Effects of Starch Molecular Structure and Physicochemical Properties on Eating Quality of Indica Rice with Similar Apparent Amylose and Protein Contents
Abstract
1. Introduction
2. Materials and Methods
2.1. Materials
2.2. Milled Rice Appearance Characteristics
2.3. Rice Flour and Starch Extraction
2.4. Determination of the Apparent Amylose Content and Protein Content
2.5. Taste Sensory Evaluation
2.6. Protein Composition (Albumin, Globulin, Prolamin, and Glutelin) Analysis
2.7. Starch Molecular Size Distribution
2.8. Amylopectin Fine Structure Analysis
2.9. Swelling Power and Water Solubility
2.10. Pasting Properties
2.11. Textural Properties of Cooked Rice
2.12. Statistical Analysis
3. Result and Discussion
3.1. AAC, PC and Sensory Taste Value
3.2. Appearance Quality of Milled Rice
3.3. Rice Protein Components
3.4. Starch Molecular Structure
3.5. Amylopectin Chain-Length Distributions
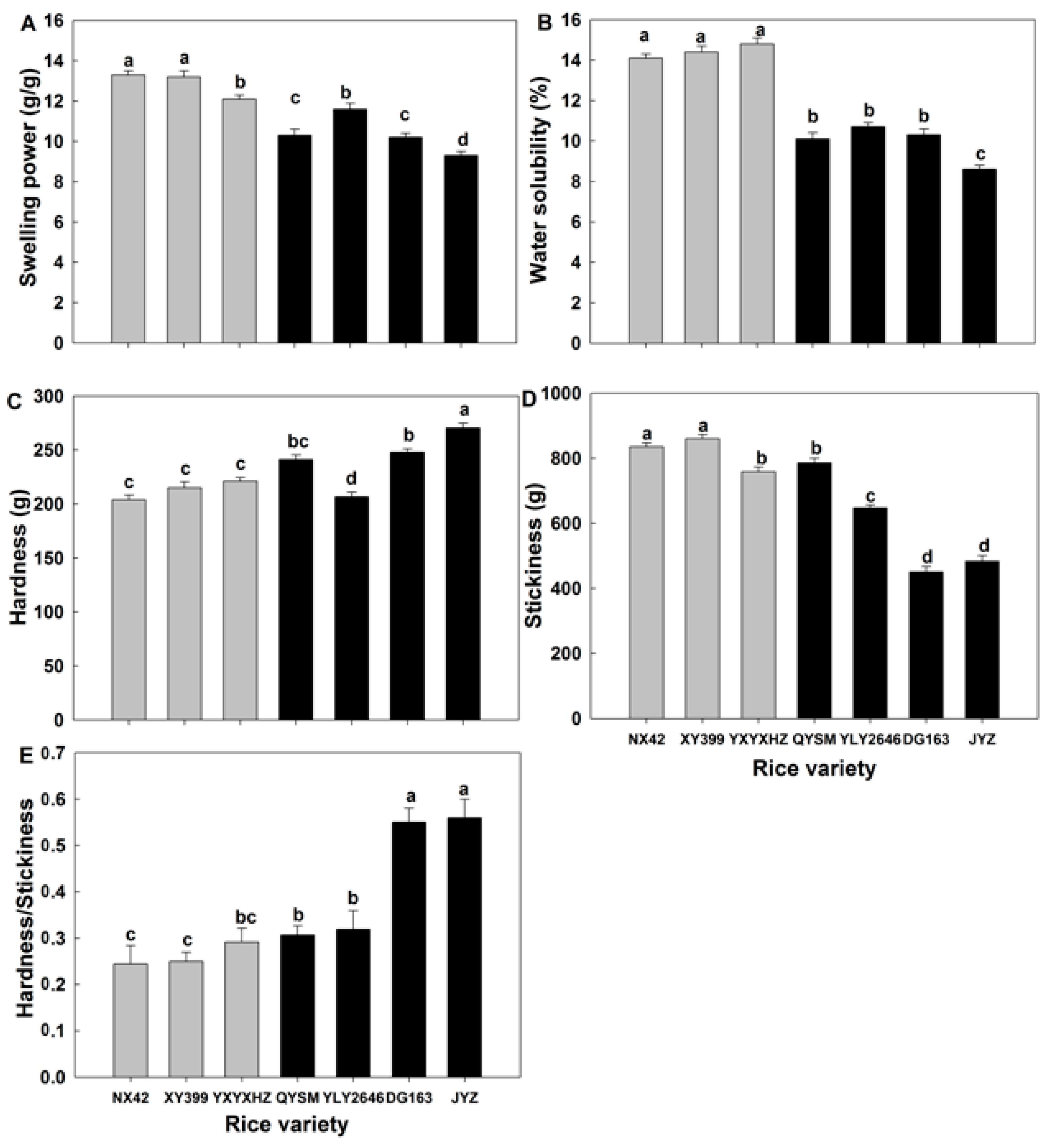
3.6. Swelling Factors of Rice Starch
3.7. Pasting Properties of Rice Flour
3.8. Textural Properties of Cooked Rice
3.9. Principal Component Analysis (PCA) of the Physicochemical Properties of Rice Varieties
3.10. Correlation Analysis between Milled Rice Appearance, Chemical Composition, Physicochemical Properties, and Rice Eating Quality
4. Conclusions
Author Contributions
Funding
Data Availability Statement
Conflicts of Interest
References
- Tan, Y.F.; Li, J.X.; Yu, S.B.; Xing, Y.Z.; Xu, C.G.; Zhang, Q.F. The three important traits for cooking and eating quality of rice grains are controlled by a single locus in an elite rice hybrid, Shanyou 63. Theor. Appl. Genet. 1999, 99, 642–648. [Google Scholar] [CrossRef] [PubMed]
- Zhang, Y.R.; Zhou, X.Q.; Yang, L.L. Present situation and expectation on methods for taste evaluation of rice. J. Chinese Cereals Oils Asso. 2009, 24, 155–160, (In Chinese with English abstract). [Google Scholar]
- Zhou, L.J.; Sheng, W.T.; Wu, J.; Zhang, C.Q.; Liu, Q.Q.; Deng, Q.Y. Differential expressions among five Waxy alleles and their effects on the eating and cooking qualities in specialty rice cultivars. J. Integr. Agr. 2015, 14, 1153–1162. [Google Scholar] [CrossRef]
- Martin, M.; Fitzgerald, M.A. Proteins in rice grains influence cooking properties! J. Cereal Sci. 2002, 36, 285–294. [Google Scholar] [CrossRef]
- Nawaz, M.A.; Fukai, S.; Bhandari, B. Effect of alkali treatment on the milled grain surface protein and physicochemical properties of two contrasting rice varieties. J. Cereal Sci. 2016, 72, 16–23. [Google Scholar] [CrossRef][Green Version]
- Okadome, H.; Toyoshima, H.; Ohtsubo, K. Multiple measurements of physical properties of individual cooked rice grains with a single apparatus. Cereal Chem. 1999, 76, 855–860. [Google Scholar] [CrossRef]
- Zhu, D.; Zhang, L.; Chen, M.; Fang, C.; Yu, Y.; Zheng, X.; Shao, Y. Characteristics of high-quality rice varieties and taste sensory evaluation values in China. Sci. Agri. Sin. 2022, 55, 1271–1283, (In Chinese with English abstract). [Google Scholar]
- Peng, Y.; Mao, B.; Zhang, C.; Shao, Y.; Wu, T.; Hu, L.; Hu, Y.; Tang, L.; Li, Y.; Tang, W.; et al. Influence of physicochemical properties and starch fine structure on the eating quality of hybrid rice with similar apparent amylose content. Food Chem. 2021, 353, 129461. [Google Scholar] [CrossRef]
- Mustapha, B.; Moldenhauer, K.A.K.; Hamaker, B.R. Rice amylopectin fine structure variability affects starch digestion properties. J. Agric. Food Chem. 2007, 55, 1475–1479. [Google Scholar]
- Syahariza, Z.A.; Sar, S.; Hasjim, J.; Tizzotti, M.J.; Gilbert, R.G. The importance of amylose and amylopectin fine structures for starch digestibility in cooked rice grains. Food Chem. 2013, 136, 742–749. [Google Scholar] [CrossRef]
- Blazek, J.; Copeland, L. Pasting and swelling properties of wheat flour and starch in relation to amylose content. Carbohyd. Polym. 2008, 71, 380–387. [Google Scholar] [CrossRef]
- Li, H.; Prakash, S.; Nicholson, T.M.; Fitzgerald, M.A.; Gilbert, R.G. The importance of amylose and amylopectin fine structure for textural properties of cooked rice grains. Food Chem. 2016, 196, 702–711. [Google Scholar] [CrossRef] [PubMed]
- Zhu, Y.; Xu, D.; Chen, X.; Ma, Z.; Ma, H.; Zhang, M.; Liu, G.; Wei, H.; Zhang, H. Quality characteristics of semi-glutinous japonica rice cultivated in the middle and lower reaches of the Yangtze River in China. J. Sci. Food Agric. 2021, 102, 3712–3723. [Google Scholar] [CrossRef] [PubMed]
- Baxter, G.; Blanchard, C.; Zhao, J. Effects of prolamin on the textural and pasting properties of rice flour and starch. J. Cereal Sci. 2004, 40, 205–211. [Google Scholar] [CrossRef]
- Balindong, J.L.; Ward, R.M.; Liu, L.; Rose, T.J.; Pallas, L.A.; Ovenden, B.W.; Snell, P.J.; Waters, D.L. Rice grain protein composition influences instrumental measures of rice cooking and eating quality. J. Cereal Sci. 2018, 79, 35–42. [Google Scholar] [CrossRef]
- Fitzgerald, M.A.; Martin, M.; Ward, R.M.; Park, W.D.; Shead, H.J. Viscosity of rice flour: A rheological and biological study. J. Agric. Food Chem. 2003, 51, 2295–2299. [Google Scholar] [CrossRef]
- Wei, C.; Qin, F.; Zhou, W.; Yu, H.; Xu, B.; Chen, C.; Zhu, L.; Wang, Y.; Gu, M.; Liu, Q. Granule structure and distribution of allomorphs in C-type high-amylose rice starch granule modified by antisense RNA inhibition of starch branching enzyme. J. Agric. Food Chem. 2010, 58, 11946–11954. [Google Scholar] [CrossRef]
- Man, J.M.; Yang, Y.; Zhang, C.Q.; Zhou, X.H.; Dong, Y.; Zhang, F.M. Structural changes of high-amylose rice starch residues following in vitro and in vivo digestion. J. Agric. Food Chem. 2012, 60, 9332–9341. [Google Scholar] [CrossRef]
- American Association of Cereal Chemists (AACC). Approved Methods of the AACC, 8th ed.; American Association of Cereal Chemists (AACC): St. Paul, MN, USA, 1984. [Google Scholar]
- Wu, A.C.; Li, E.; Gilbert, R.G. Exploring extraction/dissolution procedures for analysis of starch chain-length distributions. Carbohyd. Polym. 2014, 114, 36–42. [Google Scholar] [CrossRef]
- Gu, F.; Gong, B.; Gilbert, R.G.; Yu, W.; Li, E.; Li, C. Relations between changes in starch molecular fine structure and in thermal properties during rice grain storage. Food Chem. 2019, 295, 484–492. [Google Scholar] [CrossRef]
- Konik-Rose, C.M.; Moss, R.; Rahman, S.; Appels, R.; Stoddard, F.; McMaster, G. Evaluation of the 40 mg swelling test for measuring starch functionality. Starch/Staerke 2001, 53, 14–20. [Google Scholar] [CrossRef]
- Li, S.; Ren, X.; Zhang, M.; Asimi, S.; Lv, Q.; Wang, Z.; Liang, S.; Wang, Z.; Meng, L. New perspective to guide rice breeding: Evaluating the eating quality of japonica rice. Cereal Chem. 2022, 99, 603–614. [Google Scholar] [CrossRef]
- Gayin, J.; Abdel-Aal, E.; Manful, J.; Bertoft, E.; Ragaee, S. Physical, cooking and thermal properties of African rice (Oryza Glaberrima) and its starch digestibility in vitro. LWT Food Sci. Technol. 2017, 75, 481–487. [Google Scholar] [CrossRef]
- Likitwattanasade, T.; Hongsprabhas, P. Effect of storage proteins on pasting properties and microstructure of Thai rice. Food Res. Int. 2010, 43, 1402–1409. [Google Scholar] [CrossRef]
- Shi, Y.C.; Capitani, T.; Trzasko, P.; Jeffcoat, R. Molecular structure of a low-amylopectin starch and other high-amylose maize starches. J. Cereal Sci. 1998, 27, 289–299. [Google Scholar] [CrossRef]
- Liu, J.; Wang, J.; Li, Y.; Ding, H.; Zhang, X.; Zhou, Y.; Yang, J. Comparison Analysis of Taste Quality and Texture Characteristic of Japonica Rice with Different Grain Shape from Jilin Province. China Rice. 2022, 28, 44–49, (In Chinese with English abstract). [Google Scholar]
- Bhattacharya, K.R. 6-Cooking Quality of Rice; Woodhead Publishing: Cambridge, UK, 2013; pp. 164–192. [Google Scholar]
- Liang, H.; Gu, B.; Wang, T.; Rong, L.; Sun, W.; Wu, Z. Relationship between protein structure and eating quality of rice under different nitrogen application rate. Cereal Chem. 2022, 99, 692–703. [Google Scholar] [CrossRef]
- Li, H.; Yang, J.; Yan, S.; Lei, N.; Wang, J.; Sun, B. Molecular causes for the increased stickiness of cooked non-glutinous rice by enzymatic hydrolysis of the grain surface protein. Carbohyd. Polym. 2019, 216, 197–203. [Google Scholar] [CrossRef]
- Zhu, Y.; Xu, D.; Ma, Z.; Chen, X.; Zhang, M.; Zhang, C.; Liu, G.; Wei, H.; Zhang, H. Differences in Eating Quality Attributes between Japonica Rice from the Northeast Region and Semiglutinous Japonica Rice from the Yangtze River Delta of China. Foods 2021, 10, 2770. [Google Scholar] [CrossRef]
- Liu, Q.; Tao, Y.; Cheng, S.; Zhou, L.; Tian, J.; Xing, Z.; Liu, G.; Wei, H.; Zhang, H. Relating amylose and protein contents to eating quality in 105 varieties of Japonica rice. Cereal Chem. 2020, 97, 1303–1312. [Google Scholar] [CrossRef]
- Chen, H.; Chen, D.; He, L.; Wang, T.; Lu, H.; Yang, F.; Deng, F.; Chen, Y.; Tao, Y.; Li, M.; et al. Correlation of taste values with chemical compositions and Rapid Visco Analyser profiles of 36 indica rice (Oryza sativa L.) varieties. Food Chem. 2021, 349, 129176. [Google Scholar] [CrossRef] [PubMed]
- Song, Y.; Jane, J. Characterization of barley starches of waxy, normal, and high amylose varieties. Carbohyd. Polym. 2000, 41, 365–377. [Google Scholar] [CrossRef]
- Wei, C.; Qin, F.; Zhou, W.; Xu, B.; Chen, C.; Chen, Y.; Wang, Y.; Gu, M.; Liu, Q. Comparison of the crystalline properties and structural changes of starches from high-amylose transgenic rice and its wild type during heating. Food Chem. 2011, 128, 645–652. [Google Scholar] [CrossRef]
- Tao, K.; Yu, W.; Prakash, S.; Gilbert, R.G. High-amylose rice: Starch molecular structural features controlling cooked rice texture and preference. Carbohyd. Polym. 2019, 219, 251–260. [Google Scholar] [CrossRef] [PubMed]
- O’Shea, M.G.; Samuel, M.S.; Konik, C.M.; Morell, M.K. Fluorophore-assisted carbohydrate electrophoresis (FACE) of oligosaccharides: Efficiency of labelling and high-resolution separation. Carbohyd. Polym. 1998, 307, 1–12. [Google Scholar] [CrossRef]
- Ayabe, S.; Kasai, M.; Ohishi, K.; Hatae, K. Textural properties and structures of starches from indica and japonica rice with similar amylose content. Food Sci. Technol. Res. 2009, 15, 299–306. [Google Scholar] [CrossRef]
- Ma, R.; Wang, L.; Wang, F.; Tian, Y. Effect of dissolved solids on hardness and viscoelasticity of soft rice. J. Food Sci. Technol. 2021, 39, 117–124. [Google Scholar]
- Bhat, F.M.; Riar, C.S. Effect of composition, granular morphology and crystalline structure on the pasting, textural, thermal and sensory characteristics of traditional rice cultivars. Food Chem. 2019, 280, 303–309. [Google Scholar] [CrossRef]
- Srichuwong, S.; Jane, J. Physicochemical properties of starch affected by molecular composition and structure: A review. Food Sci. Biotechnol. 2007, 16, 663–674. [Google Scholar]
- Zhang, L.; Zhang, C.; Yan, Y.; Hu, Z.; Wang, K.; Zhou, J.; Zhou, Y.; Cao, L.; Wu, S. Influence of starch fine structure and storage proteins on the eating quality of rice varieties with similar amylose contents. J. Sci. Food Agr. 2021, 101, 3811–3818. [Google Scholar] [CrossRef]
- Jane, J.; Chen, Y.Y.; Lee, L.F.; McPherson, A.E.; Wong, K.S.; Radosavljevic, M.; Kasemsuwan, T. Effects of amylopectin branch chain length and amylose content on the gelatinization and pasting properties of starch. Cereal Chem. 1999, 76, 629–637. [Google Scholar] [CrossRef]
- Han, X.Z.; Hamaker, B.R. Amylopectin fine structure and rice starch paste breakdown. J. Cereal Sci. 2001, 34, 279–284. [Google Scholar] [CrossRef]
- Cameron, D.K.; Wang, Y.J. A better understanding of factors that affect the hardness and stickiness of long-grain rice. Cereal Chem. 2005, 82, 113–119. [Google Scholar] [CrossRef]
- Patindol, J.; Gu, X.; Wang, Y.J. Chemometric analysis of cooked rice texture in relation to starch fine structure and leaching characteristics. Starch/Staerke 2010, 62, 188–197. [Google Scholar] [CrossRef]
- Cuevas, R.P.; Gilbert, R.G.; Fitzgerald, M.A. Structural differences between hot-water-soluble and hot-water-insoluble fractions of starch in waxy rice (Oryza sativa L.). Carbohyd. Polym. 2010, 81, 524–532. [Google Scholar] [CrossRef]
- Leelayuthsoontorn, P.; Thipayarat, A. Textural and morphological changes of Jasmine rice under various elevated cooking conditions. Food Chem. 2006, 96, 606–613. [Google Scholar] [CrossRef]
- Li, H.; Gilbert, R.G. Starch molecular structure: The basis for an improved understanding of cooked rice texture. Carbohyd. Polym. 2018, 195, 9–17. [Google Scholar] [CrossRef]







| Type | Variety | Sensory Taste Value | Cooked Rice Fragrance | Cooked Rice Appearance | Cooked Rice Palatability | Taste | Cold Rice Texture |
|---|---|---|---|---|---|---|---|
| GTVG | NX42 | 93 ± 3.4 a | 90 ± 4.2 a | 94 ± 2.7 a | 96 ± 4.4 a | 96 ± 3.6 a | 88 ± 4.2 a |
| XY399 | 87 ± 5.7 b | 86 ± 3.7 ab | 92 ± 4.4 a | 84 ± 4.1 bc | 90 ± 3.7 b | 82 ± 3.6 a | |
| YXYXHZ | 86 ± 5.5 c | 86 ± 3.6 bc | 84 ± 2.9 b | 90 ± 4.0 b | 86 ± 4.4 b | 86 ± 3.8 a | |
| MPTVG | QYSM | 83 ± 4.3 cd | 86 ± 2.8 bc | 84 ± 3.4 b | 82 ± 3.8 cd | 82 ± 4.3 c | 82 ± 3.4 a |
| YLY2646 | 81 ± 4.6 d | 86 ± 3.1 bc | 86 ± 3.2 b | 80 ± 3.6 cd | 80 ± 4.1 cd | 74 ± 4.0 ab | |
| DG163 | 78 ± 4.4 e | 80 ± 3.8 cd | 74 ± 3.4 c | 80 ± 3.9 d | 78 ± 3.7 d | 80 ± 4.1 ab | |
| JYZ | 73 ± 4.7 f | 76 ± 4.2 d | 74 ± 4.0 c | 72 ± 3.2 e | 72 ± 4.3 e | 72 ± 4.4 b |
| Type | Variety | AM/(AM + AP) | AM/AP | AP1/AP2 | AM1/AM2 |
|---|---|---|---|---|---|
| GTVG | NX42 | 14.8 ± 0.12 cd | 0.17 ± 0.006 c | 4.32 ± 0.04 a | 2.21 ± 0.07 c |
| XY399 | 13.7 ± 0.08 e | 0.17 ± 0.006 bc | 4.26 ± 0.05 a | 3.74 ± 0.07 a | |
| YXYXHZ | 14.6 ± 0.10 d | 0.16 ± 0.006 c | 4.02 ± 0.03 b | 2.02 ± 0.04 d | |
| MPTVG | QYSM | 15.5 ± 0.11 c | 0.18 ± 0.008 bc | 3.71 ± 0.07 c | 2.42 ± 0.05 b |
| YLY2646 | 15.3 ± 0.09 c | 0.18 ± 0.007 c | 4.36 ± 0.06 a | 2.52 ± 0.06 b | |
| DG163 | 17.0 ± 0.09 b | 0.19 ± 0.008 b | 4.06 ± 0.06 b | 1.99 ± 0.06 d | |
| JYZ | 18.0 ± 0.10 a | 0.22 ± 0.005 a | 3.99 ± 0.07 b | 2.41 ± 0.06 b |
| Type | Variety | Chain-Length Proportion of Amylopectin (%) | Average Chain Length (DP) | |||
|---|---|---|---|---|---|---|
| Fa (DP 6–12) | Fb1 (DP 13–24) | Fb2 (DP 25–36) | Fb3 (DP 37+) | |||
| GTVG | NX42 | 28.1 ± 0.16 b | 49.3 ± 0.14 b | 9.8 ± 0.13 e | 12.8 ± 0.20 b | 21.0 ± 0.21 a |
| XY399 | 29.4 ± 0.14 a | 47.9 ± 0.12 e | 9.5 ± 0.17 f | 13.1 ± 0.24 a | 20.8 ± 0.16 a | |
| YXYXHZ | 28.0 ± 0.15 b | 48.5 ± 0.09 d | 10.2 ± 0.16 bc | 13.3 ± 0.19 a | 21.0 ± 0.19 a | |
| MPTVG | QYSM | 27.2 ± 0.18 c | 49.0 ± 0.17 c | 10.1 ± 0.15 cd | 13.8 ± 0.18 a | 21.0 ± 0.18 a |
| YLY2646 | 27.1 ± 0.19 c | 49.6 ± 0.08 a | 10.2 ± 0.14 ab | 13.1 ± 0.22 a | 21.0 ± 0.12 a | |
| DG163 | 27.2 ± 0.17 c | 49.7 ± 0.12 a | 9.9 ± 0.19 de | 13.2 ± 0.21 a | 21.1 ± 0.24 a | |
| JYZ | 27.2 ± 0.15 c | 49.2 ± 0.15 b | 10.3 ± 0.18 a | 13.3 ± 0.18 a | 21.1 ± 0.25 a | |
| Type | Variety | PV (cP) | TV (cP) | BV (cP) | FV (cP) | SV (cP) | PT (°C) |
|---|---|---|---|---|---|---|---|
| GTVG | NX42 | 2741 ± 5.6 a | 1801 ± 5.1 a | 940 ± 4.8 b | 3136 ± 4.6 bc | 395 ± 2.4 f | 88.4 ± 1.2 a |
| XY399 | 2693 ± 4.2 b | 1813 ± 5.1 a | 880 ± 4.2 b | 3108 ± 4.0 cd | 415 ± 2.3 f | 87.9 ± 1.1 b | |
| YXYXHZ | 2673 ± 3.7 b | 1814 ± 4.8 a | 859 ± 5.2 b | 3180 ± 4.5 b | 507 ± 1.8 d | 88.3 ± 0.9 a | |
| MPTVG | QYSM | 2400 ± 4.5 d | 1596 ± 4.3 c | 804 ± 5.3 c | 3067 ± 4.8 d | 667 ± 1.7 c | 88.6 ± 0.8 a |
| YLY2646 | 2307 ± 5.3 e | 1661 ± 5.9 b | 646 ± 4.5 d | 3260 ± 5.3 ab | 953 ± 2.0 b | 90.2 ± 0.8 a | |
| DG163 | 2559 ± 4.8 c | 1559 ± 5.0 c | 1000 ± 4.3 a | 3017 ± 4.7 e | 458 ± 2.3 e | 90.1 ± 1.1 a | |
| JYZ | 2240 ± 4.6 e | 1662 ± 4.7 b | 578 ± 4.3 e | 3295 ± 4.3 a | 1055 ± 2.4 a | 91.0 ± 1.2 a |
Disclaimer/Publisher’s Note: The statements, opinions and data contained in all publications are solely those of the individual author(s) and contributor(s) and not of MDPI and/or the editor(s). MDPI and/or the editor(s) disclaim responsibility for any injury to people or property resulting from any ideas, methods, instructions or products referred to in the content. |
© 2023 by the authors. Licensee MDPI, Basel, Switzerland. This article is an open access article distributed under the terms and conditions of the Creative Commons Attribution (CC BY) license (https://creativecommons.org/licenses/by/4.0/).
Share and Cite
Zhu, D.; Zheng, X.; Yu, J.; Chen, M.; Li, M.; Shao, Y. Effects of Starch Molecular Structure and Physicochemical Properties on Eating Quality of Indica Rice with Similar Apparent Amylose and Protein Contents. Foods 2023, 12, 3535. https://doi.org/10.3390/foods12193535
Zhu D, Zheng X, Yu J, Chen M, Li M, Shao Y. Effects of Starch Molecular Structure and Physicochemical Properties on Eating Quality of Indica Rice with Similar Apparent Amylose and Protein Contents. Foods. 2023; 12(19):3535. https://doi.org/10.3390/foods12193535
Chicago/Turabian StyleZhu, Dawei, Xin Zheng, Jing Yu, Mingxue Chen, Min Li, and Yafang Shao. 2023. "Effects of Starch Molecular Structure and Physicochemical Properties on Eating Quality of Indica Rice with Similar Apparent Amylose and Protein Contents" Foods 12, no. 19: 3535. https://doi.org/10.3390/foods12193535
APA StyleZhu, D., Zheng, X., Yu, J., Chen, M., Li, M., & Shao, Y. (2023). Effects of Starch Molecular Structure and Physicochemical Properties on Eating Quality of Indica Rice with Similar Apparent Amylose and Protein Contents. Foods, 12(19), 3535. https://doi.org/10.3390/foods12193535
