Using RSM for Optimum of Optimum Production of Peptides from Edible Bird’s Nest By-Product and Characterization of Its Antioxidant’s Properties
Abstract
:1. Introduction
2. Materials and Methods
2.1. Materials
2.2. Preparation of EBNH
2.3. Single-Factor Experiments
2.4. Optimization Preparation Conditions by Box-Behnken Design
2.5. Degree of Hydrolysis
2.6. DPPH Radical Scavenging Assay
2.7. ABTS Radical Scavenging Assay
2.8. O2− Radical Scavenging Assay
2.9. Peptides Separation by Membrane Ultrafiltration
2.10. Purification by Gel Filtration Chromatography
2.11. Purification by RP-HPLC
2.12. Cell Culture and Cytotoxicity Assay
2.13. Cytoprotective Effects against PC12 Cells Damage Induced by SNP
2.14. Peptide Sequence Identification by LC-MS/MS
2.15. Statistical Analysis
3. Results and Discussion
3.1. Selection of Proteolytic Enzymes
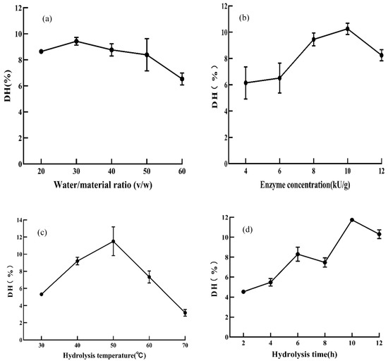
3.2. Single-Factor Experiments
3.3. Optimization of Hydrolysis Parameters by RSM
3.4. Ultrafiltration of EBNH
3.5. Gel Filtration Chromatography of EBNH-2 Fraction
3.6. Separation of the F3 Fraction by RP-HPLC
3.7. Radical Scavenging Activity of the P2 Fraction
3.8. In Vitro Cytotoxicity of the P2 Fraction and Protective Effect on PC12 Cells
3.9. Identification of Antioxidant Peptides by LC-MS/MS
4. Conclusions
Author Contributions
Funding
Institutional Review Board Statement
Informed Consent Statement
Data Availability Statement
Conflicts of Interest
References
- Homayouni-Tabrizi, M.; Asoodeh, A.; Soltani, M. Cytotoxic and antioxidant capacity of camel milk peptides: Effects of isolated peptide on superoxide dismutase and catalase gene expression. J. Food Drug Anal. 2016, 25, 567–575. [Google Scholar] [CrossRef] [PubMed] [Green Version]
- Hussain, S.P.; Hofseth, L.J.; Harris, C.C. Radical causes of cancer. Nat. Rev. Cancer 2003, 3, 276–285. [Google Scholar] [CrossRef] [PubMed]
- Ghavipour, M.; Sotoudeh, G.; Tavakoli, E.; Mowla, K.; Hasanzadeh, J.; Mazloom, Z. Pomegranate extract alleviates disease activity and some blood biomarkers of inflammation and oxidative stress in rheumatoid arthritis patients. Eur. J. Clin. Nutr. 2017, 71, 92–96. [Google Scholar] [CrossRef] [PubMed]
- Sarmadi, B.H.; Ismail, A. Antioxidative peptides from food proteins: A review. Peptides 2010, 31, 1949–1956. [Google Scholar] [CrossRef] [PubMed]
- Feng, Y.-X.; Ruan, G.-R.; Jin, F.; Xu, J.; Wang, F.-J. Purification, identification, and synthesis of five novel antioxidant peptides from Chinese chestnut (Castanea mollissima Blume) protein hydrolysates. LWT Food Sci. Technol. 2018, 92, 40–46. [Google Scholar] [CrossRef]
- Agrawal, H.; Joshi, R.; Gupta, M. Isolation, purification and characterization of antioxidative peptide of pearl millet (Pennisetum glaucum) protein hydrolysate. Food Chem. 2016, 204, 365–372. [Google Scholar] [CrossRef] [PubMed]
- Gluvic, A.; Ulrih, N.P. Peptides derived from food sources: Antioxidative activities and interactions with model lipid membranes. Food Chem. 2019, 287, 324–332. [Google Scholar] [CrossRef]
- Rizzello, C.G.; Tagliazucchi, D.; Babini, E.; Rutella, G.S.; Saa, D.L.T.; Gianotti, A. Bioactive peptides from vegetable food matrices: Research trends and novel biotechnologies for synthesis and recovery. J. Funct. Foods 2016, 27, 549–569. [Google Scholar] [CrossRef]
- Ghassem, M.; Arihara, K.; Mohammadi, S.; Sani, N.A.; Babji, A.S. Identification of two novel antioxidant peptides from edible bird’s nest (Aerodramus fuciphagus) protein hydrolysates. Food Funct. 2017, 8, 2046–2052. [Google Scholar] [CrossRef] [PubMed]
- Zhang, J.; Zhang, H.; Wang, L.; Guo, X.; Wang, X.; Yao, H. Isolation and identification of antioxidative peptides from rice endosperm protein enzymatic hydrolysate by consecutive chromatography and MALDI-TOF/TOF MS/MS. Food Chem. 2010, 119, 226–234. [Google Scholar] [CrossRef]
- Chai, T.T.; Tong, S.R.; Law, Y.C.; Ismail, N.I.M.; Abd Manan, F.; Wong, F.C. Anti-Oxidative, metal chelating and radical scavenging effects of protein hydrolysates from blue-spotted stingray. Trop. J. Pharm. Res. 2015, 14, 1349–1355. [Google Scholar] [CrossRef]
- Qian, Z.-J.; Jung, W.-K.; Byun, H.-G.; Kim, S.-K. Protective effect of an antioxidative peptide purified from gastrointestinal digests of oyster, Crassostrea gigas against free radical induced DNA damage. Biores. Technol. 2008, 99, 3365–3371. [Google Scholar] [CrossRef] [PubMed]
- Landi, N.; Clemente, A.; Pedone, P.V.; Ragucci, S.; Di Maro, A. An Updated Review of Bioactive Peptides from Mushrooms in a Well-Defined Molecular Weight Range. Toxins 2022, 14, 84. [Google Scholar] [CrossRef] [PubMed]
- Dai, Y.; Cao, J.; Zhang, Y.; He, F.; Jiang, L. Study on sialic acid binding state in stewed bird’s nest and optimization of enzymatic extraction of free and oligosaccharide-bound sialic acid. J. AOAC Int. 2021. [Google Scholar] [CrossRef] [PubMed]
- Halimi, N.M.; Kasim, Z.M.; Babji, A.S. Nutritional composition and solubility of edible bird nest (Aerodramus fuchiphagus). AIP Conf. Proc. 2014, 1614, 476–481. [Google Scholar]
- Yida, Z.; Imam, M.U.; Ismail, M. In vitro bioaccessibility and antioxidant properties of edible bird’s nest following simulated human gastro-intestinal digestion. BMC Complement. Altern. Med. 2014, 14, 468. [Google Scholar] [CrossRef] [PubMed] [Green Version]
- Guo, G.T.; Takahashi, T.; Bukawa, W.; Takahashi, N.; Yagi, H.; Kato, K.; Hidari, K.I.P.J.; Miyamoto, D.; Suzuki, T.; Suzuki, Y. Edible bird’s nest extract inhibits influenza virus infection. Antivir. Res. 2006, 70, 140–146. [Google Scholar] [CrossRef] [PubMed]
- Kim, K.C.; Kang, K.A.; Lim, C.M.; Park, J.H.; Jung, K.S.; Hyun, J.W. Water extract of edible bird’s nest attenuated the oxidative stress-induced matrix metalloproteinase-1 by regulating the mitogen-activated protein kinase and activator protein-1 pathway in human keratinocytes. J. Korean Soc. Appl. Bi. 2012, 55, 347–354. [Google Scholar] [CrossRef]
- Zainal Abidin, F.; Hui, C.K.; Luan, N.S.; Mohd Ramli, E.S.; Hun, L.T.; Abd Ghafar, N. Effects of edible bird’s nest (EBN) on cultured rabbit corneal keratocytes. BMC Complement. Altern. Med. 2011, 11, 94. [Google Scholar] [CrossRef] [PubMed] [Green Version]
- Yida, Z.; Imam, M.U.; Ismail, M.; Hou, Z.; Abdullah, M.A.; Ideris, A.; Ismail, N. Edible bird’s nest attenuates high fat diet-induced oxidative stress and inflammation via regulation of hepatic antioxidant and inflammatory genes. BMC Complement. Altern. Med. 2015, 15, 310. [Google Scholar] [CrossRef] [PubMed] [Green Version]
- Albishtue, A.A.; Yimer, N.; Zakaria, M.Z.A.; Haron, A.; Babji, A.; Abubakar, A.A.; Baiee, F.H.; Almhanna, H.K.; Almhanawi, B.H. The role of edible bird’s nest and mechanism of averting lead acetate toxicity effect on rat uterus. Vet. World 2019, 12, 1013–1021. [Google Scholar] [CrossRef] [PubMed] [Green Version]
- Ling, J.W.A.; Chang, L.S.; Babji, A.S.; Lim, S.J. Recovery of value-added glycopeptides from edible bird’s nest (EBN) co-products: Enzymatic hydrolysis, physicochemical characteristics and bioactivity. J. Sci. Food Agric. 2020, 100, 4714–4722. [Google Scholar] [CrossRef] [PubMed]
- Ng, S.R.; Noor, H.S.M.; Ramachandran, R.; Tan, H.Y.; Ch′ng, S.-E.; Chang, L.S.; Babji, A.S.; Lim, S.J. Recovery of glycopeptides by enzymatic hydrolysis of edible bird’s nest: The physicochemical characteristics and protein profile. J. Food Meas. Charact. 2020, 14, 2635–2645. [Google Scholar] [CrossRef]
- Khushairay, E.S.I.; Ayub, M.K.; Babji, A.S. Effect of enzymatic hydrolysis of pancreatin and alcalase enzyme on some properties of edible bird’s nest hydrolysate. AIP Conf. Proc. 2014, 1614, 427–432. [Google Scholar]
- Church, F.C.; Swaisgood, H.E.; Porter, D.H.; Catignani, G.L. Spectrophotometric assay using o-phthaldialdehyde for determination of proteolysis in milk and isolated milk proteins. J. Dairy Sci. 1983, 66, 1219–1227. [Google Scholar] [CrossRef]
- Nielsen, P.M.; Petersen, D.; Dambmann, C. Improved method for determining food protein degree of hydrolysis. J. Food Sci. 2001, 66, 642–646. [Google Scholar] [CrossRef]
- Zhang, Q.Z.; Tong, X.H.; Sui, X.N.; Wang, Z.J.; Qi, B.K.; Li, Y.; Jiang, L.Z. Antioxidant activity and protective effects of alcalase-hydrolyzed soybean hydrolysate in human intestinal epithelial Caco-2 cells. Food Res. Int. 2018, 111, 256–264. [Google Scholar] [CrossRef]
- Shi, J.; Wang, Y.; Chen, J.; Lao, Y.; Huang, P.; Liao, L.; Jiang, C.; Li, X.; Wen, J.; Zhou, S.; et al. Zhang, Synthesis and biological evaluation of 1,2,4-oxadiazole core derivatives as potential neuroprotectants against acute ischemic stroke. Neurochem. Int. 2021, 148, 105103. [Google Scholar] [CrossRef]
- Aspmo, S.I.; Horn, S.J.; Eijsink, V.G.H. Enzymatic hydrolysis of Atlantic cod (Gadus morhua L.) viscera. Process Biochem. 2005, 40, 1957–1966. [Google Scholar] [CrossRef]
- Ren, J.; Zhao, M.; Shi, J.; Wang, J.; Jiang, Y.; Cui, C.; Kakuda, Y.; Xue, S.J. Optimization of antioxidant peptide production from grass carp sarcoplasmic protein using response surface methodology. LWT Food Sci. Technol. 2008, 41, 1624–1632. [Google Scholar] [CrossRef]
- Xie, Z.; Wang, X.; Yu, S.; He, M.; Yu, S.; Xiao, H.; Song, Y. Antioxidant and functional properties of cowhide collagen peptides. J. Food Sci. 2021, 86, 1802–1818. [Google Scholar] [CrossRef] [PubMed]
- Mullally, M.M.; O’Callaghan, D.M.; Fitzgerald, R.J.; Donnelly, W.; Dalton, J.P. Zymogen activation in pancreatic endoproteolytic preparations and influence on some whey protein hydrolysate characteristics. J. Food Sci. 1995, 60, 227–233. [Google Scholar] [CrossRef]
- Zheng, Z.J.; Wei, X.B.; Shang, T.T.; Huang, Y.; Hu, C.; Zhang, R.J. Bioconversion of duck blood cell: Process optimization of hydrolytic conditions and peptide hydrolysate characterization. BMC Biotechnol. 2018, 18, 67. [Google Scholar] [CrossRef] [PubMed]
- Lee, T.H.; Waseem, W.; Tjih, T.E.T.; Nur, A.; Yong, L.; Aziz, R. Investigations into the physicochemical, biochemical and antibacterial properties of edible bird’s nest. J. Chem. Pharm. Res. 2015, 7, 228–247. [Google Scholar]
- Ovissipour, M.; Kenari, A.A.; Motamedzadegan, A.; Nazari, R.M. Optimization of enzymatic hydrolysis of visceral waste proteins of yellowfin tuna (Thunnus albacares). Food Bioprocess. Tech. 2012, 5, 696–705. [Google Scholar] [CrossRef]
- Sila, A.; Bougatef, A. Antioxidant peptides from marine by-products: Isolation, identification and application in food systems. A review. J. Funct. Foods 2016, 21, 10–26. [Google Scholar] [CrossRef]
- Pan, X.-Y.; Wang, Y.-M.; Li, L.; Chi, C.-F.; Wang, B. Four antioxidant peptides from protein hydrolysate of red stingray (Dasyatis akajei) cartilages: Isolation, identification, and in vitro sctivity evaluation. Mar. Drugs 2019, 17, 263. [Google Scholar] [CrossRef] [PubMed] [Green Version]
- You, L.; Zhao, M.; Regenstein, J.M.; Ren, J. In vitro antioxidant activity and in vivo anti-fatigue effect of loach (Misgurnus anguillicaudatus) peptides prepared by papain digestion. Food Chem. 2011, 124, 188–194. [Google Scholar] [CrossRef]
- Chi, C.-F.; Wang, B.; Li, Z.-R.; Luo, H.-Y.; Ding, G.-F. Characterization of acid-soluble collagens from the cartilages of scalloped hammerhead (Sphyrna lewini), red stingray (Dasyatis akajei), and skate (Raja porosa). Food Sci. Biotechnol. 2013, 22, 909–916. [Google Scholar] [CrossRef]
- You, L.; Ren, J.; Yang, B.; Regenstein, J.; Zhao, M. Antifatigue activities of loach protein hydrolysates with different antioxidant activities. J. Agric. Food Chem. 2012, 60, 12324–12331. [Google Scholar] [CrossRef] [PubMed]
- Jakubczyk, A.; Karaś, M.; Stanikowski, P.; Rutkowska, B.; Dziedzic, M.; Zielińska, E.; Szychowski, K.A.; Binduga, U.E.; Rybczyńska-Tkaczyk, K.; Baraniak, B. Characterisation of biologically active hydrolysates and peptide fractions of vacuum packaging string bean (Phaseolus vulgaris L.). Foods 2020, 9, 842. [Google Scholar] [CrossRef] [PubMed]
- Zhang, J.B.; Zhao, Y.Q.; Wang, Y.M.; Chi, C.F.; Wang, B. Eight collagen peptides from hydrolysate fraction of spanish mackerelskins: Isolation, identification, and in vitro antioxidant activity evaluation. Mar. Drugs 2019, 17, 224. [Google Scholar] [CrossRef] [PubMed] [Green Version]
- Zhao, W.H.; Luo, Q.B.; Pan, X.; Chi, C.F.; Sun, K.L.; Wang, B. Preparation, identification, and activity evaluation of ten antioxidant peptides from protein hydrolysate of swim bladders of miiuy croaker (Miichthys miiuy). J. Funct. Foods 2018, 47, 503–511. [Google Scholar] [CrossRef]
- Chen, X.; Deng, A.; Zhou, H.; Gu, J. Neuroprotective effect of 2-(4-methoxyphenyl)ethyl-2-acetamido-2-deoxy-ß-D-pyranoside against sodium nitroprusside-induced neurotoxicity in HT22 cells. Mol. Cell Biochem. 2013, 383, 149–159. [Google Scholar] [CrossRef] [PubMed]
- Kim, J.S.; Park, Z.Y.; Yoo, Y.J.; Yu, Y.S.; Chun, J.S. p38 kinase mediates nitric oxide-induced apoptosis of chondrocytes through the inhibition of protein kinase C zeta by blocking autophosphorylation. Cell Death Differ. 2005, 12, 201–212. [Google Scholar] [CrossRef] [PubMed]
- Pytlowany, M.; Strosznajder, J.; Jęśko, H.; Cakała, M.; Strosznajder, R. Molecular mechanism of PC12 cell death evoked by sodium nitroprusside, a nitric oxide donor. Acta Biochim. Pol. 2008, 55, 339–347. [Google Scholar] [CrossRef]
- Hou, Z.; Imam, M.U.; Ismail, M.; Azmi, N.H.; Ismail, N.; Ideris, A.; Mahmud, R. Lactoferrin and ovotransferrin contribute toward antioxidative effects of edible bird’s nest against hydrogen peroxide-induced oxidative stress in human SH-SY5Y cells. Biosci. Biotechnol. Biochem. 2015, 79, 1570–1578. [Google Scholar] [CrossRef] [PubMed] [Green Version]
- Zou, T.-B.; He, T.-P.; Li, H.-B.; Tang, H.-W.; Xia, E.-Q. The Structure-Activity Relationship of the antioxidant Peptides from natural proteins. Molecules 2016, 21, 72. [Google Scholar] [CrossRef] [PubMed]
- Li, Y.; Yu, J.M. Research progress in structure-sctivity relationship of bioactive peptides. J. Med. Food 2015, 18, 147–156. [Google Scholar] [CrossRef]
- Yang, X.-R.; Zhang, L.; Ding, D.-G.; Chi, C.-F.; Wang, B.; Huo, J.-C. Preparation, identification, and activity evaluation of eight antioxidant peptides from protein hydrolysate of hairtail (Trichiurus japonicas) muscle. Mar. Drugs 2019, 17, 23. [Google Scholar] [CrossRef] [Green Version]
- Samaranayaka, A.G.; Li-Chan, E.C. Food-derived peptidic antioxidants: A review of their production, assessment, and potential applications. J. Funct. Foods 2011, 3, 229–254. [Google Scholar] [CrossRef]
- Chen, H.M.; Muramoto, K.; Yamauchi, F.; Nokihara, K. Antioxidant activity of designed peptides based on the antioxidative peptide isolated from digests of a soybean protein. J. Agric. Food Chem. 1996, 44, 2619–2623. [Google Scholar] [CrossRef]
- Paiva, L.; Lima, E.; Neto, A.; Baptista, J. Angiotensin I-converting enzyme (ACE) inhibitory activity, antioxidant properties, phenolic content and amino acid profiles of Fucus spiralis L. protein hydrolysate fractions. Mar. Drugs 2017, 15, 311. [Google Scholar] [CrossRef] [PubMed]










| Types of Proteases | Optimum Temperature (°C) | Optimum pH | Buffer |
|---|---|---|---|
| papain | 65 | 7.0 | hydrochloric acid solution |
| acid protease | 45 | 3.0 | hydrochloric acid solution |
| neutrase | 40 | 7.0 | hydrochloric acid solution |
| alcalase | 55 | 9.5 | sodium hydroxide solution |
| pepsin | 37 | 2.0 | hydrochloric acid solution |
| trypsin | 37 | 8.0 | hydrochloric acid solution |
| Levels | Factors | ||
|---|---|---|---|
| A Enzyme Concentration (kU/g) | B Hydrolysis Temperature (°C) | C Hydrolysis Time (h) | |
| −1 | 8 | 40 | 8 |
| 0 | −10 | 50 | 10 |
| 1 | −12 | 60 | 12 |
| Numbers | A: Enzyme Concentration (kU/g) | B: Hydrolysis Temperature (°C) | C: Hydrolysis Time (h) | Y: DH (%) |
|---|---|---|---|---|
| 1 | 1 | −1 | 0 | 15.56 |
| 2 | 0 | 0 | 0 | 16.68 |
| 3 | −1 | −1 | 0 | 15.86 |
| 4 | 0 | 1 | −1 | 11.46 |
| 5 | 1 | 0 | −1 | 16.90 |
| 6 | 0 | 1 | 1 | 11.45 |
| 7 | 1 | 0 | 1 | 15.70 |
| 8 | 0 | −1 | −1 | 15.56 |
| 9 | 0 | 0 | 0 | 17.15 |
| 10 | 0 | −1 | 1 | 16.99 |
| 11 | −1 | 0 | −1 | 15.11 |
| 12 | −1 | 0 | 1 | 15.29 |
| 13 | −1 | 1 | 0 | 10.60 |
| 14 | 1 | 1 | 0 | 12.36 |
| 15 | 0 | 0 | 0 | 17.06 |
| 16 | 0 | 0 | 0 | 17.35 |
| 17 | 0 | 0 | 0 | 17.15 |
| Source | Sum of Squares | DF | Mean Square | F Value | p-Value |
| Model | 80.98 | 9 | 9.00 | 51.21 | <0.0001 ** |
| A | 1.67 | 1 | 1.67 | 9.53 | 0.0176 * |
| B | 40.95 | 1 | 40.95 | 233.10 | <0.0001 ** |
| C | 0.02 | 1 | 0.02 | 0.11 | 0.7457 |
| AB | 1.06 | 1 | 1.06 | 6.04 | 0.0436 * |
| AC | 0.48 | 1 | 0.48 | 2.71 | 0.1437 |
| BC | 0.52 | 1 | 0.52 | 2.95 | 0.1295 |
| A2 | 2.69 | 1 | 2.69 | 15.30 | 0.0058 ** |
| B2 | 30.33 | 1 | 30.33 | 172.65 | <0.0001 ** |
| C2 | 1.18 | 1 | 1.18 | 6.71 | 0.0360 * |
| Residual | 1.23 | 7 | 0.18 | ||
| Lack of fit | 0.99 | 3 | 0.33 | 5.41 | 0.0682 |
| Pure error | 0.24 | 4 | 0.061 | ||
| Cor total | 82.21 | 16 |
| Protein Source a | Number | Sequence | Length | Mass (Da) |
|---|---|---|---|---|
| Actin, cytoplasmic type 5 | 1 | SYELPDGQVITIGNER | 16 | 1961.16 |
| Heterogeneous nuclear ribonucleoprotein A1 | 2 | IFVGGIKEDTEEHHLR | 16 | 2050.31 |
| 3 | KIFVGGIKEDTEEHHLR | 17 | 2196.50 | |
| MYH11 protein | 4 | VIQYLAVVASSHK | 13 | 1630.84 |
| Tropomyosin alpha-1 chain | 5 | HIAEEADRKYEEVAR | 15 | 1954.13 |
| MYH9 protein | 6 | LKNKHEAMITDLEER | 15 | 1782.94 |
| 78 kDa glucose-regulated protein | 7 | TFAPEEISAMVLTK | 14 | 1890.01 |
| SDK2 protein | 8 | ATVVTVRP | 8 | 968.11 |
| Spermatid perinuclear RNA-binding protein | 9 | GLKYELISETGGSHDKR | 17 | 2030.36 |
| RO31 protein | 10 | AVSREDSVKPGAHLTVK | 17 | 1982.27 |
| Paired amphipathic helix protein | 11 | EEEEEEEMDVDETT | 14 | 1747.75 |
| CHMP6 protein | 12 | ALLLLKKKR | 9 | 1226.54 |
Publisher’s Note: MDPI stays neutral with regard to jurisdictional claims in published maps and institutional affiliations. |
© 2022 by the authors. Licensee MDPI, Basel, Switzerland. This article is an open access article distributed under the terms and conditions of the Creative Commons Attribution (CC BY) license (https://creativecommons.org/licenses/by/4.0/).
Share and Cite
Cao, J.; Xiong, N.; Zhang, Y.; Dai, Y.; Wang, Y.; Lu, L.; Jiang, L. Using RSM for Optimum of Optimum Production of Peptides from Edible Bird’s Nest By-Product and Characterization of Its Antioxidant’s Properties. Foods 2022, 11, 859. https://doi.org/10.3390/foods11060859
Cao J, Xiong N, Zhang Y, Dai Y, Wang Y, Lu L, Jiang L. Using RSM for Optimum of Optimum Production of Peptides from Edible Bird’s Nest By-Product and Characterization of Its Antioxidant’s Properties. Foods. 2022; 11(6):859. https://doi.org/10.3390/foods11060859
Chicago/Turabian StyleCao, Jie, Ning Xiong, Yu Zhang, Yuwei Dai, Yuye Wang, Lingyu Lu, and Lin Jiang. 2022. "Using RSM for Optimum of Optimum Production of Peptides from Edible Bird’s Nest By-Product and Characterization of Its Antioxidant’s Properties" Foods 11, no. 6: 859. https://doi.org/10.3390/foods11060859
APA StyleCao, J., Xiong, N., Zhang, Y., Dai, Y., Wang, Y., Lu, L., & Jiang, L. (2022). Using RSM for Optimum of Optimum Production of Peptides from Edible Bird’s Nest By-Product and Characterization of Its Antioxidant’s Properties. Foods, 11(6), 859. https://doi.org/10.3390/foods11060859

