Quantifying the Effect of Grilling and Roasting on the Eating Quality of Lamb Leg Muscles
Abstract
:1. Introduction
2. Material and Methods
2.1. Animals and Experiment Design
2.2. Carcass Preparation for Sensory Samples
2.2.1. Sample Preparation
2.2.2. Grill Cooking Method
2.2.3. Roast Cooking Method
2.2.4. Consumer Survey
2.3. Statistical Analysis
3. Results
3.1. The Effect of Cooking Method and Lamb Leg Cuts on Eating Quality
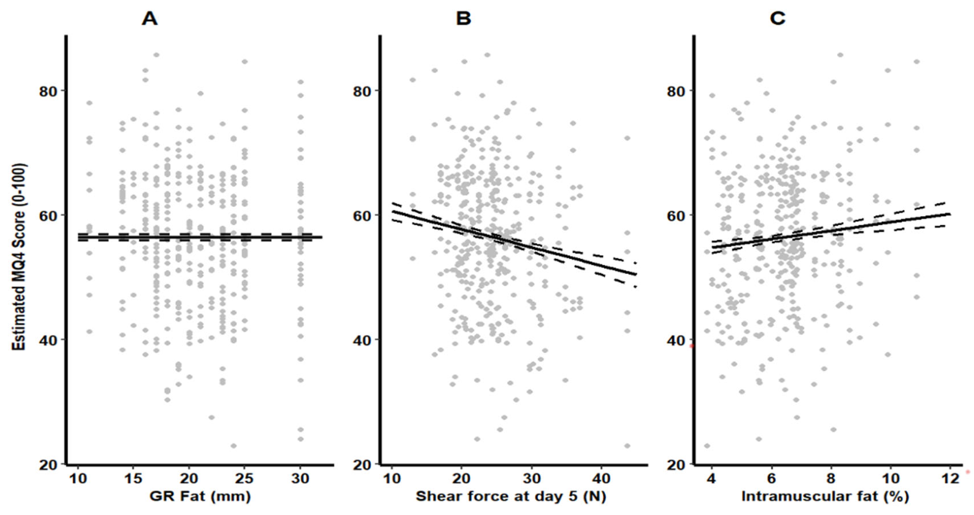
3.2. Association between Carcass Traits and Eating Quality
4. Discussion
5. Conclusions
Author Contributions
Funding
Informed Consent Statement
Data Availability Statement
Acknowledgments
Conflicts of Interest
References
- Russell, B.; McAlister, G.; Ross, I.; Pethick, D. Lamb and sheep meat eating quality—Industry and scientific issues and the need for integrated research. Aust. J. Exp. Agric. 2005, 45, 465–467. [Google Scholar] [CrossRef]
- Pethick, D.; Banks, R.; Hales, J.; Ross, I. Australian prime lamb—A vision for 2020. Int. J. Sheep Wool Sci. 2006, 54, 66–73. [Google Scholar]
- Pethick, D.; Hopkins, D.; D’Souza, D.; Thompson, J.; Walker, P. Effects of animal age on the eating quality of sheep meat. Aust. J. Exp. Agric. 2005, 45, 491–498. [Google Scholar] [CrossRef]
- Pleasants, A.; Thompson, J.M.; Pethick, D. A model relating a function of tenderness, juiciness, flavour and overall liking to the eating quality of sheep meat. Aust. J. Exp. Agric. 2005, 45, 483–489. [Google Scholar] [CrossRef]
- Thompson, J.; Gee, A.; Hopkins, D.; Pethick, D.; Baud, S.; O’Halloran, W. Development of a sensory protocol for testing palatability of sheep meats. Aust. J. Exp. Agric. 2005, 45, 469–476. [Google Scholar] [CrossRef]
- Bonny, S.P.; O’Reilly, R.A.; Pethick, D.W.; Gardner, G.E.; Hocquette, J.-F.; Pannier, L. Update of Meat Standards Australia and the cuts based grading scheme for beef and sheepmeat. J. Integr. Agric. 2018, 17, 1641–1654. [Google Scholar] [CrossRef]
- Polkinghorne, R.J.; Nishimura, T.; Neath, K.E.; Watson, R. A comparison of Japanese and Australian consumers’ sensory perceptions of beef. Anim. Sci. J. 2014, 85, 69–74. [Google Scholar] [CrossRef]
- Thompson, J.; Polkinghorne, R.; Gee, A.; Motiang, D.; Strydom, P.; Mashau, M.; Ng’ambi, J.; Kock, R.d.; Burrow, H. Beef Palatability in the Republic of South Africa: Implications for Niche-Marketing Strategies; ACIAR Technical Reports Series; Australian Centre for International Agricultural Research (ACIAR): Canberra, Australia, 2010. [Google Scholar]
- Watson, R.; Polkinghorne, R.; Thompson, J.M. Development of the Meat Standards Australia (MSA) prediction model for beef palatability. Aust. J. Exp. Agric. 2008, 48, 1368–1379. [Google Scholar] [CrossRef]
- Watson, R.; Gee, A.; Polkinghorne, R.; Porter, M. Consumer assessment of eating quality–development of protocols for Meat Standards Australia (MSA) testing. Aust. J. Exp. Agric. 2008, 48, 1360–1367. [Google Scholar] [CrossRef]
- AUS-Meat. Handbook, 8th Edition (HAM). 2022. Available online: https://shop.ausmeat.com.au/products/handbook-8th-edition-ham (accessed on 25 May 2023).
- Pannier, L.; Gardner, G.; Pearce, K.; McDonagh, M.; Ball, A.; Jacob, R.; Pethick, D. Associations of sire estimated breeding values and objective meat quality measurements with sensory scores in Australian lamb. Meat Sci. 2014, 96, 1076–1087. [Google Scholar] [CrossRef]
- Habib, F.Q.; Abu Dardak, R.; Zakaria, S. Consumers’ preference and consumption towards fast food: Evidences from Malaysia. Bus. Manag. Q. Rev. (BMQR) 2011, 2, 14–27. [Google Scholar]
- Meat & Livestock Australia. Lamb Weights Continue to Climb. Available online: https://www.mla.com.au/prices-markets/market-news/2018/lamb-weights-continue-to-climb/ (accessed on 31 January 2023).
- Pearce, K.; Van De Ven, R.; Mudford, C.; Warner, R.; Hocking-Edwards, J.; Jacob, R.; Pethick, D.; Hopkins, D. Case studies demonstrating the benefits on pH and temperature decline of optimising medium-voltage electrical stimulation of lamb carcasses. Anim. Prod. Sci. 2010, 50, 1107–1114. [Google Scholar] [CrossRef]
- Hopkins, D.; Ponnampalam, E.; Van De Ven, R.; Warner, R. The effect of pH decline rate on the meat and eating quality of beef carcasses. Anim. Prod. Sci. 2014, 54, 407–413. [Google Scholar] [CrossRef]
- Perry, D.; Shorthose, W.; Ferguson, D.; Thompson, J. Methods used in the CRC program for the determination of carcass yield and beef quality. Aust. J. Exp. Agric. 2001, 41, 953–957. [Google Scholar] [CrossRef]
- Hopkins, D.; Toohey, E.; Warner, R.; Kerr, M.; Van de Ven, R. Measuring the shear force of lamb meat cooked from frozen samples: Comparison of two laboratories. Anim. Prod. Sci. 2010, 50, 382–385. [Google Scholar] [CrossRef]
- Anderson, F.; Pethick, D.; Gardner, G. The correlation of intramuscular fat content between muscles of the lamb carcass and the use of computed tomography to predict intramuscular fat percentage in lambs. Animal 2015, 9, 1239–1249. [Google Scholar] [CrossRef] [PubMed]
- Hopkins, D.; Thompson, J. The relationship between tenderness, proteolysis, muscle contraction and dissociation of actomyosin. Meat Sci. 2001, 57, 1–12. [Google Scholar] [CrossRef]
- Hopkins, D.; Toohey, E.; Kerr, M.; Van de Ven, R. Comparison of two instruments (G2 Tenderometer and a Lloyd Texture analyser) for measuring the shear force of cooked meat. Anim. Prod. Sci. 2010, 51, 71–76. [Google Scholar] [CrossRef]
- Bates, D.; Maechler, M.; Bolker, B.; Walker, S. Fitting linear mixed-effects models using lme4. J. Stat. Softw. 2015, 67, 1–48. [Google Scholar] [CrossRef]
- Pinheiro, J.; Bates, D.; DebRoy, S.; Sarkar, D. nlme: Linear and Nonlinear Mixed Effects Models; R Package Version 3.1-137; R Core Team: Vienna, Austria, 2018. [Google Scholar]
- Ngapo, T.M.; Gariepy, C. Factors affecting the eating quality of pork. Crit. Rev. Food Sci. Nutr. 2008, 48, 599–633. [Google Scholar] [CrossRef]
- Kopuzlu, S.; Esenbuga, N.; Onenc, A.; Macit, M.; Yanar, M.; Yuksel, S.; Ozluturk, A.; Unlu, N. Effects of slaughter age and muscle type on meat quality characteristics of Eastern Anatolian Red bulls. Arch. Anim. Breed. 2018, 61, 497–504. [Google Scholar] [CrossRef] [PubMed]
- Devlin, D.; Gault, N.; Moss, B.; Tolland, E.; Tollerton, J.; Farmer, L.; Gordon, A. Factors affecting eating quality of beef. Adv. Anim. Biosci. 2017, 8, s2–s5. [Google Scholar] [CrossRef]
- Pannier, L.; Gardner, G.; O’Reilly, R.; Pethick, D. Factors affecting lamb eating quality and the potential for their integration into an MSA sheepmeat grading model. Meat Sci. 2018, 144, 43–52. [Google Scholar] [CrossRef]
- Wu, G. Principles of Animal Nutrition; CRC Press: Boca Raton, FL, USA, 2017. [Google Scholar]
- Listrat, A.; Gagaoua, M.; Andueza, D.; Gruffat, D.; Normand, J.; Mairesse, G.; Picard, B.; Hocquette, J.-F. What are the drivers of beef sensory quality using metadata of intramuscular connective tissue, fatty acids and muscle fiber characteristics? Livest. Sci. 2020, 240, 104209. [Google Scholar] [CrossRef]
- Lyford, C.P.; Thompson, J.M.; Polkinghorne, R.; Miller, M.F.; Nishimura, T.; Neath, K.; Allen, P.; Belasco, E.J. Is willingness to pay (WTP) for beef quality grades affected by consumer demographics and meat consumption preferences? Australas. Agribus. Rev. 2010, 18, 1–17. [Google Scholar]
- Frank, D.; Ball, A.; Hughes, J.; Krishnamurthy, R.; Piyasiri, U.; Stark, J.; Watkins, P.; Warner, R. Sensory and flavor chemistry characteristics of Australian beef: Influence of intramuscular fat, feed, and breed. J. Agric. Food Chem. 2016, 64, 4299–4311. [Google Scholar] [CrossRef]
- Purslow, P.P. New developments on the role of intramuscular connective tissue in meat toughness. Annu. Rev. Food Sci. Technol. 2014, 5, 133–153. [Google Scholar] [CrossRef]
- Li, C.; Zhou, G.; Xu, X.; Zhang, J.; Xu, S.; Ji, Y. Effects of marbling on meat quality characteristics and intramuscular connective tissue of beef longissimus muscle. Asian-Australas. J. Anim. Sci. 2006, 19, 1799–1808. [Google Scholar] [CrossRef]
- Koohmaraie, M.; Geesink, G. Contribution of postmortem muscle biochemistry to the delivery of consistent meat quality with particular focus on the calpain system. Meat Sci. 2006, 74, 34–43. [Google Scholar] [CrossRef]
- Geay, Y.; Bauchart, D.; Hocquette, J.-F.; Culioli, J. Effect of nutritional factors on biochemical, structural and metabolic characteristics of muscles in ruminants, consequences on dietetic value and sensorial qualities of meat. Reprod. Nutr. Dev. 2001, 41, 1–26. [Google Scholar] [CrossRef]
- Kim, Y.; Kerr, M.; Geesink, G.; Warner, R. Impacts of hanging method and high pre-rigor temperature and duration on quality attributes of ovine muscles. Anim. Prod. Sci. 2014, 54, 414–421. [Google Scholar] [CrossRef]
- Ertbjerg, P.; Puolanne, E. Muscle structure, sarcomere length and influences on meat quality: A review. Meat Sci. 2017, 132, 139–152. [Google Scholar] [CrossRef] [PubMed]
- Bouton, P.; Harris, P.; Shorthose, W.; Baxter, R. A comparison of the effects of aging, conditioning and skeletal restraint on the tenderness of mutton. J. Food Sci. 1973, 38, 932–937. [Google Scholar] [CrossRef]
- Jacob, R.H.; Thomson, K.L. The importance of chill rate when characterising colour change of lamb meat during retail display. Meat Sci. 2012, 90, 478–484. [Google Scholar] [CrossRef] [PubMed]
- Young, O.; Braggins, T. Tenderness of ovine semimembranosus: Is collagen concentration or solubility the critical factor? Meat Sci. 1993, 35, 213–222. [Google Scholar] [CrossRef]
- Hastie, M.; Ha, M.; Jacob, R.H.; Hepworth, G.; Torrico, D.D.; Warner, R.D. High consumer acceptance of mutton and the influence of ageing method on eating quality. Meat Sci. 2022, 189, 108813. [Google Scholar] [CrossRef] [PubMed]
- Lawrie, R.A.; Ledward, D. Lawrie’s Meat Science; Woodhead Publishing: Cambridge, UK, 2014. [Google Scholar]
- Tschirhart-Hoelscher, T.; Baird, B.; King, D.; McKenna, D.; Savell, J. Physical, chemical, and histological characteristics of 18 lamb muscles. Meat Sci. 2006, 73, 48–54. [Google Scholar] [CrossRef]
- Bassam, S.M.; Noleto-Dias, C.; Farag, M.A. Dissecting grilled red and white meat flavor: Its characteristics, production mechanisms, influencing factors and chemical hazards. Food Chem. 2022, 371, 131139. [Google Scholar] [CrossRef]
- Hopkins, D.; Hegarty, R.; Walker, P.; Pethick, D. Relationship between animal age, intramuscular fat, cooking loss, pH, shear force and eating quality of aged meat from sheep. Aust. J. Exp. Agric. 2006, 46, 879–884. [Google Scholar] [CrossRef]
- Payne, C.E.; Pannier, L.; Anderson, F.; Pethick, D.W.; Gardner, G.E. Lamb age has little impact on eating quality. Foods 2020, 9, 187. [Google Scholar] [CrossRef]
- Den Hertog-Meischke, M.; Smulders, F.; Van Logtestijn, J.; Van Knapen, F. The effect of electrical stimulation on the water-holding, capacity and protein denaturation of two bovine muscles. J. Anim. Sci. 1997, 75, 118–124. [Google Scholar] [CrossRef] [PubMed]
- Winger, R.; Hagyard, C. Juiciness—Its importance and some contributing factors. In Quality Attributes and Their Measurement in Meat, Poultry and Fish Products; Springer: Berlin/Heidelberg, Germany, 1994; pp. 94–124. [Google Scholar]
- Slomiany, B.L.; Slomiany, A.; Mandel, I.D. Lipids of saliva and salivary concretions. In Human Saliva: Clinical Chemistry and Microbiology; CRC Press: Boca Raton, FL, USA, 2021; pp. 121–145. [Google Scholar]
- Jayasena, D.D.; Ahn, D.U.; Nam, K.C.; Jo, C. Flavour chemistry of chicken meat: A review. Asian-Australas. J. Anim. Sci. 2013, 26, 732. [Google Scholar] [CrossRef]
- Silva, F.A.; Ferreira, V.C.; Madruga, M.S.; Estévez, M. Aroma profile and consumer liking of salted and dried chicken meat: Effects of desalting and cooking methods. Int. J. Food Prop. 2017, 20, 2954–2965. [Google Scholar] [CrossRef]
- Campo, M.; Muela, E.; Olleta, J.; Moreno, L.; Santaliestra-Pasías, A.; Mesana, M.; Sañudo, C. Influence of cooking method on the nutrient composition of Spanish light lamb. J. Food Compost. Anal. 2013, 31, 185–190. [Google Scholar] [CrossRef]
- Jacob; Pethick, D. Animal factors affecting the meat quality of Australian lamb meat. Meat Sci. 2014, 96, 1120–1123. [Google Scholar] [CrossRef] [PubMed]
- Warner, R.; Greenwood, P.; Pethick, D.; Ferguson, D. Genetic and environmental effects on meat quality. Meat Sci. 2010, 86, 171–183. [Google Scholar] [CrossRef]
- Anderson, F.; Pannier, L.; Pethick, D.; Gardner, G. Intramuscular fat in lamb muscle and the impact of selection for improved carcass lean meat yield. Animal 2015, 9, 1081–1090. [Google Scholar] [CrossRef]
- Safari, E.; Fogarty, N.; Ferrier, G.; Hopkins, D.; Gilmour, A. Diverse lamb genotypes. 3. Eating quality and the relationship between its objective measurement and sensory assessment. Meat Sci. 2001, 57, 153–159. [Google Scholar] [CrossRef]
- Mortimer, S.; Van der Werf, J.; Jacob, R.; Hopkins, D.; Pannier, L.; Pearce, K.; Gardner, G.; Warner, R.D.; Geesink, G.; Edwards, J.H. Genetic parameters for meat quality traits of Australian lamb meat. Meat Sci. 2014, 96, 1016–1024. [Google Scholar] [CrossRef]


| Knuckle | Outside Flat | Topside | ||||
|---|---|---|---|---|---|---|
| GRILL | ROAST | GRILL | ROAST | GRILL | ROAST | |
| (n = 64) | (n = 65) | (n = 65) | (n = 65) | (n = 65) | (n = 65) | |
| Tenderness | ||||||
| Average ± SD | 67.6 ± 10.8 | 58.3 ± 9.98 | 60.5 ± 9.59 | 52.0 ± 11.3 | 49.3 ± 10.8 | 48.2 ± 12.8 |
| Minimum | 45.3 | 35.5 | 38.5 | 29.9 | 23.5 | 19.3 |
| Maximum | 90.6 | 84.9 | 78.8 | 80.5 | 69.8 | 79.3 |
| Juiciness | ||||||
| Average ± SD | 68.0 ± 7.60 | 51.7 ± 10.8 | 62.4 ± 8.09 | 45.5 ± 11.3 | 54.1 ± 8.87 | 42.6 ± 13.4 |
| Minimum | 53.5 | 29.9 | 42.3 | 25.4 | 29.2 | 14.6 |
| Maximum | 86.3 | 75.3 | 83.6 | 70.7 | 73.7 | 72.1 |
| Flavor | ||||||
| Average ± SD | 65.3 ± 8.48 | 55.8 ± 9.35 | 61.5 ± 7.77 | 54.8 ± 9.52 | 55.8 ± 7.89 | 51.7 ± 11.3 |
| Minimum | 42.8 | 30.7 | 44.2 | 33.7 | 39.2 | 23.6 |
| Maximum | 82.9 | 78.4 | 75.1 | 78.2 | 75.2 | 75.5 |
| Overall liking | ||||||
| Average ± SD | 66.6 ± 9.14 | 56.0 ± 9.40 | 61.7 ± 8.36 | 52.9 ± 10.1 | 53.3 ± 9.55 | 49.8 ± 12.2 |
| Minimum | 42.8 | 34.3 | 40.6 | 33.1 | 35.3 | 22.1 |
| Maximum | 86.1 | 77.4 | 79.1 | 76.0 | 69.5 | 77.7 |
| MQ4 * | ||||||
| Average ± SD | 66.7 ± 8.65 | 56.2 ± 9.03 | 61.3 ± 7.84 | 52.4 ± 9.82 | 52.9 ± 8.88 | 49.2 ± 11.8 |
| Minimum | 45.8 | 34.1 | 44.6 | 31.7 | 33.6 | 22.9 |
| Maximum | 85.7 | 79.3 | 75.4 | 75.8 | 70.6 | 77.0 |
| Traits | SF5 (N) | IMF (%) | GR Fat (mm) | HCWT (kg) |
|---|---|---|---|---|
| Average ± SD | 24.3 ± 5.48 | 6.41 ± 1.49 | 20.5 ± 4.71 | 27.5 ± 2.89 |
| Minimum | 12.9 | 3.80 | 11.0 | 22.0 |
| Maximum | 43.6 | 10.8 | 30.0 | 32.8 |
| Tenderness | Juiciness | Flavor | Overall | MQ4 | ||||||
|---|---|---|---|---|---|---|---|---|---|---|
| Predictors | Estimates | p | Estimates | p | Estimates | p | Estimates | p | Estimates | p |
| (Intercept) | 67.48 | <0.001 | 67.9 | <0.001 | 65.22 | <0.001 | 66.53 | <0.001 | 66.56 | <0.001 |
| Knuckle | Reference | Reference | Reference | Reference | Reference | |||||
| Outside flat | −7.01 | <0.001 | −5.5 | 0.001 | −3.7 | 0.012 | −4.87 | 0.002 | −5.22 | 0.001 |
| Topside | −18.22 | <0.001 | −13.83 | <0.001 | −9.47 | <0.001 | −13.2 | <0.001 | −13.64 | <0.001 |
| Grill | Reference | Reference | Reference | Reference | Reference | |||||
| Outside: Roast | 0.7 | 0.777 | −0.67 | 0.78 | 2.71 | 0.189 | 1.72 | 0.442 | 1.47 | 0.49 |
| Roast | −9.22 | <0.001 | −16.22 | <0.001 | −9.42 | <0.001 | −10.51 | <0.001 | −10.36 | <0.001 |
| Topside: Roast | 8.19 | 0.001 | 4.75 | 0.048 | 5.34 | 0.01 | 6.99 | 0.002 | 6.63 | 0.002 |
| Random Effects | ||||||||||
| σ2 | 99.65 | 92.93 | 68.79 | 80.98 | 73.27 | |||||
| τ00 | 19.92 | 11.81 | 14.88 | 16.43 | 15.52 | |||||
| ICC | 0.17 | 0.11 | 0.18 | 0.17 | 0.17 | |||||
| n | 65 | 65 | 65 | 65 | 65 | |||||
| Observations | 389 | 389 | 389 | 389 | 389 | |||||
| Marginal R2/Conditional R2 | 0.280/0.400 | 0.428/0.493 | 0.196/0.339 | 0.250/0.376 | 0.280/0.406 | |||||
Disclaimer/Publisher’s Note: The statements, opinions and data contained in all publications are solely those of the individual author(s) and contributor(s) and not of MDPI and/or the editor(s). MDPI and/or the editor(s) disclaim responsibility for any injury to people or property resulting from any ideas, methods, instructions or products referred to in the content. |
© 2023 by the authors. Licensee MDPI, Basel, Switzerland. This article is an open access article distributed under the terms and conditions of the Creative Commons Attribution (CC BY) license (https://creativecommons.org/licenses/by/4.0/).
Share and Cite
Al-Moadhen, H.; Lees, J.C.; Pannier, L.; McGilchrist, P. Quantifying the Effect of Grilling and Roasting on the Eating Quality of Lamb Leg Muscles. Foods 2023, 12, 3609. https://doi.org/10.3390/foods12193609
Al-Moadhen H, Lees JC, Pannier L, McGilchrist P. Quantifying the Effect of Grilling and Roasting on the Eating Quality of Lamb Leg Muscles. Foods. 2023; 12(19):3609. https://doi.org/10.3390/foods12193609
Chicago/Turabian StyleAl-Moadhen, Hussein, Jarrod C. Lees, Liselotte Pannier, and Peter McGilchrist. 2023. "Quantifying the Effect of Grilling and Roasting on the Eating Quality of Lamb Leg Muscles" Foods 12, no. 19: 3609. https://doi.org/10.3390/foods12193609
APA StyleAl-Moadhen, H., Lees, J. C., Pannier, L., & McGilchrist, P. (2023). Quantifying the Effect of Grilling and Roasting on the Eating Quality of Lamb Leg Muscles. Foods, 12(19), 3609. https://doi.org/10.3390/foods12193609

