Influence of Cmr1 in the Regulation of Antioxidant Function Melanin Biosynthesis in Aureobasidium pullulans
Abstract
1. Introduction
2. Materials and Methods
2.1. Stain, Plasmid, and Culture Medium
2.2. Acquisition and Bioinformatics Analysis of Cmr1 Gene
2.3. Melanin Extraction Method
2.4. FT-IR Analysis of Melanin
2.5. UV–Vis Analysis of Melanin
2.6. Plasmid Construction
2.7. Transformation and Validation of Mutant Strains
2.8. Effect of Cmr1 on Biomass and Melanin Production
2.9. Morphological Observation
2.10. Analysis of the Transcriptional Levels of Genes Related to the ApCmr1 Biosynthetic Gene Cluster
2.11. Investigation of Antioxidant Activity of Melanin In Vitro
2.11.1. DPPH· Scavenging Assay
2.11.2. ABTS· Scavenging Assay
2.11.3. OH· Scavenging Assay
2.11.4. O2−· Scavenging Assay
2.12. Statistical Analysis
3. Results and Discussion
3.1. Bioinformatics Analysis of Cmr1
3.2. Fermentation Time of A. pullulans Hit-lcy3T for Melanin Production
3.3. FT-IR Spectroscopy of DHN Melanin
3.4. Analysis of UV–Vis Absorption Spectra of DHN Melanin
3.5. Schematic and Verification of Gene Knockout
3.6. Construction and Verification of Cmr1 Overexpression Plasmid
3.7. Effect of Cmr1 Mutant Strain on Morphology and Melanin Production
3.8. Expression of Melanin Synthesis-Related Gene
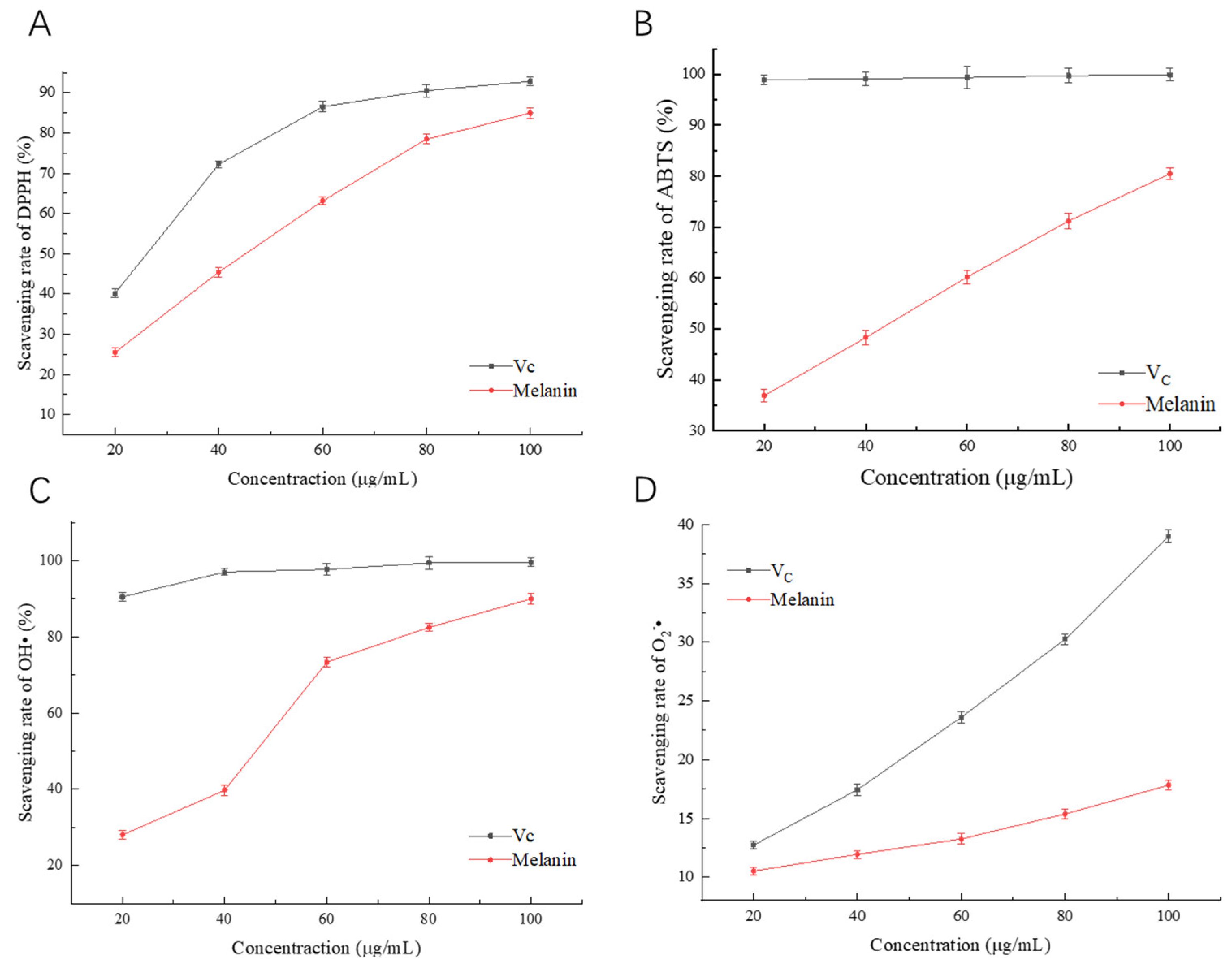
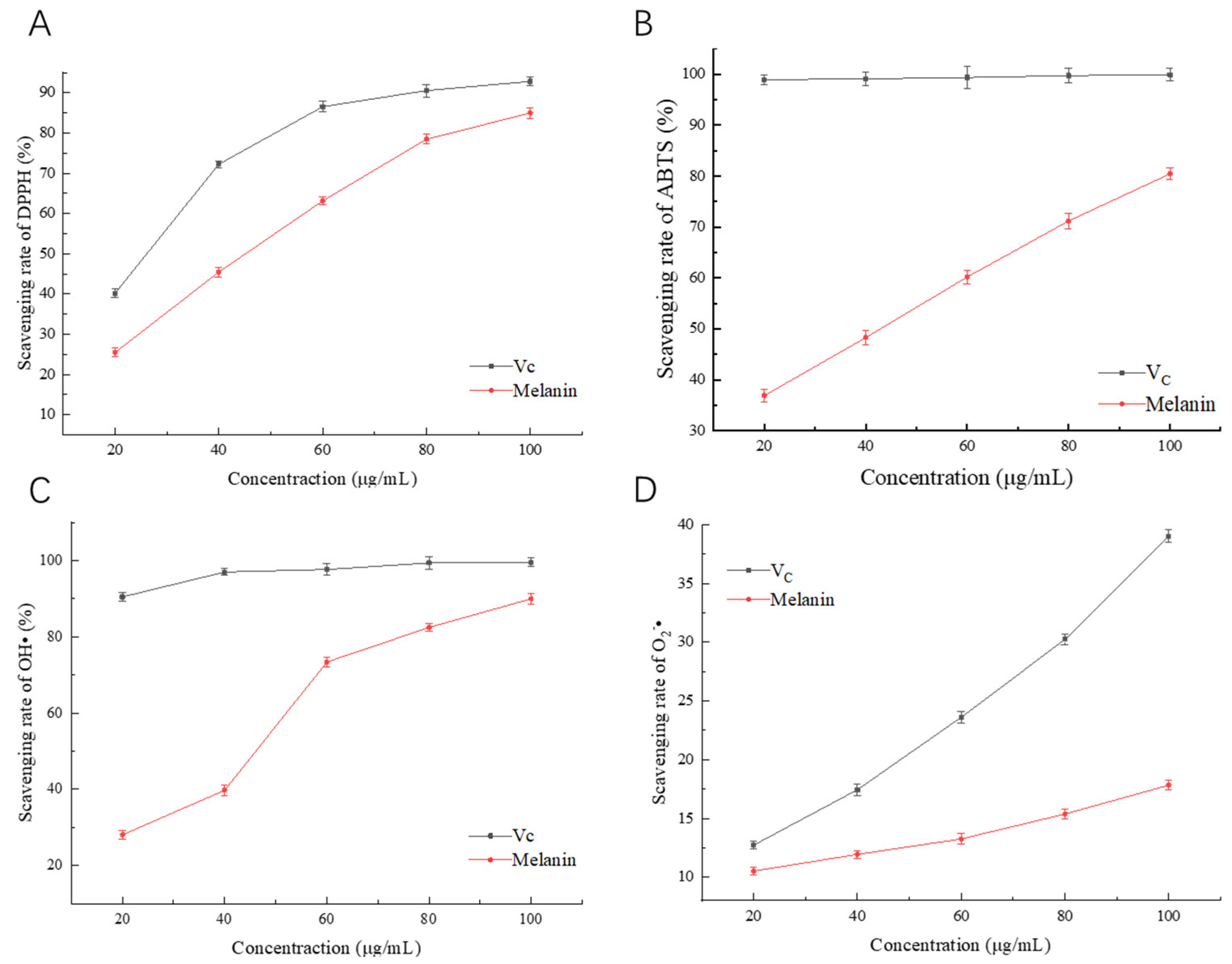
3.9. In Vitro Antioxidant Activity of Melanin
4. Conclusions
Supplementary Materials
Author Contributions
Funding
Data Availability Statement
Conflicts of Interest
References
- Butler, M.J.; Day, A.W. Fungal melanins: A review. Can. J. Microbiol. 1998, 44, 1115–1136. [Google Scholar] [CrossRef]
- Dadachova, E.; Casadevall, A. Ionizing radiation: How fungi cope, adapt, and exploit with the help of melanin. Curr. Opin. Microbiol. 2008, 11, 525–531. [Google Scholar] [CrossRef]
- Eisenman, H.C.; Casadevall, A. Synthesis and assembly of fungal melanin. Appl. Microbiol. Biotechnol. 2012, 93, 931–940. [Google Scholar] [CrossRef] [PubMed]
- Echavarria, A.P.; Pagan, J.; Ibarz, A. Melanoidins Formed by Maillard Reaction in Food and Their Biological Activity. Food Eng. Rev. 2012, 4, 203–223. [Google Scholar] [CrossRef]
- Fogliano, V.; Morales, F.J. Estimation of dietary intake of melanoidins from coffee and bread. Food Funct. 2011, 2, 117–123. [Google Scholar] [CrossRef]
- Huang, L.; Liu, M.Y.; Huang, H.Y.; Wen, Y.Q.; Zhang, X.Y.; Wei, Y. Recent Advances and Progress on Melanin-like Materials and Their Biomedical Applications. Biomacromolecules 2018, 19, 1858–1868. [Google Scholar] [CrossRef]
- Tran-Ly, A.N.; Reyes, C.; Schwarze, F.W.M.R.; Ribera, J. Microbial production of melanin and its various applications. World J. Microbiol. Biotechnol. 2020, 36, 170. [Google Scholar] [CrossRef]
- Lee, J.H.; Hyun, C.K. Insulin-Sensitizing and Beneficial Lipid-Metabolic Effects of the Water-Soluble Melanin Complex Extracted from Inonotus obliquus. Phytother. Res. 2014, 28, 1320–1328. [Google Scholar] [CrossRef]
- Xu, C.; Chen, T.T.; Li, J.L.; Jin, M.Z.; Ye, M. The structural analysis and its hepatoprotective activity of melanin isolated from Lachnum sp. Process. Biochem. 2020, 90, 249–256. [Google Scholar] [CrossRef]
- Mesias, M.; Delgado-Andrade, C. Melanoidins as a potential functional food ingredient. Curr. Opin. Food Sci. 2017, 14, 37–42. [Google Scholar] [CrossRef]
- Dufosse, L. Microbial production of food grade pigments. Food Technol. Biotechnol. 2006, 44, 313–321. [Google Scholar]
- Zhang, K.; Zhou, W.; Wang, W.; Zhao, S.S.; Lin, C.Y.; Ru, X.; Guan, J.Q.; Cong, H.; Yang, Q. Area Gene Regulates the Synthesis of beta-Glucan with Antioxidant Activity in the Aureobasidium pullulans. Foods 2023, 12, 660. [Google Scholar] [CrossRef] [PubMed]
- Lin, C.; Zhang, K.; Zhao, S.; Wang, W.; Ru, X.; Song, J.; Cong, H.; Yang, Q. Screening and identification of a strain of Aureobasidium pullulans and its application in potato starch industrial waste. Environ. Res. 2022, 214, 113947. [Google Scholar] [CrossRef] [PubMed]
- Mujdeci, G.N. Experimental modeling and optimization of melanin production by Aureobasidium pullulans NBRC 100716 in carrot peel extract. Environ. Prog. Sustain. Energy 2022, 41, e13919. [Google Scholar] [CrossRef]
- Mujdeci, G.N. Natural Melanin Synthesized by Aureobasidium pullulans Using Food Wastes and its Characterization. Appl. Food Biotechnol. 2021, 8, 307–318. [Google Scholar]
- Bialy, H.E.; Elsayed, M.; Khalifa, M.A. Isolation and Characterization of melanized yeast form of Aureobasidium pullulans and physiological studies on the melanization process. J. Nucl. Technol. Appl. Sci. 2017, 5, 57–72. [Google Scholar]
- Tsuji, G.; Kenmochi, Y.; Takano, Y.; Sweigard, J.; Farrall, L.; Furusawa, I.; Horino, O.; Kubo, Y. Novel fungal transcriptional activators, Cmr1p of Colletotrichum lagenarium and pig1p of Magnaporthe grisea, contain Cys2His2 zinc finger and Zn(II)2Cys6 binuclear cluster DNA-binding motifs and regulate transcription of melanin biosynthesis genes in a developmentally specific manner. Mol. Microbiol. 2000, 38, 940–954. [Google Scholar]
- Eliahu, N.; Igbaria, A.; Rose, M.S.; Horwitz, B.A.; Lev, S. Melanin biosynthesis in the maize pathogen Cochliobolus heterostrophus depends on two mitogen-activated protein kinases, Chk1 and Mps1, and the transcription factor Cmr1. Eukaryot. Cell 2007, 6, 421–429. [Google Scholar] [CrossRef]
- Kihara, J.; Moriwaki, A.; Tanaka, N.; Tanaka, C.; Ueno, M.; Arase, S. Characterization of the BMR1 gene encoding a transcription factor for melanin biosynthesis genes in the phytopathogenic fungus Bipolaris oryzae. FEMS Microbiol. Lett. 2008, 281, 221–227. [Google Scholar] [CrossRef]
- Cho, Y. The transcription factor Amr1 induces melanin biosynthesis and conidium production but differentially suppresses virulence in Alternaria brassicicola. Phytopathology 2011, 101, S36. [Google Scholar]
- Valiante, V.; Baldin, C.; Hortschansky, P.; Jain, R.; Thywissen, A.; Strassburger, M.; Shelest, E.; Heinekamp, T.; Brakhage, A.A. The Aspergillus fumigatus conidial melanin production is regulated by the bifunctional bHLH DevR and MADS-box RlmA transcription factors. Mol. Microbiol. 2016, 102, 321–335. [Google Scholar] [CrossRef] [PubMed]
- Kurahashi, A.; Shimoda, T.; Sato, M.; Fujimori, F.; Hirama, J.; Nishibori, K. A putative transcription factor Gf.BMR1 in Grifola frondosa, the homolog of BMR1 in Bipolaris oryzae, was strongly induced by near-ultraviolet light and blue light. Mycoscience 2015, 56, 177–182. [Google Scholar] [CrossRef]
- Schumacher, J. DHN melanin biosynthesis in the plant pathogenic fungus Botrytis cinerea is based on two developmentally regulated key enzyme (PKS)-encoding genes. Mol. Microbiol. 2016, 99, 729–748. [Google Scholar] [CrossRef] [PubMed]
- Wang, Y.L.; Hu, X.P.; Fang, Y.L.; Anchieta, A.; Goldman, P.H.; Hernandez, G.; Klosterman, S.J. Transcription factor VdCmr1 is required for pigment production, protection from UV irradiation, and regulates expression of melanin biosynthetic genes in Verticillium dahliae. Microbiology 2018, 164, 863–864. [Google Scholar] [CrossRef] [PubMed]
- Jiang, H.; Chi, Z.; Liu, G.L.; Hu, Z.; Zhao, S.Z.; Chi, Z.M. Melanin biosynthesis in the desert-derived Aureobasidium melanogenum XJ5-1 is controlled mainly by the CWI signal pathway via a transcriptional activator Cmr1. Curr. Genet. 2020, 66, 173–185. [Google Scholar] [CrossRef]
- Centeno, S.A.; Shamir, J. Surface enhanced Raman scattering (SERS) and FTIR characterization of the sepia melanin pigment used in works of art. J. Mol. Struct. 2008, 873, 149–159. [Google Scholar] [CrossRef]
- Li, C.; Ji, C.; Tang, B. Purification, characterisation and biological activity of melanin from Streptomyces sp. FEMS Microbiol. Lett. 2018, 365, fny077. [Google Scholar] [CrossRef]
- Zhang, K.; Lin, C.Y.; Zhao, S.S.; Wang, W.; Zhou, W.; Ru, X.; Cong, H.; Yang, Q. The role of pH transcription factor Appacc in upregulation of pullulan biosynthesis in Aureobasidium pullulans using potato waste as a substrate. Int. J. Biol. Macromol. 2023, 242, 124794. [Google Scholar] [CrossRef]
- Dong, C.H.; Yao, Y.J. Isolation, characterization of melanin derived from Ophiocordyceps sinensis, an entomogenous fungus endemic to the Tibetan Plateau. J. Biosci. Bioeng. 2012, 113, 474–479. [Google Scholar] [CrossRef]
- Pacelli, C.; Cassaro, A.; Maturilli, A.; Timperio, A.M.; Gevi, F.; Cavalazzi, B.; Stefan, M.; Ghica, D.; Onofri, S. Multidisciplinary characterization of melanin pigments from the black fungus Cryomyces antarcticus. Appl. Microbiol. Biotechnol. 2020, 104, 6385–6395. [Google Scholar] [CrossRef]
- Pal, A.K.; Gajjar, D.U.; Vasavada, A.R. DOPA and DHN pathway orchestrate melanin synthesis in Aspergillus species. Med. Mycol. 2014, 52, 10–18. [Google Scholar] [PubMed]
- Suryanarayanan, T.S.; Ravishankar, J.P.; Venkatesan, G.; Murali, T.S. Characterization of the melanin pigment of a cosmopolitan fungal endophyte. Mycol. Res. 2004, 108, 974–978. [Google Scholar] [CrossRef] [PubMed]
- Chi, Z.; Kong, C.C.; Wang, Z.Z.; Wang, Z.; Liu, G.L.; Hu, Z.; Chi, Z.M. The signaling pathways involved in metabolic regulation and stress responses of the yeast-like fungi Aureobasidium spp. Biotechnol. Adv. 2022, 55, 107898. [Google Scholar] [CrossRef] [PubMed]
- Barretto, D.A.; Vootla, S.K. Biological activities of melanin pigment extracted from Bombyx mori gut-associated yeast Cryptococcus rajasthanensis KY627764. World J. Microbiol. Biotechnol. 2020, 36, 159. [Google Scholar] [CrossRef]
- El-Bialy, H.A.; El-Gamal, M.S.; Elsayed, M.A.; Saudi, H.A.; Khalifa, M.A. Microbial melanin physiology under stress conditions and gamma radiation protection studies. Radiat. Phys. Chem. 2019, 162, 178–186. [Google Scholar] [CrossRef]
- Jia, S.L.; Chi, Z.; Chen, L.; Liu, G.L.; Hu, Z.; Chi, Z.M. Molecular evolution and regulation of DHN melanin-related gene clusters are closely related to adaptation of different melanin-producing fungi. Genomics 2021, 113, 1962–1975. [Google Scholar] [CrossRef]
- Liang, X.; Li, B.; Zhao, X.; Yao, L.; Kong, Y.; Liu, W.; Zhang, R.; Sun, G. 1,8-Dihydroxynaphthalene Melanin Biosynthesis in Colletotrichum fructicola Is Developmentally Regulated and Requires the Cooperative Function of Two Putative Zinc Finger Transcription Factors. Phytopathology 2022, 112, 2174–2186. [Google Scholar] [CrossRef]
- Dehoog, G.S.; Yurlova, N.A. Conidiogenesis, Nutritional Physiology and Taxonomy of Aureobasidium and Hormonema. Anton. Leeuw. Int. J. G. 1994, 65, 41–54. [Google Scholar] [CrossRef]
- Lino, V.; Manini, P.; Galeotti, M.; Salamone, M.; Bietti, M.; Crescenzi, O.; Napolitano, A.; d’Ischia, M. Antioxidant Activities of Hydroxylated Naphthalenes: The Role of Aryloxyl Radicals. Chempluschem 2023, 88, e202200449. [Google Scholar] [CrossRef]
- Tiwari, M.K.; Jena, N.R.; Mishra, P.C. Mechanisms of scavenging superoxide, hydroxyl, nitrogen dioxide and methoxy radicals by allicin: Catalytic role of superoxide dismutase in scavenging superoxide radical. J. Chem. Sci. 2018, 130, 105. [Google Scholar] [CrossRef]










Disclaimer/Publisher’s Note: The statements, opinions and data contained in all publications are solely those of the individual author(s) and contributor(s) and not of MDPI and/or the editor(s). MDPI and/or the editor(s) disclaim responsibility for any injury to people or property resulting from any ideas, methods, instructions or products referred to in the content. |
© 2023 by the authors. Licensee MDPI, Basel, Switzerland. This article is an open access article distributed under the terms and conditions of the Creative Commons Attribution (CC BY) license (https://creativecommons.org/licenses/by/4.0/).
Share and Cite
Wang, W.; Zhang, K.; Lin, C.; Zhao, S.; Guan, J.; Zhou, W.; Ru, X.; Cong, H.; Yang, Q. Influence of Cmr1 in the Regulation of Antioxidant Function Melanin Biosynthesis in Aureobasidium pullulans. Foods 2023, 12, 2135. https://doi.org/10.3390/foods12112135
Wang W, Zhang K, Lin C, Zhao S, Guan J, Zhou W, Ru X, Cong H, Yang Q. Influence of Cmr1 in the Regulation of Antioxidant Function Melanin Biosynthesis in Aureobasidium pullulans. Foods. 2023; 12(11):2135. https://doi.org/10.3390/foods12112135
Chicago/Turabian StyleWang, Wan, Kai Zhang, Congyu Lin, Shanshan Zhao, Jiaqi Guan, Wei Zhou, Xin Ru, Hua Cong, and Qian Yang. 2023. "Influence of Cmr1 in the Regulation of Antioxidant Function Melanin Biosynthesis in Aureobasidium pullulans" Foods 12, no. 11: 2135. https://doi.org/10.3390/foods12112135
APA StyleWang, W., Zhang, K., Lin, C., Zhao, S., Guan, J., Zhou, W., Ru, X., Cong, H., & Yang, Q. (2023). Influence of Cmr1 in the Regulation of Antioxidant Function Melanin Biosynthesis in Aureobasidium pullulans. Foods, 12(11), 2135. https://doi.org/10.3390/foods12112135

