application in dairy products. Int. J. Dairy Technol. 2018, 71, 564–578. [Google Scholar] [CrossRef]
- Godos, J.; Vitale, M.; Micek, A.; Ray, S.; Martini, D.; Del Rio, D.; Riccardi, G.; Galvano, F.; Grosso, G. Dietary polyphenol intake, blood pressure, and hypertension: A systematic review and meta-analysis of observational studies. Antioxidants 2019, 8, 152. [Google Scholar] [CrossRef]
- Ma, G.; Chen, Y. Polyphenol supplementation benefits human health via gut microbiota: A systematic review via meta-analysis. J. Funct. Foods 2020, 66, 103829. [Google Scholar] [CrossRef]
- Pham, N.M.; Van Do, V.; Lee, A.H. Polyphenol-rich foods and risk of gestational diabetes: A systematic review and meta-analysis. Eur. J. Clin. Nutr. 2019, 73, 647–656. [Google Scholar] [CrossRef]
- Belščak-Cvitanović, A.; Durgo, K.; Huđek, A.; Bačun-Družina, V.; Komes, D. Overview of polyphenols and their properties. In Polyphenols: Properties, Recovery, and Applications; Galanakis, C.M., Ed.; Elsevier: Amsterdam, The Netherlands, 2018; pp. 3–44. ISBN 9780128135723. [Google Scholar]
- Singh, S.; Kaur, I.; Kariyat, R. The multifunctional roles of polyphenols in plant-herbivore interactions. Int. J. Mol. Sci. 2021, 22, 1442. [Google Scholar] [CrossRef]
- Rees, A.; Dodd, G.F.; Spencer, J.P.E. The effects of flavonoids on cardiovascular health: A review of human intervention trials and implications for cerebrovascular function. Nutrients 2018, 10, 1852. [Google Scholar] [CrossRef]
- Bakoyiannis, I.; Daskalopoulou, A.; Pergialiotis, V.; Perrea, D. Phytochemicals and cognitive health: Are flavonoids doing the trick? Biomed. Pharmacother. 2019, 109, 1488–1497. [Google Scholar] [CrossRef]
- Perez-Vizcaino, F.; Fraga, C.G. Research trends in flavonoids and health. Arch. Biochem. Biophys. 2018, 646, 107–112. [Google Scholar] [CrossRef]
- Lorenzo, J.M.; Munekata, P.E.S.; Baldin, J.C.; Franco, D.; Domínguez, R.; Trindade, M.A. The use of natural antioxidants to replace chemical antioxidants in foods. In Strategies for Obtaining Healthier Foods; Lorenzo, J.M., Carballo, F.J., Eds.; Nova Science Publishers: New York, NY, USA, 2017; pp. 205–228. ISBN 9781536121599. [Google Scholar]
- Tsao, R. Chemistry and biochemistry of dietary polyphenols. Nutrients 2010, 2, 1231–1246. [Google Scholar] [CrossRef] [PubMed]
- Marković, A.K.; Torić, J.; Barbarić, M.; Brala, C.J. Hydroxytyrosol, tyrosol and derivatives and their potential effects on human health. Molecules 2019, 24, 2001. [Google Scholar] [CrossRef]
- Stompor, M.; Broda, D.; Bajek-Bil, A. Dihydrochalcones: Methods of acquisition and pharmacological properties—A first systematic review. Molecules 2019, 24, 4468. [Google Scholar] [CrossRef]
- Borges, G.; Degeneve, A.; Mullen, W.; Crozier, A. Identification of flavonoid and phenolic antioxidants in black currants, blueberries, raspberries, red currants, and cranberries. J. Agric. Food Chem. 2010, 58, 3901–3909. [Google Scholar] [CrossRef] [PubMed]
- Wang, C.; Zuo, Y. Ultrasound-assisted hydrolysis and gas chromatography-mass spectrometric determination of phenolic compounds in cranberry products. Food Chem. 2011, 128, 562–568. [Google Scholar] [CrossRef]
- Fan, P.; Huber, D.J.; Su, Z.; Hu, M.; Gao, Z.; Li, M.; Shi, X.; Zhang, Z. Effect of postharvest spray of apple polyphenols on the quality of fresh-cut red pitaya fruit during shelf life. Food Chem. 2018, 243, 19–25. [Google Scholar] [CrossRef]
- Kakaei, S.; Shahbazi, Y. Effect of chitosan-gelatin film incorporated with ethanolic red grape seed extract and Ziziphora clinopodioides essential oil on survival of Listeria monocytogenes and chemical, microbial and sensory properties of minced trout fillet. LWT Food Sci. Technol. 2016, 72, 432–438. [Google Scholar] [CrossRef]
- Zhao, X.; Zhou, Y.; Zhao, L.; Chen, L.; He, Y.; Yang, H. Vacuum impregnation of fish gelatin combined with grape seed extract inhibits protein oxidation and degradation of chilled tilapia fillets. Food Chem. 2019, 294, 316–325. [Google Scholar] [CrossRef]
- Quatrin, A.; Rampelotto, C.; Pauletto, R.; Maurer, L.H.; Nichelle, S.M.; Klein, B.; Rodrigues, R.F.; Maróstica, M.R., Jr.; de Souza Fonseca, B.; de Menezes, C.R.; et al. Bioaccessibility and catabolism of phenolic compounds from jaboticaba (Myrciaria trunciflora) fruit peel during in vitro gastrointestinal digestion and colonic fermentation. J. Funct. Foods 2020, 65, 103714. [Google Scholar] [CrossRef]
- Inada, K.O.P.; Nunes, S.; Martínez-Blázquez, J.A.; Tomás-Barberán, F.A.; Perrone, D.; Monteiro, M. Effect of high hydrostatic pressure and drying methods on phenolic compounds profile of jabuticaba (Myrciaria jaboticaba) peel and seed. Food Chem. 2020, 309, 125794. [Google Scholar] [CrossRef] [PubMed]
- Baldin, J.C.; Munekata, P.E.S.; Michelin, E.C.; Polizer, Y.J.; Silva, P.M.; Canan, T.M.; Pires, M.A.; Godoy, S.H.S.; Fávaro-Trindade, C.S.; Lima, C.G.; et al. Effect of microencapsulated Jabuticaba (Myrciaria cauliflora) extract on quality and storage stability of mortadella sausage. Food Res. Int. 2018, 108, 551–557. [Google Scholar] [CrossRef]
- Do Nascimento-Silva, N.R.R.; Naves, M.M.V. Potential of whole pequi (Caryocar spp.) fruit-pulp, almond, oil, and shell-as a medicinal food. J. Med. Food 2019, 22, 952–962. [Google Scholar] [CrossRef] [PubMed]
- Morais, S.G.G.; da Silva Campelo Borges, G.; dos Santos Lima, M.; Martín-Belloso, O.; Magnani, M. Effects of probiotics on the content and bioaccessibility of phenolic compounds in red pitaya pulp. Food Res. Int. 2019, 126, 108681. [Google Scholar] [CrossRef] [PubMed]
- Esquivel, P.; Stintzing, F.C.; Carle, R. Phenolic compound profiles and their corresponding antioxidant capacity of purple pitaya (Hylocereus sp.) genotypes. Zeitschrift fur Naturforsch. Sect. C J. Biosci. 2007, 62, 636–644. [Google Scholar] [CrossRef] [PubMed]
- Al-Sayed, H.M.A.; Ahmed, A.R. Utilization of watermelon rinds and sharlyn melon peels as a natural source of dietary fiber and antioxidants in cake. Ann. Agric. Sci. 2013, 58, 83–95. [Google Scholar] [CrossRef]
- Amira, E.A.; Behija, S.E.; Beligh, M.; Lamia, L.; Manel, I.; Mohamed, H.; Lotfi, A. Effects of the ripening stage on phenolic profile, phytochemical composition and antioxidant activity of date palm fruit. J. Agric. Food Chem. 2012, 60, 10896–10902. [Google Scholar] [CrossRef] [PubMed]
- Morsy, M.K.; Mekawi, E.; Elsabagh, R. Impact of pomegranate peel nanoparticles on quality attributes of meatballs during refrigerated storage. LWT Food Sci. Technol. 2018, 89, 489–495. [Google Scholar] [CrossRef]
- Russo, M.; Fanali, C.; Tripodo, G.; Dugo, P.; Muleo, R.; Dugo, L.; De Gara, L.; Mondello, L. Analysis of phenolic compounds in different parts of pomegranate (Punica granatum) fruit by HPLC-PDA-ESI/MS and evaluation of their antioxidant activity: Application to different Italian varieties. Anal. Bioanal. Chem. 2018, 410, 3507–3520. [Google Scholar] [CrossRef]
- Zhu, M.T.; Huang, Y.S.; Wang, Y.L.; Shi, T.; Zhang, L.L.; Chen, Y.; Xie, M.Y. Comparison of (poly)phenolic compounds and antioxidant properties of pomace extracts from kiwi and grape juice. Food Chem. 2019, 271, 425–432. [Google Scholar] [CrossRef] [PubMed]
- Krawitzky, M.; Arias, E.; Peiro, J.M.; Negueruela, A.I.; Val, J.; Oria, R. Determination of color, antioxidant activity, and phenolic profile of different fruit tissue of Spanish Verde Doncella apple cultivar. Int. J. Food Prop. 2014, 17, 2298–2311. [Google Scholar] [CrossRef]
- Łata, B.; Trampczynska, A.; Paczesna, J. Cultivar variation in apple peel and whole fruit phenolic composition. Sci. Hortic. 2009, 121, 176–181. [Google Scholar] [CrossRef]
- Kammerer, D.; Claus, A.; Carle, R.; Schieber, A. Polyphenol screening of pomace from red and white grape varieties (Vitis vinifera L.) by HPLC-DAD-MS/MS. J. Agric. Food Chem. 2004, 52, 4360–4367. [Google Scholar] [CrossRef]
- Rios, J.J.; Gutiérrez-Rosales, F. Comparison of methods extracting phenolic compounds from lyophilised and fresh olive pulp. LWT Food Sci. Technol. 2010, 43, 1285–1288. [Google Scholar] [CrossRef]
- Medic, A.; Jakopic, J.; Hudina, M.; Solar, A.; Veberic, R. Identification and quantification of the major phenolic constituents in Juglans regia L. peeled kernels and pellicles, using HPLC–MS/MS. Food Chem. 2021, 352, 129404. [Google Scholar] [CrossRef]
- Juhart, J.; Medic, A.; Veberic, R.; Hudina, M.; Jakopic, J.; Stampar, F. Phytochemical Composition of Red-Fleshed Apple Cultivar ‘Baya Marisa’ Compared to Traditional, White-Fleshed Apple Cultivar ‘Golden Delicious’. Horticulturae 2022, 8, 811. [Google Scholar] [CrossRef]
- Skinner, R.C.; Gigliotti, J.C.; Ku, K.M.; Tou, J.C. A comprehensive analysis of the composition, health benefits, and safety of apple pomace. Nutr. Rev. 2018, 76, 893–909. [Google Scholar] [CrossRef]
- Lorenzo, J.M.; Pateiro, M.; Domínguez, R.; Barba, F.J.; Putnik, P.; Kovačević, D.B.; Shpigelman, A.; Granato, D.; Franco, D. Berries extracts as natural antioxidants in meat products: A review. Food Res. Int. 2018, 106, 1095–1104. [Google Scholar] [CrossRef]
- Paredes-López, O.; Cervantes-Ceja, M.L.; Vigna-Pérez, M.; Hernández-Pérez, T. Berries: Improving human health and healthy aging, and promoting quality life—A review. Plant Foods Hum. Nutr. 2010, 65, 299–308. [Google Scholar] [CrossRef]
- Santos, D.; Meireles, M.A. Jabuticaba as a source of functional pigments. Pharmacogn. Rev. 2009, 3, 137–142. [Google Scholar]
- Zamuz, S.; Munekata, P.E.S.; Gullón, B.; Rocchetti, G.; Montesano, D.; Lorenzo, J.M. Citrullus lanatus as source of bioactive components: An up-to-date review. Trends Food Sci. Technol. 2021, 111, 208–222. [Google Scholar] [CrossRef]
- Echegaray, N.; Pateiro, M.; Gullón, B.; Amarowicz, R.; Misihairabgwi, J.M.; Lorenzo, J.M. Phoenix dactylifera products in human health—A review. Trends Food Sci. Technol. 2020, 105, 238–250. [Google Scholar] [CrossRef]
- Munekata, P.E.S.; Nieto, G.; Pateiro, M.; Lorenzo, J.M. Phenolic compounds obtained from Olea europaea by-products and their use to improve the quality and shelf life of meat and meat products—A review. Antioxidants 2020, 9, 1061. [Google Scholar] [CrossRef]
- Santana, Á.L.; Macedo, G.A. Health and technological aspects of methylxanthines and polyphenols from guarana: A review. J. Funct. Foods 2018, 47, 457–468. [Google Scholar] [CrossRef]
- Silva, C.P.; Sampaio, G.R.; Freitas, R.A.M.S.; Torres, E.A.F.S. Polyphenols from guaraná after in vitro digestion: Evaluation of bioacessibility and inhibition of activity of carbohydrate-hydrolyzing enzymes. Food Chem. 2018, 267, 405–409. [Google Scholar] [CrossRef]
- Pateiro, M.; Vargas, F.C.; Chincha, A.A.I.A.; Sant’Ana, A.S.; Strozzi, I.; Rocchetti, G.; Barba, F.J.; Domínguez, R.; Lucini, L.; do Amaral Sobral, P.J.; et al. Guarana seed extracts as a useful strategy to extend the shelf life of pork patties: UHPLC-ESI/QTOF phenolic profile and impact on microbial inactivation, lipid and protein oxidation and antioxidant capacity. Food Res. Int. 2018, 114, 55–63. [Google Scholar] [CrossRef]
- Richardson, D.P.; Ansell, J.; Drummond, L.N. The nutritional and health attributes of kiwifruit: A review. Eur. J. Nutr. 2018, 57, 2659–2676. [Google Scholar] [CrossRef]
- Motilva, M.J.; Serra, A.; Macià, A. Analysis of food polyphenols by ultra high-performance liquid chromatography coupled to mass spectrometry: An overview. J. Chromatogr. A 2013, 1292, 66–82. [Google Scholar] [CrossRef]
- Rahimi, P.; Abedimanesh, S.; Mesbah-Namin, S.A.; Ostadrahimi, A. Betalains, the nature-inspired pigments, in health and diseases. Crit. Rev. Food Sci. Nutr. 2019, 59, 2949–2978. [Google Scholar] [CrossRef]
- Ibrahim, S.R.M.; Mohamed, G.A.; Khedr, A.I.M.; Zayed, M.F.; El-Kholy, A.A.E.S. Genus Hylocereus: Beneficial phytochemicals, nutritional importance, and biological relevance—A review. J. Food Biochem. 2018, 42, e12491. [Google Scholar] [CrossRef]
- Kim, H.J.; Choi, H.K.; Moon, J.Y.; Kim, Y.S.; Mosaddik, A.; Cho, S.K. Comparative antioxidant and antiproliferative activities of red and white pitayas and their correlation with flavonoid and polyphenol content. J. Food Sci. 2011, 76, C38–C45. [Google Scholar] [CrossRef]
- Severino, R.; Vu, K.D.; Donsì, F.; Salmieri, S.; Ferrari, G.; Lacroix, M. Antimicrobial effects of different combined non-thermal treatments against Listeria monocytogenes in broccoli florets. J. Food Eng. 2014, 124, 1–10. [Google Scholar] [CrossRef]
- Hsouna, A.B.; Halima, N.B.; Smaoui, S.; Hamdi, N. Citrus lemon essential oil: Chemical composition, antioxidant and antimicrobial activities with its preservative effect against Listeria monocytogenes inoculated in minced beef meat. Lipids Health Dis. 2017, 16, 146. [Google Scholar] [CrossRef] [PubMed]
- AL-Jabri, N.N.; Hossain, M.A. Chemical composition and antimicrobial potency of locally grown lemon essential oil against selected bacterial strains. J. King Saud. Univ. Sci. 2018, 30, 14–20. [Google Scholar] [CrossRef]
- Raspo, M.A.; Vignola, M.B.; Andreatta, A.E.; Juliani, H.R. Antioxidant and antimicrobial activities of citrus essential oils from Argentina and the United States. Food Biosci. 2020, 36, 100651. [Google Scholar] [CrossRef]
- Gonçalves, D.; Costa, P.; Rodrigues, C.E.C.; Rodrigues, A.E. Fractionation of acid lime essential oil using ethanol/water mixtures: Effect of the process on the aroma profile. J. Chem. Thermodyn. 2017, 108, 118–126. [Google Scholar] [CrossRef]
- Campelo, P.H.; do Carmo, E.L.; Zacarias, R.D.; Yoshida, M.I.; Ferraz, V.P.; de Barros Fernandes, R.V.; Botrel, D.A.; Borges, S.V. Effect of dextrose equivalent on physical and chemical properties of lime essential oil microparticles. Ind. Crops Prod. 2017, 102, 105–114. [Google Scholar] [CrossRef]
- Alparslan, Y.; Baygar, T. Effect of chitosan film coating combined with orange peel essential oil on the shelf life of deepwater pink shrimp. Food Bioprocess Technol. 2017, 10, 842–853. [Google Scholar] [CrossRef]
- He, Q.; Xiao, K. The effects of tangerine peel (Citri reticulatae pericarpium) essential oils as glazing layer on freshness preservation of bream (Megalobrama amblycephala) during superchilling storage. Food Control 2016, 69, 339–345. [Google Scholar] [CrossRef]
- Uysal, B.; Sozmen, F.; Aktas, O.; Oksal, B.S.; Kose, E.O. Essential oil composition and antibacterial activity of the grapefruit (Citrus Paradisi. L) peel essential oils obtained by solvent-free microwave extraction: Comparison with hydrodistillation. Int. J. Food Sci. Technol. 2011, 46, 1455–1461. [Google Scholar] [CrossRef]
- Yang, S.A.; Jeon, S.K.; Lee, E.J.; Shim, C.H.; Lee, I.S. Comparative study of the chemical composition and antioxidant activity of six essential oils and their components. Nat. Prod. Res. 2010, 24, 140–151. [Google Scholar] [CrossRef] [PubMed]
- Mewalal, R.; Rai, D.K.; Kainer, D.; Chen, F.; Külheim, C.; Peter, G.F.; Tuskan, G.A. Plant-derived terpenes: A feedstock for specialty biofuels. Trends Biotechnol. 2017, 35, 227–240. [Google Scholar] [CrossRef]
- Brewer, M.S. Natural Antioxidants: Sources, Compounds, Mechanisms of Action, and Potential Applications. Compr. Rev. Food Sci. Food Saf. 2011, 10, 221–247. [Google Scholar] [CrossRef]
- Granato, D.; Shahidi, F.; Wrolstad, R.; Kilmartin, P.; Melton, L.D.; Hidalgo, F.J.; Miyashita, K.; van Camp, J.; Alasalvar, C.; Ismail, A.B.; et al. Antioxidant activity, total phenolics and flavonoids contents: Should we ban in vitro screening methods? Food Chem. 2018, 264, 471–475. [Google Scholar] [CrossRef]
- Ahmad, I.; Khalique, A.; Shahid, M.Q.; Rashid, A.A.; Faiz, F.; Ikram, M.A.; Ahmed, S.; Imran, M.; Khan, M.A.; Nadeem, M.; et al. Studying the influence of apple peel polyphenol extract fortification on the characteristics of probiotic yoghurt. Plants 2020, 9, 77. [Google Scholar] [CrossRef] [PubMed]
- Qureshi, T.M.; Amjad, A.; Nadeem, M.; Murtaza, M.A.; Munir, M. Antioxidant potential of a soft cheese (paneer) supplemented with the extracts of date (Phoenix dactylifera L.) cultivars and its whey. Asian-Australasian J. Anim. Sci. 2019, 32, 1591–1602. [Google Scholar] [CrossRef]
- Demirkol, M.; Tarakci, Z. Effect of grape (Vitis labrusca L.) pomace dried by different methods on physicochemical, microbiological and bioactive properties of yoghurt. LWT 2018, 97, 770–777. [Google Scholar] [CrossRef]
- Akbari, E.; Gholami, M.; Ghobadi, C. Shelf-life and quality attributes in fresh-cut pear cv. Shahmive treated with different kinds of antioxidants. J. Food Sci. Technol. 2019, 56, 3998–4008. [Google Scholar] [CrossRef]
- Baldin, J.C.; Michelin, E.C.; Polizer, Y.J.; Rodrigues, I.; de Godoy, S.H.S.; Fregonesi, R.P.; Pires, M.A.; Carvalho, L.T.; Fávaro-Trindade, C.S.; de Lima, C.G.; et al. Microencapsulated jabuticaba (Myrciaria cauliflora) extract added to fresh sausage as natural dye with antioxidant and antimicrobial activity. Meat Sci. 2016, 118, 15–21. [Google Scholar] [CrossRef]
- Di Maio, G.; Pittia, P.; Mazzarino, L.; Maraschin, M.; Kuhnen, S. Cow milk enriched with nanoencapsulated phenolic extract of jaboticaba (Plinia peruviana). J. Food Sci. Technol. 2019, 56, 1165–1173. [Google Scholar] [CrossRef]
- Martínez, L.; Castillo, J.; Ros, G.; Nieto, G. Antioxidant and antimicrobial activity of rosemary, pomegranate and olive extracts in fish patties. Antioxidants 2019, 8, 86. [Google Scholar] [CrossRef] [PubMed]
- Ismail, T.; Suleman, R.; Akram, K.; Hameed, A.; Llah, I.-u.; Amir, M.; Akhtar, S. Pomegranate (Punica granatum L.) peel extracts inhibit microbial growth and lipid oxidation in minced shrimps stored at 4 °C. J. Aquat. Food Prod. Technol. 2019, 28, 84–92. [Google Scholar] [CrossRef]
- Bellucci, E.R.B.; Munekata, P.E.S.; Pateiro, M.; Lorenzo, J.M.; da Silva Barretto, A.C. Red pitaya extract as natural antioxidant in pork patties with total replacement of animal fat. Meat Sci. 2021, 171, 108284. [Google Scholar] [CrossRef] [PubMed]
- Kumar, P.; Mehta, N.; Malav, O.P.; Kumar Chatli, M.; Rathour, M.; Kumar Verma, A. Antioxidant and antimicrobial efficacy of watermelon rind extract (WMRE) in aerobically packaged pork patties stored under refrigeration temperature (4 ± 1 °C). J. Food Process. Preserv. 2018, 42, jfpp.13757. [Google Scholar] [CrossRef]
- Min, K.Y.; Kim, H.J.; Lee, K.A.; Kim, K.T.; Paik, H.D. Antimicrobial activity of acid-hydrolyzed Citrus unshiu peel extract in milk. J. Dairy Sci. 2014, 97, 1955–1960. [Google Scholar] [CrossRef]
- Licciardello, F.; Kharchoufi, S.; Muratore, G.; Restuccia, C. Effect of edible coating combined with pomegranate peel extract on the quality maintenance of white shrimps (Parapenaeus longirostris) during refrigerated storage. Food Packag. Shelf Life 2018, 17, 114–119. [Google Scholar] [CrossRef]
- Kharchoufi, S.; Parafati, L.; Licciardello, F.; Muratore, G.; Hamdi, M.; Cirvilleri, G.; Restuccia, C. Edible coatings incorporating pomegranate peel extract and biocontrol yeast to reduce Penicillium digitatum postharvest decay of oranges. Food Microbiol. 2018, 74, 107–112. [Google Scholar] [CrossRef]
- Moharram, H.A.; Youssef, M.M. Methods for Determining the Antioxidant Activity: A Review. Alexandria J. Food Sci. Technol. 2014, 11, 31–42. [Google Scholar] [CrossRef]
- Torres, N.J.; Hartson, S.D.; Rogers, J.; Gustafson, J.E. Proteomic and metabolomic analyses of a tea-tree oil-selected Staphylococcus aureus small colony variant. Antibiotics 2019, 8, 248. [Google Scholar] [CrossRef]
- Cooper, B.; Islam, N.; Xu, Y.; Beard, H.S.; Garrett, W.M.; Gu, G.; Nou, X. Quantitative Proteomic Analysis of Staphylococcus aureus Treated with Punicalagin, a Natural Antibiotic From Pomegranate That Disrupts Iron Homeostasis and Induces SOS. Proteomics 2018, 18, 1700461. [Google Scholar] [CrossRef] [PubMed]
- Zhang, D.; Zou, L.; Wu, D.T.; Zhuang, Q.G.; Li, H.-B.; Mavumengwana, V.; Corke, H.; Gan, R.Y. Discovery of 1’-acetoxychavicol acetate (ACA) as a promising antibacterial compound from galangal (Alpinia galanga (Linn.) Willd). Ind. Crops Prod. 2021, 171, 113883. [Google Scholar] [CrossRef]
- Jiang, Y.; Lan, W.; Sameen, D.E.; Ahmed, S.; Qin, W.; Zhang, Q.; Chen, H.; Dai, J.; He, L.; Liu, Y. Preparation and characterization of grass carp collagen-chitosan-lemon essential oil composite films for application as food packaging. Int. J. Biol. Macromol. 2020, 160, 340–351. [Google Scholar] [CrossRef] [PubMed]
- Mehdizadeh, T.; Tajik, H.; Langroodi, A.M.; Molaei, R.; Mahmoudian, A. Chitosan-starch film containing pomegranate peel extract and Thymus kotschyanus essential oil can prolong the shelf life of beef. Meat Sci. 2020, 163, 108073. [Google Scholar] [CrossRef] [PubMed]
- Shin, S.H.; Chang, Y.; Lacroix, M.; Han, J. Control of microbial growth and lipid oxidation on beef product using an apple peel-based edible coating treatment. LWT Food Sci. Technol. 2017, 84, 183–188. [Google Scholar] [CrossRef]
- Sharma, P.; Yadav, S. Effect of incorporation of pomegranate peel and bagasse powder and their extracts on quality characteristics of chicken meat patties. Food Sci. Anim. Resour. 2020, 40, 388–400. [Google Scholar] [CrossRef] [PubMed]
- de Carvalho, F.A.L.; Lorenzo, J.M.; Pateiro, M.; Bermúdez, R.; Purriños, L.; Trindade, M.A. Effect of guarana (Paullinia cupana) seed and pitanga (Eugenia uniflora L.) leaf extracts on lamb burgers with fat replacement by chia oil emulsion during shelf life storage at 2 °C. Food Res. Int. 2019, 125, 108554. [Google Scholar] [CrossRef]
- Heck, R.T.; Ferreira, D.F.; Fagundes, M.B.; Dos Santos, B.A.; Cichoski, A.J.; Saldaña, E.; Lorenzo, J.M.; de Menezes, C.R.; Wagner, R.; Barin, J.S.; et al. Jabuticaba peel extract obtained by microwave hydrodiffusion and gravity extraction: A green strategy to improve the oxidative and sensory stability of beef burgers produced with healthier oils. Meat Sci. 2020, 170, 108230. [Google Scholar] [CrossRef]
- Manzoor, A.; Ahmad, S.; Yousuf, B. Effect of bioactive-rich mango peel extract on physicochemical, antioxidant and functional characteristics of chicken sausage. Appl. Food Res. 2022, 2, 100183. [Google Scholar] [CrossRef]
- Durmus, M. The effects of nanoemulsions based on citrus essential oils (orange, mandarin, grapefruit, and lemon) on the shelf life of rainbow trout (Oncorhynchus mykiss) fillets at 4 ± 2 °C. J. Food Saf. 2020, 40, e12718. [Google Scholar] [CrossRef]
- Kim, J.H.; Hong, W.-S.; Oh, S.W. Effect of layer-by-layer antimicrobial edible coating of alginate and chitosan with grapefruit seed extract for shelf-life extension of shrimp (Litopenaeus vannamei) stored at 4 °C. Int. J. Biol. Macromol. 2018, 120, 1468–1473. [Google Scholar] [CrossRef]
- Dai, Y.; Wu, H.; Liu, X.; Liu, H.; Yin, L.; Wang, Z.; Xia, X.; Zhou, J. Antioxidant activities and inhibitory effects of blueberry pomace and wine pomace crude extracts on oxidation of oil in water emulsion and fish mince. J. Food Process. Preserv. 2021, 45, e15509. [Google Scholar] [CrossRef]
- Martínez-Zamora, L.; Ros, G.; Nieto, G. Designing a clean label fish patty with olive, citric, pomegranate, or rosemary extracts. Plants 2020, 9, 659. [Google Scholar] [CrossRef]
- Guan, W.; Ren, X.; Li, Y.; Mao, L. The beneficial effects of grape seed, sage and oregano extracts on the quality and volatile flavor component of hairtail fish balls during cold storage at 4 °C. LWT 2019, 101, 25–31. [Google Scholar] [CrossRef]
- Zhao, X.; Chen, L.; Zhao, L.; He, Y.; Yang, H. Antimicrobial kinetics of nisin and grape seed extract against inoculated Listeria monocytogenes on cooked shrimps: Survival and residual effects. Food Control 2020, 115, 107278. [Google Scholar] [CrossRef]
- Khalifa, S.A.; Wahdan, K.M. Improving the quality characteristics of white soft cheese using cranberry (Vaccinium macrocarpon) fruit extract. Int. Food Res. J. 2015, 22, 2203–2211. [Google Scholar]
- Mushtaq, M.; Gani, A.; Gani, A.; Punoo, H.A.; Masoodi, F.A. Use of pomegranate peel extract incorporated zein film with improved properties for prolonged shelf life of fresh Himalayan cheese (Kalari/kradi). Innov. Food Sci. Emerg. Technol. 2018, 48, 25–32. [Google Scholar] [CrossRef]
- Moreira, R.V.; Costa, M.P.; Castro, V.S.; Paes, C.E.; Mutz, Y.S.; Frasao, B.S.; Mano, S.B.; Conte-Junior, C.A. Antimicrobial activity of pequi (Caryocar brasiliense) waste extract on goat Minas Frescal cheese presenting sodium reduction. J. Dairy Sci. 2019, 102, 2966–2972. [Google Scholar] [CrossRef]
- Saito, T.; Martins-Madalão, M.C.; Bernardes, P.C.; Bosi, M.G.; Della Lucia, S.M.; Saraiva, S.H.; Ibrahim Silva, P. Jabuticaba (Myrciaria cauliflora) peel extract increases bioactive compounds in petit-suisse cheese. Int. Food Res. J. 2019, 26, 277–285. [Google Scholar]
- Yousuf, B.; Srivastava, A.K.; Ahmad, S. Application of natural fruit extract and hydrocolloid-based coating to retain quality of fresh-cut melon. J. Food Sci. Technol. 2020, 57, 3647–3658. [Google Scholar] [CrossRef]
- Rongai, D.; Sabatini, N.; Pulcini, P.; Di Marco, C.; Storchi, L.; Marrone, A. Effect of pomegranate peel extract on shelf life of strawberries: Computational chemistry approaches to assess antifungal mechanisms involved. J. Food Sci. Technol. 2018, 55, 2702–2711. [Google Scholar] [CrossRef]
- Tomadoni, B.; Moreira, M.R.; Pereda, M.; Ponce, A.G. Gellan-based coatings incorporated with natural antimicrobials in fresh-cut strawberries: Microbiological and sensory evaluation through refrigerated storage. LWT 2018, 97, 384–389. [Google Scholar] [CrossRef]
- De Souza Gomes, M.; das Graças Cardoso, M.; Guimarães, A.C.G.; Guerreiro, A.C.; Gago, C.M.L.; de Barros Vilas Boas, E.V.; Dias, C.M.B.; Manhita, A.C.C.; Faleiro, M.L.; Miguel, M.G.C.; et al. Effect of edible coatings with essential oils on the quality of red raspberries over shelf-life. J. Sci. Food Agric. 2017, 97, 929–938. [Google Scholar] [CrossRef]
- Radi, M.; Akhavan-Darabi, S.; Akhavan, H.R.; Amiri, S. The use of orange peel essential oil microemulsion and nanoemulsion in pectin-based coating to extend the shelf life of fresh-cut orange. J. Food Process. Preserv. 2018, 42, e13441. [Google Scholar] [CrossRef]
- Perdones, A.; Sánchez-González, L.; Chiralt, A.; Vargas, M. Effect of chitosan-lemon essential oil coatings on storage-keeping quality of strawberry. Postharvest Biol. Technol. 2012, 70, 32–41. [Google Scholar] [CrossRef]
- Severino, R.; Vu, K.D.; Donsì, F.; Salmieri, S.; Ferrari, G.; Lacroix, M. Antibacterial and physical effects of modified chitosan based-coating containing nanoemulsion of mandarin essential oil and three non-thermal treatments against Listeria innocua in green beans. Int. J. Food Microbiol. 2014, 191, 82–88. [Google Scholar] [CrossRef] [PubMed]
- Martínez-Hernández, G.B.; Castillejo, N.; Artés-Hernández, F. Effect of fresh-cut apples fortification with lycopene microspheres, revalorized from tomato by-products, during shelf life. Postharvest Biol. Technol. 2019, 156, 110925. [Google Scholar] [CrossRef]
- Sharayei, P.; Azarpazhooh, E.; Ramaswamy, H.S. Effect of microencapsulation on antioxidant and antifungal properties of aqueous extract of pomegranate peel. J. Food Sci. Technol. 2020, 57, 723–733. [Google Scholar] [CrossRef]
- Kringel, D.H.; da Silva, W.M.F.; Biduski, B.; Waller, S.B.; Lim, L.T.; Dias, A.R.G.; Zavareze, E.D.R. Free and encapsulated orange essential oil into a β-cyclodextrin inclusion complex and zein to delay fungal spoilage in cakes. J. Food Process. Preserv. 2020, 44, e14411. [Google Scholar] [CrossRef]
- Ukom, A.N.; Ezenwigbo, M.J.C.; Ugwuona, F.U. Grapefruit peel powder as a functional ingredient in cake production: Effect on the physicochemical properties, antioxidant activity and sensory acceptability of cakes during storage. Int. J. Gastron. Food Sci. 2022, 28, 100517. [Google Scholar] [CrossRef]
- Venkatesh, A.; Sutariya, H. Studies on formulation and properties of fruit peel waste incorporated edible film and its effect on quality of bread. J. Packag. Technol. Res. 2019, 3, 99–108. [Google Scholar] [CrossRef]
- Kubota, S.; Sawano, H.; Kono, H. Japanese consumer preferences for additive-free wine labeling. Agric. Food Econ. 2017, 5, 4. [Google Scholar] [CrossRef]
- Maruyama, S.; Streletskaya, N.A.; Lim, J. Clean label: Why this ingredient but not that one? Food Qual. Prefer. 2021, 87, 104062. [Google Scholar] [CrossRef]
- Campos, D.A.; Gómez-García, R.; Vilas-Boas, A.A.; Madureira, A.R.; Pintado, M.M. Management of fruit industrial by-products—A case study on circular economy approach. Molecules 2020, 25, 320. [Google Scholar] [CrossRef]
- Del Rio Osorio, L.L.; Flórez-López, E.; Grande-Tovar, C.D. The potential of selected agri-food loss and waste to contribute to a circular economy: Applications in the food, cosmetic and pharmaceutical industries. Molecules 2021, 26, 515. [Google Scholar] [CrossRef] [PubMed]
- Tarragon, E.; Moreno, J.J. Polyphenols and taste 2 receptors. Physiological, pathophysiological and pharmacological implications. Biochem. Pharmacol. 2020, 178, 114086. [Google Scholar] [CrossRef]
- Lesschaeve, I.; Noble, A.C. Polyphenols: Factors influencing their sensory properties and their effects on food and beverage preferences. Am. J. Clin. Nutr. 2005, 81, 330S–335S. [Google Scholar] [CrossRef]
- Oroian, M.; Escriche, I. Antioxidants: Characterization, natural sources, extraction and analysis. Food Res. Int. 2015, 74, 10–36. [Google Scholar] [CrossRef]


| Compound Category | Compounds | Source | Ref. |
|---|---|---|---|
| Phenolic acids | |||
| Hydroxybenzoic acids | Benzoic acid | Cranberry fruit | [29,30] |
| Hydroxybenzoic acids | Gallic acid | Apple | [31] |
| Hydroxybenzoic acids | Gallic acid | Grape seed | [32,33] |
| Hydroxybenzoic acids | Gallic acid | Jabuticaba peel and seeds | [34,35,36] |
| Hydroxybenzoic acids | Gallic acid | Pequi pulp | [37] |
| Hydroxybenzoic acids | Gallic acid | Red pitaya pulp | [38,39] |
| Hydroxybenzoic acids | Hydroxybenzoic acid | Watermelon rind | [40] |
| Hydroxybenzoic acids | Protocatechuic acid | Date palm | [41] |
| Hydroxybenzoic acids | Ellagic acid | Jabuticaba peel and seeds | [34,35,36] |
| Hydroxybenzoic acids | Ellagic acid | Pequi pulp | [37] |
| Hydroxybenzoic acids | Ellagic acid deoxyhexoside | Pequi pulp | [37] |
| Hydroxybenzoic acids | Ellagic acid glucoside | Pomegranate peel | [42,43] |
| Hydroxybenzoic acids | Ellagic acid | Red pitaya pulp | [38,39] |
| Hydroxybenzoic acids/Ellagitannins | Punicalagin | Pomegranate peel | [42,43] |
| Hydroxybenzaldehydes | Vanillin | Watermelon rind | [40] |
| Hydroxycinnamic acids | Caffeic acid | Cranberry fruit | [29,30] |
| Hydroxycinnamic acids | Caffeic acid | Date palm | [41] |
| Hydroxycinnamic acids | Caffeic acid hexoside | Kiwifruit pomace | [44] |
| Hydroxycinnamic acids | Chlorogenic acid | Apple | [31] |
| Hydroxycinnamic acids | Chlorogenic acid | Apple peel | [45,46] |
| Hydroxycinnamic acids | Chlorogenic acid | Watermelon rind | [40] |
| Hydroxycinnamic acids | Ferulic acid | Date palm | [41] |
| Hydroxycinnamic acids | Ferulic acid | Pomegranate peel | [42,43] |
| Hydroxycinnamic acids | Hydroxycinnamic acid | Watermelon rind | [40] |
| Hydroxycinnamic acids | p-coumaric acid | Apple | [31] |
| Hydroxycinnamic acids | p-coumaric acid | Apple peel | [45,46] |
| Hydroxycinnamic acids | p-coumaric acid | Cranberry fruit | [29,30] |
| Hydroxycinnamic acids | p-coumaric acid | Date palm | [41] |
| Hydroxycinnamic acids | Sinapinic acid | Watermelon rind | [40] |
| Flavonoids | |||
| Anthocyanins | Cyanidin 3,5-diglucoside | Red pitaya pulp | [38,39] |
| Anthocyanins | Cyanidin 3-O-galactoside | Cranberry fruit | [29,30] |
| Anthocyanins | Cyanidin 3-O-glucoside | Jabuticaba peel and seeds | [34,35,36] |
| Anthocyanins | Delphinidin 3-O-glucoside | Grape pomace (peel and seed) | [44,47] |
| Anthocyanins | Delphinidin 3-O-glucoside | Jabuticaba peel and seeds | [34,35,36] |
| Anthocyanins | Malvidin 3-O-glucose | Grape pomace (peel and seed) | [44,47] |
| Anthocyanins | Malvidin 3-O-p-coumaroylglucoside | Grape pomace (peel and seed) | [44,47] |
| Anthocyanins | Peonidin 3-O-glucoside | Grape pomace (peel and seed) | [44,47] |
| Anthocyanins | Peonidin 3-O-glucoside | Grape pomace (peel and seed) | [44,47] |
| Anthocyanins | Peonidin 3-O-galactoside | Cranberry fruit | [29,30] |
| Anthocyanins | Petunidin 3-O-glucose | Grape pomace (peel and seed) | [44,47] |
| Flavones | Chyrsin | Pomegranate peel | [42,43] |
| Flavonols | Myricetin | Cranberry fruit | [29,30] |
| Flavonols | Quercetin | Apple peel | [45,46] |
| Flavonols | Quercetin | Cranberry fruit | [29,30] |
| Flavonols | Quercetin 3-O-glucoside | Grape pomace (peel and seed) | [44,47] |
| Flavonols | Quercetin 3-O-glucuronide | Grape pomace (peel and seed) | [44,47] |
| Flavonols | Quercetin 3-O-rhamnoside | Kiwifruit pomace | [44] |
| Flavonols | Quercetin 3-O-rhamnoside | Kiwifruit pomace | [44] |
| Flavonols | Quercetin 3-glucoside | Apple peel | [45,46] |
| Flavonols | Quercetin 3-O-rutinoside | Jabuticaba peel and seeds | [34,35,36] |
| Flavonols | Rutin | Apple peel | [45,46] |
| Dihydrochalcones | Phloretin | Apple | [31] |
| Dihydrochalcones | Phloridzin | Apple peel | [45,46] |
| Dihydrochalcones | Phlorizin | Apple | [31] |
| Other polyphenols | |||
| Tyrosols | Hydroxytyrosol | Olive pulp | [48] |
| Tyrosols | Oleuropein | Olive pulp | [48] |
| Tyrosols | Oleuroside | Olive pulp | [48] |
| Tyrosols | Tyrosol | Olive pulp | [48] |
| Source | Compound Category | Compounds | Ref. |
|---|---|---|---|
| Red pitaya pulp | Betalains | Betanin, phyllocactin I, phyllocactin-II, neobetanin, and iso-phyllocactin-I | [39,65] |
| Lemon | Terpenes | Limonene, β-pinene, and γ-terpinene | [66,67,68,69] |
| Lime | Terpenes | Limonene, γ-terpinene and β-pinene | [70,71] |
| Mandarin | Terpenes | Limonene, γ-terpinene, and α-pinene | [66,69] |
| Orange | Terpenes | Limonene and myrcene | [69,72] |
| Orange peel | Terpenes | Limonene and γ-terpinene | [73] |
| Grapefruit | Terpenes | Limonene | [69,74,75] |
| Source | Method and Activity | Ref. |
|---|---|---|
| Phenolic content and antioxidant activity | ||
| Apple peel extract | TPC: 1.39–3.30 g GAE/100 g dry weight TFC: 1.15–2.04 g QE/100 g | [79] |
| Date extract | TPC: 2.74–3.60 µg GAE/mL TFC: 4.77–9.06 µg CE/mL DPPH: 720–1.120 µmol Trolox/mL ABTS: 621–774 µmol Trolox/mL | [80] |
| Grape pomace | TPC: 20–35.0 mg GAE/g dry weight | [81] |
| Grape extract | TPC: 10.99 mg GAE/100 mL DPPH: 10.17% inhibition | [82] |
| Jabuticaba peel extract | TPC: 13.22 mg GAE/mL FRAP: 5.76 μmol Trolox/L DPPH: 36.03 mmol Trolox/L | [83] |
| Jabuticaba peel extract | TPC: 18.51 mg GAE/mL DPPH: 36.75 µg TEAC/mL | [84] |
| Kiwifruit extract | TPC: 21.32 mg GAE/100 mL DPPH: 19.84% inhibition | [82] |
| Olive extract | TPC: 41.4 mg GAE/g ABTS: 79.6% inhibition DPPH: 78.0% inhibition ORAC: 140.5 µM Trolox FRAP: 71.2 µM Trolox | [85] |
| Pomegranate peel powder | TPC: 215.2 mg/g TFC: 70.4 mg/g DPPH (EC50): 17.8 μg/mL | [42] |
| Pomegranate peel extract powder | TPC: 101–169 mg GAE/100 g | [86] |
| Pomegranate extract | TPC: 33.15 mg GAE/100 mL DPPH: 20.34% inhibition | [82] |
| Pomegranate byproduct extract | TPC: 127.51 mg GAE/100 mL DPPH: 93.61% inhibition | [82] |
| Red pitaya pulp extract | TPC: 268.13 mg of GAE/100 g DPPH (EC50): 229 mg Trolox/100 g FRAP: 825.40 μmol Fe+2/100 g. | [87] |
| Watermelon rind extract | DPPH: 77.46% inhibition ABTS: 75.57% inhibition FRAP: 77.5 mM Fe2+/mL SASA: 47.5% inhibition | [88] |
| Antimicrobial activity | ||
| Citrus unshiu peel extract | Bacillus cereus (MIC): 10–20 mg/mL Staphylococcus aureus (MIC): 10–20 mg/mL Listeria monocytogenes (MIC): 10–20 mg/mL | [89] |
| Olive extract | Escherichia coli (IZ): 11 mm Listeria monocytogenes (IZ): 6–13 mm Staphylococcus aureus (IZ): 8–25 mm | [85] |
| Orange peel essential oil | Bacillus subtilis (IZ): 7.0–7.5 mm Candida albicans (IZ): 10–12 mm Pseodomonas aeruginosa (IZ): 10.5–13 mm Stapylococcus aureus (IZ): 8.5–12.5 mm Escherichia coli (IZ): 9.5–12.0 mm | [72] |
| Pomegranate peel extract | Pseudomonas putida (IZ): 3–8 mm | [90] |
| Pomegranate peel extract powder | Bacillus cereus (IZ): 13–19 mm Escherichia coli (IZ): 12–17 mm Pseudomonas aeruginosa (IZ): 12–16 mm Staphylococcus aureus (IZ): 13–19 mm | [86] |
| Pomegranate peel extract | Penicillium digitatum (IZ): 0.3–4.1 mm | [91] |
| Source | Meat and Meat Products (Extract Concentration) | Storage Conditions | Results | Ref. |
|---|---|---|---|---|
| Lemon essential oil | Fresh pork meat (1–4% in film) | 21 days at 4 °C | ↑ Color, odor, and overall acceptance (SA) ↓ MG and LO | [96] |
| Pomegranate peel extract | Fresh beef (0.5 and 1% in film) | 21 days at 4 °C | ↑ Overall acceptance ↓ MG and LO No effect: color and odor (SA) | [97] |
| Pomegranate peel powder | Minced beef meat (1 and 1.5%) | 15 days at 4 °C | ↑ Color and odor (SA) ↓ LO, TVB-N, WHC, CL, pH, and MG | [42] |
| Apple peel powder | Raw beef patties (3% in coating solution) | 10 days at 4 °C | ↓ LO, MG, and Salmonella enterica counts | [98] |
| Red pitaya pulp extract | Raw pork patties (250, 500 and 1000 mg/kg) | 18 days at 2 °C | ↑ PAA, a*, and color (SA) ↓ pH, L*, b*, LO, and PO No effect: texture, CL, and SA | [87] |
| Pomegranate peel powder | Raw chicken patties (powder and extract: 2 and 9 g/100 g, respectively) | 16 days for 4 °C | ↑ Texture ↓ L*, LO, and MG No effect: a*, b*, and pH | [99] |
| Guarana seed extract | Raw lamb burgers with chia oil emulsion (250 mg/kg) | 18 days at 2 °C | ↑ PAA, pH, a*, color (SA) ↓ L*, b*, metMb, LO, PO, and VC | [100] |
| Watermelon rind extract | Cooked pork patties (1000 mg/kg) | 28 days at 4 °C | ↑ Flavor, juiciness, tenderness, and overall acceptance (SA) ↓ MG, LO, and FFA No effect: pH | [88] |
| Jabuticaba peel extract | Raw and cooked beef burgers (6, 8, and 10% in hydrogelled emulsion) | 120 days at −18 °C | ↑ Pleasant taste and seasoning in the right amount (SA) ↓ LO | [101] |
| Jabuticaba peel extract | Fresh pork sausage (20 and 40 g/kg) | 15 days 1 °C | ↑ a* ↓ LO, pH, L*, b*, and color (SA) No effect: MG | [83] |
| Jabuticaba peel extract | Cooked pork sausage (20 g/kg) | 56 days at 4 °C | ↑ Texture and flavor (SA) ↓ pH, a*, b*, and color (SA), No effect: LO, MG, and overall acceptance (SA) | [36] |
| Mango peel extract | Cooked chicken sausage (2, 4, and 6%) | 10 days at 4 °C | ↓ pH, L*, a*, b*, CL, LO, and PO | [102] |
| Source | Fish, Seafood, and Derived Products (Extract Concentration) | Storage Conditions | Results | Ref. |
|---|---|---|---|---|
| Grapefruit, lemon, mandarin, and orange essential oil | Fresh rainbow trout fillets (4% in coating solution) | 15 days at 4 °C | ↑ SA ↓ TVB-N, pH, LO, FFA, and MG | [103] |
| Ponkan, bitter, and sweet orange essential oils | Fresh bream fillets (4 mL/L in coating solution) | 15 days at −1 °C | ↑ SA and texture ↓ TVB-N, pH, LO, and MG | [73] |
| Grape seed extract | Fresh tilapia fillets (0.3, 0.6, and 0.9% in coating solution) | 12 days at 4 °C | ↑ Texture ↓ MG and PO | [33] |
| Grapefruit seed extract | Fresh shrimps (2% in coating solution) | 15 days at 4 °C | ↓ MG, TVB-N (coating method), and melanosis No effect: SA | [104] |
| Orange peel essential oil | Fresh shrimp (2% in film) | 15 days at 4 °C | ↓ MG, LO, and TVB-N | [72] |
| Pomegranate peel extract | Fresh shrimp (0.361 g/mL film solution) | 6 days at 4 °C | ↓ MG and TVB-N No effect: color (SA) | [90] |
| Grape seed extract | Minced trout fillet (1 and 2%) | 11 days at 4 °C | ↑ SA ↓ MG, TVB-N, LO, and pH | [32] |
| Pomegranate peel extract powder | Minced shrimp (5–20 g/kg) | 28 days at 4 °C | ↓ LO No effect: MG | [86] |
| Blueberry pomace extract | Fish mince (1 and 2 g/kg) | 14 days at 4 °C | ↓ LO and PO | [105] |
| Blueberry wine pomace extract | Fish mince (1 and 2 g/kg) | 14 days at 4 °C | ↓ LO and PO | [105] |
| Citrus sinensis and pomegranate extract | Fish patties (200 mg/kg) | 11 days at 4 °C | ↑ L*, b*, and MG (Citrus sinensis) ↓ a*, LO, and VC No effect: PO, trimethylamine content, and TVB-N | [106] |
| Olive extract | Fish patties (200 mg/kg) | 11 days at 4 °C | ↓ VC No effect: MG | [85] |
| Grape seed extract | Fish ball (0.01% with 0.1% of sage extract and 0.1% oregano extract) | 15 days at 4 °C | ↓ LO, pH, TVB-N, and MG | [107] |
| Grape seed extract | Cooked shrimp (1%) | 12 days at 4 °C | ↓ Listeria monocytogenes growth No effect: color | [108] |
| Source | Milk and Dairy Products (Extract Concentration) | Storage Conditions | Results | Ref. |
|---|---|---|---|---|
| Citrus unshiu peel extract | Cow milk (10–40 g/kg) | 21 days at 4 °C | ↓ Listeria monocytogenes counts | [89] |
| Jabuticaba peel extract | Cow milk (15%) | 60 days at 8 °C | No effect: pH | [84] |
| Apple peel extract | Yogurt (10–50 g/kg) | 21 days at 4 °C | ↑ Total solids, WHC, viscosity, and SA No effect: pH, acidity, and MG | [79] |
| Grape pomace | Yogurt (10, 30 and 50 g/kg) | 21 days at 4 °C | ↑ Acidity and a* ↓ pH, L*, b*, and SA | [81] |
| Banana peel extract | Yogurt (1000 μL/100 g) | 28 days at 4 °C | ↓ LO No effect: pH and syneresis | [105] |
| Cranberry fruit extract powder | White soft cheese (500, 750, and 1000 mg/kg) | 8 weeks at 2 °C | ↑ Appearance and total score (SA) ↓ Acidity, FFA, LO, and MG | [109] |
| Pomegranate peel extract | Himalayan cheese/ kalari (25, 50, and 75 mg/mL film forming solution) | 30 days at RgT | ↑ SA ↓ MG, LO, and PO | [110] |
| Date extract | Paneer (20 g/100 g) | 8 days at 5 °C | ↓ pH No effect: MG and SA | [80] |
| Pequi waste extract | Goat Minas Frescal cheese (6.25 mL/L in milk, mass, or coating solution) | 21 days at 4 °C | ↑ a* ↓ LAB, Lactococcus spp., and L* | [111] |
| Jabuticaba peel extract | Petit-suisse cheese (15–30 g/kg) | 28 days at 8 °C | ↑ a* ↓ pH, L*, and b* No effect: SA | [112] |
| Source | Fruits and Vegetables (Extract Concentration) | Storage Conditions | Results | Ref. |
|---|---|---|---|---|
| Pomegranate byproduct, juice, and extract; kiwifruit and grape juice and extract | Fresh-cut pear (0.3% in coating solution; individually or combined) | 7 days at 4 °C | ↑ Ascorbic acid, a*, and SA ↓ Firmness, L*, and peroxidase activity No effect: polyphenol oxidase | [82] |
| Apple polyphenols | Fresh-cut red pitaya (5 g/L sprayed solution) | 4 days at 20 °C | ↑ Color, texture, TPC, and AA ↓ Betacyanin and MG | [31] |
| Lemon extract | Fresh-cut melon (5, 10 and 15% in coating solution) | 12 days at 4 °C | ↓ Weight loss, MG, vitamin C loss, and pH No effect: L* and SA | [113] |
| Pomegranate peel extract | Strawberries (0.75, 1.5 and 3.0% in solution) | 2 days at 0 °C followed by 3 days at 20 °C | ↓ Botrytis cinerea growth | [114] |
| Pomegranate peel extract | Oranges (0.361 g/mL in coating solution) | 6 days at 25 °C | ↓ Penicillium digitatum growth | [91] |
| Pomegranate extract | Fresh-cut strawberries (360 and 720 μg/mL in film solution) | 7 days at 5 °C | No effect: MG and SA | [115] |
| Lemon, lime, and orange essential oil | Red raspberries (0.1 and 0.2% in coating solution) | 15 days at 4 °C | ↑ L*, texture, weight loss (lemon and orange), TPC (lime), and AA ↓ MG (lemon and orange) No effect: SA | [116] |
| Orange peel essential oil | Fresh-cut orange (0.5 and 1% in coating solution) | 17 days at 4 °C | ↑ SA, pH, and TA decay ↓ Ascorbic acid loss, weight loss, L* reduction, and MG (nanoemulsion) | [117] |
| Lemon essential oil | Strawberry (3% in coating solution) | 14 days at 5 °C | ↓ Texture, RR O2 and CO2, and SA No effect: pH, TA, and L* | [118] |
| Lemon and mandarin essential oils | Broccoli florets (0.05% in coating solution) | 13 days at 4 °C | ↓ Listeria monocytogenes growth | [66] |
| Mandarin essential oils | Green beans (0.05% in coating solution) | 15 days at 4 °C | ↓ Listeria monocytogenes growth, loss of firmness, and color changes | [119] |
| Lycopene from tomato byproducts | Fresh-cut apple (0.5, 1, and 2 g/L in coating solution) | 9 days at 5 °C | ↓ Browning index, TA, TPC, and AA No effect: pH and MG | [120] |
Disclaimer/Publisher’s Note: The statements, opinions and data contained in all publications are solely those of the individual author(s) and contributor(s) and not of MDPI and/or the editor(s). MDPI and/or the editor(s) disclaim responsibility for any injury to people or property resulting from any ideas, methods, instructions or products referred to in the content. |
© 2023 by the authors. Licensee MDPI, Basel, Switzerland. This article is an open access article distributed under the terms and conditions of the Creative Commons Attribution (CC BY) license (https://creativecommons.org/licenses/by/4.0/).
Share and Cite
Munekata, P.E.S.; Pateiro, M.; Domínguez, R.; Nieto, G.; Kumar, M.; Dhama, K.; Lorenzo, J.M. Bioactive Compounds from Fruits as Preservatives. Foods 2023, 12, 343. https://doi.org/10.3390/foods12020343
Munekata PES, Pateiro M, Domínguez R, Nieto G, Kumar M, Dhama K, Lorenzo JM. Bioactive Compounds from Fruits as Preservatives. Foods. 2023; 12(2):343. https://doi.org/10.3390/foods12020343
Chicago/Turabian StyleMunekata, Paulo E. S., Mirian Pateiro, Rubén Domínguez, Gema Nieto, Manoj Kumar, Kuldeep Dhama, and José M. Lorenzo. 2023. "Bioactive Compounds from Fruits as Preservatives" Foods 12, no. 2: 343. https://doi.org/10.3390/foods12020343
APA StyleMunekata, P. E. S., Pateiro, M., Domínguez, R., Nieto, G., Kumar, M., Dhama, K., & Lorenzo, J. M. (2023). Bioactive Compounds from Fruits as Preservatives. Foods, 12(2), 343. https://doi.org/10.3390/foods12020343

