Effects of the Exopolysaccharide from Lactiplantibacillus plantarum HMX2 on the Growth Performance, Immune Response, and Intestinal Microbiota of Juvenile Turbot, Scophthalmus maximus
Abstract
1. Introduction
2. Materials and Methods
2.1. Preparation of EPS Samples
2.2. Experimental Design and Daily Management
2.3. Sample Collection
2.4. Growth Performance Measurement
2.5. Enzymatic Assay
2.6. qPCR Analysis of Immune-Related Genes and Antioxidant Genes
2.7. Infection Experiment of Aeromonas Hydrophila
2.8. Intestinal Microbial Composition
2.9. Statistical Analysis
3. Results
3.1. Growth Performance of Juvenile Turbot
3.2. Digestive and Immune-Related Enzyme Activities in Juvenile Turbot
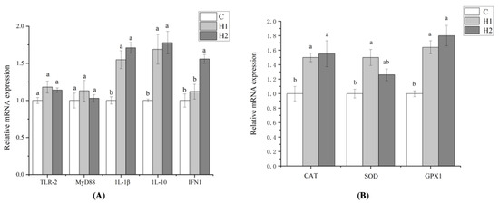
3.3. Expression of Immune-Related Genes and Antioxidant Genes
3.4. Survival Rate after A. hydrophila Challenge
3.5. Intestinal Microbiota Regulation by HMX2-EPS
3.5.1. OUT Number and Alpha Diversity Analysis
3.5.2. Beta Diversity Analysis
3.5.3. Microbial Composition and LefSe Analysis
3.5.4. Microbial Function Prediction
4. Discussion
5. Conclusions
Author Contributions
Funding
Institutional Review Board Statement
Informed Consent Statement
Data Availability Statement
Conflicts of Interest
References
- Wang, A.; Ran, C.; Wang, Y.; Zhang, Z.; Ding, Q.; Yang, Y.; Olsen, R.E.; Ringø, E.; Bindelle, J.; Zhou, Z. Use of probiotics in aquaculture of China: A review of the past decade. Fish Shellfish Immunol. 2019, 86, 734–755. [Google Scholar] [CrossRef] [PubMed]
- Vieco-Saiz, N.; Belguesmia, Y.; Raspoet, R.; Auclair, E.; Gancel, F.; Kempf, I.; Drider, D. Benefits and inputs from lactic acid bacteria and their bacteriocins as alternatives to antibiotic growth promoters during food-animal production. Front. Microbiol. 2019, 10, 57. [Google Scholar] [CrossRef] [PubMed]
- Akhter, N.; Wu, B.; Memon, A.M.; Mohsin, M. Probiotics and prebiotics associated with aquaculture: A review. Fish Shellfish Immunol. 2015, 45, 733–741. [Google Scholar] [CrossRef] [PubMed]
- Wang, Y.Q.; Wu, J.T.; Lv, M.; Shao, Z.; Hungwe, M.; Wang, J.; Bai, X.; Xie, J.; Wang, Y.; Geng, W. Metabolism characteristics of lactic acid bacteria and the expanding applications in food industry. Front. Bioeng. Biotechnol. 2021, 9, 612285. [Google Scholar] [CrossRef]
- Malik, J.A. Microalgae and Cyanobacteria: Potential Biofertilizers—Bioremediation and Phytoremediation Technologies in Sustainable Soil Management; Apple Academic Press: Palm Bay, FL, USA, 2022; pp. 55–74. [Google Scholar]
- Raman, J.; Kim, J.S.; Choi, K.R.; Eun, H.; Yang, D.; Ko, Y.-J.; Kim, S.-J. Application of lactic acid bacteria (LAB) in sustainable agriculture: Advantages and limitations. Int. J. Mol. Sci. 2022, 23, 7784. [Google Scholar] [CrossRef]
- Xiu, L.; Zhang, H.; Hu, Z.; Liang, Y.; Guo, S.; Yang, M.; Du, R.; Wang, X. Immunostimulatory activity of exopolysaccharides from probiotic Lactobacillus casei WXD030 strain as a novel adjuvant in vitro and in vivo. Food Agric. Immunol. 2018, 29, 1086–1105. [Google Scholar] [CrossRef]
- Zhu, Y.; Wang, X.; Pan, W.; Shen, X.; He, Y.; Yin, H.; Zhou, K.; Zou, L.; Chen, S.; Liu, S. Exopolysaccharides produced by yogurt-texture improving Lactobacillus plantarum RS20D and the immunoregulatory activity. Int. J. Biol. Macromol. 2019, 121, 342–349. [Google Scholar] [CrossRef]
- Liu, Y.J.; Zhang, Y.Q.; Yuan, Y.; Li, H.Y.; Mu, G.Q.; Tuo, Y.F. Studies on the Antioxidative Activity of Exopolysaccharide from Lactobacillus Strains. J. Chin. Inst. Food Sci. Technol. 2019, 19, 21–35. [Google Scholar]
- Zhang, M.; Hao, X.N.; Aziz, T.; Jian, Z.; Zhennai, Y. Exopolysaccharides from Lactobacillus plantarum YW11 improve immune response and ameliorate inflammatory bowel disease symptoms. Acta Biochim. Pol. 2020, 67, 485–493. [Google Scholar]
- Li, J.Z.; Li, Q.K.; Shan, A.S. Biological Activities of Exopolysaccharides Produced by Lactic Acid Bacteria and Its Application Prospect in Livestock Production. Chin. J. Anim. Nutr. 2021, 33, 1901–1912. [Google Scholar]
- Feng, J.C.; Cai, Z.L.; Chen, Y.Y.; Zhu, H.Y.; Chang, X.L.; Wang, X.F.; Liu, Z.; Zhang, J.X.; Nie, G.X. Effects of an exopolysaccharide from Lactococcus lactis Z-2 on innate immune response, antioxidant activity, and disease resistance against Aeromonas hydrophila in Cyprinus carpio L. Fish Shellfish Immunol. 2020, 98, 324–333. [Google Scholar] [CrossRef] [PubMed]
- Xu, X.W.; Zheng, W.W.; Meng, Z.; Xu, W.; Liu, Y.; Chen, S. Identification of stress-related genes by co-expression network analysis based on the improved turbot genome. Sci. Data 2022, 9, 374. [Google Scholar] [CrossRef] [PubMed]
- Wang, J.; Wu, T.; Fang, X.B.; Min, W.H.; Yang, Z.N. Characterization and immunomodulatory activity of an exopolysaccharide produced by Lactobacillus plantarum JLK0142 isolated from fermented dairy tofu. Int. J. Biol. Macromol. 2018, 115, 985–993. [Google Scholar] [CrossRef] [PubMed]
- Wang, J.; Zhao, X.; Tian, Z.; Yang, Y.; Yang, Z. Characterization of an exopolysaccharide produced by Lactobacillus plantarum YW11 isolated from Tibet Kefir. Carbohydr. Polym. 2015, 125, 116–125. [Google Scholar] [CrossRef] [PubMed]
- Yu, Y.; Chen, Z.; Wang, Y.F.; Zhang, M.Z.; Wang, Y.H.; Ai, N.; Shen, M.H.; Jiang, B. Preparation, structure and immuneomodulatory activity of exopolysaccharide from Cordyceps militaris. Food Sci. 2021, 42, 106–113. [Google Scholar]
- Yang, G.; Tian, X.L.; Dong, S.L. Bacillus cereus and rhubarb regulate the intestinal microbiota of sea cucumber (Apostichopus japonicus Selenka): Species-species interaction, network, and stability. Aquaculture 2019, 512, 734284. [Google Scholar] [CrossRef]
- Rohani, M.F.; Islam, S.M.M.; Hossain, M.K.; Ferdous, Z.; Siddik, M.A.B.; Nuruzzaman, M.; Pandeniya, U.; Brown, C.; Shahjhan. Probiotics, prebiotics and synbiotics improved the functionality of aquafeed: Upgrading growth, reproduction, immunity and disease resistance in fish. Fish Shellfish Immunol. 2022, 120, 569–589. [Google Scholar] [CrossRef]
- Li, K.; Zheng, F.R.; Du, Z.J.; Wang, B.; Zhang, N.; Qi, L.; Lin, X.Z. Effects of exopolysaccharides produced by the Antarctic bacterium Pseudoalteromonas sp. 3-3-1-2 on the growth and immune activity of Pseudopleuronectes yokohamae. Chin. Fish. Qual. Stand. 2015, 5, 8–14. [Google Scholar]
- Deng, Z.; Luo, X.M.; Liu, J.; Wang, H. Quorum sensing, biofilm, and intestinal mucosal barrier: Involvement the role of probiotic. Front. Cell. Infect. Microbiol. 2020, 10, 538077. [Google Scholar] [CrossRef]
- Naeem, M.; Manzoor, S.; Abid, M.U.H.; Tareen, M.B.K.; Asad, M.; Mushtaq, S.; Ehsan, N.; Amna, D.; Xu, B.; Hazafa, A. Fungal proteases as emerging biocatalysts to meet the current challenges and recent developments in biomedical therapies: An updated review. J. Fungi 2022, 8, 109. [Google Scholar] [CrossRef]
- Wang, Y. The Biosynthetic Pathway of Exopolysaccharides from Bifidobacterium longum and Its Protective Effect on Goldfish under Cadmium Stress. Master’s Thesis, Inner Mongolia University, Hohhot, China, 2020. [Google Scholar]
- Djordjevic, A.; Spasic, S.; Jovanovic-Galovic, A.; Djordjevic, R.; Grubor-Lajsic, G. Oxidative stress in diabetic pregnancy: SOD, CAT and GSH-Px activity and lipid peroxidation products. J. Matern. Fetal Neonatal Med. 2004, 16, 367–372. [Google Scholar] [CrossRef] [PubMed]
- Arsova-Sarafinovska, Z.; Matevska, N.; Eken, A.; Petrovski, D.; Banev, S.; Dzikova, S.; Georgiev, V.; Sikole, A.; Erdem, O.; Sayal, A.; et al. Glutathione peroxidase 1 (GPX1) genetic polymorphism, erythrocyte GPX activity, and prostate cancer risk. Int. Urol. Nephrol. 2009, 41, 63–70. [Google Scholar] [CrossRef] [PubMed]
- Chen, Y.Y.; Feng, J.G.; Li, M.; Liu, S.S.; Cai, Z.L.; Huang, M.Y.; Chang, X.L.; Zhang, J.X. Probiotic effect of fish-derived Lactobacillus plantarum HS-07 exopolysaccharide in common carp (Cyprinus carpio L.). J. Fish. Sci. China 2021, 28, 591–601. [Google Scholar]
- Feng, J.; Cai, Z.; Chen, Y.; Zhu, H.; Chang, X.; Wang, X.; Liu, Z.; Zhang, J.; Nie, G. Effects of an exopolysaccharide from Lactococcus lactis Q-9 on innate immune response, antioxidant activity, and disease resistance against Aeromonas hydrophila in Cyprinus carpio. J. Fish. China 2020, 44, 1477–1487. [Google Scholar] [CrossRef] [PubMed]
- Chen, J.; Huang, J.; Peng, J.; Yang, C.; Liao, Y.; Li, J.; Deng, Y.; Du, X. Effects of hypoxic stress on the digestion, energy metabolism, oxidative stress regulation, and immune function of the pearl oyster (Pinctada fucata martensii). Aquac. Rep. 2022, 25, 101246. [Google Scholar] [CrossRef]
- Chen, Y.M.; Gao, P.L.; Tang, X.; Xu, C.G. Characterisation and bioactivities of an exopolysaccharide from an Antarctic bacterium Shewanella frigidimarina W32-2. Aquaculture 2020, 530, 735760. [Google Scholar] [CrossRef]
- Zhao, H.Y.; Liu, T.J.; Zheng, F.R.; Lin, X.Z. Screening of exopolysaccharide-producing Antarctic bacteria and the preliminary study of effects of EPSs on nonspecific immunity of turbot (Scophthalmus maximus). Adv. Mar. Sci. 2013, 31, 237–246. [Google Scholar]
- Balzaretti, S.; Taverniti, V.; Guglielmetti, S.; Fiore, W.; Minuzzo, M.; Ngo, H.N.; Ngere, J.N.; Sadiq, S.; Humphreys, P.N.; Laws, A.P. A novel rhamnose-rich hetero-exopolysaccharide isolated from Lactobacillus paracasei DG activates THP-1 human monocytic cells. Appl. Environ. Microbiol. 2017, 83, e02702-16. [Google Scholar] [CrossRef]
- Zhang, Z.; Ran, C.; Ding, Q.-W.; Liu, H.-L.; Xie, M.-X.; Yang, Y.-L.; Xie, Y.-D.; Gao, C.-C.; Zhang, H.-L.; Zhou, Z.-G. Ability of prebiotic polysaccharides to activate a HIF1α-antimicrobial peptide axis determines liver injury risk in zebrafish. Commun. Biol 2019, 2, 274. [Google Scholar] [CrossRef]
- Ivashkiv, L.B.; Donlin, L.T. Regulation of type I interferon responses. Nat. Rev. Immunol. 2014, 114, 36–49. [Google Scholar] [CrossRef]
- Bansemir, A.; Blume, M.; Schroder, S.; Lindequist, U. Screening of cultivated seaweeds for antibacterial activity against fish pathogenic bacteria. Aquaculture 2006, 252, 79–84. [Google Scholar] [CrossRef]
- Wang, Y.Q. The Study on Immunity of Flavobacterium columnare Exopolysaccharide in Grass Carp, Ctenopharyngodon idellus. Master’s Thesis, Huazhong Agricultural University, Wuhan, China, 2018. [Google Scholar]
- Luo, L.; Zhao, G.; Du, X.; Xu, Q.Y. Relationship Between Intestinal Flora and Immunity in Fish. Chin. J. Fish. 2018, 31, 51–54. [Google Scholar]
- Wang, M.M.; Lv, C.J.; Yang, D.L.; Zhao, J.M. Effects of Lactobacillus plantarum (LP HMX-3) on growth, digestion, immunity and intestinal flora of Apostichopus japonicus. J. Fish. China 2022, 1–11. [Google Scholar]
- Zhai, W.Y.; Guo, A.N. Research progress on the fish intestinal microbiota. Henan Fish. 2016, 4, 18–21. [Google Scholar]
- Liu, L.; Liu, C.; Hua, H.; Zhao, W.; Zhu, H.; Cheng, Y.; Guo, Y.; Qian, H. Effect of polysaccharides from Tibetan turnip (Brassica rapa L.) on the gut microbiome after in vitro fermentation and in vivo metabolism. Food Funct. 2022, 13, 3063–3076. [Google Scholar] [CrossRef]
- Wasmund, K.; Pelikan, C.; Schintlmeister, A.; Wagner, M.; Watzka, M.; Richter, A.; Bhatnagar, S.; Noel, A.; Hubert, C.R.J.; Rattei, T.; et al. Genomic insights into diverse bacterial taxa that degrade extracellular DNA in marine sediments. Nat. Microbiol. 2021, 6, 1102. [Google Scholar] [CrossRef]
- Li, Y. Using Zebrafish Model to Study the Effect Mechanism of Three Natural Polysaccharides Against Common Carp Spring Viremia Virus. Ph.D. Thesis, Huazhong Agricultural University, Wuhan, China, 2021. [Google Scholar]
- Caggianiello, G.; Kleerebezem, M.; Spano, G. Exopolysaccharides produced by lactic acid bacteria: From health-promoting benefits to stress tolerance mechanisms. Appl. Microbiol. Biotechnol. 2016, 100, 3877–3886. [Google Scholar] [CrossRef]
- Schwaim, N.D.; Townsen, G.E.; Groisman, E.A. Prioritization of polysaccharide utilization and control of regulator activation in Bacteroides thetaiotaomicron. Mol. Microbiol. 2017, 104, 32–45. [Google Scholar] [CrossRef]
- Zou, Y.Q.; Xiao, L.; Li, X.P.; Yu, J.; Liu, C. Megamonas Funiformis and Its Application. Guangdong Province. CN109504615A, 22 March 2019. [Google Scholar]
- Bunker, J.J.; Flynn, M.; Koval, J.C.; Shaw, D.G.; Meisel, M.; McDonald, B.D.; Ishizuka, I.E.; Dent, A.L.; Wilson, P.C.; Jabri, B.; et al. Innate and adaptive humoral responses coat distinct commensal bacteria with immunoglobulin A. Immunity 2015, 43, 541–553. [Google Scholar] [CrossRef]
- Peoples, L.M.; Kyaw, T.S.; Ugalde, J.A.; Mullane, K.K.; Chastain, R.A.; Yayanos, A.A.; Kusube, M.; Methe, B.A.; Bartlett, D.H. Distinctive gene and protein characteristics of extremely piezophilic Colwellia. BMC Genom. 2020, 21, 692. [Google Scholar] [CrossRef]
- Ameen, Y. Bacterial warfare: Diversity, function, and role of Rhs polymorphic toxins within the Ralstonia solanacearum species complex. Phytopathology 2021, 110, 10. [Google Scholar]
- Ma, C.C.; Guo, H.Y.; Chang, H.B.; Huang, S.; Jiang, S.; Huo, D.; Zhang, J.; Zhu, X. The effects of exopolysaccharides and exopolysaccharide-producing Lactobacillus on the intestinal microbiome of zebrafish (Danio rerio). BMC Microbiol. 2020, 20, 300. [Google Scholar] [CrossRef]
- Aziz, T.; Naveed, M.; Makhdoom, S.I.; Ali, U.; Mughal, M.S.; Sarwar, A.; Khan, A.A.; Zhennai, Y.; Sameeh, M.Y.; Dablool, A.S.; et al. Genome Investigation and Functional Annotation of Lactiplantibacillus plantarum YW11 Revealing Streptin and Ruminococcin-A as Potent Nutritive Bacteriocins against Gut Symbiotic Pathogens. Molecules 2023, 28, 491. [Google Scholar] [CrossRef] [PubMed]
- Aziz, T.; Naveed, M.; Sarwar, A.; Makhdoom, S.I.; Mughal, M.S.; Ali, U.; Yang, Z.; Shahzad, M.; Sameeh, M.Y.; Alruways, M.W.; et al. Functional Annotation of Lactiplantibacillus plantarum 13-3 as a Potential Starter Probiotic Involved in the Food Safety of Fermented Products. Molecules 2022, 27, 5399. [Google Scholar] [CrossRef] [PubMed]





| Gene | Primer Name | Sequence (5′->3′) | Genebank ID |
|---|---|---|---|
| β-actin | β-actin F | GCTGTCTTCCCTTCTATCGTCG | XM_035614477 |
| β-actin R | TCCATGTCATCCCAGTTGGTC | ||
| IL-1β | IL-1β F | ATGGAGTGCAACATGAGCGA | XM_035640817 |
| IL-1β R | GAGCAGGTTTTCGTCCCTGA | ||
| IL-10 | IL-10 F | AGCTCAAGTCCGATGTCAGC | XM_035632547 |
| IL-10 R | TCAAGAGCTGGGTGATGCAC | ||
| IFN-1 | IFN-1 F | CCGACGGGCATTATGGGTAG | XM_035615472 |
| IFN-1 R | CGAGTATCCCTTCGTCCCAC | ||
| MyD88 | MyD88 F | CCCAATGGTAGCCCTGAGAT | XM_035618686 |
| MyD88 R | CATCTCGGTCGAACACACAC | ||
| TLR-2 | TLR-2 F | CTTCGAGCCAGGTAAACCC | XM_035606298 |
| TLR-2 R | AGAAAGACCAGGATCAGCACG | ||
| SOD | SOD F | TATCAAGAGGCGCTGGCAAA | XM_035617519 |
| SOD R | GCTTCCATTAGCTCCCCCTG | ||
| CAT | CAT F | CCAGAAACCCAGCCTCACTT | XM_035643471 |
| CAT R | GAAGGCACGGACCTGTGTAA | ||
| GPX1 | GPX1 F | TTCTGCCAAGGGACTCGTTG | XM_035631441 |
| GPX1 R | TCAAAGCCATTCCCTGGACG |
| Items | Treatments | ||
|---|---|---|---|
| C | H1 | H2 | |
| IBL (cm) | 5.94 ± 0.07 | 5.85 ± 0.12 | 5.93 ± 0.14 |
| IBW (g) | 6.11 ± 0.60 | 6.15 ± 0.45 | 6.16 ± 0.31 |
| FBL (cm) | 7.54 ± 0.21 b | 8.36 ± 0.11 a | 8.44 ± 0.07 a |
| FBW (g) | 21.07 ± 0.34 b | 23.29 ± 0.59 a | 24.15 ± 0.38 a |
| WGR (%) | 244.84 ± 3.72 c | 278.70 ± 8.76 b | 292.05 ± 6.68 a |
| SGR (%/d) | 2.95 ± 0.1 b | 3.17 ± 0.09 a | 3.25 ± 0.11 a |
| FCR | 1.04 ± 0.08 b | 1.17 ± 0.04 a | 1.14 ± 0.05 a |
| SR (%) | 98.33 ± 2.36 | 100.00 | 98.33 ± 2.36 |
| Items | Treatments | ||
|---|---|---|---|
| C | H1 | H2 | |
| LPS (U/gprot) | 23.68 ± 2.11 b | 25.51 ± 1.23 b | 35.13 ± 4.76 a |
| AMS (U/gprot) | 0.42 ± 0.04 b | 0.59 ± 0.06 a | 0.64 ± 0.02 a |
| AKP (U/100mL) | 79.23 ± 5.92 b | 104.76 ± 10.64 a | 98.23 ± 3.87 a |
| ACP (U/100mL) | 90.58 ± 3.44 b | 111.29 ± 13.13 a | 108.32 ± 9.22 a |
| SOD (U/mL) | 405.01 ± 18.98 c | 533.12 ± 13.13 b | 655.94 ± 24.22 a |
| CAT (U/mL) | 13.39 ± 5.44 b | 53.56 ± 9.33 a | 48.38 ± 8.14 a |
| Items | Treatments | ||
|---|---|---|---|
| C | H1 | H2 | |
| observed_species | 990.91 ± 4.24 b | 1297.26 ± 99.15 a | 1406.81 ± 136.12 a |
| Shannon | 6.88 ± 0.61 b | 8.38 ± 0.12 a | 9.21 ± 0.81 a |
| Simpson | 0.91 ± 0.13 | 0.92 ± 0.67 | 0.95 ± 0.62 |
| Chao1 | 1310.50 ± 14.33 b | 1668.27 ± 16.14 a | 1848.50 ± 26.17 a |
| ACE | 810.18 ± 8.18 b | 1863.23 ± 19.48 a | 1987.27 ± 12.42 a |
| PD_whole_tree | 92.51 ± 1.27 b | 154.18 ± 1.36 a | 174.79 ± 2.88 a |
Disclaimer/Publisher’s Note: The statements, opinions and data contained in all publications are solely those of the individual author(s) and contributor(s) and not of MDPI and/or the editor(s). MDPI and/or the editor(s) disclaim responsibility for any injury to people or property resulting from any ideas, methods, instructions or products referred to in the content. |
© 2023 by the authors. Licensee MDPI, Basel, Switzerland. This article is an open access article distributed under the terms and conditions of the Creative Commons Attribution (CC BY) license (https://creativecommons.org/licenses/by/4.0/).
Share and Cite
Hu, G.; Wang, Y.; Xue, R.; Liu, T.; Zhou, Z.; Yang, Z. Effects of the Exopolysaccharide from Lactiplantibacillus plantarum HMX2 on the Growth Performance, Immune Response, and Intestinal Microbiota of Juvenile Turbot, Scophthalmus maximus. Foods 2023, 12, 2051. https://doi.org/10.3390/foods12102051
Hu G, Wang Y, Xue R, Liu T, Zhou Z, Yang Z. Effects of the Exopolysaccharide from Lactiplantibacillus plantarum HMX2 on the Growth Performance, Immune Response, and Intestinal Microbiota of Juvenile Turbot, Scophthalmus maximus. Foods. 2023; 12(10):2051. https://doi.org/10.3390/foods12102051
Chicago/Turabian StyleHu, Gege, Yihui Wang, Rui Xue, Tongji Liu, Zengjia Zhou, and Zhennai Yang. 2023. "Effects of the Exopolysaccharide from Lactiplantibacillus plantarum HMX2 on the Growth Performance, Immune Response, and Intestinal Microbiota of Juvenile Turbot, Scophthalmus maximus" Foods 12, no. 10: 2051. https://doi.org/10.3390/foods12102051
APA StyleHu, G., Wang, Y., Xue, R., Liu, T., Zhou, Z., & Yang, Z. (2023). Effects of the Exopolysaccharide from Lactiplantibacillus plantarum HMX2 on the Growth Performance, Immune Response, and Intestinal Microbiota of Juvenile Turbot, Scophthalmus maximus. Foods, 12(10), 2051. https://doi.org/10.3390/foods12102051

